The Influence of Residual Feed Intake and Cow Age on Beef Cattle Performance, Supplement Intake, Resource Use, and Grazing Behavior on Winter Mixed-Grass Rangelands
Abstract
Simple Summary
Abstract
1. Introduction
2. Materials and Methods
2.1. Animal Performance and Supplement Intake Behavior
2.2. Grazing Behavior and Resource Use
2.3. Statistical Analysis
3. Results
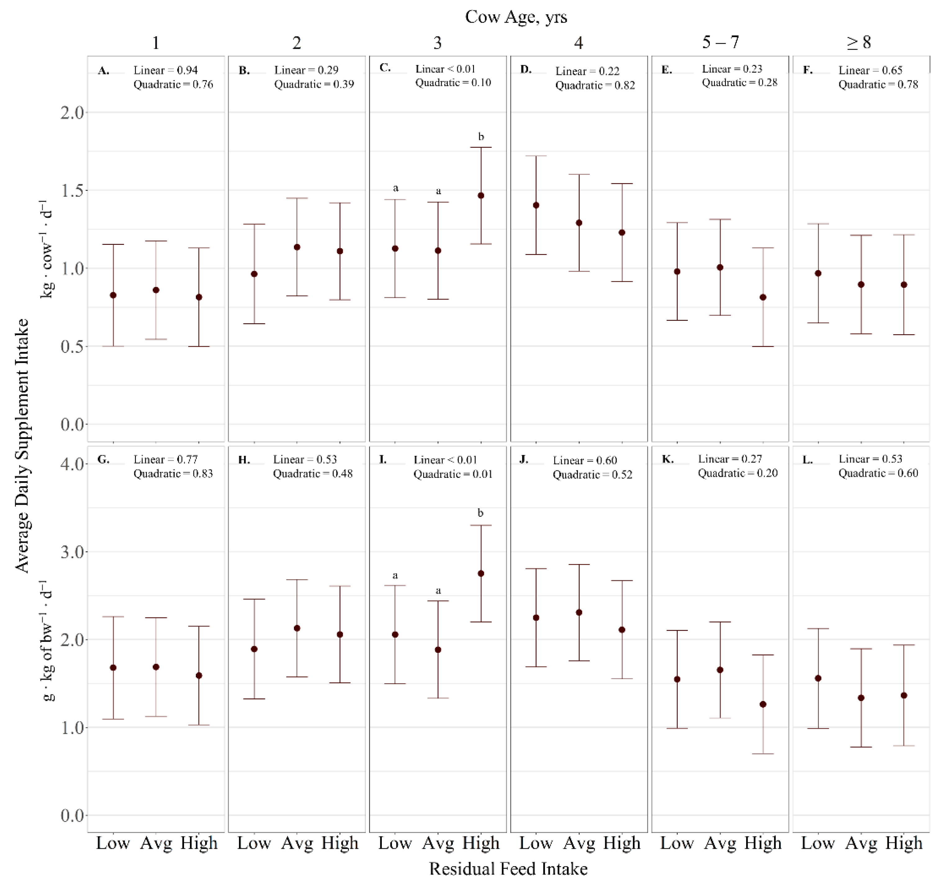
3.1. Supplement Intake Behavior and Animal Performance
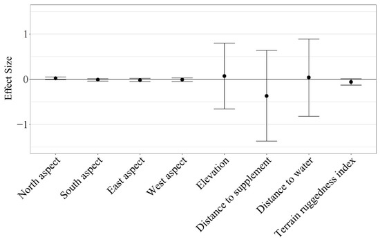
3.2. Grazing Behavior and Resource Use
4. Discussion
5. Conclusions
Supplementary Materials
Author Contributions
Funding
Institutional Review Board Statement
Informed Consent Statement
Data Availability Statement
Acknowledgments
Conflicts of Interest
References
- Arthur, P.F.; Archer, J.A.; Herd, R.M. Feed intake and efficiency in beef cattle: Overview of recent Australian research and challenges for the future. Aust. J. Exp. Agric. 2004, 44, 361–369. [Google Scholar] [CrossRef]
- Van der Westhuizen, R.R.; Van der Westhuizen, J.; Schoeman, S.J. Genetic variance components of residual feed intake and feed conversion ratio and their correlations with other production traits in beef bulls. S. Afr. J. Anim. Sci. 2004, 34, 257–264. [Google Scholar]
- Meyer, A.M.; Kerley, M.S.; Kallenbach, R.L. The effect of residual feed intake classification on forage intake by grazing beef cows. J. Anim. Sci. 2008, 86, 2670–2679. [Google Scholar] [CrossRef] [PubMed]
- Ferrell, C.L.; Jenkins, T.G. Energy utilization by Hereford and Simmental males and females. Anim. Sci. 1985, 41, 53–61. [Google Scholar] [CrossRef]
- Ferrell, C.L.; Jenkins, R.G. Influence of biological types on energy requirements. Beef Res. Prog. Rep. 1988, 3, 86–90. [Google Scholar]
- Montaño-Bermudez, M.; Nielsen, M.K.; Deutscher, G.H. Energy requirements for maintenance of crossbred beef cattle with different genetic potential for milk. J. Anim. Sci. 1990, 68, 2279–2288. [Google Scholar] [CrossRef] [PubMed]
- Arthur, P.F.; Archer, J.A.; Johnston, D.J.; Herd, R.M.; Richardson, E.C.; Parnell, P.F. Genetic and phenotypic variance and covariance components for feed intake, feed efficiency, and other postweaning traits in Angus cattle. J. Anim. Sci. 2001, 79, 2805–2811. [Google Scholar] [CrossRef]
- Nkrumah, J.D.; Okine, E.K.; Mathison, G.W.; Schmid, K.; Li, C.; Basarab, J.A.; Price, M.A.; Wang, Z.; Moore, S.S. Relationships of feedlot feed efficiency, performance, and feeding behavior with metabolic rate, methane production, and energy partitioning in beef cattle. J. Anim. Sci. 2006, 84, 145–153. [Google Scholar] [CrossRef] [PubMed]
- Crowley, J.J.; McGee, M.; Kenny, D.A.; Crews, D.H.; Evans, R.D.; Berry, D. Phenotypic and genetic parameters for different measures of feed efficiency in different breeds of Irish performance-tested beef bulls. J. Anim. Sci. 2010, 88, 885–894. [Google Scholar] [CrossRef] [PubMed]
- Sprinkle, J.E.; Taylor, J.B.; Clark, P.E.; Hall, J.B.; Strong, N.K.; Roberts-Lew, M.C. Grazing behavior and production characteristics among cows differing in residual feed intake while grazing late season Idaho rangelands. J. Anim. Sci. 2020, 98, 1–9. [Google Scholar] [CrossRef]
- Lawrence, P.; Kenny, D.A.; Earley, B.; Crews, D.H.; McGee, M. Grass silage intake, rumen and blood variables, ultrasonic and body measurements, feeding behavior, and activity in pregnant beef heifers differing in phenotypic residual feed intake. J. Anim. Sci. 2011, 89, 3248–3261. [Google Scholar] [CrossRef]
- Arthur, P.F.; Herd, R.M.; Wilkins, J.F.; Archer, J.A. Maternal productivity of Angus cows divergently selected for post-weaning residual feed intake. Aust. J. Exp. Agric. 2005, 45, 985–993. [Google Scholar] [CrossRef]
- Basarab, J.A.; McCartney, D.; Okine, E.K.; Baron, V.S. Relationships between progeny residual feed intake and dam productivity traits. Can. J. Anim. Sci. 2007, 87, 489–502. [Google Scholar] [CrossRef]
- Manafiazar, G.; Basarab, J.A.; Baron, V.S.; McKeown, L.; Doce, R.R.; Swift, M.; Undi, M.; Wittenberg, K.; Ominski, K. Effect of post-weaning residual feed intake classification on grazed grass intake and performance in pregnant beef heifers. Can. J. Anim. Sci. 2015, 95, 369–381. [Google Scholar] [CrossRef]
- Kenny, D.A.; Fitzsimons, C.; Waters, S.M.; McGee, M. Invited review: Improving feed efficiency of beef cattle—The current state of the art and future challenges. Animal 2018, 12, 1815–1826. [Google Scholar] [CrossRef] [PubMed]
- Galyean, M.L.; Goetsch, A.L.; Jung, H.G.; Buxton, D.R.; Hatfield, R.D.; Ralph, J. Utilization of Forage Fiber by Ruminants. In Forage Cell Wall Structure and Digestibility; American Society of Agronomy: Madison, WI, USA, 2015; Chapter 2; pp. 33–71. [Google Scholar] [CrossRef]
- Wyffels, S.A.; Petersen, M.K.; Boss, D.L.; Sowell, B.F.; Bowman, J.G.; McNew, L.B. Dormant Season Grazing: Effect of Supplementation Strategies on Heifer Resource Utilization and Vegetation Use. Rangel. Ecol. Manag. 2019, 72, 878–887. [Google Scholar] [CrossRef]
- Bowman, J.G.P.; Sowell, B.F. Delivery method and supplement consumption by grazing ruminants: A review. J. Anim. Sci. 1997, 75, 543–550. [Google Scholar] [CrossRef]
- DelCurto, T.; Hess, B.W.; Huston, J.E.; Olson, K.C. Optimum supplementation strategies for beef cattle consuming low-quality roughages in the western United States. J. Anim. Sci. 2000, 77, 1–16. [Google Scholar] [CrossRef]
- Wyffels, S.A.; Parsons, C.T.; Dafoe, J.M.; Boss, D.L.; McClain, T.P.; Carter, B.H.; DelCurto, T. The influence of age and winter environment on Rumax Bovibox and Bovibox HM supplement intake behavior of winter grazing beef cattle on mixed-grass rangelands. Transl. Anim. Sci. 2020, 4, S37–S42. [Google Scholar] [CrossRef]
- Wesley, R.L.; Cibils, A.F.; Mulliniks, J.T.; Pollak, E.R.; Petersen, M.K.; Fredrickson, E.L. An assessment of behavioural syndromes in rangeland-raised beef cattle. Appl. Anim. Behav. Sci. 2012, 139, 183–194. [Google Scholar] [CrossRef]
- Coughenour, M.B. Invited Synthesis Paper: Spatial Components of Plant-Herbivore Interactions in Pastoral, Ranching, and Native Ungulate Ecosystems. J. Range Manag. 1991, 44, 530. [Google Scholar] [CrossRef]
- Bailey, D.W.; Gross, J.E.; Laca, E.A.; Rittenhouse, L.R.; Coughenour, M.B.; Swift, D.M.; Sims, P.L. Mechanisms That Result in Large Herbivore Grazing Distribution Patterns. J. Range Manag. 1996, 49, 386. [Google Scholar] [CrossRef]
- Beaver, J.; Olson, B. Winter range use by cattle of different ages in southwestern Montana. Appl. Anim. Behav. Sci. 1997, 51, 1–13. [Google Scholar] [CrossRef]
- Dunn, R.W.; Havstad, K.M.; Ayers, E.L. Grazing behavior response of rangeland beef cattle to winter ambient temperature and age. App. Anim. Behav. Sci. 1988, 21, 2041–2207. [Google Scholar] [CrossRef]
- Walburger, K.J.; Wells, M.; Vavra, M.; DelCurto, T.; Johnson, B.K.; Coe, P. Influence of Cow Age on Grazing Distribution in a Mixed-Conifer Forest. Rangel. Ecol. Manag. 2009, 62, 290–296. [Google Scholar] [CrossRef]
- Launchbaugh, K.L.; Howery, L.D. Understanding Landscape Use Patterns of Livestock as a Consequence of Foraging Behavior. Rangel. Ecol. Manag. 2005, 58, 99–108. [Google Scholar] [CrossRef]
- Bailey, D.W. Management strategies for optimal grazing distribution and use of arid rangelands. J. Anim. Sci. 2004, 82, E147–E153. [Google Scholar] [PubMed]
- Sprinkle, J.E.; Ellison, M.J.; Hall, J.B.; Yelich, J.V.; Willmore, C.M.; Brennan, J.R. Are low-residual feed intake cows adapted to rangelands? Transl. Anim. Sci. 2019, 3, 1797–1801. [Google Scholar] [CrossRef]
- Wagner, J.J.; Lusby, K.S.; Oltjen, J.W.; Rakestraw, J.; Wettemann, R.P.; Walters, L.E. Carcass Composition in Mature Hereford Cows: Estimation and Effect on Daily Metabolizable Energy Requirement During Winter. J. Anim. Sci. 1988, 66, 603–612. [Google Scholar] [CrossRef]
- Parsons, C.T.; Dafoe, J.M.; Wyffels, S.A.; Van Emon, M.; DelCurto, T.; Boss, D.L. Impacts of heifer post-weaning residual feed intake classification on reproductive and performance measurements of first, second and third parity Angus beef females. Transl. Anim. Sci. 2021. [Google Scholar] [CrossRef]
- Turner, L.; Udal, M.; Larson, B.T.; Shearer, S. Monitoring cattle behavior and pasture use with GPS and GIS. Can. J. Anim. Sci. 2000, 80, 405–413. [Google Scholar] [CrossRef]
- Ungar, E.D.; Henkin, Z.; Gutman, M.; Dolev, A.; Genizi, A.; Ganskopp, D. Inference of Animal Activity from GPS Collar Data on Free-Ranging Cattle. Rangel. Ecol. Manag. 2005, 58, 256–266. [Google Scholar] [CrossRef]
- Brosh, A.; Henkin, Z.; Ungar, E.D.; Dolev, A.; Shabtay, A.; Orlov, A.; Yehuda, Y.; Aharoni, Y. Energy cost of activities and locomotion of grazing cows: A repeated study in larger plots1. J. Anim. Sci. 2010, 88, 315–323. [Google Scholar] [CrossRef] [PubMed]
- Augustine, D.J.; Derner, J.D. Assessing Herbivore Foraging Behavior with GPS Collars in a Semiarid Grassland. Sensors 2013, 13, 3711–3723. [Google Scholar] [CrossRef] [PubMed]
- Riley, S.J. Index that quatifies topographic heterogeneity. Intrmntn. J. Sci. 1999, 5, 23–27. [Google Scholar]
- Marzluff, J.M.; Millspaugh, J.J.; Hurvitz, P.; Handcock, M.S. Relating resources to a probabilistic measure of space use: Forest fragments and Steller’s jays. Ecology 2004, 85, 1411–1427. [Google Scholar] [CrossRef]
- Winder, V.L.; McNew, L.B.; Gregory, A.J.; Hunt, L.M.; Wisely, S.M.; Sandercock, B.K. Space use by female Greater Prairie-Chickens in response to wind energy development. Ecosphere 2014, 5, art3. [Google Scholar] [CrossRef]
- Handcock, M.S. Estimates of the Resource Utilization Function. Version 1.5-3. 2015. Available online: http://www.csde.washington.edu/~handcock/ruf (accessed on 11 March 2021).
- Kertson, B.N.; Marzluff, J.M. Improving studies of resource selection by understanding resource use. Environ. Conserv. 2010, 38, 18–27. [Google Scholar] [CrossRef]
- Johnson, D.H. The Comparison of Usage and Availability Measurements for Evaluating Resource Preference. Ecology 1980, 61, 65–71. [Google Scholar] [CrossRef]
- Calenge, C. The package “adehabitat” for the R software: A tool for the analysis of space and habitat use by animals. Ecol. Model. 2006, 197, 516–519. [Google Scholar] [CrossRef]
- Hijmans, R.J. Raster: Geographic Data Analysis and Modeling. R Package Version 2.8-19. 2019. Available online: https://CRAN.R-project.org/package=raster (accessed on 11 March 2021).
- Wyffels, S.A.; Boss, D.L.; Sowell, B.F.; DelCurto, T.; Bowman, J.G.P.; McNew, L.B. Dormant season grazing on northern mixed grass prairie agroecosystems: Does protein supplement intake, cow age, weight and body condition impact beef cattle resource use and residual vegetation cover? PLoS ONE 2020, 15, e0240629. [Google Scholar] [CrossRef]
- Clapp, J.G.; Beck, J.L. Evaluating distributional shifts in home range estimates. Ecol. Evol. 2015, 5, 3869–3878. [Google Scholar] [CrossRef]
- Heupel, M.R.; Simpfendorfer, C.A.; Hueter, R.E. Estimation of Shark Home Ranges using Passive Monitoring Techniques. Environ. Biol. Fishes 2004, 71, 135–142. [Google Scholar] [CrossRef]
- Kie, J.G.; Matthiopoulos, J.; Fieberg, J.; Powell, R.A.; Cagnacci, F.; Mitchell, M.S.; Gaillard, J.-M.; Moorcroft, P.R. The home-range concept: Are traditional estimators still relevant with modern telemetry technology? Philos. Trans. R. Soc. B Biol. Sci. 2010, 365, 2221–2231. [Google Scholar] [CrossRef]
- Garitano-Zavala, A.; Chura, Z.; Cotín, J.; Ferrer, X.; Nadal, J. Home range extension and overla-1of the Ornate Tinamou (Nothoprocta ornata) in an Andean agro-ecosystem. Wilson J. Ornith. 2013, 125, 491–501. [Google Scholar] [CrossRef]
- Bivand, R.; Rundel, C. Rgeos: Interface to Geometry Engine—Open Source (‘GEOS’). R Package Version 0.5-3. 2020. Available online: https://CRAN.R-project.org/package=rgeosraster (accessed on 11 March 2021).
- R Core Team. R: A Language and Environment for Statistical Computing; R Core Team: Vienna, Austria, 2020; Available online: http://www.R-project.org/ (accessed on 11 March 2021).
- Knight, C.W.; Bailey, D.W.; Faulkner, D.; Schafer, D.W. Intake and grazing activity of mature range cows on Arizona rangelands. In Proceedings of the Western Section American Society of Animal Science, Ruidoso, NM, USA, 23–26 June 2015; pp. 222–224. [Google Scholar]
- Sprinkle, J.E.; Sagers, J.K.; Hall, J.B.; Ellison, M.J.; Yelich, J.V.; Brennan, J.R.; Taylor, J.B.; Lamb, J.B. Grazing behavior and production for cattle on differing late-season rangeland grazing systems with or without protein supplementation. Transl. Anim. Sci. 2019, 3, 1792–1796. [Google Scholar] [CrossRef] [PubMed]
- Earley, A.; Sowell, B.; Bowman, J. Liquid supplementation of grazing cows and calves. Anim. Feed. Sci. Technol. 1999, 80, 281–296. [Google Scholar] [CrossRef]
- Sowell, B.F.; Bowman, J.G.P.; Grings, E.E.; MacNeil, M.D. Liquid supplement and forage intake by range beef cows. J. Anim. Sci. 2003, 81, 294–303. [Google Scholar] [CrossRef]
- Wyffels, S.A.; Dafoe, J.M.; Parsons, C.T.; Boss, D.L.; DelCurto, T.; Bowman, J.G.P. The influence of age and environmental conditions on supplement intake by beef cattle winter grazing northern mixed-grass rangelands. J. Anim. Sci. 2020, 98, 217. [Google Scholar] [CrossRef]
- Walker, R.S.; Martin, R.M.; Gentry, G.T. Impact of cow size on dry matter intake, residual feed intake, metabolic response, and cow performance. J. Anim. Sci. 2015, 93, 672–684. [Google Scholar] [CrossRef]









| Grass Production (kg/ha) | CP (%) | ADF (%) | NDF (%) | TDN (%) | |
|---|---|---|---|---|---|
| Year 1 | 1790 | 5.4 | 41.9 | 63.2 | 56.0 |
| Year 2 | 1456 | 5.4 | 39.9 | 66.9 | 55.0 |
| Age Class | ||||||
|---|---|---|---|---|---|---|
| 1 | 2 | 3 | 4 | 5–7 | ≥8 | |
| Cow number | ||||||
| Year 1 | 37 | 34 | 28 | 30 | 46 | 30 |
| Year 2 | 33 | 28 | 30 | 24 | 47 | 41 |
| Initial BW, kg | ||||||
| Year 1 | 489.6 ± 5.30 | 495.3 ± 7.55 | 565.4 ± 11.04 | 597.0 ± 8.88 | 617.2 ± 8.72 | 610.6 ± 9.28 |
| Year 2 | 467.5 ± 4.20 | 508.4 ± 7.05 | 561.0 ± 9.16 | 616.7 ± 12.41 | 637.5 ± 6.75 | 624.6 ± 8.27 |
| Initial BCS 1 | ||||||
| Year 1 | 5.76 ± 0.04 | 5.24 ± 0.08 | 5.52 ± 0.11 | 5.59 ± 0.09 | 5.56 ± 0.08 | 5.59 ± 0.07 |
| Year 2 | 5.76 ± 0.05 | 5.21 ± 0.05 | 5.16 ± 0.11 | 5.47 ± 0.09 | 5.52 ± 0.06 | 5.41 ± 0.07 |
| Final BW, kg | ||||||
| Year 1 | 497.0 ± 5.84 | 524.4 ± 7.11 | 496.4 ± 10.05 | 624.9 ± 6.36 | 644.3 ± 7.70 | 641.8 ± 9.39 |
| Year 2 | 448.7 ± 4.28 | 490.6 ± 7.04 | 547.7 ± 7.58 | 595.8 ± 11.64 | 606.8 ± 7.02 | 609.9 ± 8.24 |
| Final BCS | ||||||
| Year 1 | 5.66 ± 0.04 | 5.06 ± 0.10 | 5.41 ± 0.09 | 5.63 ± 0.05 | 5.61 ± 0.06 | 5.45 ± 0.07 |
| Year 2 | 5.67 ± 0.05 | 5.29 ± 0.05 | 5.39 ± 0.07 | 5.69 ± 0.09 | 5.65 ± 0.06 | 5.57 ± 0.07 |
Publisher’s Note: MDPI stays neutral with regard to jurisdictional claims in published maps and institutional affiliations. |
© 2021 by the authors. Licensee MDPI, Basel, Switzerland. This article is an open access article distributed under the terms and conditions of the Creative Commons Attribution (CC BY) license (https://creativecommons.org/licenses/by/4.0/).
Share and Cite
Parsons, C.T.; Dafoe, J.M.; Wyffels, S.A.; DelCurto, T.; Boss, D.L. The Influence of Residual Feed Intake and Cow Age on Beef Cattle Performance, Supplement Intake, Resource Use, and Grazing Behavior on Winter Mixed-Grass Rangelands. Animals 2021, 11, 1518. https://doi.org/10.3390/ani11061518
Parsons CT, Dafoe JM, Wyffels SA, DelCurto T, Boss DL. The Influence of Residual Feed Intake and Cow Age on Beef Cattle Performance, Supplement Intake, Resource Use, and Grazing Behavior on Winter Mixed-Grass Rangelands. Animals. 2021; 11(6):1518. https://doi.org/10.3390/ani11061518
Chicago/Turabian StyleParsons, Cory T., Julia M. Dafoe, Samuel A. Wyffels, Timothy DelCurto, and Darrin L. Boss. 2021. "The Influence of Residual Feed Intake and Cow Age on Beef Cattle Performance, Supplement Intake, Resource Use, and Grazing Behavior on Winter Mixed-Grass Rangelands" Animals 11, no. 6: 1518. https://doi.org/10.3390/ani11061518
APA StyleParsons, C. T., Dafoe, J. M., Wyffels, S. A., DelCurto, T., & Boss, D. L. (2021). The Influence of Residual Feed Intake and Cow Age on Beef Cattle Performance, Supplement Intake, Resource Use, and Grazing Behavior on Winter Mixed-Grass Rangelands. Animals, 11(6), 1518. https://doi.org/10.3390/ani11061518

