Effect of Hemi-Castration on the Productivity, Histological Characteristics, and Economic Efficacy of Korean Beef Cattle
Abstract
Simple Summary
Abstract
1. Introduction
2. Materials and Methods
2.1. Management and Use of Animals
2.2. Growth Performance
2.3. Serum Metabolites and Testosterone Analysis
2.4. Carcass Traits
+ [0.56781 × carcass weight (kg)]/[carcass weight (kg) ×100]
2.5. Histological Characteristics
2.6. Statistical Analysis
3. Results
3.1. Growth Performance
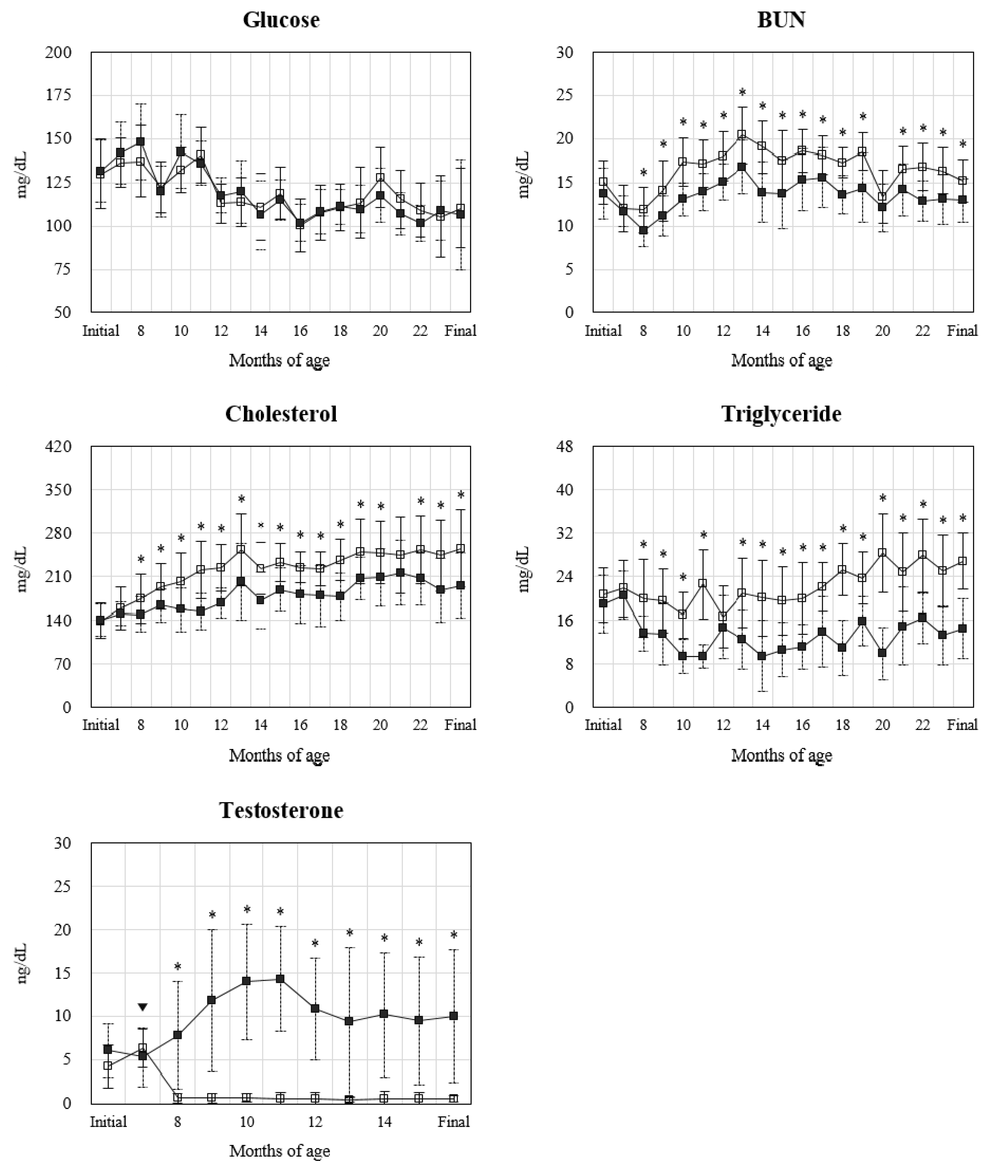
3.2. Serum Metabolites and Testosterone
3.3. Carcass Traits
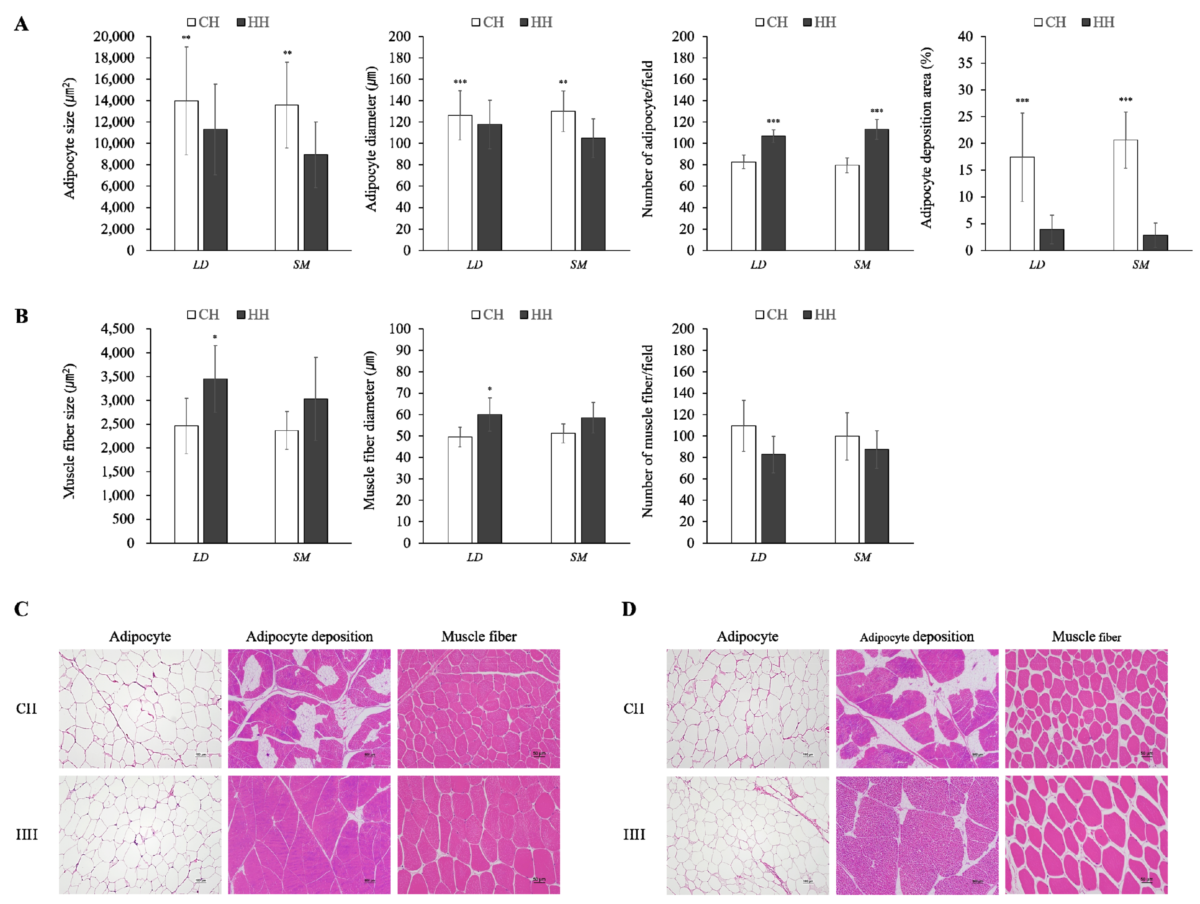
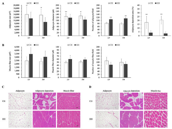
3.4. Histological Characteristics
3.5. Economic Efficacy
4. Discussion
5. Conclusions
Author Contributions
Funding
Institutional Review Board Statement
Informed Consent Statement
Data Availability Statement
Acknowledgments
Conflicts of Interest
References
- Cohen, R.D.H.; King, B.D.; Thomas, L.R.; Janzen, E.D. Efficacy and stress of chemical versus surgical castration of cattle. Can. J. Anim. Sci. 1990, 70, 1063–1072. [Google Scholar] [CrossRef]
- Oh, Y.S.; Cho, S.B.; Baek, K.H.; Choi, C.B. Effects of testosterone, 17β-estradiol, and progesterone on the differentiaton of bovine intramuscular adipocytes. Asian Australas. J. Anim. Sci. 2005, 18, 1589–1593. [Google Scholar] [CrossRef]
- Korea Institute for Animal Products Quality Evaluation. Animal Products Grading Statistical Yearbook, 5th ed.; Korea Institute for Animal Products Quality Evaluation: Sejong, Korea, 2021; No. 11-b552679-000006-12.
- Lee, K.C. Effects of Castration Age on Blood Hormone Concentrations and Carcass Characteristics of Hanwoo. Master’s Thesis, Yeungnam University, Gyeongsan, Korea, 2002. [Google Scholar]
- Lim, H.; Ahn, J.S.; Kim, M.J.; Son, G.H.; Park, J.K.; Shim, J.Y.; Shin, J.S. Effects of weaning and castration ages on growth performance, blood metabolites, and carcass characteristics in Hanwoo steers. J. Anim. Sci. Technol. 2018, 60, 30. [Google Scholar] [CrossRef]
- Ismail, Z.B.; Al-Zghoul, M.F.; Al-Majali, A.M.; Khraim, N.M. Effects of castration on penile and urethral development in Awassi lambs. Bulg. J. Vet. Med. 2007, 10, 29–34. [Google Scholar]
- Jung, K.K.; Choi, C.B.; Park, N.C.; Do, J.C.; Choi, C.W.; Lee, S.Y. Effect of castration method on stress responses and body weight changes in Hanwoo calves. In Proceedings of the 8th AAAP Animal Science Congress, Chiba, Japan, 13–18 October 1996; pp. 546–547. [Google Scholar]
- Kim, B.K.; Jung, D.J.; Lee, J.H.; Hwang, E.G.; Cho, C.B. Comparison of Growth Performances and Physico-chemical Characteristics of Hanwoo Bulls and Steers of Different Slaughtering Ages. Food Sci. Anim. Resour. 2011, 31, 257–265. [Google Scholar] [CrossRef]
- Seideman, S.C.; Cross, H.R.; Oltjen, R.R.; Schanbacher, B.D. Utilization of the intact male for red meat production: A review. J. Anim. Sci. 1982, 55, 826–840. [Google Scholar] [CrossRef]
- Lee, S.M.; Hyun, J.H.; Lee, S.J.; Kim, E.T.; Moon, Y.H.; Lee, S.S. Comparative studies among bull, steer and heifer on growth performance, blood composition and carcass characteristics according to fattening phase in Hanwoo. J. Korean Org. Agric. 2016, 24, 931–944. [Google Scholar] [CrossRef]
- Association of Official Analytical Chemists (AOAC). Official Methods of Analysis, 18th ed.; AOAC: Arlington, VA, USA, 2005. [Google Scholar]
- Van Soest, P.V.; Robertson, J.B.; Lewis, B.A. Methods for dietary fiber, neutral detergent fiber, and nonstarch polysaccharides in relation to animal nutrition. J. Dairy Sci. 1991, 74, 3583–3597. [Google Scholar] [CrossRef]
- Ministry of Agriculture, Food and Rural Aairs (MAFRA). Grade Rule for Cattle Carcass in Korea; Korea Ministry of Government Legislation: Seoul, Korea, 2018.
- Asdell, S.A. Patterns of Mammalian Reproduction, 2nd ed.; Cornell University Press: Ithaca, NY, USA, 1964. [Google Scholar]
- Singh, R.; Artaza, J.N.; Taylor, W.E.; Gonzalez-Cadavid, N.F.; Bhasin, S. Androgens stimulate myogenic differentiation and inhibit aipogenesis in C3H 10T1/2 pluripotent cells through an androgen receptor-mediated pathway. Endocrinology 2003, 144, 5081–5088. [Google Scholar] [CrossRef] [PubMed]
- Parker, M.W.; Johanson, A.J.; Rogol, A.D.; Kaiser, D.L.; Blizzard, R.M. Effect of testosterone on somatomedin-C concentrations in prepubertal boys. J. Clin. Endocrinol. Metab. 1984, 58, 87–90. [Google Scholar] [CrossRef]
- Jasper, H.G. Somatomedin response to testosterone stimulation in children with male pseudohermaphroditism, cryptorchidism, anorchia, or micropenis. J. Clin. Endocrinol. Metab. 1985, 60, 910–913. [Google Scholar] [CrossRef] [PubMed]
- Kim, H.S.; Kim, D.H.; Ryu, K.Z.; Kim, C.M.; Park, D.B. The Effects of Testosterone on the Pituitary Growth Hormone Seretion. Clin. Exp. Pediatr. 1992, 35, 174–181. [Google Scholar]
- Sundby, A.; Andresen, Ø.; Standal, N. Effect of hemicastration on the level of testicular steroids and growth in bulls and boars. Theriogenology 1981, 16, 249–257. [Google Scholar] [CrossRef]
- Zhou, Z.K.; Gao, X.; Li, J.Y.; Chen, J.B.; Xu, S.Z. Effect of castration on carcass quality and differential gene expression of longissimus muscle between steer and bull. Mol. Biol. Rep. 2011, 38, 5307–5312. [Google Scholar] [CrossRef] [PubMed]
- Nonghyup Agricultural Cooperative Federation Livestock Institute. Optimum age at Castration for Economic Advantage in Hanwoo; Final Report No.1380002910; Ministry of Agriculture and Forestry: Anseong, Korea, 2003; p. 50.
- Kim, M.J. A Study on Relationship of Blood Metabolites and Carcass Traits in Hanwoo Steers. Master’s Thesis, Kangwon National University, Chuncheon, Korea, 2018. [Google Scholar]
- Cai, Z.; Xi, H.; Pan, Y.; Jiang, X.; Chen, L.; Cai, Y.; Chen, M. Effect of testosterone deficiency on cholesterol metabolism in pigs fed a high-fat and high-cholesterol diet. Lipids Health Dis. 2015, 14, 1–10. [Google Scholar] [CrossRef]
- Sorva, R.; Kuusi, T.; Taskinen, M.R.; Perheentupa, J.; Nikkilä, E.A. Testosterone substitution increases the activity of lipoprotein lipase and hepatic lipase in hypogonadal males. Atherosclerosis 1988, 69, 191–197. [Google Scholar] [CrossRef]
- Gulia, S.; Sarkar, M.; Kumar, V.; Meyer, H.H.D.; Prakash, B.S. Divergent development of testosterone secretion in male zebu (Bos indicus) and crossbred cattle (Bos indicus x Bos taurus) and buffaloes (Bubalus bubalis) during growth. Trop. Anim. Health Prod. 2010, 42, 1143–1148. [Google Scholar] [CrossRef]
- Pagano, G.T.; Lazzaroni, C.; Pagano, P.G.; Galeazzi, D.; Biagini, D. A study on muscular hypertrophy in cattle: Serum concentrations of IGF-1, cortisol, insulin and testosterone. Livest. Prod. Sci. 2001, 70, 235–239. [Google Scholar] [CrossRef]
- DeHaan, K.C.; Berger, L.L.; Bechtel, P.J.; Kesler, D.J.; McKeith, F.K.; Thomas, D.L. Effect of prenatal testosterone treatment on nitrogen utilization and endocrine status of ewe lambs. J. Anim. Sci. 1990, 68, 4100–4108. [Google Scholar] [CrossRef]
- Du, M.; Tong, J.; Zhao, J.; Underwood, K.R.; Zhu, M.; Ford, S.P.; Nathanielsz, P.W. Fetal programming of skeletal muscle development in ruminant animals. J. Anim. Sci. 2010, 88, 51–60. [Google Scholar] [CrossRef]
- Jeong, S. The Inhibitory Effect of Testosterone on PPARγ-induced Adipogenesis. J. Obes. Metab. Syndr. 2016, 25, 68–76. [Google Scholar] [CrossRef]
- Barnes, M.A.; Boockfor, F.R.; Bierley, S.T.; Kazmer, G.W.; Halman, R.D.; Dickey, J.F. Effect of unilateral castration and unilateral cryptorchidism on gonadotropin and testosterone response to gonadotropin releasing hormone in the bull. J. Anim. Sci. 1981, 53, 1341–1350. [Google Scholar] [CrossRef] [PubMed][Green Version]
- Schanbacher, B.D.; Fletcher, P.W.; Reichert, L.E., Jr. Testicular compensatory hypertrophy in the hemicastrated calf: Effects of exogenous estradiol. Biol. Reprod. 1987, 36, 1142–1148. [Google Scholar] [CrossRef] [PubMed]
- Baik, M.; Jeong, J.Y.; Vu, T.T.T.; Piao, M.Y.; Kang, H.J. Effects of castration on the adiposity and expression of lipid metabolism genes in various fat depots of Korean cattle. Livest. Sci. 2014, 168, 168–176. [Google Scholar] [CrossRef]


| Item | Formula Feed | Roughage | ||
|---|---|---|---|---|
| Growing | Fattening | Italian Ryegrass | Rice Straw | |
| Ingredient composition (%) | ||||
| Corn grain | 24.9 | 43.7 | ||
| Wheat grain | 8.0 | 7.0 | ||
| Rice | - | 2.0 | ||
| Cane molasses | 3.0 | 3.6 | ||
| Wheat flour | - | 1.5 | ||
| Wheat bran | 6.9 | 3.0 | ||
| Corn gluten feed | 21.0 | 11.0 | ||
| Soybean Meal | 5.2 | 10.4 | ||
| Coconut meal | 3.0 | - | ||
| Palm kernel meal | 12.0 | 6.0 | ||
| Corn-DDGS 1 | 8.0 | 2.6 | ||
| Lupin flake | 3.0 | 2.0 | ||
| Cottonseed | - | 3.0 | ||
| Protected fat | - | 0.4 | ||
| Salt dehydrate | 0.6 | 0.7 | ||
| Limestone | 2.9 | 1.9 | ||
| Sodium bicarbonate | 0.3 | 0.7 | ||
| MSG-CMS 2 | 0.5 | - | ||
| Vitamin premix 3 | 0.1 | 0.1 | ||
| Mineral premix 4 | 0.1 | 0.1 | ||
| Feed additives | 0.5 | 0.3 | ||
| Chemical composition (%) | ||||
| Dry matter | 88.06 | 86.97 | 84.64 | 91.64 |
| Crude protein | 16.02 | 14.50 | 10.38 | 4.73 |
| Ether extract | 4.37 | 4.38 | 2.79 | 2.29 |
| Crude fiber | 8.16 | 5.11 | 28.25 | 31.80 |
| Crude ash | 6.52 | 5.88 | 6.45 | 12.59 |
| Neutral detergent fiber | 29.32 | 17.45 | 56.09 | 63.19 |
| Acid detergent fiber | 13.29 | 7.56 | 31.20 | 36.78 |
| TDN 5 | 72.00 | 75.00 | - | - |
| Item | Treatment | p | |
|---|---|---|---|
| CH | HH | ||
| Initial BW, kg | 149.33 ± 19.46 | 147.53 ± 20.68 | 0.80 |
| Final BW, kg | 680.80 ± 64.72 | 716.00 ± 34.86 | 0.07 |
| Average daily gain, kg | 0.93 ± 0.11 | 1.00 ± 0.05 | 0.06 |
| Dry matter intake, kg/d | 8.43 ± 0.14 b | 8.53 ± 0.08 a | 0.02 |
| Formula feed | 6.37 ± 0.03 b | 6.44 ± 0.08 a | 0.01 |
| Roughage | 2.06 ± 0.12 | 2.09 ± 0.10 | 0.41 |
| Feed conversion ratio | 9.75 ± 1.56 | 9.10 ± 0.76 | 0.15 |
| Item | Treatments | p | |
|---|---|---|---|
| CH | HH | ||
| Yield trait | |||
| Carcass weight (kg) | 406.00 ± 50.21 | 427.78 ± 24.23 | 0.32 |
| Rib eye area (cm2) | 84.14 ± 5.43 b | 101.22 ± 11.19 a | 0.01 |
| Back fat thickness (mm) | 16.71 ± 2.69 a | 6.78 ± 2.28 b | 0.01 |
| Yield index | 60.26 ± 0.94 b | 67.58 ± 1.30 a | 0.01 |
| Yield grade score 1 | 1.57 ± 0.53 | 2.11 ± 0.78 | 0.12 |
| Quality trait | |||
| Marbling score | 5.00 ± 1.53 a | 1.67 ± 1.32 b | 0.01 |
| Meat color | 4.57 ± 0.79 b | 5.56 ± 0.73 a | 0.02 |
| Fat color | 3.14 ± 0.38 | 3.33 ± 0.50 | 0.40 |
| Texture | 2.29 ± 0.95 b | 4.00 ± 1.12 a | 0.01 |
| Maturity | 1.86 ± 0.38 | 2.22 ± 0.44 | 0.10 |
| Quality grade score 2 | 3.29 ± 1.11 a | 1.44 ± 0.73 b | 0.01 |
| Auction price (USD 3/kg) | 16.88 ± 2.15 a | 12.08 ± 2.48 b | 0.01 |
| Item | Treatments | p | |
|---|---|---|---|
| CH | HH | ||
| USD 1/head | |||
| Gross receipts 2 (A) | 6923.9 ± 1591.4 a | 5186.2 ± 1212.0 b | 0.04 |
| Operating costs (B) | 5247.3 ± 27.2 b | 5269.2 ± 15.7 a | 0.01 |
| Calf 3 | 3409.1 | 3409.1 | - |
| Feed costs 4 | 1838.3 ± 27.2 b | 1860.1 ± 15.7 a | 0.01 |
| Commercial concentrate | 1458.5 ± 7.9 b | 1474.4 ± 19.6 a | 0.01 |
| Growing formula feed | 517.0 ± 2.7 | 517.3 ± 4.7 | 0.85 |
| Fattening formula feed | 941.5 ± 7.3 b | 957.1 ± 17.0 a | 0.01 |
| Roughage | 379.8 ± 22.2 | 385.8 ± 19.4 | 0.43 |
| Italian ryegrass | 284.1 ± 16.8 | 288.3 ± 15.5 | 0.47 |
| Rice straw | 95.7 ± 5.8 | 97.5 ± 4.2 | 0.33 |
| Net income (C = A-B) | 1677.1 ± 1586.9 a | −82.9 ± 1212.8 b | 0.04 |
Publisher’s Note: MDPI stays neutral with regard to jurisdictional claims in published maps and institutional affiliations. |
© 2021 by the authors. Licensee MDPI, Basel, Switzerland. This article is an open access article distributed under the terms and conditions of the Creative Commons Attribution (CC BY) license (https://creativecommons.org/licenses/by/4.0/).
Share and Cite
Ahn, J.-S.; Kwon, E.-G.; Lee, H.-J.; Lee, E.-M.; Hwang, S.-M.; Cho, S.-R.; Kim, K.-W.; Kim, U.-H.; Won, J.-I.; Jin, S.; et al. Effect of Hemi-Castration on the Productivity, Histological Characteristics, and Economic Efficacy of Korean Beef Cattle. Animals 2021, 11, 2490. https://doi.org/10.3390/ani11092490
Ahn J-S, Kwon E-G, Lee H-J, Lee E-M, Hwang S-M, Cho S-R, Kim K-W, Kim U-H, Won J-I, Jin S, et al. Effect of Hemi-Castration on the Productivity, Histological Characteristics, and Economic Efficacy of Korean Beef Cattle. Animals. 2021; 11(9):2490. https://doi.org/10.3390/ani11092490
Chicago/Turabian StyleAhn, Jun-Sang, Eung-Gi Kwon, Hyun-Jeong Lee, Eun-Mi Lee, So-Mi Hwang, Sang-Rae Cho, Kyung-Woon Kim, Ui-Hyung Kim, Jeong-Il Won, Shil Jin, and et al. 2021. "Effect of Hemi-Castration on the Productivity, Histological Characteristics, and Economic Efficacy of Korean Beef Cattle" Animals 11, no. 9: 2490. https://doi.org/10.3390/ani11092490
APA StyleAhn, J.-S., Kwon, E.-G., Lee, H.-J., Lee, E.-M., Hwang, S.-M., Cho, S.-R., Kim, K.-W., Kim, U.-H., Won, J.-I., Jin, S., Kang, S.-S., Park, B.-K., Jang, G.-S., & Jang, S.-S. (2021). Effect of Hemi-Castration on the Productivity, Histological Characteristics, and Economic Efficacy of Korean Beef Cattle. Animals, 11(9), 2490. https://doi.org/10.3390/ani11092490

