Changes in the Relationship between Ionized and Total Calcium in Clinically Healthy Dairy Cows in the Period around Calving
Abstract
Simple Summary
Abstract
1. Introduction
2. Materials and Methods
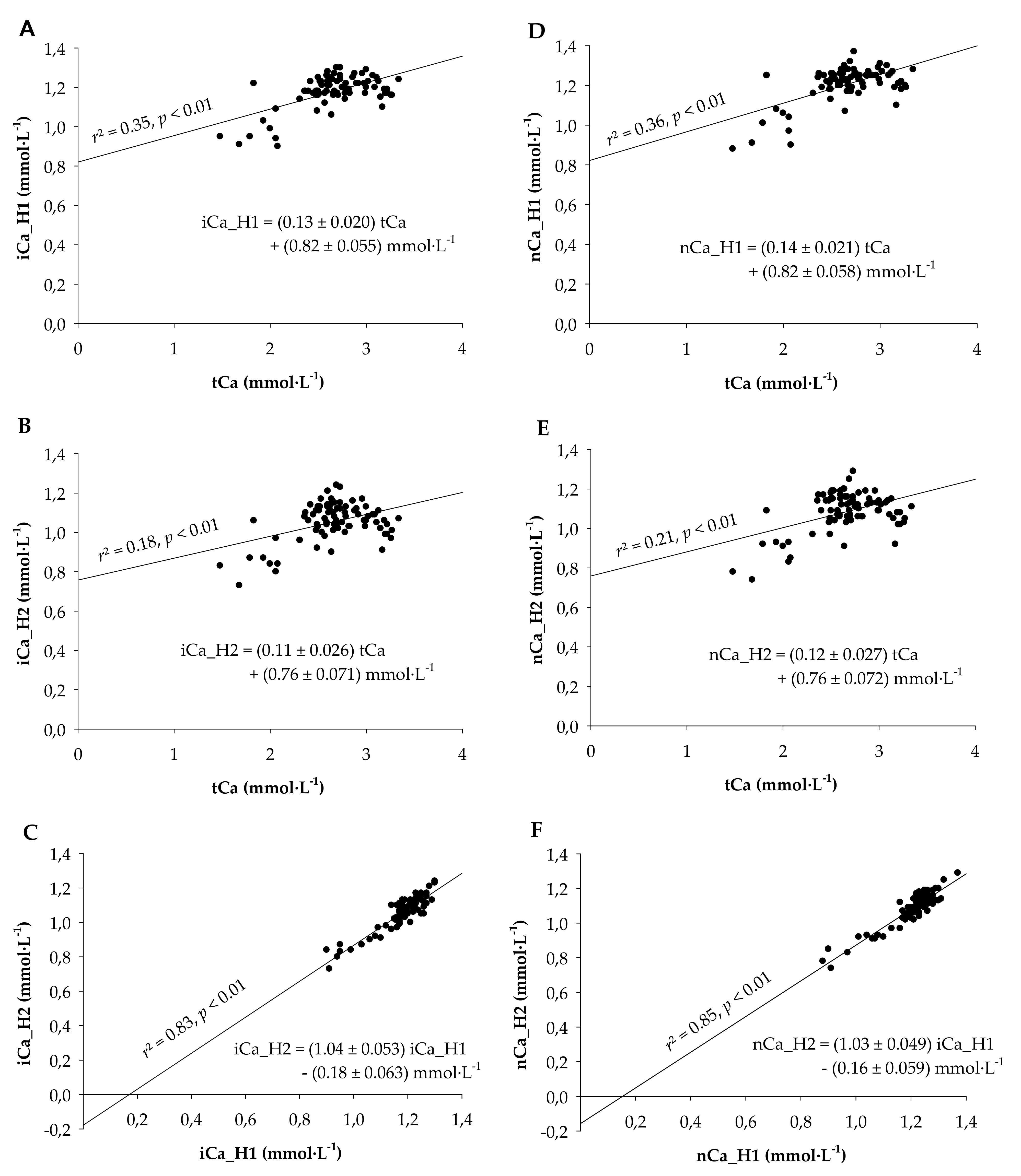
3. Results
4. Discussion
5. Conclusions
Author Contributions
Funding
Institutional Review Board Statement
Data Availability Statement
Conflicts of Interest
References
- Martinez, N.; Risco, C.A.; Lima, F.S.; Bisinotto, R.S.; Greco, L.F.; Ribeiro, E.S.; Maunsell, F.; Galvão, K.; Santos, J.E.P. Evaluation of Peripartal Calcium Status, Energetic Profile, and Neutrophil Function in Dairy Cows at Low or High Risk of Developing Uterine Disease. J. Dairy Sci. 2012, 95, 7158–7172. [Google Scholar] [CrossRef] [PubMed]
- Goff, J.P. The Monitoring, Prevention, and Treatment of Milk Fever and Subclinical Hypocalcemia in Dairy Cows. Vet. J. 2008, 176, 50–57. [Google Scholar] [CrossRef] [PubMed]
- Ballantine, H.T.; Herbein, J.H. Potentiometric Determination of Ionized and Total Calcium in Blood Plasma of Holstein and Jersey Cows. J. Dairy Sci. 1991, 74, 446–449. [Google Scholar] [CrossRef]
- Neves, R.C.; Leno, B.M.; Stokol, T.; Overton, T.R.; McArt, J.A.A. Risk Factors Associated with Postpartum Subclinical Hypocalcemia in Dairy Cows. J. Dairy Sci. 2017, 100, 3796–3804. [Google Scholar] [CrossRef]
- Venjakob, P.L.; Borchardt, S.; Heuwieser, W. Hypocalcemia—Cow-Level Prevalence and Preventive Strategies in German Dairy Herds. J. Dairy Sci. 2017, 100, 9258–9266. [Google Scholar] [CrossRef]
- Onifade, K.U.; Mohammad, A.A.; Petersen, J.R.; Okorodudu, A.O. Ionized Calcium: Indications and Advantages of Its Measurement. Lab. Med. 2005, 29, 235–240. [Google Scholar] [CrossRef]
- Forman, D.T.; Lorenzo, L. Ionized Calcium: Its Significance and Clinical Usefulness. Ann. Clin. Lab. Sci. 1991, 21, 297–304. [Google Scholar]
- Reinhardt, T.A.; Lippolis, J.D.; McCluskey, B.J.; Goff, J.P.; Horst, R.L. Prevalence of Subclinical Hypocalcemia in Dairy Herds. Vet. J. 2011, 188, 122–124. [Google Scholar] [CrossRef]
- Caixeta, L.S.; Ospina, P.A.; Capel, M.B.; Nydam, D.V. The Association of Subclinical Hypocalcemia, Negative Energy Balance and Disease with Bodyweight Change during the First 30 Days Post-Partum in Dairy Cows Milked with Automatic Milking Systems. Vet. J. 2015, 204, 150–156. [Google Scholar] [CrossRef]
- Robertson, W.G.; Marshall, R.W.; Bowers, G.N. Ionized Calcium in Body Fluids. CRC Crit. Rev. Clin. Lab. Sci. 1981, 15, 85–125. [Google Scholar] [CrossRef]
- Boink, A.B.T.J.; Buckley, B.M.; Christiansen, T.F.; Covington, A.K.; Maas, A.H.J.; Müller-Plathe, O.; Sachs, C.; Siggaard-Andersen, O. IFCC Recommendation on Sampling, Transport and Storage for the Determination of the Concentration of Ionized Calcium in Whole Blood, Plasma and Serum. J. Autom. Chem. 1991, 13, 235–239. [Google Scholar] [CrossRef]
- Moritz, A.; Kraft, W.; Dürr, U.M. (Eds.) Klinische Labordiagnostik in der Tiermedizin. In Klinische Labordiagnostik in der Tiermedizin; Schattauer: Stuttgart, Germany, 2014; pp. 327–329. ISBN 978-3-7945-6411-8. [Google Scholar]
- Agnes, F.; Sartorelli, P.; Bisso, M.C.; Dominoni, S. Ionized Calcium in Calf Serum: Relation to Total Serum Calcium, Albumin, Total Protein and PH. J. Vet. Med. Ser. A 1993, 40, 605–608. [Google Scholar] [CrossRef]
- Constable, P.; Trefz, F.M.; Stämpfli, H. Effects of PH and the Plasma or Serum Concentrations of Total Calcium, Chloride, Magnesium, l-lactate, and Albumin on the Plasma Ionized Calcium Concentration in Calves. J. Vet. Intern. Med. 2019, 33, 1822–1832. [Google Scholar] [CrossRef]
- Danner, J.; Ridgway, M.D.; Rubin, S.I.; Le Boedec, K. Development of a Multivariate Predictive Model to Estimate Ionized Calcium Concentration from Serum Biochemical Profile Results in Dogs. J. Vet. Intern. Med. 2017, 31, 1392–1402. [Google Scholar] [CrossRef] [PubMed]
- Kυart, C.; Larsson, L. Studies on Ionized Calcium in Serum and Plasma from Normal Cows. Its Relation to Total Serum Calcium and the Effects of Sample Storing. Acta Vet. Scand. 1978, 19, 487–496. [Google Scholar] [CrossRef]
- Joyce, P.W.; Sanchez, W.K.; Goff, J.P. Effect of Anionic Salts in Prepartum Diets Based on Alfalfa. J. Dairy Sci. 1997, 80, 2866–2875. [Google Scholar] [CrossRef]
- Tinkler, S.H.; Couëtil, L.L.; Constable, P.D. Effect of Sample Handling and Storage Time on the Stability of Total CO2 in Equine Plasma: Stability of Total CO2 in Equine Plasma. Equine Vet. J. 2012, 44, 57–61. [Google Scholar] [CrossRef]
- Janssen, J.W.; Helbing, A.R. Arsenazo III: An Improvement of the Routine Calcium Determination in Serum. Eur. J. Clin. Chem. Clin. Biochem. J. Forum Eur. Clin. Chem. Soc. 1991, 29, 197–201. [Google Scholar]
- Daly, J.A.; Ertingshausen, G. Direct Method for Determining Inorganic Phosphate in Serum with the “CentrifiChem”. Clin. Chem. 1972, 18, 263–265. [Google Scholar] [CrossRef]
- Baginski, E.; Marie, S.; Karcher, R.; Zak, B. Magnesium in Biological Fluids (Provisional). In Selected Methods of Clinical Chemistry; American Association for Clinical Chemistry: Washington, DC, USA, 1982; Volume 9, pp. 277–281. [Google Scholar]
- Aufenanger, J.; Kattermann, R. Klinisch-Chemische Meßgröße: Freie Fettsäuren (FFS); Greiling, H., Greßner, A., Eds.; Lehrbuch der Klinischen Chemie und Pathobiochemie; Schattauer: Stuttgart, Germany, 1995; pp. 319–320. [Google Scholar]
- Li, P.K.; Lee, J.T.; MacGlIllvray, M.H.; Schaefer, P.A. Direct, Fixed-Time Kinetic Assays for F3-Hydroxybutyrate and Acetoacetate with a Centrifugal Analyzer or a Computer-Backed Spectrophotometer. Clin. Chem. 1980, 26, 1713–1717. [Google Scholar] [CrossRef]
- Schumann, G.; Bonora, R.; Ceriotti, F.; Clerc-Renaud, P.; Ferrero, C.A.; Férard, G.; Franck, P.F.H.; Gella, F.-J.; Hoelzel, W.; Jørgensen, P.J.; et al. IFCC Primary Reference Procedures for the Measurement of Catalytic Activity Concentrations of Enzymes at 37 °C. Part 2. Reference Procedure for the Measurement of Catalytic Concentration of Creatine Kinase. Clin. Chem. Lab. Med. 2002, 40. [Google Scholar] [CrossRef]
- Thomas, L. Clinical Laboratory Diagnostics: Use and Assessment of Clinical Laboratory Results, 1st ed.; TH-books Verlagsgesellschaft: Frankfurt, Germany, 1998; pp. 86–88. [Google Scholar]
- Committee on Enzymes of the Scandinavian Society for Clinical Chemistry and Clinical Physiology Recommended Methods for the Determination of Four Enzymes in Blood. Scand. J. Clin. Lab. Investig. 1974, 33, 291–306. [CrossRef]
- Tietz, N.W. Fundamentals of Clinical Chemistry, 4th ed.; Saunders Company: Philadelphia, PA, USA, 1996; pp. 544–545. [Google Scholar]
- Allain, C.C.; Poon, L.S.; Chan, C.S.G.; Richmond, W.; Fu, P.C. Enzymatic Determination of Total Serum Cholesterol. Clin. Chem. 1974, 20, 470–475. [Google Scholar] [CrossRef]
- Jansen, J.M.; Burtis, C.A.; Overton, J.B.; Scott, C.D. Enzymatic Kinetic Rate and End-Point Analyses of Substrate by Use of a GeMSAEC Fast Analyzer. Clin. Chem. 1972, 18, 829–840. [Google Scholar] [CrossRef]
- Mazzachi, B.C.; Peake, M.J.; Ehrhardt, V. Reference Range and Method Comparison Studies for Enzymatic and Jaffé Creatinine Assays in Plasma and Serum and Early Morning Urine. Clin. Lab. 2000, 46, 53–55. [Google Scholar]
- Wilms, J.; Wang, G.; Doelman, J.; Jacobs, M.; Martín-Tereso, J. Intravenous Calcium Infusion in a Calving Protocol Disrupts Calcium Homeostasis Compared with an Oral Calcium Supplement. J. Dairy Sci. 2019, 102, 6056–6064. [Google Scholar] [CrossRef]
- Rodríguez, E.M.; Arís, A.; Bach, A. Associations between Subclinical Hypocalcemia and Postparturient Diseases in Dairy Cows. J. Dairy Sci. 2017, 100, 7427–7434. [Google Scholar] [CrossRef]
- Goff, J.P.; Horst, R.L. Physiological Changes at Parturition and Their Relationship to Metabolic Disorders. J. Dairy Sci. 1997, 80, 1260–1268. [Google Scholar] [CrossRef]
- Oetzel, G.K. Parturient Paresis and Hypocalcemia in Ruminant Livestock. Vet. Clin. N. Am. Food Anim. Pract. 1988, 4, 351–364. [Google Scholar] [CrossRef]
- Szenci, O.; Chew, B.P.; Bajcsy, A.C.; Szabó, P.; Brydl, E. Total and Ionized Calcium in Parturient Dairy Cows and Their Calves. J. Dairy Sci. 1994, 77, 1100–1105. [Google Scholar] [CrossRef]
- Martinez, N.; Sinedino, L.D.P.; Bisinotto, R.S.; Ribeiro, E.S.; Gomes, G.C.; Lima, F.S.; Greco, L.F.; Risco, C.A.; Galvão, K.N.; Taylor-Rodriguez, D.; et al. Effect of Induced Subclinical Hypocalcemia on Physiological Responses and Neutrophil Function in Dairy Cows. J. Dairy Sci. 2014, 97, 874–887. [Google Scholar] [CrossRef] [PubMed]
- Yogeshpriya, S.; Selvaraj, P.; Ramkumar, P.; Venkatesan, M.; Saravanan, M.; Jayalakshmi, K. Accuracy of Direct vs. Calculated Ionized Calcium in Treatment Planning for Transition Cow Medical Care: A Review of 104 Dairy Cows. Int. J. Chem. Stud. 2020, 8, 2009–2011. [Google Scholar] [CrossRef]
- Leno, B.M.; Martens, E.M.; Felippe, M.J.B.; Zanzalari, K.P.; Lawrence, J.C.; Overton, T.R. Short Communication: Relationship between Methods for Measurement of Serum Electrolytes and the Relationship between Ionized and Total Calcium and Neutrophil Oxidative Burst Activity in Early Postpartum Dairy Cows. J. Dairy Sci. 2017, 100, 9285–9293. [Google Scholar] [CrossRef] [PubMed]
- Carr, C.W. Studies on the Binding of Small Ions in Rotein Solutions with the Use of Membrane Electrodes. II. The Binding of Calcium Ions in Solutions of Bovine Serum Albumin. Arch. Biochem. Biophys. 1953, 147–156. [Google Scholar] [CrossRef]
- Manoni, M.; Di Lorenzo, C.; Ottoboni, M.; Tretola, M.; Pinotti, L. Comparative Proteomics of Milk Fat Globule Membrane (MFGM) Proteome across Species and Lactation Stages and the Potentials of MFGM Fractions in Infant Formula Preparation. Foods 2020, 9, 1251. [Google Scholar] [CrossRef]
- Leblanc, S. Monitoring Metabolic Health of Dairy Cattle in the Transition Period. J. Reprod. Dev. 2010, 56, S29–S35. [Google Scholar] [CrossRef]
- Seifi, H.A.; LeBlanc, S.J.; Leslie, K.E.; Duffield, T.F. Metabolic Predictors of Post-Partum Disease and Culling Risk in Dairy Cattle. Vet. J. 2011, 188, 216–220. [Google Scholar] [CrossRef]
- Melendez, P.; Marin, M.P.; Robles, J.; Rios, C.; Duchens, M.; Archbald, L. Relationship between Serum Nonesterified Fatty Acids at Calving and the Incidence of Periparturient Diseases in Holstein Dairy Cows. Theriogenology 2009, 72, 826–833. [Google Scholar] [CrossRef]
- Daniel, R.C.W.; Moodie, E.W. Induced Hypocalcaemia in Cows and Sheep. I. Changes in Plasma Inorganic Phosphorus Levels. Br. Vet. J. 1979, 135, 440–451. [Google Scholar] [CrossRef]
- Mellau, L.S.B.; Jørgensen, R.J.; Enemark, J.M.D. Plasma Calcium, Inorganic Phosphate and Magnesium during Hypocalcaemia Induced by a Standardized EDTA Infusion in Cows. Acta Vet. Scand. 2001, 42, 251–260. [Google Scholar] [CrossRef]
- You, A.Y.F.; Bergholt, M.S.; St-Pierre, J.-P.; Kit-Anan, W.; Pence, I.J.; Chester, A.H.; Yacoub, M.H.; Bertazzo, S.; Stevens, M.M. Raman Spectroscopy Imaging Reveals Interplay between Atherosclerosis and Medial Calcification in the Human Aorta. Sci. Adv. 2017, 3, e1701156. [Google Scholar] [CrossRef]
- Hausmann, J.; Deiner, C.; Immig, I.; Pieper, R.; Starke, A.; Aschenbach, J.R. Effects of Combined Supplementation with Plant Bioactive Lipid Compounds and Biotin on Ruminal Fermentation, Body Condition and Energy Metabolism in Transition Dairy Cows. Anim. Feed Sci. Technol. 2017, 225, 27–37. [Google Scholar] [CrossRef]
- Quiroz-Rocha, G.F.; LeBlanc, S.; Duffield, T.; Wood, D.; Leslie, K.E.; Jacobs, R.M. Evaluation of Prepartum Serum Cholesterol and Fatty Acids Concentrations as Predictors of Postpartum Retention of the Placenta in Dairy Cows. J. Am. Vet. Med Assoc. 2009, 234, 790–793. [Google Scholar] [CrossRef]
- Stockham, S.L.; Scott, M.A. Fundamentals of Veterinary Clinical Pathology. In Fundamentals of Veterinary Clinical Pathology; John Wiley & Sons: Hoboken, NJ, USA; Iowa State Press: Ames, IA, USA, 2013; pp. 401–433. ISBN 978-1-118-68607-2. [Google Scholar]
- Buckley, B.M.; Russell, L.J. The Measurement of Ionised Calcium in Blood Plasma. Ann. Clin. Biochem. Int. J. Biochem. Lab. Med. 1988, 25, 447–465. [Google Scholar] [CrossRef]
- Sachs, C.; Rabouine, P.; Chaneac, M.; Kindermans, C.; Dechaux, M. Anticoagulant-Induced Preanalytical Errors in Ionized Calcium Determination on Blood. Scand. J. Clin. Lab. Investig. 1989, 49, 647–651. [Google Scholar] [CrossRef]
- D’Orazio, P.; Toffaletti, J.G.; Wandrup, J.; National Committee for Clinical Laboratory Standards. Ionized Calcium Determinations: Precollection Variables Specimen Choice Collection and Handling Approved Guideline, 2nd ed.; CLSI Document C31–A2; National Ccommittee for Clinical Laboratory Standards: Wayne, PA, USA, 2001; ISBN 978-1-56238-436-4. [Google Scholar]
- Biswas, C.K.; Ramos, J.M.; Kerr, D.N.S. Heparin Effect on Ionised Calcium Concentration. Clin. Chim. Acta 1981, 116, 343–347. [Google Scholar] [CrossRef]
- Jafri, L.; Khan, A.H.; Azeem, S. Ionized Calcium Measurement in Serum and Plasma by Ion Selective Electrodes: Comparison of Measured and Calculated Parameters. Ind. J. Clin. Biochem. 2014, 29, 327–332. [Google Scholar] [CrossRef]
- Toffaletti, J.G.; Wildermann, R.F. The Effects of Heparin Anticoagulants and FIll Volume in Blood Gas Syringes on Ionized Calcium and Magnesium Measurements. Clin. Chim. Acta 2001, 5, S0009–S8981. [Google Scholar] [CrossRef]


| Feed Items (%) | PMR Antepartum | PMR Postpartum | Concentrate A | Concentrate B |
|---|---|---|---|---|
| Hay | 9.9 | 6.2 | 0 | 0 |
| Maize silage | 23.4 | 24.5 | 0 | 0 |
| Grass silage | 60.4 | 63.0 | 0 | 0 |
| Maize | 1.5 | 1.5 | 35 | 33 |
| Wheat | 0 | 0 | 10 | 16 |
| Barley | 1.5 | 1.5 | 0 | 14.5 |
| Rapeseed meal | 1.5 | 1.5 | 20 | 22.5 |
| Soya extraction meal | 0 | 0 | 9 | 10 |
| Maize gluten meal | 0 | 0 | 7 | 0 |
| Dried molasses | 1.3 | 1.3 | 6 | 0 |
| Malt sprouts | 0 | 0 | 5 | 0 |
| Biscuit flour | 0 | 0 | 3 | 0 |
| Sugar beet vinasse | 0 | 0 | 2 | 2.6 |
| Sugar beet pulp | 0.2 | 0.2 | 1 | 0 |
| Mineral mix | 0.3 1 | 0.3 1 | 0.1 2 | 0.1 2 |
| Calcium carbonate | 0 | 0 | 1.5 | 0.9 |
| Sodium carbonate | 0 | 0 | 0 | 0.4 |
| Sodium chloride | 0 | 0 | 0.4 | 0 |
| Chemical composition (g/kg dry matter) 3 | ||||
| Dry matter | 417 | 384 | 901 | 899 |
| Crude protein | 135 | 149 | 215 | 218 |
| Crude fat | 30 | 34 | 45 | 46 |
| Starch | 137 | 145 | 338 | 315 |
| NDF | 448 | 406 | 247 | 265 |
| ADF | 270 | 247 | 108 | 112 |
| ADL | 27 | 24 | 22 | 24 |
| Calcium | 5.7 | 6.1 | 8 | 10 |
| Magnesium | 2.3 | 2.5 | 7 | 8 |
| Phosphorous | 3.4 | 3.9 | 3 | 3 |
| DCAD (meq/kg) | +253 | +285 | +60 | +88 |
| Day | NEFA | BHB | AST | GLDH | ALKP | TBIL | Chol |
| µmol·L−1 | µmol·L−1 | U·L−1 | U·L−1 | U·L−1 | µmol·L−1 | mmol·L−1 | |
| −2 | 290 b | 686 | 79 c | 10.1 b,c | 51.9 a,b | 2.84 b | 2.02 b,c |
| 0 | 490 a | 757 | 95 b | 10.7 c | 53.4 a | 5.21 a | 1.70 c |
| 2 | 387 a,b | 800 | 108 a,b | 13.2 a,b,c | 50.6 a,b | 3.84 a,b | 1.81 c |
| 4 | 479 a,b | 831 | 111 a | 17.2 a,b | 48.1 a,b | 3.84 a,b | 1.99 b,c |
| 7 | 448 a,b | 888 | 112 a | 22.2 a | 44.4 b | 3.69 a,b | 2.44 a,b |
| 14 | 411 a,b | 923 | 101 a,b | 23.9 a,b | 42.7 b | 3.15 b | 2.97 a |
| SEM | 22.5 | 31.8 | 2.6 | 1.23 | 1.2 | 0.177 | 0.037 |
| p-Value | 0.034 | 0.053 | <0.001 | <0.001 | 0.002 | 0.003 | <0.001 |
| Day | BUN, | Crea, | CK, | P | Mg | TP | Alb |
| mmol·L−1 | µmol·L−1 | U·L−1 | mmol·L−1 | mmol·L−1 | g·L−1 | g·L−1 | |
| −2 | 3.9 | 101 a | 146 | 2.16 a | 0.98 a,b | 73 b | 28 b |
| 0 | 3.58 | 102 a | 197 | 1.42 b | 1.10 a | 74 b | 29 a,b |
| 2 | 3.5 | 91 a,b | 194 | 2.02 a | 0.95 b | 73 b | 28 a,b |
| 4 | 3.96 | 87 b | 154 | 2.10 a | 0.92 b | 76 b | 29 a,b |
| 7 | 3.89 | 95 a,b | 138 | 2.10 a | 0.97 a,b | 76 a,b | 29 a,b |
| 14 | 3.72 | 78 b | 150 | 2.08 a | 1.05 a,b | 79 a | 30 a |
| SEM | 0.098 | 1.4 | 12.6 | 0.05 | 0.016 | 0.6 | 0.4 |
| p-Value | 0.9 | <0.001 | 0.11 | <0.001 | 0.001 | <0.001 | 0.028 |
| Sampling Day | iCa_H1 (mmol·L−1) | tCa (mmol·L−1) | Ratio iCa_H1:tCa |
|---|---|---|---|
| d−2 | 1.21 | 2.83 a | 0.43 b |
| d0 | 1.07 | 2.26 b | 0.48 a |
| d2 | 1.18 | 2.65 a | 0.45 ab |
| d4 | 1.21 | 2.66 a | 0.46 ab |
| d7 | 1.21 | 2.86 a | 0.43 b |
| d14 | 1.21 | 2.83 a | 0.43 b |
| SEM | 0.009 | 0.041 | 0.006 |
Publisher’s Note: MDPI stays neutral with regard to jurisdictional claims in published maps and institutional affiliations. |
© 2021 by the authors. Licensee MDPI, Basel, Switzerland. This article is an open access article distributed under the terms and conditions of the Creative Commons Attribution (CC BY) license (https://creativecommons.org/licenses/by/4.0/).
Share and Cite
Ott, D.; Schrapers, K.T.; Aschenbach, J.R. Changes in the Relationship between Ionized and Total Calcium in Clinically Healthy Dairy Cows in the Period around Calving. Animals 2021, 11, 1036. https://doi.org/10.3390/ani11041036
Ott D, Schrapers KT, Aschenbach JR. Changes in the Relationship between Ionized and Total Calcium in Clinically Healthy Dairy Cows in the Period around Calving. Animals. 2021; 11(4):1036. https://doi.org/10.3390/ani11041036
Chicago/Turabian StyleOtt, Dorothee, Katharina T. Schrapers, and Jörg R. Aschenbach. 2021. "Changes in the Relationship between Ionized and Total Calcium in Clinically Healthy Dairy Cows in the Period around Calving" Animals 11, no. 4: 1036. https://doi.org/10.3390/ani11041036
APA StyleOtt, D., Schrapers, K. T., & Aschenbach, J. R. (2021). Changes in the Relationship between Ionized and Total Calcium in Clinically Healthy Dairy Cows in the Period around Calving. Animals, 11(4), 1036. https://doi.org/10.3390/ani11041036

