Can Insect Meal Replace Fishmeal? A Meta-Analysis of the Effects of Black Soldier Fly on Fish Growth Performances and Nutritional Values
Abstract
Simple Summary
Abstract
1. Introduction
2. Materials and Methods
2.1. Study Search
2.2. Selection
2.3. Data Extraction
2.4. Data Analysis
3. Results
3.1. Description of Studies Included in the Meta-Analysis
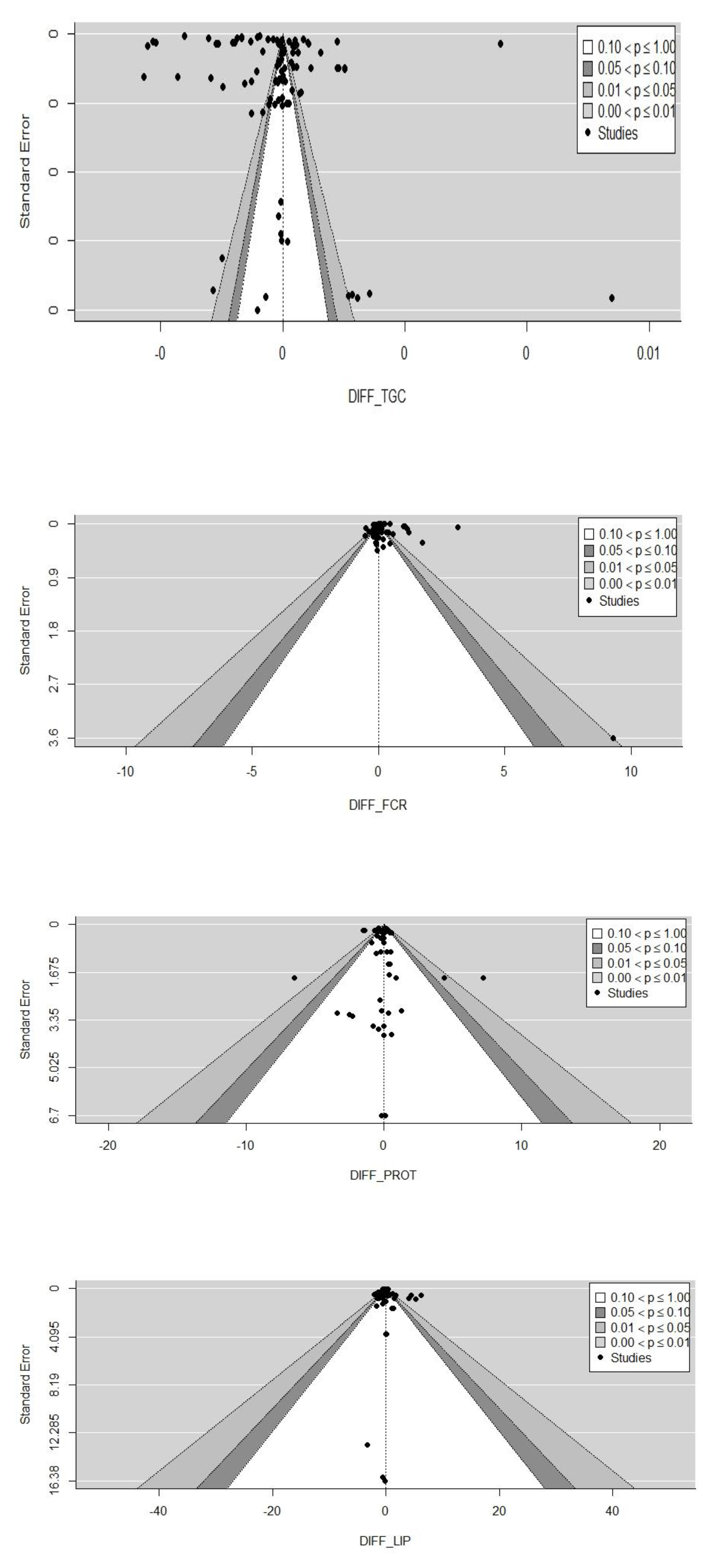
3.2. Search for Bias between Studies
3.3. Sources of Heterogeneity
4. Discussion
5. Conclusions
Author Contributions
Funding
Institutional Review Board Statement
Informed Consent Statement
Data Availability Statement
Acknowledgments
Conflicts of Interest
Appendix A
| Author | Year | Country | Fish Species | SubProt | Temp | TGC | Feed Conversion Ratio | Fish Protein (%) | Fish Lipid (%) | ||||
|---|---|---|---|---|---|---|---|---|---|---|---|---|---|
| 2012 | Mean | SD | Mean | SD | Mean | SD | Mean | SD | |||||
| Kroeckel et al. [28] | 2012 | Germany | Psetta maxima | 0 | 16.5 | 0.0035 | 0.000065 | 0.76 | 0.00 | 15.20 | 2.20 | 5.80 | 0.30 |
| Kroeckel et al. [28] | 2012 | Germany | Psetta maxima | 13.2 | 16.5 | 0.0030 | 0.000035 | 0.76 | 0.00 | 15.20 | 2.80 | 4.80 | 0.60 |
| Kroeckel et al. [28] | 2012 | Germany | Psetta maxima | 26.78 | 16.5 | 0.0028 | 0.000044 | 0.82 | 0.00 | 15.50 | 2.20 | 4.80 | 0.30 |
| Kroeckel et al. [28] | 2012 | Germany | Psetta maxima | 41.64 | 16.5 | 0.0023 | 0.000026 | 0.86 | 0.00 | 14.9 | 1.50 | 4.50 | 0.50 |
| Kroeckel et al. [28] | 2012 | Germany | Psetta maxima | 56.9 | 16.5 | 0.0017 | 0.000019 | 0.98 | 0.00 | 15.00 | 2.10 | 4.10 | 0.40 |
| Kroeckel et al., 2012 [28] | 2012 | Germany | Psetta maxima | 70.16 | 16.5 | 0.0012 | 0.000019 | 1.21 | 0.00 | 15.20 | 3.20 | 3.80 | 0.40 |
| Katya et al. [24] | 2017 | Malaysia | Lates calcarifer | 0 | 24 | 0.0016 | 0.000005 | 2.00 | 0.10 | 62.2 | 1.32 | 16.3 | 0.60 |
| Katya et al. [24] | 2017 | Malaysia | Lates calcarifer | 17.79 | 24 | 0.0014 | 0.000007 | 2.30 | 0.10 | 63.1 | 1.32 | 20.3 | 0.60 |
| Katya et al. [24] | 2017 | Malaysia | Lates calcarifer | 39.37 | 24 | 0.0013 | 0.000006 | 2.40 | 0.10 | 55.7 | 1.32 | 14.8 | 0.60 |
| Katya et al. [24] | 2017 | Malaysia | Lates calcarifer | 66.08 | 24 | 0.0012 | 0.000001 | 3.20 | 0.10 | 69.4 | 1.32 | 15.1 | 0.60 |
| Katya et al. [24] | 2017 | Malaysia | Lates calcarifer | 100 | 24 | 0.0004 | 0.000005 | 11.30 | 3.60 | 66.6 | 1.32 | 17.7 | 0.60 |
| Magalhães et al. [25] | 2017 | Portugal | Dicentrarchus labrax | 0 | 25 | 0.0033 | 0.000065 | na | Na | na | na | na | na |
| Magalhães et al. [25] | 2017 | Portugal | Dicentrarchus labrax | 11.45 | 25 | 0.0035 | 0.000067 | na | Na | na | na | na | na |
| Magalhães et al. [25] | 2017 | Portugal | Dicentrarchus labrax | 23.9 | 25 | 0.0036 | 0.000066 | na | na | na | na | na | na |
| Magalhães et al. [25] | 2017 | Portugal | Dicentrarchus labrax | 37.48 | 25 | 0.0034 | 0.000062 | na | na | na | na | na | na |
| Renna et al. [29] | 2017 | Italy | Oncorhynchus mykiss | 0 | 13 | 0.0063 | 0.000234 | 0.90 | 0.02 | 19.58 | 0.35 | 4.18 | 1.20 |
| Renna et al. [29] | 2017 | Italy | Oncorhynchus mykiss | 21.66 | 13 | 0.0064 | 0.000230 | 0.88 | 0.02 | 19.37 | 0.35 | 5.19 | 1.20 |
| Renna et al. [29] | 2017 | Italy | Oncorhynchus mykiss | 45.35 | 13 | 0.0063 | 0.000228 | 0.90 | 0.02 | 19.56 | 0.35 | 5.48 | 1.20 |
| Devic et al. [23] | 2018 | Ghana | Oreochromis niloticus | 0 | 28.65 | 0.0019 | 0.000007 | 2.20 | 0.10 | 15.36 | 0.30 | 10.78 | 0.61 |
| Devic et al. [23] | 2018 | Ghana | Oreochromis niloticus | 21.03 | 28.65 | 0.0021 | 0.000015 | 2.10 | 0.30 | 15.27 | 0.13 | 9.61 | 0.11 |
| Devic et al. [23] | 2018 | Ghana | Oreochromis niloticus | 38.33 | 28.65 | 0.0019 | 0.000011 | 2.00 | 0.20 | 15.29 | 0.09 | 9.99 | 0.44 |
| Devic et al. [23] | 2018 | Ghana | Oreochromis niloticus | 71.31 | 28.65 | 0.0018 | 0.000008 | 2.10 | 0.10 | 15.43 | 0.05 | 10.22 | 0.61 |
| Xiao et al. [26] | 2018 | China | Pelteobagrus fulvidraco | 0 | 28 | 0.0089 | 0.000294 | 1.08 | 0.07 | 14.3 | 0.1 | 5.59 | 0.08 |
| Xiao et al. [26] | 2018 | China | Pelteobagrus fulvidraco | 13 | 28 | 0.0102 | 0.000297 | 0.90 | 0.04 | 13.9 | 0.1 | 5.37 | 0.01 |
| Xiao et al. [26] | 2018 | China | Pelteobagrus fulvidraco | 25 | 28 | 0.0104 | 0.000287 | 0.89 | 0.03 | 14.6 | 0.2 | 5.41 | 0.09 |
| Xiao et al. [26] | 2018 | China | Pelteobagrus fulvidraco | 37 | 28 | 0.0101 | 0.000290 | 0.91 | 0.02 | 13.8 | 0.4 | 5.07 | 0.01 |
| Xiao et al. [26] | 2018 | China | Pelteobagrus fulvidraco | 48 | 28 | 0.0100 | 0.000293 | 0.93 | 0.04 | 13.7 | 0.2 | 5.22 | 0.10 |
| Xiao et al. [26] | 2018 | China | Pelteobagrus fulvidraco | 68 | 28 | 0.0087 | 0.000294 | 1.08 | 0.09 | 13.6 | 0.2 | 5.3 | 0.13 |
| Xiao et al. [26] | 2018 | China | Pelteobagrus fulvidraco | 85 | 28 | 0.0078 | 0.000279 | 1.19 | 0.05 | 12.9 | 0.2 | 5.47 | 0.01 |
| Xiao et al. [26] | 2018 | China | Pelteobagrus fulvidraco | 100 | 28 | 0.0054 | 0.000298 | 1.66 | 0.16 | 12.8 | 0.2 | 5.45 | 0.06 |
| Cardinaletti et al. [27] | 2019 | Italy | Oncorhynchus mykiss | 0 | 12.8 | 0.0039 | 0.000287 | 1.02 | 0.17 | na | na | na | na |
| Cardinaletti et al. [27] | 2019 | Italy | Oncorhynchus mykiss | 13.84 | 12.8 | 0.0035 | 0.000329 | 1.22 | 0.35 | na | na | na | na |
| Cardinaletti et al. [27] | 2019 | Italy | Oncorhynchus mykiss | 32.52 | 12.8 | 0.0029 | 0.000209 | 1.47 | 0.28 | na | na | na | na |
| Józefiak et al. [30] | 2019 | Poland | Oncorhynchus mykiss | 0 | 13.85 | 0.0044 | 0.000053 | 0.95 | 0.02 | na | na | na | na |
| Józefiak et al. [30] | 2019 | Poland | Oncorhynchus mykiss | 12.3 | 13.85 | 0.0044 | 0.000052 | 0.97 | 0.02 | na | na | na | na |
| Terova et al. [31] | 2019 | Italy | Oncorhynchus mykiss | 0 | 13 | 0.0050 | 0.000190 | 0.9 | 0.02 | na | na | na | na |
| Terova et al. [31] | 2019 | Italy | Oncorhynchus mykiss | 7.59 | 13 | 0.0050 | 0.000255 | 0.93 | 0.04 | na | na | na | na |
| Terova et al. [31] | 2019 | Italy | Oncorhynchus mykiss | 15.59 | 13 | 0.0050 | 0.000217 | 0.95 | 0.03 | na | na | na | na |
| Terova et al. [31] | 2019 | Italy | Oncorhynchus mykiss | 24.05 | 13 | 0.0050 | 0.000187 | 0.93 | 0.04 | na | na | na | na |
| Wang et al. [32] | 2019 | China | Lateolabrax japonicus | 0 | 27.4 | 0.0036 | 0.000008 | 1.37 | 0.03 | 17.2 | 0.13 | 8.66 | 0.14 |
| Wang et al. [32] | 2019 | China | Lateolabrax japonicus | 13.61 | 27.4 | 0.0037 | 0.000022 | 1.44 | 0.07 | 17.22 | 0.15 | 8.26 | 0.18 |
| Wang et al. [32] | 2019 | China | Lateolabrax japonicus | 28.01 | 27.4 | 0.0036 | 0.000018 | 1.41 | 0.05 | 17.13 | 0.18 | 8.25 | 0.38 |
| Wang et al. [32] | 2019 | China | Lateolabrax japonicus | 43.29 | 27.4 | 0.0038 | 0.000006 | 1.40 | 0.02 | 16.82 | 0.13 | 8.88 | 0.26 |
| Wang et al. [32] | 2019 | China | Lateolabrax japonicus | 59.51 | 27.4 | 0.0036 | 0.000007 | 4.50 | 0.04 | 16.89 | 0.16 | 8.9 | 0.22 |
| Abdel-Tawwab et al. [33] | 2020 | Egypt | Dicentrarchus labrax | 0 | 27.85 | 0.0043 | 0.000021 | 1.42 | 0.09 | 17.76 | 4.74 | 6.13 | 0.80 |
| Abdel-Tawwab et al. [33] | 2020 | Egypt | Dicentrarchus labrax | 17.68 | 27.85 | 0.0043 | 0.000021 | 1.41 | 0.09 | 17.84 | 4.74 | 6.11 | 0.80 |
| Abdel-Tawwab et al. [33] | 2020 | Egypt | Dicentrarchus labrax | 25.76 | 27.85 | 0.0043 | 0.000021 | 1.44 | 0.09 | 17.6 | 4.74 | 6.22 | 3.80 |
| Abdel-Tawwab et al. [33] | 2020 | Egypt | Dicentrarchus labrax | 39.18 | 27.85 | 0.0043 | 0.000022 | 1.42 | 0.09 | 17.57 | 4.74 | 6.13 | 3.80 |
| Caimi et al. [34] | 2020 | Italy | Acipenser baerii | 0 | 13 | 0.0064 | 0.000087 | 1.03 | 0.03 | 13.66 | 0.99 | 4.5 | 0.39 |
| Caimi et al. [34] | 2020 | Italy | Acipenser baerii | 24.62 | 13 | 0.0060 | 0.000089 | 1.08 | 0.03 | 14.1 | 0.99 | 5.13 | 0.39 |
| Caimi et al. [34] | 2020 | Italy | Acipenser baerii | 49.49 | 13 | 0.0058 | 0.000091 | 1.12 | 0.03 | 13.96 | 0.99 | 6.23 | 0.39 |
| Fawole et al. [35] | 2020 | Nigeria | Clarias gariepinus | 0 | 26.61 | 0.0022 | 0.000021 | 1.86 | 0.09 | 16.82 | 0.67 | 5.3 | 0.42 |
| Fawole et al. [35] | 2020 | Nigeria | Clarias gariepinus | 17.49 | 26.61 | 0.0024 | 0.000021 | 1.78 | 0.09 | 17.03 | 0.67 | 5.66 | 0.42 |
| Fawole et al. [35] | 2020 | Nigeria | Clarias gariepinus | 38.87 | 26.61 | 0.0028 | 0.000021 | 1.48 | 0.09 | 17.30 | 0.67 | 4.76 | 0.42 |
| Fawole et al. [35] | 2020 | Nigeria | Clarias gariepinus | 65.61 | 26.61 | 0.0024 | 0.000021 | 1.65 | 0.09 | 16.59 | 0.67 | 5.05 | 0.42 |
| Guerreiro et al. [36] | 2020 | Portugal | Argyrosomus regius | 0 | 22.4 | 0.0043 | 0.000075 | 1.25 | 0.03 | 16.80 | 0.16 | 5.97 | 0.27 |
| Guerreiro et al. [36] | 2020 | Portugal | Argyrosomus regius | 7.76 | 22.4 | 0.0042 | 0.000013 | 1.22 | 0.04 | 16.70 | 0.47 | 5.57 | 0.12 |
| Guerreiro et al. [36] | 2020 | Portugal | Argyrosomus regius | 15.91 | 22.4 | 0.0038 | 0.000011 | 1.17 | 0.04 | 16.70 | 0.19 | 5.28 | 0.40 |
| Guerreiro et al. [36] | 2020 | Portugal | Argyrosomus regius | 24.49 | 22.4 | 0.0033 | 0.000038 | 1.05 | 0.17 | 16.80 | 0.62 | 6.15 | 0.60 |
| Hu et al. [37] | 2020 | China | Monopterus albus | 0 | 28 | 0.0021 | 0.000007 | 2.04 | 0.01 | 17.25 | 0.12 | 16.6 | 0.14 |
| Hu et al. [37] | 2020 | China | Monopterus albus | 1.2 | 28 | 0.0025 | 0.000012 | 1.54 | 0.07 | 17.36 | 0.01 | 16.38 | 16.38 |
| Hu et al. [37] | 2020 | China | Monopterus albus | 2.44 | 28 | 0.0024 | 0.000004 | 1.77 | 0.15 | 17.48 | 0.10 | 16.06 | 16.06 |
| Hu et al. [37] | 2020 | China | Monopterus albus | 3.71 | 28 | 0.0022 | 0.000009 | 1.86 | 0.09 | 17.27 | 0.03 | 13.3 | 13.3 |
| Mastoraki et al. [38] | 2020 | Greece | Dicentrarchus labrax | 0 | 19.3 | 0.0028 | 0.000003 | 0.99 | 0.02 | 17.79 | 0.16 | 13.65 | 0.43 |
| Mastoraki et al. [38] | 2020 | Greece | Dicentrarchus labrax | 29.09 | 19.3 | 0.0037 | 0.000011 | 1.03 | 0.01 | 17.86 | 0.01 | 11.91 | 0.10 |
| Xu et al. [39] | 2020 | China | Cyprinus carpio | 0 | 27.5 | 0.0044 | 0.000025 | 1.22 | 0.06 | 20.43 | 3.03 | 7.20 | 0.33 |
| Xu et al. [39] | 2020 | China | Cyprinus carpio | 15.01 | 27.5 | 0.0044 | 0.000030 | 1.24 | 0.07 | 20.05 | 2.09 | 5.61 | 0.39 |
| Xu et al. [39] | 2020 | China | Cyprinus carpio | 34.63 | 27.5 | 0.0044 | 0.000022 | 1.26 | 0.06 | 21.70 | 0.04 | 5.70 | 0.77 |
| Xu et al. [39] | 2020 | China | Cyprinus carpio | 61.38 | 27.5 | 0.0043 | 0.000035 | 1.33 | 0.07 | 19.63 | 1.90 | 5.81 | 0.00 |
| Xu et al. [39] | 2020 | China | Cyprinus carpio | 100 | 27.5 | 0.0043 | 0.000044 | 1.24 | 0.1 | 21.00 | 2.40 | 5.79 | 0.54 |
| Fabrikov et al. [40] | 2020 | Spain | Oncorhynchus mykiss | 0 | 20 | 0.0035 | 0.000012 | 0.77 | 0 | na | na | na | na |
| Fabrikov et al. [40] | 2020 | Spain | Oncorhynchus mykiss | 9.55 | 20 | 0.0035 | 0.000014 | 0.78 | 0.01 | na | na | na | na |
| Fabrikov et al. [40] | 2020 | Spain | Oncorhynchus mykiss | 20.41 | 20 | 0.0034 | 0.000008 | 0.78 | 0.01 | na | na | na | na |
| Fabrikov et al. [40] | 2020 | Spain | Tinca tinca | 9.55 | 20 | 0.0014 | 0.000003 | 1.82 | 0.04 | na | na | na | na |
| Fabrikov et al. [40] | 2020 | Spain | Tinca tinca | 20.41 | 20 | 0.0013 | 0.000013 | 1.90 | 0.08 | na | na | na | na |
| Fabrikov et al. [40] | 2020 | Spain | Tinca tinca | 9.55 | 20 | 0.0014 | 0.000007 | 1.77 | 0.04 | na | na | na | na |
| Fabrikov et al. [40] | 2020 | Spain | Sparus aurata | 20.41 | 20 | 0.0027 | 0.000004 | 1.02 | 0.00 | na | na | na | na |
| Fabrikov et al. [40] | 2020 | Spain | Sparus aurata | 9.55 | 20 | 0.0027 | 0.000007 | 0.98 | 0.01 | na | na | na | na |
| Fabrikov et al. [40] | 2020 | Spain | Sparus aurata | 20.41 | 20 | 0.0025 | 0.000008 | 0.92 | 0.12 | na | na | na | na |
| Rawski et al. [41] | 2020 | Poland | Acipenser baerii | 0 | 20.3 | 0.0049 | 0.000039 | 0.88 | 0.01 | na | na | na | na |
| Rawski et al. [41] | 2020 | Poland | Acipenser baerii | 2.89 | 20.3 | 0.0054 | 0.000037 | 0.79 | 0.01 | na | na | na | na |
| Rawski et al. [41] | 2020 | Poland | Acipenser baerii | 6.61 | 20.3 | 0.0058 | 0.000038 | 0.89 | 0.01 | na | na | na | na |
| Rawski et al. [41] | 2020 | Poland | Acipenser baerii | 9.09 | 20.3 | 0.0058 | 0.000038 | 0.7 | 0.01 | na | na | na | na |
| Rawski et al. [41] | 2020 | Poland | Acipenser baerii | 12.4 | 20.3 | 0.0059 | 0.000039 | 0.68 | 0.01 | na | na | na | na |
| Rawski et al. [41] | 2020 | Poland | Acipenser baerii | 15.88 | 20.3 | 0.0058 | 0.000039 | 0.68 | 0.01 | na | na | na | na |
| Rawski et al. [41] | 2020 | Poland | Acipenser baerii | 19.53 | 20.3 | 0.0059 | 0.000040 | 0.68 | 0.01 | na | na | na | na |
| Madibana et al. [42] | 2020 | South africa | Argyrosomus japonicus | 0 | 25 | 0.0015 | 0.000011 | 1.73 | 0.14 | na | na | na | na |
| Madibana et al. [42] | 2020 | South africa | Argyrosomus japonicus | 5.92 | 25 | 0.0004 | 0.000011 | 1.20 | 0.14 | na | na | na | na |
| Madibana et al. [42] | 2020 | South africa | Argyrosomus japonicus | 11.73 | 25 | 0.0020 | 0.000012 | 1.20 | 0.14 | na | na | na | na |
| Madibana et al. [42] | 2020 | South africa | Argyrosomus japonicus | 23.02 | 25 | 0.0051 | 0.000012 | 1.66 | 0.14 | na | na | na | na |
| Melenchón et al. [43] | 2020 | Spain | Oncorhynchus mykiss | 0 | 15 | 0.0035 | 0.000053 | 0.77 | 0.02 | 18.61 | 0.2 | 1.28 | 0.04 |
| Melenchón et al. [43] | 2020 | Spain | Oncorhynchus mykiss | 7.32 | 15 | 0.0035 | 0.000052 | 0.78 | 0.02 | 19.16 | 0.2 | 1.66 | 0.04 |
| Melenchón et al. [43] | 2020 | Spain | Oncorhynchus mykiss | 16.1 | 15 | 0.0034 | 0.000054 | 0.78 | 0.02 | 19.06 | 0.2 | 1.27 | 0.04 |
| Adeoye et al. [44] | 2020 | Nigeria | Clarias gariepinus | 0 | 30.34 | 0.0025 | 0.000002 | 1.22 | 0.10 | na | na | na | na |
| Adeoye et al. [44] | 2020 | Nigeria | Clarias gariepinus | 16.47 | 30.34 | 0.0020 | 0.000011 | 1.41 | 0.24 | na | na | na | na |
| Adeoye et al. [44] | 2020 | Nigeria | Clarias gariepinus | 37.17 | 30.34 | 0.0022 | 0.000002 | 1.29 | 0.05 | na | na | na | na |
| Adeoye et al. [44] | 2020 | Nigeria | Clarias gariepinus | 100 | 30.34 | 0.0009 | 0.000003 | 2.96 | 0.30 | na | na | na | na |
| Stejskal et al. [45] | 2020 | Czech Republic | Perca fluviatilis | 0 | 22.5 | 0.0030 | 0.000010 | 1.00 | 0.07 | 24.10 | 3.10 | 10.10 | 1.30 |
| Stejskal et al. [45] | 2020 | Czech Republic | Perca fluviatilis | 17.18 | 22.5 | 0.0032 | 0.000017 | 0.91 | 0.05 | 21.80 | 0.90 | 9.50 | 0.20 |
| Stejskal et al. [45] | 2020 | Czech Republic | Perca fluviatilis | 35.61 | 22.5 | 0.0032 | 0.000015 | 0.91 | 0.04 | 21.60 | 0.60 | 8.70 | 0.50 |
| Stejskal et al. [45] | 2020 | Czech Republic | Perca fluviatilis | 55.45 | 22.5 | 0.0027 | 0.000026 | 1.12 | 0.06 | 20.70 | 0.30 | 8.50 | 0.80 |
| Weththasinghe et al. [46] | 2021 | Poland | Salmo salar | 0 | 14.8 | 0.0033 | 0.000071 | 0.77 | 0.07 | 8.72 | 0.17 | 9.52 | 0.11 |
| Weththasinghe et al. [46] | 2021 | Poland | Salmo salar | 6.25 | 14.8 | 0.0032 | 0.000076 | 0.78 | 0.07 | 8.69 | 0.17 | 9.46 | 0.11 |
| Weththasinghe et al. [46] | 2021 | Poland | Salmo salar | 12.5 | 14.8 | 0.0033 | 0.000072 | 0.76 | 0.07 | 8.47 | 0.17 | 9.13 | 0.11 |
| Weththasinghe et al. [46] | 2021 | Poland | Salmo salar | 25 | 14.8 | 0.0031 | 0.000075 | 0.81 | 0.07 | 8.33 | 0.17 | 8.80 | 0.11 |
| Tippayadara et al. [47] | 2021 | Thailand | Oreochromis niloticus | 0 | 28.93 | 0.0027 | 0.000034 | 2.22 | 0.17 | na | na | na | na |
| Tippayadara et al. [47] | 2021 | Thailand | Oreochromis niloticus | 4.15 | 28.93 | 0.0027 | 0.000049 | 2.15 | 0.27 | na | na | na | na |
| Tippayadara et al. [47] | 2021 | Thailand | Oreochromis niloticus | 8.88 | 28.93 | 0.0029 | 0.000029 | 2.15 | 0.10 | na | na | na | na |
| Tippayadara et al. [47] | 2021 | Thailand | Oreochromis niloticus | 20.63 | 28.93 | 0.0030 | 0.000040 | 2.14 | 0.31 | na | na | na | na |
| Tippayadara et al. [47] | 2021 | Thailand | Oreochromis niloticus | 36.9 | 28.93 | 0.0029 | 0.000041 | 2.16 | 0.42 | na | na | na | na |
| Tippayadara et al. [47] | 2021 | Thailand | Oreochromis niloticus | 60.93 | 28.93 | 0.0028 | 0.000043 | 2.16 | 0.17 | na | na | na | na |
| Tippayadara et al. [47] | 2021 | Thailand | Oreochromis niloticus | 100 | 28.93 | 0.0027 | 0.000031 | 2.23 | 0.15 | na | na | na | na |
| Hoc et al. [48] | 2021 | Belgium | Oncorhynchus mykiss | 0 | 12 | 0.0039 | 0.000049 | 1.12 | 0.00 | 39.23 | 0.13 | 14.74 | 0.33 |
| Hoc et al. [48] | 2021 | Belgium | Oncorhynchus mykiss | 57.44 | 12 | 0.0039 | 0.000045 | 1.23 | 0.03 | 38.78 | 0.18 | 15.97 | 0.27 |
| Hoc et al. [48] | 2021 | Belgium | Oncorhynchus mykiss | 58.97 | 12 | 0.0038 | 0.000053 | 1.24 | 0.04 | 38.90 | 0.13 | 15.17 | 0.46 |
| Caimi et al. [49] | 2022 | Italy | Oncorhynchus mykiss | 0 | 13 | 0.0048 | 0.000078 | 1.08 | 0.06 | na | na | na | na |
| Caimi et al. [49] | 2022 | Italy | Oncorhynchus mykiss | 2.54 | 13 | 0.0048 | 0.000077 | 1.09 | 0.06 | na | na | na | na |
| Caimi et al. [49] | 2022 | Italy | Oncorhynchus mykiss | 5.1 | 13 | 0.0049 | 0.000079 | 1.09 | 0.06 | na | na | na | na |
| Caimi et al. [49] | 2022 | Italy | Oncorhynchus mykiss | 7.68 | 13 | 0.0048 | 0.000082 | 1.12 | 0.06 | na | na | na | na |
| Caimi et al. [49] | 2022 | Italy | Oncorhynchus mykiss | 10.3 | 13 | 0.0046 | 0.000079 | 1.13 | 0.06 | na | na | na | na |
| Caimi et al. [49] | 2022 | Italy | Oncorhynchus mykiss | 12.93 | 13 | 0.0045 | 0.000080 | 1.18 | 0.06 | na | na | na | na |
| Agbohessou et al. [50] | 2022 | Benin | Oreochromis niloticus | 0 | 28.74 | 0.0042 | 0.000005 | na | na | 57.3 | 0.5 | 21.26 | 0.57 |
| Agbohessou et al. [50] | 2022 | Benin | Oreochromis niloticus | 100 | 28.74 | 0.0035 | 0.000004 | na | na | 57.69 | 1.7 | 26.46 | 0.74 |
| Agbohessou et al. [50] | 2022 | Benin | Oreochromis niloticus | 100 | 28.74 | 0.0034 | 0.000004 | na | na | 56.76 | 0.89 | 27.54 | 0.19 |
| Agbohessou et al. [50] | 2022 | Benin | Oreochromis niloticus | 100 | 28.74 | 0.0035 | 0.000002 | na | na | 56.42 | 0.4 | 25.67 | 0.17 |
Appendix B
Appendix C
References
- FAO. La Situation Mondiale Des Pêches et de L’aquaculture 2018. Atteindre les Objectifs de Développement Durable; FAO: Rome, Italy, 2018; ISBN 978-92-5-130692-5. [Google Scholar]
- Tschirner, M.; Kloas, W. Increasing the Sustainability of Aquaculture Systems: Insects as Alternative Protein Source for Fish Diets. GAIA Ecol. Perspect. Sci. Soc. 2017, 26, 332–340. [Google Scholar] [CrossRef]
- FAO. The State of World Fisheries and Aquaculture; FAO: Rome, Italy, 2016; ISBN 9789252091851. [Google Scholar]
- van Huis, A. Potential of Insects as Food and Feed in Assuring Food Security. Annu. Rev. Entomol. 2013, 58, 563–583. [Google Scholar] [CrossRef]
- Barroso, F.G.; De Haro, C.; Sánchez-muros, M.; Venegas, E.; Martínez-sánchez, A.; Pérez-bañón, C. The potential of various insect species for use as food for fish. Aquaculture 2014, 422–423, 193–201. [Google Scholar] [CrossRef]
- Hua, K. A meta-analysis of the effects of replacing fish meals with insect meals on growth performance of fish. Aquaculture 2021, 530, 735732. [Google Scholar] [CrossRef]
- Sánchez-Muros, M.J.; Barroso, F.G.; Manzano-Agugliaro, F. Insect Meal as Renewable Source of Food for Animal Feeding: A Review. J. Clean. Prod. 2014, 65, 16–27. [Google Scholar] [CrossRef]
- Henry, M.; Gasco, L.; Piccolo, G.; Fountoulaki, E. Review on the use of insects in the diet of farmed fish: Past and future. Anim. Feed Sci. Technol. 2015, 203, 1–22. [Google Scholar] [CrossRef]
- Barragan-Fonseca, K.B.; Dicke, M.; van Loon, J.J.A. Nutritional value of the black soldier fly (Hermetia illucens L. 1758) and its suitability as animal feed—A review. J. Insects Food Feed 2017, 3, 105–120. [Google Scholar] [CrossRef]
- Wang, Y.S.; Shelomi, M. Review of Black Soldier Fly (Hermetia illucens) as Animal Feed and Human Food. Foods 2017, 6, 91. [Google Scholar] [CrossRef]
- Sauvant, D.; Schmidely, P.; Daudin, J.J.; Sauvant, D.; Schmidely, P.; Les, J.J.D. Les méta-analyses des données expérimentales: Applications en nutrition animale. INRA Prod. Anim. 2005, 18, 63–73. [Google Scholar] [CrossRef]
- Wiebe, N.; Vandermeer, B.; Platt, R.W.; Klassen, T.P.; Moher, D.; Barrowman, N.J. A systematic review identifies a lack of standardization in methods for handling missing variance data. J. Clin. Epidemiol. 2006, 59, 342–353. [Google Scholar] [CrossRef]
- Röver, C. Bayesian Random-Effects Meta-Analysis Using the bayesmeta R Package. J. Stat. Softw. 2020, 93. [Google Scholar] [CrossRef]
- National Research Council. Nutrient Requirements of Fish and Shrimp; National Academies Press: Washington, DC, USA, 2011; ISBN 9781626239777. [Google Scholar]
- Sung, L.; Beyene, J.; Hayden, J.; Nathan, P.C.; Lange, B.; Tomlinson, G.A. A Bayesian meta-analysis of prophylactic granulocyte colony-stimulating factor and granulocyte-macrophage colony-stimulating factor in children with cancer. Am. J. Epidemiol. 2006, 163, 811–817. [Google Scholar] [CrossRef] [PubMed][Green Version]
- Moula, N.; Detilleux, J. A Meta-Analysis of the Effects of Insects in Feed on Poultry Growth Performances. Animals 2019, 9, 201. [Google Scholar] [CrossRef] [PubMed]
- Higgins, J.P.T.; Thompson, S.G. Quantifying heterogeneity in a meta-analysis. Stat. Med. 2002, 21, 1539–1558. [Google Scholar] [CrossRef] [PubMed]
- Egger, M.; Smith, G.D.; Schneider, M.; Minder, C. Bias in meta-analysis detected by a simple, graphical test. BMJ 1997, 315, 629–634. [Google Scholar] [CrossRef]
- Lin, L.; Chu, H. Quantifying publication bias in meta-analysis. Biometrics 2018, 74, 785–794. [Google Scholar] [CrossRef]
- Sterne, J.A.C.; Gavaghan, D.; Egger, M. Publication and related bias in meta-analysis: Power of statistical tests and prevalence in the literature. J. Clin. Epidemio. 2000, 53, 1119–1129. [Google Scholar] [CrossRef]
- Liland, N.S.; Araujo, P.; Xu, X.X.; Lock, E.J.; Radhakrishnan, G.; Prabhu, A.J.P.; Belghit, I. A meta-analysis on the nutritional value of insects in aquafeeds. J. Insects Food Feed 2021, 7, 743–759. [Google Scholar] [CrossRef]
- Hoc, B.; Genva, M.; Fauconnier, M.L.; Lognay, G.; Francis, F.; Caparros Megido, R. About lipid metabolism in Hermetia illucens (L. 1758): On the origin of fatty acids in prepupae. Sci. Rep. 2020, 10, 11916. [Google Scholar] [CrossRef]
- Devic, E.; Leschen, W.; Murray, F.; Little, D. Growth performance, feed utilization and body composition of advanced nursing Nile tilapia (Oreochromis niloticus) fed diets containing Black Soldier Fly (Hermetia illucens) larvae meal. Aquac. Nutr. 2018, 24, 416–423. [Google Scholar] [CrossRef]
- Katya, K.; Borsra, M.Z.S.; Ganesan, D.; Kuppusamy, G.; Herriman, M.; Salter, A.; Ali, S.A. Efficacy of insect larval meal to replace fish meal in juvenile barramundi, Lates calcarifer reared in freshwater. Int. Aquat. Res. 2017, 9, 303–312. [Google Scholar] [CrossRef]
- Magalhães, R.; Sánchez-López, A.; Leal, R.S.; Martínez-Llorens, S.; Oliva-Teles, A.; Peres, H. Black soldier fly (Hermetia illucens) pre-pupae meal as a fish meal replacement in diets for European seabass (Dicentrarchus labrax). Aquaculture 2017, 476, 79–85. [Google Scholar] [CrossRef]
- Xiao, X.; Jin, P.; Zheng, L.; Cai, M.; Yu, Z.; Yu, J.; Zhang, J. Effects of black soldier fly (Hermetia illucens) larvae meal protein as a fishmeal replacement on the growth and immune index of yellow catfish (Pelteobagrus fulvidraco). Aquac. Res. 2018, 49, 1569–1577. [Google Scholar] [CrossRef]
- Cardinaletti, G.; Randazzo, B.; Messina, M.; Zarantoniello, M.; Giorgini, E.; Zimbelli, A.; Bruni, L.; Parisi, G.; Olivotto, I.; Tulli, F. Effects of Graded Dietary Inclusion Level of Full-Fat Hermetia illucens Prepupae Meal in Practical Diets for Rainbow Trout (Oncorhynchus mykiss). Animals 2019, 9, 251. [Google Scholar] [CrossRef] [PubMed]
- Kroeckel, S.; Harjes, A.E.; Roth, I.; Katz, H.; Wuertz, S.; Susenbeth, A.; Schulz, C. When a turbot catches a fly: Evaluation of a pre-pupae meal of the Black Soldier Fly (Hermetia illucens) as fi sh meal substitute—Growth performance and chitin degradation in juvenile turbot (Psetta maxima). Aquaculture 2012, 364–365, 345–352. [Google Scholar] [CrossRef]
- Renna, M.; Schiavone, A.; Gai, F.; Dabbou, S.; Lussiana, C.; Malfatto, V.; Prearo, M.; Capucchio, M.T.; Biasato, I.; Biasibetti, E.; et al. Evaluation of the suitability of a partially defatted black soldier fly (Hermetia illucens L.) larvae meal as ingredient for rainbow trout (Oncorhynchus mykiss Walbaum) diets. J. Anim. Sci. Biotechnol. 2017, 8, 57. [Google Scholar] [CrossRef]
- Józefiak, A.; Nogales-Mérida, S.; Mikołajczak, Z.; Rawski, M.; Kierończyk, B.; Mazurkiewicz, J. The Utilization of Full-Fat Insect Meal in Rainbow Trout (Oncorhynchus mykiss) Nutrition: The Effects on Growth Performance, Intestinal Microbiota and Gastrointestinal Tract Histomorphology. Ann. Anim. Sci. 2019, 19, 747–765. [Google Scholar] [CrossRef]
- Terova, G.; Rimoldi, S.; Ascione, C.; Gini, E.; Ceccotti, C.; Gasco, L. Rainbow trout (Oncorhynchus mykiss) gut microbiota is modulated by insect meal from Hermetia illucens prepupae in the diet. Rev. Fish Biol. Fish. 2019, 29, 465–486. [Google Scholar] [CrossRef]
- Wang, G.; Peng, K.; Hu, J.; Yi, C.; Chen, X.; Wu, H.; Huang, Y. Evaluation of defatted black soldier fly (Hermetia illucens L.) larvae meal as an alternative protein ingredient for juvenile Japanese seabass (Lateolabrax japonicus) diets. Aquaculture 2019, 507, 144–154. [Google Scholar] [CrossRef]
- Abdel-Tawwab, M.; Khalil, R.H.; Metwally, A.A.; Shakweer, M.S.; Khallaf, M.A.; Abdel-Latif, H.M. Effects of black soldier fly (Hermetia illucens L.) larvae meal on growth performance, organs-somatic indices, body composition, and hemato-biochemical variables of European sea bass, Dicentrarchus labrax. Aquaculture 2020, 522, 735136. [Google Scholar] [CrossRef]
- Caimi, C.; Renna, M.; Lussiana, C.; Bonaldo, A.; Gariglio, M.; Meneguz, M.; Dabbou, S.; Schiavone, A.; Gai, F.; Elia, A.C.; et al. First insights on Black Soldier Fly (Hermetia illucens L. 1758) larvae meal dietary administration in Siberian sturgeon (Acipenser baerii Brandt) juveniles. Aquaculture 2020, 515, 734539. [Google Scholar] [CrossRef]
- Fawole, F.J.; Adeoye, A.A.; Tiamiyu, L.O.; Ajala, K.I.; Obadara, S.O.; Ganiyu, I.O. Substituting fishmeal with Hermetia illucens in the diets of African catfish (Clarias gariepinus): Effects on growth, nutrient utilization, haemato-physiological response, and oxidative stress biomarker. Aquaculture 2020, 518, 734849. [Google Scholar] [CrossRef]
- Guerreiro, I.; Castro, C.; Antunes, B.; Coutinho, F.; Rangel, F.; Couto, A.; Serra, C.R.; Peres, H.; Pousão-Ferreira, P.; Matos, E.; et al. Catching black soldier fly for meagre: Growth, whole-body fatty acid profile and metabolic responses. Aquaculture 2020, 516, 734613. [Google Scholar] [CrossRef]
- Hu, Y.; Huang, Y.; Tang, T.; Zhong, L.; Chu, W.; Dai, Z.; Chen, K.; Hu, Y. Effect of partial black soldier fly (Hermetia illucens L. 1758) larvae meal replacement of fish meal in practical diets on the growth, digestive enzyme and related gene expression for rice field eel (Monopterus albus). Aquac. Rep. 2020, 17, 100345. [Google Scholar] [CrossRef]
- Mastoraki, M.; Mollá Ferrándiz, P.; Vardali, S.C.; Kontodimas, D.C.; Kotzamanis, Y.P.; Gasco, L.; Chatzifotis, S.; Antonopoulou, E. A comparative study on the effect of fish meal substitution with three different insect meals on growth, body composition and metabolism of European sea bass (Dicentrarchus labrax L.). Aquaculture 2020, 528, 735511. [Google Scholar] [CrossRef]
- Xu, X.; Ji, H.; Yu, H.; Zhou, J. Influence of dietary black soldier fly (Hermetia illucens Linnaeus, 1758) pulp on growth performance, antioxidant capacity and intestinal health of juvenile mirror carp (Cyprinus carpio var. specularis). Aquac. Nutr. 2020, 26, 432–443. [Google Scholar] [CrossRef]
- Fabrikov, D.; Sánchez-Muros, M.J.; Barroso, F.G.; Tomás-Almenar, C.; Melenchón, F.; Hidalgo, M.C.; Morales, A.E.; Rodriguez-Rodriguez, M.; Montes-Lopez, J. Comparative study of growth performance and amino acid catabolism in Oncorhynchus mykiss, Tinca tinca and Sparus aurata and the catabolic changes in response to insect meal inclusion in the diet. Aquaculture 2020, 529, 735731. [Google Scholar] [CrossRef]
- Rawski, M.; Mazurkiewicz, J.; Kierończyk, B.; Józefiak, D. Black Soldier Fly Full-Fat Larvae Meal as an Alternative to Fish Meal and Fish Oil in Siberian Sturgeon Nutrition: The Effects on Physical Properties of the Feed, Animal Growth Performance, and Feed Acceptance and Utilization. Animals 2020, 10, 2119. [Google Scholar] [CrossRef]
- Madibana, M.J.; Mwanza, M.; Lewis, B.R.; Fouché, C.H.; Toefy, R.; Mlambo, V. Black Soldier Fly Larvae Meal as a Fishmeal Substitute in Juvenile Dusky Kob Diets: Effect on Feed Utilization, Growth Performance, and Blood Parameters. Sustainability 2020, 12, 9460. [Google Scholar] [CrossRef]
- Melenchón, F.; LarráMen, A.; de Mercado, E.; Hidalgo, M.; Cardenete, G.; Barroso, F.; Fabrikov, D.; Lourenço, H.; Pessoa, M.; Tomás-Almenar, C. Potential use of black soldier fly (Hermetia illucens) and mealworm (Tenebrio molitor) insectmeals in diets for rainbow trout (Oncorhynchus mykiss). Aquac. Nutr. 2020, 27, 491–505. [Google Scholar] [CrossRef]
- Adeoye, A.A.; Akegbejo-Samsons, Y.; Fawole, F.J.; Davies, S.J. Preliminary assessment of black soldier fly (Hermetia illucens) larval meal in the diet of African catfish (Clarias gariepinus): Impact on growth, body index, and hematological parameters. J. World Aquac. Soc. 2020, 51, 1024–1033. [Google Scholar] [CrossRef]
- Stejskal, V.; Tran, H.Q.; Prokesova, M.; Gebauer, T.; Giang, P.T.; Gai, F.; Gasco, L. Partially Defatted Hermetia illucens Larva Meal in Diet of Eurasian Perch (Perca fluviatilis) Juveniles. Animals 2020, 10, 1876. [Google Scholar] [CrossRef] [PubMed]
- Weththasinghe, P.; Hansen, J.; Nøkland, D.; Lagos, L.; Rawski, M.; Øverland, M. Full-fat black soldier fly larvae (Hermetia illucens) meal and paste in extruded diets for Atlantic salmon (Salmo salar): Effect on physical pellet quality, nutrient digestibility, nutrient utilization and growth performances. Aquaculture 2021, 530, 735785. [Google Scholar] [CrossRef]
- Tippayadara, N.; Dawood, M.A.O.; Krutmuang, P.; Hoseinifar, S.H.; Van Doan, H.; Paolucci, M. Replacement of Fish Meal by Black Soldier Fly (Hermetia illucens) Larvae Meal: Effects on Growth, Haematology, and Skin Mucus Immunity of Nile Tilapia, Oreochromis niloticus. Animals 2021, 11, 193. [Google Scholar] [CrossRef]
- Hoc, B.; Tomson, T.; Malumba, P.; Blecker, C.; Jijakli, M.H.; Purcaro, G.; Francis, F.; Caparros Megido, R. Production of rainbow trout (Oncorhynchus mykiss) using black soldier fly (Hermetia illucens) prepupae-based formulations with differentiated fatty acid profiles. Sci. Total Environ. 2021, 794, 148647. [Google Scholar] [CrossRef]
- Biasato, I.; Chemello, G.; Oddon, S.B.; Ferrocino, I.; Corvaglia, M.R.; Caimi, C.; Resconi, A.; Paul, A.; Van Spankeren, M.; Capucchio, M.T. Hermetia illucens meal inclusion in low-fishmeal diets for rainbow trout (Oncorhynchus mykiss): Effects on the growth performance, nutrient digestibility coefficients, selected gut health traits, and health status indices. Anim. Feed Sci. Technol. 2022, 290, 115341. [Google Scholar] [CrossRef]
- Agbohessou, P.S.; Mandiki, S.N.M.; Gougbédji, A.; Megido, R.C.; Hossain, M.S.; De Jaeger, P.; Larondelle, Y.; Francis, F.; Lalèyè, P.A.; Kestemont, P. Total replacement of fish meal by enriched-fatty acid Hermetia illucens meal did not substantially affect growth parameters or innate immune status and improved whole body biochemical quality of Nile tilapia juveniles. Aquac. Nutr. 2021, 27, 880–896. [Google Scholar] [CrossRef]




| Parameters | Z | p | b | Publication Bias |
|---|---|---|---|---|
| DIFF_TGC | 2.73 | 0.01 | −0.00 | Yes |
| DIFF_FCR | 0.73 | 0.47 | 0.06 | No |
| DIFF_PROT | 0.61 | 0.54 | −0.24 | No |
| DIFF_LIP | 0.54 | 0.59 | −0.15 | No |
| Effects | DIFF_TGC | DIFF_FCR | DIFF_PROT | DIFF_LIP | |
|---|---|---|---|---|---|
| Fish species | Acipenser baerii (reference) | 0 | 0 | 0 | 0 |
| Argyrosomus japonicus | 0.0018 [−0.001, 0.004] | −1.30 [−2.88, 0.28] | |||
| Argyrosomus regius | −0.0005 [−0.002, 0.001] | −0.52 [−1.39, 0.35] | −2.1 [−5.29, 1.09] | −1.63 [−4.63, 1.36] | |
| Cyprinus carpio | 0.0003 [−0.001, 0.002] | −0.82 [−1.65, 0.01] | −4.79 [−12.34, 2.76] | −3.63 [−7.83, 0.56] | |
| Clarias gariepinus | −0.0002 [−0.002, 0.001] | −0.45 [−1.13, 0.22] | −4.36 [−10.20, 1.49] | 0.92 [−2.89, 4.74] | |
| Dicentrarchus labrax | 0.0002 [−0.001, 0.001] | −0.44 [−1.14, 0.26] | −1.37 [−3.69, 0.96] | 0.39 [−2.47, 3.26] | |
| Lates calcarifer | −0.0003 [−0.002, 0.001] | 0.17 [−0.50, 0.85] | −1.72 [−6.71, 3.26] | 0.02 [−3.08, 3.13] | |
| Lateolabrax japonicus | 0.0006 [−0.001, 0.002] | −0.38 [−1.36, 0.61] | −4.59 [−10.50, 1.31] | −4.89 [−8.77, −1.01] | |
| Monopterus albus | 0.0002 [−0.001, 0.002] | −0.64 [−1.38, 0.09] | −5.19 [−11.41, 1.03] | −1.73 [−19.21, 15.75] | |
| Oncorhynchus mykiss | 0.0000 [−0.001, 0.001] | 0.14 [−0.58, 0.86] | 0.30 [−2.08, 2.67] | −1.76 [−4.50, 0.98] | |
| Oreochromis niloticus | 0.0003 [−0.001, 0.002] | −0.71 [−1.52, 0.11] | −5.17 [−11.96, 1.62] | −0.09 [−4.32, 4.14] | |
| Perca fluviatilis | −0.0007 [−0.002, 0.000] | −0.02 [−0.58, 0.55] | −6.02 [−11.25, −0.79] | 4.49 [1.01, 7.97] | |
| Pelteobagrus fulvidraco | 0.0016 [0.000, 0.003] * | −0.91 [−1.76, −0.05] * | −4.50 [−9.93, 0.92] | −1.15 [−5.01, 2.72] | |
| Psetta maxima | −0.0018 [−0.003, −0.001] * | 0.18 [−0.28, 0.63] | −1.27 [−4.83, 2.28] | −1.35 [−0.53, 3.22] | |
| Sparus aurata | −0.0009 [−0.002, 0.001] | 0.1 [−0.68, 0.87] | |||
| Salmo salar | −0.0002 [−0.002, 0.001] | 0.18 [−0.57, 0.94] | −0.52 [−2.80, 1.75] | −2.08 [−4.42, 0.26] | |
| Tinca tinca | −0.0022 [−0.004, −0.001] * | 1.01 [0.23, 1.79] * | |||
| Protein substitution rate | −0.0000 [0.0000, 0000] | 0.02 [0.01, 0.03] * | −0.01 [−0.02, 0.01] | 0.07 [0.04, 0.10] | |
| Lipid substitution rate | −0.0000 [0.0000, 0000] | −0.01[−0.02, 0.00] * | 0.00 [−0.01, 0.02] | −0.09 [−0.12, −0.05] * | |
| Diet protein | 0.0001 [0.0000, 0.0001] | −0.02 [−0.07, 0.02] | 0.02 [−0.10, 0.15] | −0.50 [−0.65, −0.35] * | |
| Diet lipid | −0.0001 [−0.0002, 0.0001] | 0.03 [−0.05, 0.11] | −0.18 [−0.40, 0.05] | 0.42 [0.11, 072] * | |
| Temperature | 0.0000 [−0.0001, 0.0001] | 0.04 [−0.01, 0.09] | 0.28 [−0.05, 0.61] | −0.18 [−0.45, 0.09] | |
| Overall mean | 0.0009 [0.0008, 0.9676] | 0.20 [0.11, 0.30] | 0.42[0.28, 0.58] | 1.53 [1.20, 1.91] | |
| Amount of heterogeneity accounted for (R2, %) | 43.81 | 44.41 | 96.38 | 89.57 | |
Publisher’s Note: MDPI stays neutral with regard to jurisdictional claims in published maps and institutional affiliations. |
© 2022 by the authors. Licensee MDPI, Basel, Switzerland. This article is an open access article distributed under the terms and conditions of the Creative Commons Attribution (CC BY) license (https://creativecommons.org/licenses/by/4.0/).
Share and Cite
Gougbedji, A.; Detilleux, J.; Lalèyè, P.A.; Francis, F.; Caparros Megido, R. Can Insect Meal Replace Fishmeal? A Meta-Analysis of the Effects of Black Soldier Fly on Fish Growth Performances and Nutritional Values. Animals 2022, 12, 1700. https://doi.org/10.3390/ani12131700
Gougbedji A, Detilleux J, Lalèyè PA, Francis F, Caparros Megido R. Can Insect Meal Replace Fishmeal? A Meta-Analysis of the Effects of Black Soldier Fly on Fish Growth Performances and Nutritional Values. Animals. 2022; 12(13):1700. https://doi.org/10.3390/ani12131700
Chicago/Turabian StyleGougbedji, Armel, Johann Detilleux, Philippe A. Lalèyè, Frédéric Francis, and Rudy Caparros Megido. 2022. "Can Insect Meal Replace Fishmeal? A Meta-Analysis of the Effects of Black Soldier Fly on Fish Growth Performances and Nutritional Values" Animals 12, no. 13: 1700. https://doi.org/10.3390/ani12131700
APA StyleGougbedji, A., Detilleux, J., Lalèyè, P. A., Francis, F., & Caparros Megido, R. (2022). Can Insect Meal Replace Fishmeal? A Meta-Analysis of the Effects of Black Soldier Fly on Fish Growth Performances and Nutritional Values. Animals, 12(13), 1700. https://doi.org/10.3390/ani12131700

