The Effect of Feeding Management and Culling of Cows on the Lactation Curves and Milk Production of Primiparous Dairy Cows
Abstract
:Simple Summary
Abstract
1. Introduction
2. Materials and Methods
2.1. Farms
2.2. Chemical Composition of Diets
2.3. Statistical Analysis
- y—a dependent variable determining the milk traits on the test day (day x)
- x—number of days after calving
- a—parameter determining the average milk traits on the test day
- b—parameter determining the slope of the increasing part of the lactation function
- c—parameter determining the slope of the decreasing part of the lactation function
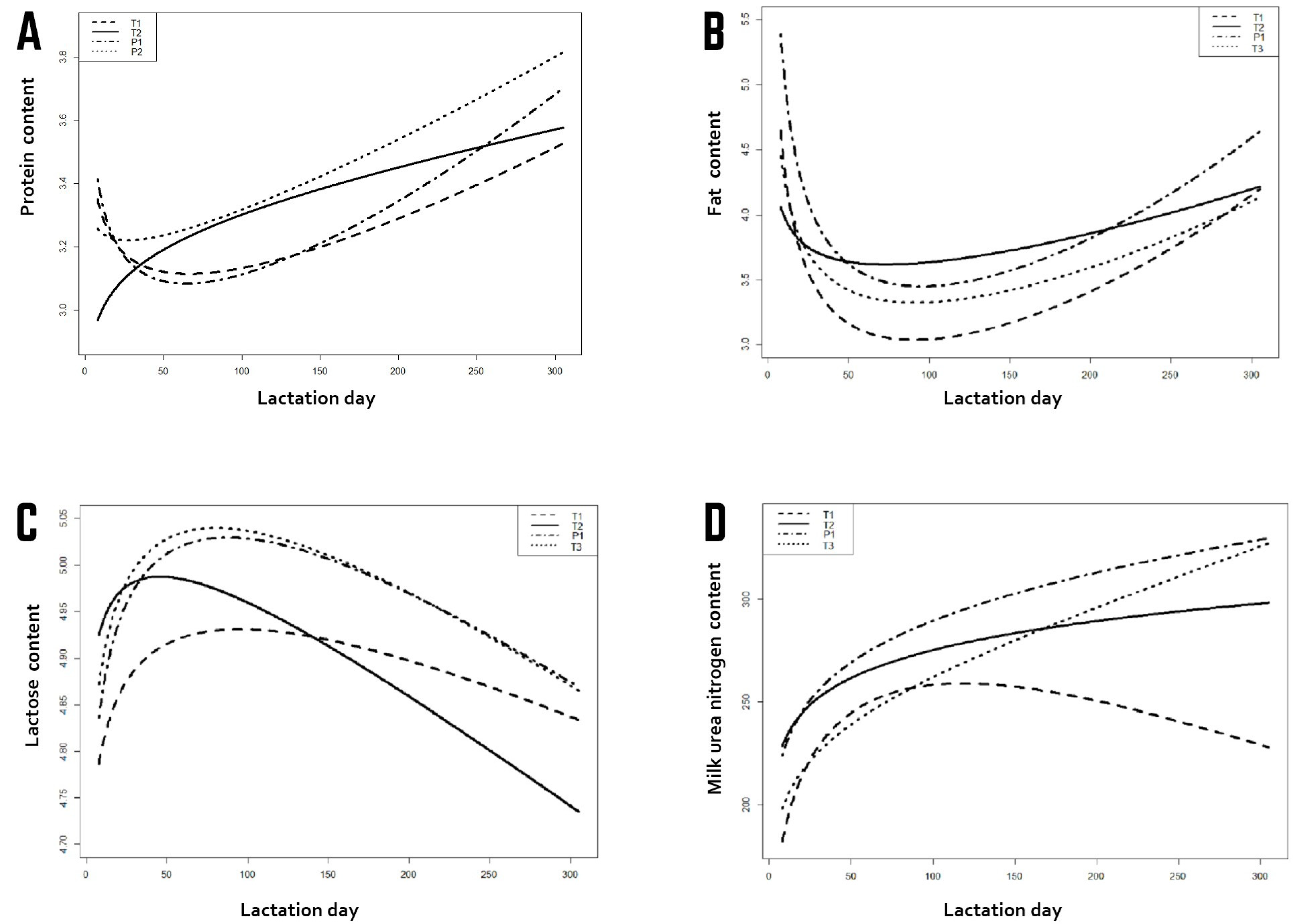
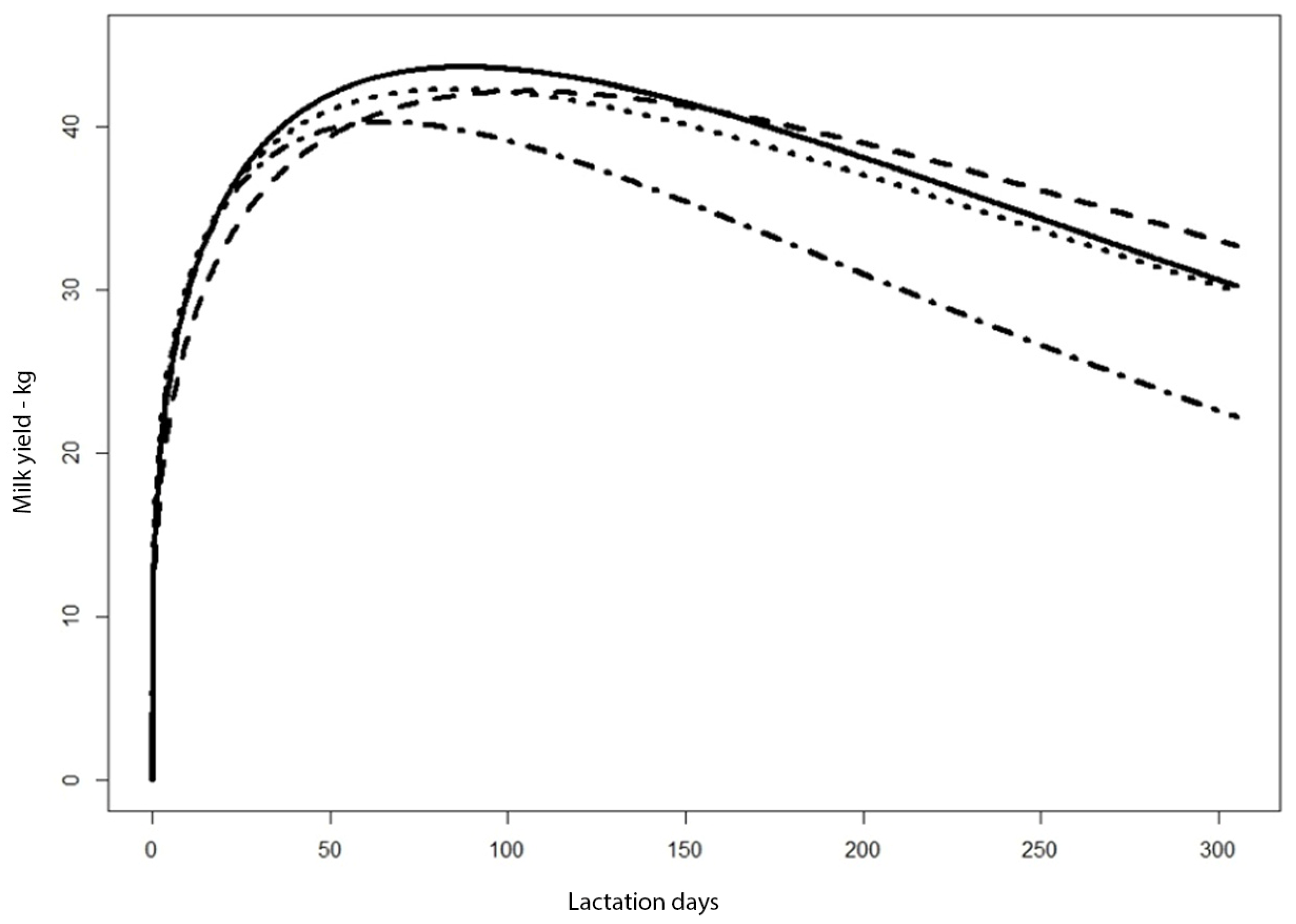
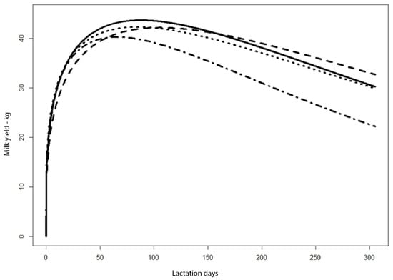
3. Results
4. Discussion
5. Conclusions
Author Contributions
Funding
Institutional Review Board Statement
Informed Consent Statement
Data Availability Statement
Conflicts of Interest
References
- Macciotta, N.P.; Vicario, D.; Cappio-Borlino, A. Detection of different shapes of lactation curve for milk yield in dairy cattle by empirical mathematical models. J. Dairy Sci. 2005, 88, 1178–1191. [Google Scholar] [CrossRef] [Green Version]
- Ali, T.E.; Schaeffer, L.R. Accounting for covariance’s among test day milk yields in dairy cows. Can. J. Anim. Sci. 1987, 67, 637–644. [Google Scholar] [CrossRef]
- Wilmink, J.B.M. Adjustment of test-day milk, fat and protein yield for age, season and stage of lactation. Livest. Prod. Sci. 1987, 16, 335–348. [Google Scholar] [CrossRef]
- Wood, P. Algebraic model of the lactation curve in cattle. Nature 1967, 216, 164–165. [Google Scholar] [CrossRef]
- Strabel, T.; Kopacki, W.; Szwaczkowski, T. Genetic conditioning of the persistence of cow lactation. In Proceedings of the Material of the XIV Conference of Polish Genetic Society, Poznań, Poland, 11–13 June 2001; pp. 224–225. [Google Scholar]
- Mustafa, A. Lactation Curve; University McGill Publications; Dairy Production: Montréal, QC, Canada, 2003; pp. 342A–450A. [Google Scholar]
- Bogucki, M. Analysis of functional traits in highly-milking cows. Rocz. Nauk. Pol. Tow. Zootech. 2008, 4, 9–14. [Google Scholar]
- Sawa, A.; Neja, W.; Bogucki, M.; Rępuszewska, D. Course of lactation in first calvers and older cows as related to milk yield. Rocz. Nauk. Pol. Tow. Zootech. 2007, 4, 205–216. [Google Scholar]
- Capuco, A.; Ellis, S.; Hale, S.; Long, E.; Erdman, R.; Zhao, X.; Paape, M. Lactation persistency: Insights from mammary cell proliferation studies. J. Anim. Sci. 2003, 81, 18–31. [Google Scholar] [CrossRef] [PubMed] [Green Version]
- Borkowska, D.; Polski, R.; Januś, E.; Grzesik, K. Influence of the condition of cows during the period of dryness for persistence and course of lactation. In Proceedings of the Conference of the LXXI Meeting PTZ in Bydgoszcz, Bydgoszcz, Poland, 18–20 September 2006. [Google Scholar]
- Dekkers, J.; TenHag, J.; Weersink, A. Economic aspects of persistency of lactation in dairy cattle. Acta Sci. Pol. Zootech. 2007, 6, 15–20. [Google Scholar] [CrossRef]
- Topolski, P.; Choroszy, B.; Choroszy, Z. Effect of production level in Polish Holstein-Friesian cows of Black-and-White variety on lactation persistency and length of calving interval. Rocz. Nauk. Zootech. 2008, 35, 93–99. [Google Scholar]
- Juszczak, J.; Hibner, A.; Ziemiński, R.; Tomaszewski, A. Causes and consequences of early culling of dairy cows. Med. Wet. 2003, 59, 432–435. [Google Scholar]
- Borkowska, D.; Januś, E. Milk yield of primiparas and their lifetime performance. Rocz. Nauk. Pol. Tow. Zootech. 2009, 5, 87–92. [Google Scholar]
- NRC. Nutrient Requirements of Dairy Cattle: Seventh Revised Edition; The National Academies Press: Washington, DC, USA, 2001. [Google Scholar]
- AOAC. Agricultural chemicals. In Official Methods of Analysis; Association of Official Analytical Chemists: Gaithersburg, MD, USA, 2010; Volume 1. [Google Scholar]
- R Core Team. R: A Language and Environment for Statistical Computing; R Foundation for Statistical Computing: Vienna, Austria, 2020; Available online: https://www.R-project.org/ (accessed on 12 December 2020).
- Mendiburu, F. Agricolae: Statistical Procedures for Agricultural Research. R Package Version 1.3-3. 2020. Available online: https://CRAN.R-project.org/package=agricolae (accessed on 12 December 2020).
- Arnhold, E. Easynls: Easy Nonlinear Model. R Package Version 5.0. 2017. Available online: https://CRAN.R-project.org/package=easynls (accessed on 12 December 2020).
- Wickham, H. ggplot2: Elegant Graphics for Data Analysis; Springer: New York, NY, USA, 2016. [Google Scholar]
- Schauberger, P.; Walker, A. Openxlsx: Read, Write and Edit Xlsx Files; R Package Version 4.2.3; R Foundation for Statistical Computing: Vienna, Austria, 2020. [Google Scholar]
- Bouallegue, M.; M’Hamdi, N. Mathematical Modeling of Lactation Curves: A Review of Parametric Models. 2019. Available online: https://cdn.intechopen.com/pdfs/70375.pdf (accessed on 5 February 2020).
- Macciotta, N.P.P.; Dimauro, C.; Rassu, S.P.G.; Steri, R.; Giuseppe, P. The mathematical description of lactation curves in dairy cattle. Ital. J. Anim. Sci. 2011, 10, e51. [Google Scholar] [CrossRef] [Green Version]
- Bach, A.; Terré, M.; Vidal, M. Symposium review: Decomposing efficiency of milk production and maximizing profit. J. Dairy Sci. 2020, 103, 5709–5725. [Google Scholar] [CrossRef] [PubMed] [Green Version]
- Dunn, O.J. Multiple comparisons using rank sums. Technometrics 1964, 6, 241–252. [Google Scholar] [CrossRef]
- Holm, S. A simple sequentially rejective multiple test procedure. Scand. J. Stat. 1979, 6, 65–70. [Google Scholar]
- Sabbioni, A.; Beretti, V.; Tardini, L.; Vezzali, S.; Paini, V.; Superchi, P. Milk production and lactation curves of bioaca Val Padana and Italian Friesian dairy cows in relations to the management system. Ital. J. Anim. Sci. 2012, 26, 140–145. [Google Scholar] [CrossRef] [Green Version]
- Cichocki, M.; Wroński, M.; Szydłowski, R. Milk performance of cows fed a TMR and PMR. Acta Sci. Pol. Zootech. 2007, 6, 15–20. [Google Scholar]
- Bargo, F.; Muller, L.D.; Delahoy, J.E.; Cassidy, T.W. Performance of high producing dairy cows with three different feeding systems combining pasture and total mixed rations. J. Dairy Sci. 2002, 85, 2948–2963. [Google Scholar] [CrossRef]
- Gordon, F.J.; Patterson, D.C.; Yan, T.; Porter, M.G.; Mayne, C.S.; Umsworth, E.F. The influence of genetic index for milk production on the response to complete diet feeding and the utilization of energy and nitrogen. Anim. Sci. 1995, 61, 199–210. [Google Scholar] [CrossRef]
- Caccamo, M.; Veerkamp, R.F.; Licitra, G.; Petriglieri, R.; La Terra, F.; Pozzebon, A.; Ferguson, J.D. Association of total-mixed-ration chemical composition with milk, fat, and protein yield lactation curves at the individual level. J. Dairy Sci. 2012, 95, 6171–6183. [Google Scholar] [CrossRef]
- Cabrita, A.R.J.; Bessa, R.J.B.; Alves, S.P.; Dewhurst, R.J.; Fonseca, A.J.M. Effects of dietary protein and starch on intake, milk production, and milk fatty acid profiles of dairy cows fed corn silage-based diets. J. Dairy Sci. 2007, 90, 1429–1439. [Google Scholar] [CrossRef]
- Hristov, A.N.; Price, W.J.; Shafii, B. Dietary factors influencing milk yield and milk protein yield in dairy cows. In Proceedings of the Pacific Northwest Animal Nutrition Conference, Vancouver, BC, Canada, 3–5 October 2002; CR Press: Portland, OR, USA, 2002; pp. 147–166. [Google Scholar]
- Oba, M.; Allen, M.S. Effects of corn grain conservation method on feeding behavior and productivity of lactating dairy cows at two dietary starch concentrations. J. Dairy Sci. 2003, 86, 174–183. [Google Scholar] [CrossRef]
- Ikonen, T.; Morri, S.; Tyriseva, A.M.; Ruottinen, O.; Ojala, M. Genetic and phenotypic correlations between milk coagulation properties, milk production traits, somatic cell count, casein content, and pH of milk. J. Dairy Sci. 2004, 87, 458–467. [Google Scholar] [CrossRef]
- Siachos, N.; Panousis, N.; Arsenos, G.; Valergakis, G. Investigation of milk urea nitrogen concentration and factors affecting its variation in Greek Holstein herds. J. Hell. Vet. Med. Soc. 2017, 68, 423–432. [Google Scholar] [CrossRef]
- Nousiainen, J.; Shingfield, K.J.; Huhtanen, P. Evaluation of Milk Urea Nitrogen as a Diagnostic of Protein Feeding. J. Dairy Sci. 2004, 87, 386–398. [Google Scholar] [CrossRef] [Green Version]
- Spek, J.W.; Dijkstra, J.; Van Duinkerken, G.; Bannink, A. A review of factors influencing milk urea concentration and its relationship with urinary urea excretion in lactating dairy cattle. J. Agric. Sci. 2013, 151, 407–423. [Google Scholar] [CrossRef] [Green Version]
- Wood, G.M.; Boettcher, P.J.; Jamrozik, J.; Jansen, G.B.; Kelton, D.F. Estimation of genetic parameters for concentrations of milk urea nitrogen. J. Dairy Sci. 2003, 86, 2462–2469. [Google Scholar] [CrossRef]
- Mucha, S.; Strandberg, E. Genetic analysis of milk urea nitrogen and relationships with yield and fertility across lactation. J. Dairy Sci. 2011, 94, 5665–5672. [Google Scholar] [CrossRef] [Green Version]
- Bünemann, K.; Von Soosten, D.; Frahm, J.; Kersten, S.; Meyer, U.; Hummel, J.; Zeyner, A.; Dänicke, S. Effects of Body Condition and Concentrate Proportion of the Ration on Mobilization of Fat Depots and Energetic Condition in Dairy Cows during Early Lactation Based on Ultrasonic Measurements. Animals 2019, 9, 131. [Google Scholar] [CrossRef] [Green Version]
- Harder, I.; Stamer, E.; Junge, W.; Thaller, G. Lactation curves and model evaluation for feed intake and energy balance in dairy cows. J. Dairy Sci. 2019, 102, 7204–7216. [Google Scholar] [CrossRef]
- Van Hoeij, R.J.; Dijkstra, J.; Bruckmaier, R.M.; Gross, J.J.; Lam, T.J.G.M.; Remmelink, G.J.; Kemp, B.; Van Knegsel, A.T.M. Consequences of dietary energy source and energy level on energy balance, lactogenic hormones, and lactation curve characteristics of cows after a short or omitted dry period. J. Dairy Sci. 2017, 100, 8544–8564. [Google Scholar] [CrossRef] [PubMed]
- Stefańska, B.; Nowak, W.ł.; Pruszyńska-Oszmałek, E.; Mikuła, R.; Stanisławski, D.; Kasprowicz-Potocka, M.; Frankiewicz, A.; Maćkowiak, P. The effect of body condition score on the biochemical blood indices and reproductive performance of dairy cows. Ann. Anim. Sci. 2016, 16, 129–143. [Google Scholar] [CrossRef] [Green Version]
- Roche, J.R.; Friggens, N.C.; Kay, J.K.; Fisher, M.W.; Stafford, K.J.; Berry, D.P. Invited review: Body condition score and its association with dairy cow productivity, health, and welfare. J. Dairy Sci. 2009, 92, 5769–5801. [Google Scholar] [CrossRef] [PubMed] [Green Version]
- Atasever Szilágyi, S.; Grȁff, M.; Jόnás, E.M. Effect of body conditio at calving on lactation curve of Holstein cows. In Proceedings of the 11th International Symposium Modern Trends in Livestock Production, Belgrade, Serbia, 11–13 October 2017; pp. 396–405. [Google Scholar]
- Agenas, S.; Burstedt, E.; Holtenius, K. Effects of feeding intensity during the dry period. 1. Feed intake, body weight, and milk production. J. Dairy Sci. 2003, 86, 870–882. [Google Scholar] [CrossRef] [Green Version]
- Stefańska, B.; Poźniak, A.; Nowak, W.Ł. Relationship between the pre- and postpartum body condition scores and per parturient indices and fertility in high-yielding dairy cows. J. Vet. Res. 2016, 60, 81–90. [Google Scholar] [CrossRef] [Green Version]
- Zając-Mazur, M. Culling level of dairy cows as a measure of breeding work efficiency in the herd. Wiadomości. Zootech. 2007, 3, 1–15. [Google Scholar]
- Rogers, G.W.; Van Arendork, J.A.M.; Mc Daniel, B.T. Influence of Production and Prices on Optimum Culling Rates and Annualized Net Revenue. J. Dairy Sci. 1988, 12, 3453–3462. [Google Scholar] [CrossRef]
- Bergk, N.; Swalve, H. Der Fett-Eiweiß-Quotient in der Frühlaktation als Indikator für den Verbleib von Erstkalbinnen in der Milchkuhherde. Züchtungskunde 2011, 83, 89–103. (In Deutsch) [Google Scholar]




| Herds 1 | ||||||||
|---|---|---|---|---|---|---|---|---|
| T1 | P1 | T2 | T3 | |||||
| General information | ||||||||
| Number of cows in herd | 1262 | 369 | 749 | 335 | ||||
| Number of primiparous cows/farm | 779 | 142 | 459 | 282 | ||||
| Milk production (kg)/farm/per cow | 12,778 | 10,934 | 11,505 | 11,346 | ||||
| Milk fat (%)/farm/per cow | 3.41 | 3.79 | 3.83 | 3.65 | ||||
| Milk protein (%)/farm/per cow | 3.25 | 3.36 | 3.38 | 3.23 | ||||
| Calving interval (days) | 409 | 397 | 418 | 417 | ||||
| Milking system | Rotary | Automatic (robot) | Fish bone | Fish bone | ||||
| Diet during lactation | TMR | PMR 2 | FRESH 3 | TMR I 4 | TMR II 5 | FRESH | TMR I | TMR II |
| Average dry matter intake (kg, DM) | 23.4 | 22.2 | 21.4 | 23.6 | 22.5 | 20.4 | 22.6 | 21.5 |
| Ingredient, (% DM) | ||||||||
| Maize silage | 30.9 | 32.7 | 28.5 | 33 | 39.2 | 26.5 | 28.3 | 42.3 |
| Alfalfa silage | 23.8 | 15.9 | 8.4 | 8.8 | 16 | 13.4 | 16.7 | |
| Sugar beet pulp, ensiled | 8.0 | 4.2 | 5.3 | 8.1 | 6.9 | 9.0 | ||
| Grass silage | 11.8 | 9.5 | 8.2 | 6.3 | ||||
| Brewer’s grain silage | ||||||||
| Hay | 2.4 | 2.2 | ||||||
| Straw | 3.9 | 9.6 | 9.3 | 1.7 | 1.8 | 8.2 | 6.2 | |
| Maize grain, ensiled | 5.5 | 4.5 | 8.1 | 7.2 | 5.8 | 9.7 | ||
| Maize grain | 4.7 | 6.8 | 3.5 | 5.9 | ||||
| Maize husks | 6 | |||||||
| Barley grain | 4.5 | 5.3 | 5.1 | 5.3 | 4.1 | 9.7 | 13.1 | |
| Wheat grain | 4.5 | 5 | 5.2 | |||||
| Triticale grain | ||||||||
| Rapeseed meal | 5.5 | 4.2 | 9.2 | 8.5 | 3.3 | 6.4 | 5 | |
| Soybean meal | 1.9 | 7.9 | 9.1 | 8.1 | 6.1 | 6.1 | 4.9 | |
| Sugar beet pulp, dry | 10.7 | 1.7 | ||||||
| Mineral and vitamin mix 6 | 4.0 | 5.7 | 2.3 | 2.4 | 4.4 | 3.3 | 2.7 | |
| Molasses | 3.9 | 4.5 | 2.1 | 3.4 | 2.6 | |||
| Inert fat | 1.9 | 1.1 | ||||||
| Calcium carbonate | 0.6 | 0.3 | ||||||
| Rock salt | 0.3 | 0.2 | ||||||
| Lactasan 7 | 38.8 | |||||||
| Urea | 0.2 | 0.2 | 42.3 | |||||
| Nutrient composition (%) | ||||||||
| DM—dry matter | 44.8 | 40.4 | 49.3 | 49.2 | 45.3 | 49.3 | 42.0 | 42.4 |
| ME (Mcal/kg) 8 | 2,91 | 2.61 | 2.60 | 2.90 | 2.60 | 2.60 | 2.85 | 2.60 |
| CP—crude protein | 16.5 | 15.5 | 15.2 | 17.1 | 17.1 | 15.2 | 15.9 | 16.6 |
| NDF—neutral detergent fibre | 29.5 | 39.2 | 31.3 | 28.1 | 30.1 | 31.3 | 28.8 | 33.2 |
| ADF—acid detergent fibre | 17.3 | 24.2 | 20.2 | 16.3 | 17.8 | 20.2 | 17.8 | 19.2 |
| NFC—non-fibre carbohydrates | 44.9 | 33.9 | 41.3 | 42.9 | 43.3 | 41.3 | 44.1 | 40.7 |
| Starch | 24.7 | 17.3 | 20.7 | 24.7 | 24.8 | 20.7 | 25 | 24.3 |
| Ether extract | 3.3 | 2.8 | 2.2 | 2.9 | 2.4 | 2.2 | 3.3 | 2.4 |
| Ca | 0.97 | 0.97 | 0.97 | 1.04 | 0.87 | 0.97 | 0.74 | 0.75 |
| P | 0.42 | 0.39 | 0.42 | 0.42 | 0.41 | 0.42 | 0.43 | 0.42 |
| K | 1.37 | 1.71 | 1.83 | 1.54 | 1.60 | 1.83 | 1.60 | 1.70 |
| DCAD meq/100g SMDietary cation–anion difference | 28.21 | 25.97 | 30.50 | 20.60 | 22.42 | 30.50 | 28.21 | 28.28 |
| Parameters | Actual Yield | Predicted Yield | |||
|---|---|---|---|---|---|
| x–d | a | b | c | Area under curve (0–x day) | Area under curve (0–305 day) |
| 30 | 15.0170 | 0.2425 | −0.0013 | 833.222 | 18,036.89 |
| 60 | 12.5080 | 0.3321 | 0.0026 | 1999.796 | 12,258.44 |
| 90 | 11.0229 | 0.3903 | 0.0047 | 3243.969 | 10,430.16 |
| 120 | 11.9886 | 0.3561 | 0.0038 | 4513.761 | 10,997.52 |
| 150 | 12.1962 | 0.3491 | 0.0036 | 5771.006 | 11,146.57 |
| 180 | 12.9338 | 0.3273 | 0.0032 | 6986.659 | 11,309.45 |
| 210 | 13.3877 | 0.3152 | 0.003 | 8172.895 | 11,386.48 |
| 240 | 13.1579 | 0.321 | 0.0031 | 9271.689 | 11,333.51 |
| 270 | 13.4694 | 0.3132 | 0.003 | 10,337.96 | 11,347.22 |
| 305 | 13.7833 | 0.3056 | 0.0029 | 11,367.83 | 11,367.83 |
| Milking Period (0–xi 1) | Number of Milkings | Number of Cows | Yield in Period 0–xi | Yield in Period 0–x305 |
|---|---|---|---|---|
| 0–305 | 910 | 91 | 11,462.84 | 11,462.84 |
| 0–270 | 513 | 57 | 10,236.95 | 11,156.88 |
| 0–240 | 352 | 44 | 9602.265 | 11,478.32 |
| 0–210 | 434 | 62 | 8303.107 | 11,116.52 |
| 0–180 | 390 | 65 | 6779.897 | 10,653.34 |
| 0–150 | 255 | 51 | 5639.378 | 10,953.72 |
| 0–120 | 164 | 41 | 4622.313 | 9985.867 |
| 0–90 | 195 | 65 | 3356.83 | 9717.556 |
| 0–60 | 124 | 62 | 2138.613 | 5610.461 |
| 0–30 | 90 | 90 | 759.2602 | 7109.765 |
Publisher’s Note: MDPI stays neutral with regard to jurisdictional claims in published maps and institutional affiliations. |
© 2021 by the authors. Licensee MDPI, Basel, Switzerland. This article is an open access article distributed under the terms and conditions of the Creative Commons Attribution (CC BY) license (https://creativecommons.org/licenses/by/4.0/).
Share and Cite
Różańska-Zawieja, J.; Winnicki, S.; Zyprych-Walczak, J.; Szabelska-Beręsewicz, A.; Siatkowski, I.; Nowak, W.; Stefańska, B.; Kujawiak, R.; Sobek, Z. The Effect of Feeding Management and Culling of Cows on the Lactation Curves and Milk Production of Primiparous Dairy Cows. Animals 2021, 11, 1959. https://doi.org/10.3390/ani11071959
Różańska-Zawieja J, Winnicki S, Zyprych-Walczak J, Szabelska-Beręsewicz A, Siatkowski I, Nowak W, Stefańska B, Kujawiak R, Sobek Z. The Effect of Feeding Management and Culling of Cows on the Lactation Curves and Milk Production of Primiparous Dairy Cows. Animals. 2021; 11(7):1959. https://doi.org/10.3390/ani11071959
Chicago/Turabian StyleRóżańska-Zawieja, Jolanta, Stanisław Winnicki, Joanna Zyprych-Walczak, Alicja Szabelska-Beręsewicz, Idzi Siatkowski, Włodzimierz Nowak, Barbara Stefańska, Ryszard Kujawiak, and Zbigniew Sobek. 2021. "The Effect of Feeding Management and Culling of Cows on the Lactation Curves and Milk Production of Primiparous Dairy Cows" Animals 11, no. 7: 1959. https://doi.org/10.3390/ani11071959
APA StyleRóżańska-Zawieja, J., Winnicki, S., Zyprych-Walczak, J., Szabelska-Beręsewicz, A., Siatkowski, I., Nowak, W., Stefańska, B., Kujawiak, R., & Sobek, Z. (2021). The Effect of Feeding Management and Culling of Cows on the Lactation Curves and Milk Production of Primiparous Dairy Cows. Animals, 11(7), 1959. https://doi.org/10.3390/ani11071959

