Authentication of the Montanera Period on Carcasses of Iberian Pigs by Using Analytical Techniques and Chemometric Analyses
Abstract
:Simple Summary
Abstract
1. Introduction
2. Materials and Methods
2.1. Sampling Procedure
2.2. Sample Pretreatment
2.3. GC-IMS Analysis
2.4. NIR Analysis
2.5. Data Processing
2.5.1. Data Processing of GC-IMS
2.5.2. Statistical Analysis of Data from GC-IMS
2.5.3. Statistical Analysis of NIR Spectra
3. Results and Discussion
3.1. GC-IMS Spectra of Iberian Fat Samples
3.1.1. Optimization of the Needle Sampling Method
3.1.2. Classification According to Days of Montanera and Genetic Purity
3.2. Discrimination of Samples According to Days of Montanera and Breed by NIRS
3.3. Comparison of the NIR and GC-IMS Results
4. Conclusions
Author Contributions
Funding
Institutional Review Board Statement
Data Availability Statement
Acknowledgments
Conflicts of Interest
References
- Buxadé, C.; Daza, A. Porcino Ibérico: Aspectos Claves; Mundi-Prensa: Madrid, Spain, 2000. [Google Scholar]
- Real Decreto 4/2014. de 10 de Enero. Por el Que se Aprueba la Norma de Calidad Para la Carne. el Jamón. la Paleta y la Caña de Lomo Ibérico. 2014. Available online: https://www.boe.es/diario_boe/txt.php?id=BOE-A-2014-318 (accessed on 9 September 2021).
- Viera Alcaide, I.; Vicario, I.M.; Escudero Gilete, M.L.; Graciani Constante, E.; León Camacho, M. A Multivariate Study of the Triacylglycerols Composition of the Subcutaneous Adipose Tissue of Iberian Pig in Relation to the Fattening Diet and Genotype. Grasas Aceites 2008, 59, 327–336. [Google Scholar] [CrossRef] [Green Version]
- Díaz, I.; García Regueiro, J.A.; Casillas, M.; De Pedro, E. Triglyceride Composition of Fresh Ham Fat from Iberian Pigs Produced with Different Systems of Animal Nutrition. Food Chem. 1996, 55, 383–387. [Google Scholar] [CrossRef]
- ISO/IEC 17020 Conformity Assessment—Requirements for the Operation of Various Types of Bodies Performing Inspection. 2012. Available online: https://www.iso.org/standard/52994.html (accessed on 9 September 2021).
- García-Olmo, J.; Garrido-Varo, A.; De Pedro, E. Classification of Real Farm Conditions Iberian Pigs According to the Feeding Regime with Multivariate Models Developed by Using Fatty Acids Composition or NIR Spectral Data. Grasas Aceites 2009, 60, 233–237. [Google Scholar] [CrossRef]
- Horcada, A.; Valera, M.; Juárez, M.; Fernández-Cabanás, V.M. Authentication of Iberian Pork Official Quality Categories Using a Portable near Infrared Spectroscopy (NIRS) Instrument. Food Chem. 2020, 318, 126–133. [Google Scholar] [CrossRef]
- De Pedro Sanz, E.; Serrano Crespín, A.; Zamora Rojas, E.; Garrido Varo, A.; Guerrero-Ginel, J.E.; Marín, D.P.; Casco, J.M.G.; Sánchez, M.N.N. Predicción del Índice de Reposición en Montanera para la clasificación de canales de cerdo ibérico según régimen alimenticio mediante el análisis no destructivo por Espectroscopía del Infrarrojo Cercano. Sólo Cerdo Ibérico 2013, 30, 87–100. [Google Scholar]
- González-Martín, M.I.; Escuredo, O.; Hernández-Jiménez, M.; Revilla, I.; Vivar-Quintana, A.M.A.; Martínez-Martín, I.; Hernández-Ramos, P. Prediction of Stable Isotopes and Fatty Acids in Subcutaneous Fat of Iberian Pigs by Means of NIR: A Comparison between Benchtop and Portable Systems. Talanta 2021, 121817. [Google Scholar] [CrossRef] [PubMed]
- Arce, L.; Domínguez-Vidal, A.; Rodríguez-Estévez, V.; López-Vidal, S.; Ayora-Cañada, M.J.; Valcárcel, M. Feasibility Study on the Use of Infrared Spectroscopy for the Direct Authentication of Iberian Pig Fattening Diet. Anal. Chim. Acta 2009, 636, 183–189. [Google Scholar] [CrossRef]
- López-Vidal, S.; Rodríguez-Estévez, V.; Lago, S.; Arce, L.; Valcárcel, M. The Application of GC–MS and Chemometrics to Categorize the Feeding Regime of Iberian Pigs in Spain. Chromatographia 2008, 68, 593–601. [Google Scholar] [CrossRef]
- González-Martín, I.; González-Pérez, C.; Hernández Méndez, J.; Marqués-Macias, E.; Sanz Poveda, F. Use of Isotope Analysis to Characterize Meat FromIberian-Breed Swine. Meat Sci. 1999, 52, 437–441. [Google Scholar] [CrossRef]
- Santos, J.P.; García, M.; Aleixandre, M.; Horrillo, M.C.; Gutiérrez, J.; Sayago, I.; Fernández, M.J.; Arés, L. Electronic Nose for the Identification of Pig Feeding and Ripening Time in Iberian Hams. Meat Sci. 2004, 66, 727–732. [Google Scholar] [CrossRef]
- Niñoles, L.; Sanjuan, N.; Ventanas, S.; Benedito, J. Ultrasonic and Sensory Characterization of Dry-Cured Ham Fat from Iberian Pigs with Different Genetics and Feeding Backgrounds. Meat Sci. 2008, 80, 896–902. [Google Scholar] [CrossRef] [PubMed]
- Narváez-Rivas, M.; Pablos, F.; Jurado, J.M.; León-Camacho, M. Authentication of Fattening Diet of Iberian Pigs According to Their Volatile Compounds Profile from Raw Subcutaneous Fat. Anal. Bioanal. Chem. 2011, 399, 2115–2122. [Google Scholar] [CrossRef] [PubMed]
- Alonso, R.; Rodríguez-Estévez, V.; Domínguez-Vidal, A.; Ayora-Cañada, M.J.; Arce, L.; Valcárcel, M. Ion Mobility Spectrometry of Volatile Compounds from Iberian Pig Fat for Fast Feeding Regime Authentication. Talanta 2008, 76, 591–596. [Google Scholar] [CrossRef] [PubMed]
- Fernández-Cabanás, V.M.; Garrido-Varo, A.; García Olmo, J.; Pedro, E.D.; Dardenne, P. Optimisation of the Spectral Pre-Treatments Used for Iberian Pig Fat NIR Calibrations. Chemom. Intell. Lab. Syst. 2007, 87, 104–112. [Google Scholar] [CrossRef]
- De Pedro, E.; Garrido, A.; Bares, I.; Casillas, M.; Murray, I. Application of near Infrared Spectroscopy for Quality Control of Iberian Pork Industry. In Near Infra-Red Spectroscopy. Bridging the Gap between Data Analysis and NIR Applications; Hildrum, K.I., Isaksson, T., Naes, T., Tandberg, A., Eds.; Ellis Horwood: Chichester, UK, 1992; pp. 345–348. [Google Scholar]
- González-Martín, I.; González-Pérez, C.; Hernández-Méndez, J.; Alvarez-García, N. Determination of Fatty Acids in the Subcutaneous Fat of Iberian Breed Swine by near Infrared Spectroscopy (NIRS) with a Fibre-Optic Probe. Meat Sci. 2003, 65, 713–719. [Google Scholar] [CrossRef]
- Pérez-Marín, D.; De Pedro Sanz, E.; Guerrero-Ginel, J.E.; Garrido-Varo, A. A Feasibility Study on the Use of Near-Infrared Spectroscopy for Prediction of the Fatty Acid Profile in Live Iberian Pigs and Carcasses. Meat Sci. 2009, 83, 627–633. [Google Scholar] [CrossRef]
- Zamora-Rojas, E.; Pérez-Marín, D.; De Pedro-Sanz, E.; Guerrero-Ginel, J.E.; Garrido-Varo, A. In-Situ Iberian Pig Carcass Classification Using a Micro-Electro-Mechanical System (MEMS)-Based near Infrared (NIR) Spectrometer. Meat Sci. 2012, 90, 636–642. [Google Scholar] [CrossRef]
- Hervás, C.; Garrido, A.; Lucena, B.; García, N.; De Pedro, E. Near Infrared Spectroscopy for Classification of Iberian Pig Carcasses Using an Artificial Neural Network. J. Near Infrared Spectrosc. 1994, 2, 177–184. [Google Scholar] [CrossRef]
- De Pedro, E.; Garrido, A.; Lobo, A.; Dardenne, P.; Murray, I. Objective Classification of Iberian Pig Carcasses: GC versus NIR. In Leaping Ahead with Infrared Spectroscopy; Batten, G.D., Flinn, P.C., Welsh, L.A., Blakeney, A.B., Eds.; Royal Australian Chemistry Institute: Melbourne, Australia, 1995; pp. 291–295. [Google Scholar]
- Arroyo-Manzanares, N.; Martín-Gómez, A.; Jurado-Campos, N.; Garrido-Delgado, R.; Arce, C.; Arce, L. Target vs Spectral Fingerprint Data Analysis of Iberian Ham Samples for Avoiding Labelling Fraud Using Headspace-Gas Chromatography-Ion Mobility Spectrometry. Food Chem. 2018, 246, 65–73. [Google Scholar] [CrossRef]
- Martín-Gómez, A.; Arroyo-Manzanares, N.; Rodríguez-Estévez, V.; Arce, L. Use of a Non-Destructive Sampling Method for Characterization of Iberian Cured Ham Breed and Feeding Regime Using GC-IMS. Meat Sci. 2019, 152, 146–154. [Google Scholar] [CrossRef]
- González-Martín, I.; González-Pérez, C.; Hernández-Méndez, J.; Álvarez-García, N.; Merino Lázaro, S. Determination of Fatty Acids in the Subcutaneous Fat of Iberian Breed Swine by near Infrared Spectroscopy. A Comparative Study of the Methods for Obtaining Total Lipids: Solvents and Melting with Microwaves. J. Infrared Spectrosc. 2002, 10, 257–268. [Google Scholar] [CrossRef]
- Contreras, M.M.; Jurado-Campos, N.; Arce, L.; Arroyo-Manzanares, N. A Robustness Study of Calibration Models for Olive Oil Classification: Targeted and Non-Targeted Fingerprint Approaches Based on GC-IMS. Food Chem. 2019, 288, 315–324. [Google Scholar] [CrossRef] [PubMed]
- Gerhardt, N.; Schwolow, S.; Rohn, S.; Ruiz Pérez-Cacho, P.; Galán-Soldevilla, H.; Arce, L.; Weller, P. Quality Assessment of Olive Oils Based on Temperature-Ramped HS-GC-IMS and Sensory Evaluation: Comparison of Different Processing Approaches by LDA. kNN. and SVM. Food Chem. 2019, 278, 720–728. [Google Scholar] [CrossRef] [PubMed]
- Shenk, J.S.; Westerhaus, M.O. Routine Operation, Calibration, Development and Network System Management Manual; NIRSystems Inc.: Silver Spring, MD, USA, 1995. [Google Scholar]
- Nørgaard, L.; Westerhaus, M.; Kjeldahl, K.; Haunstrup, I. Qualification: Adulteration Screening with NIR- a Case on Skim Milk Powder. Focus 2014, 1, 14–21. [Google Scholar] [CrossRef]
- Norris, K.; Williams, P. Optimization of Mathematical Treatments of Raw Near-Infrared Signal in the Measurement of Protein in Hard Red Spring Wheat. Influence of Particle Size. Cereal Chem. 1984, 61, 158–165. [Google Scholar]
- ISI. The Complete Software Solution Using a Single Screen for Routine Analysis, Robust Calibrations, and Networking. In Manual FOSS NIRSystems; Infrasoft International: Silver Spring, MD, USA, 2000. [Google Scholar]
- Hernández-Jiménez, M.; González-Martín, M.I.; Martínez-Martín, I.; Revilla, I.; Vivar-Quintana, A.M. Carbon Stable Isotopes, Fatty Acids and the Use of NIRS to Differentiate IBERIAN Pigs. Meat Sci. 2021, 182, 108619. [Google Scholar] [CrossRef]
- Narváez-Rivas, M.; Vicario, I.M.; Constante, E.G.; León-Camacho, M. Changes in the Fatty Acid and Triacylglycerol Profiles in the Subcutaneous Fat of Iberian Ham during the Dry-Curing Process. J. Agric. Food Chem. 2008, 56, 7131–7137. [Google Scholar] [CrossRef]
- Narváez-Rivas, M.; Gallardo, E.; León-Camacho, M. Chemical Changes in Volatile Aldehydes and Ketones from Subcutaneous Fat during Ripening of Iberian Dry-Cured Ham. Prediction of the Curing Time. Food Res. Int. 2014, 55, 381–390. [Google Scholar] [CrossRef]


Samples taken with needles at a temperature of 0–1 °C,
Samples taken with needles at a temperature of 5–7 °C,
Samples taken with needles at a temperature of 20–24 °C,
homogenized fat. The same filled markers show validation samples.
Samples taken with needles at a temperature of 0–1 °C,
Samples taken with needles at a temperature of 5–7 °C,
Samples taken with needles at a temperature of 20–24 °C,
homogenized fat. The same filled markers show validation samples.

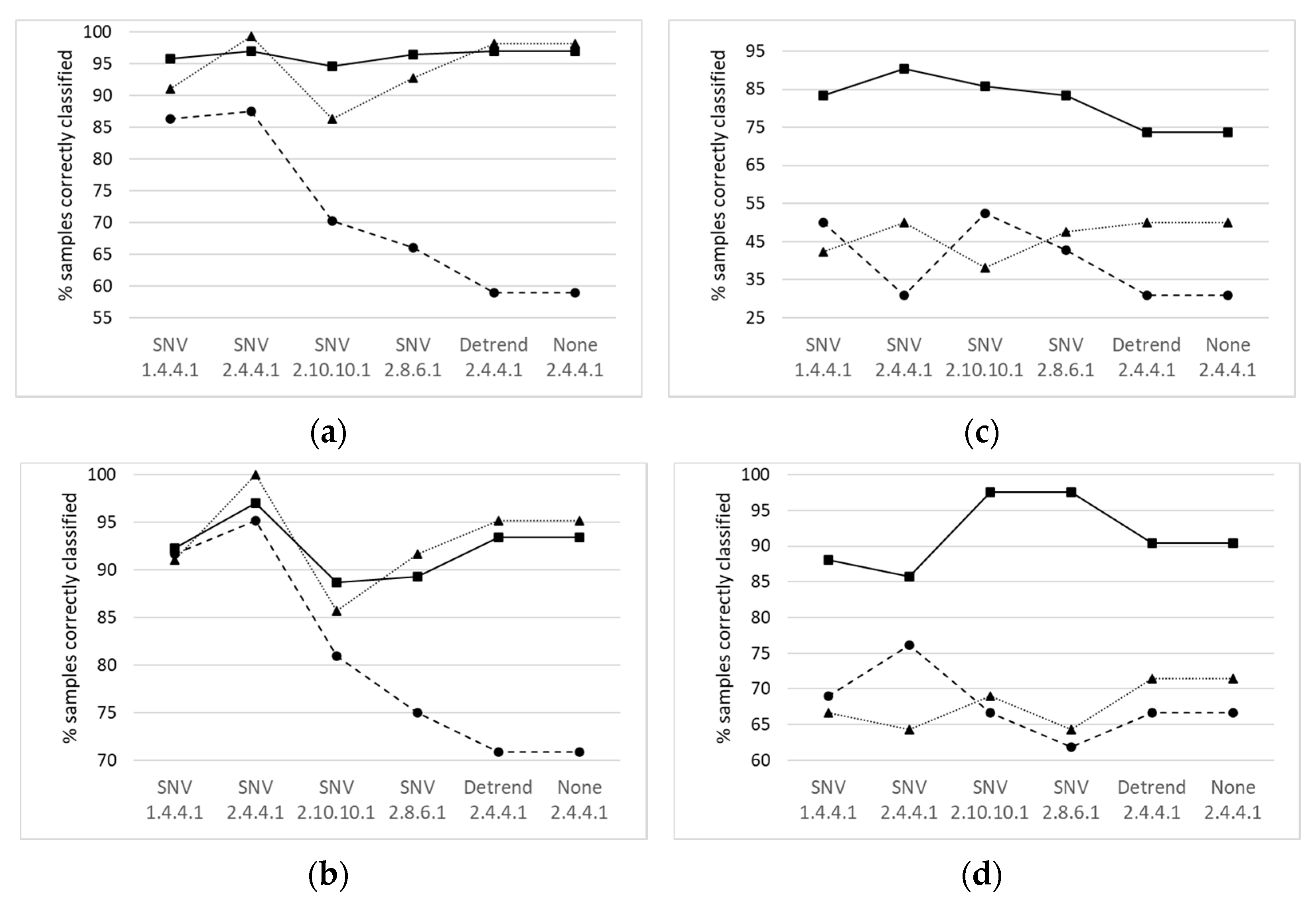
Intact fat (1100–2000 nm),
Extracted fat (1100–2000 nm)
Extracted fat (1100–2498 nm).
Intact fat (1100–2000 nm),
Extracted fat (1100–2000 nm)
Extracted fat (1100–2498 nm).
| Sampling | Group (Ncal/Nval) | Samples Correctly Classified in Calibration (%) | Samples Correctly Classified in Prediction (%) | ||||
|---|---|---|---|---|---|---|---|
| Group 1 | Group 2 | Group 3 | Group 1 | Group 2 | Group 3 | ||
| Homogenized fat | Group 1 (24/6) | 97.8 | 0 | 2.2 | 66.7 | 11.1 | 22.2 |
| Group 2 (24/6) | 0 | 100 | 0 | 8.3 | 83.4 | 8.3 | |
| Group 3 (36/9) | 0 | 0 | 100 | 8.3 | 8.3 | 83.4 | |
| Needle | Group 1 (24/6) | 100 | 0 | 0 | 100 | 0 | 0 |
| Group 2 (24/6) | 0 | 100 | 0 | 0 | 100 | 0 | |
| Group 3 (36/9) | 0 | 0 | 100 | 11.2 | 0 | 88.8 | |
| Sampling | Breed (Ncal/Nval) | Sampled Corrected Classified in Calibration (%) | Sampled Corrected Classified in Prediction (%) | ||||
| 100% | 50% | 100% | 50% | ||||
| Homogenized fat | 100% (48/12) | 100 | 0 | 87.5 | 12.4 | ||
| 50% (36/9) | 4.4 | 95.6 | 27.8 | 72.2 | |||
| Needle | 100% (48/12) | 97.7 | 2.3 | 91.6 | 8.4 | ||
| 50% (36/9) | 0 | 100 | 5.5 | 94.5 | |||
| Sampling | NIR Registration | Wavelength Interval | Group (Ncal/Nval) | Samples Correctly Classified in Calibration (%) | Samples Correctly Classified in Prediction (%) | ||||
|---|---|---|---|---|---|---|---|---|---|
| Group 1 | Group 2 | Group 3 | Group 1 | Group 2 | Group 3 | ||||
| Intact fat | Optic fiber | 1100–2000.2 nm | Group 1 (24/6) | 100 | 0 | 0 | 91.7 | 0 | 8.3 |
| Group 2 (24/6) | 4.2 | 89.5 | 6.3 | 8.3 | 75 | 16.7 | |||
| Group 3 (36/9) | 0 | 2.8 | 97.2 | 16.7 | 0 | 83.3 | |||
| Extracted fat | Cam-lock | 1100–2498.2 nm | Group 1 (24/6) | 70.8 | 8.3 | 20.9 | 16.7 | 25 | 58.3 |
| Group 2 (24/6) | 0 | 93.7 | 6.3 | 0 | 33.3 | 66.7 | |||
| Group 3 (36/9) | 0 | 5.6 | 94.4 | 5.5 | 0 | 94.5 | |||
| Extracted fat | Cam-lock | 1100–2000.2 nm | Group 1 (24/6) | 97.9 | 0 | 2.1 | 33.3 | 25 | 41.7 |
| Group 2 (24/6) | 0 | 100 | 0 | 8.3 | 25 | 66.7 | |||
| Group 3 (36/9) | 0 | 0 | 100 | 5.6 | 16.7 | 77.7 | |||
| Sampling | NIR Registration | Wavelength Interval | Breed (Ncal/Nval) | Samples Correctly Classified in Calibration (%) | Samples Correctly Classified in Prediction (%) | ||||
| 100% | 50% | 100% | 50% | ||||||
| Intact fat | Optic fiber | 1100–2000.2 nm | 100% (48/12) | 94.8 | 5.2 | 79.2 | 20.8 | ||
| 50% (36/9) | 0 | 100 | 5.6 | 94.4 | |||||
| Extracted fat | Cam-lock | 1100–2498.2 nm | 100% (48/12) | 93.8 | 6.2 | 75 | 25 | ||
| 50% (36/9) | 2.8 | 97.2 | 22.2 | 77.8 | |||||
| Extracted fat | Cam-lock | 1100–2000.2 nm | 100% (48/12) | 100 | 0 | 79.2 | 20.8 | ||
| 50% (36/9) | 0 | 100 | 55.6 | 44.4 | |||||
| GC-IMS | NIRS | |
|---|---|---|
| Fastest sampling procedure | needle | intact samples |
| Sampling time | 15 s | 1 min |
| Analysis | 30 min | 5 min |
| Classification by days of montanera (% of success in calibration) | 100 | 98 |
| Classification by days of montanera (% of success in prediction) | 95.2 | 85.7 |
| Classification by breed (% of success in calibration) | 98.7 | 96 |
| Classification by breed (% of success in prediction) | 92.2 | 90.5 |
Publisher’s Note: MDPI stays neutral with regard to jurisdictional claims in published maps and institutional affiliations. |
© 2021 by the authors. Licensee MDPI, Basel, Switzerland. This article is an open access article distributed under the terms and conditions of the Creative Commons Attribution (CC BY) license (https://creativecommons.org/licenses/by/4.0/).
Share and Cite
Hernández-Jiménez, M.; Revilla, I.; Arce, L.; Cardador, M.J.; Ríos-Reina, R.; González-Martín, I.; Vivar-Quintana, A.M. Authentication of the Montanera Period on Carcasses of Iberian Pigs by Using Analytical Techniques and Chemometric Analyses. Animals 2021, 11, 2671. https://doi.org/10.3390/ani11092671
Hernández-Jiménez M, Revilla I, Arce L, Cardador MJ, Ríos-Reina R, González-Martín I, Vivar-Quintana AM. Authentication of the Montanera Period on Carcasses of Iberian Pigs by Using Analytical Techniques and Chemometric Analyses. Animals. 2021; 11(9):2671. https://doi.org/10.3390/ani11092671
Chicago/Turabian StyleHernández-Jiménez, Miriam, Isabel Revilla, Lourdes Arce, María José Cardador, Rocío Ríos-Reina, Inmaculada González-Martín, and Ana María Vivar-Quintana. 2021. "Authentication of the Montanera Period on Carcasses of Iberian Pigs by Using Analytical Techniques and Chemometric Analyses" Animals 11, no. 9: 2671. https://doi.org/10.3390/ani11092671
APA StyleHernández-Jiménez, M., Revilla, I., Arce, L., Cardador, M. J., Ríos-Reina, R., González-Martín, I., & Vivar-Quintana, A. M. (2021). Authentication of the Montanera Period on Carcasses of Iberian Pigs by Using Analytical Techniques and Chemometric Analyses. Animals, 11(9), 2671. https://doi.org/10.3390/ani11092671

