Predicting the Digestive Tract Development and Growth Performance of Goat Kids Using Sigmoidal Models
Abstract
Simple Summary
Abstract
1. Introduction
2. Materials and Methods
2.1. Animal Trial and Feeding Management
2.2. Anatomic Development Estimations
2.3. Statistical Analysis
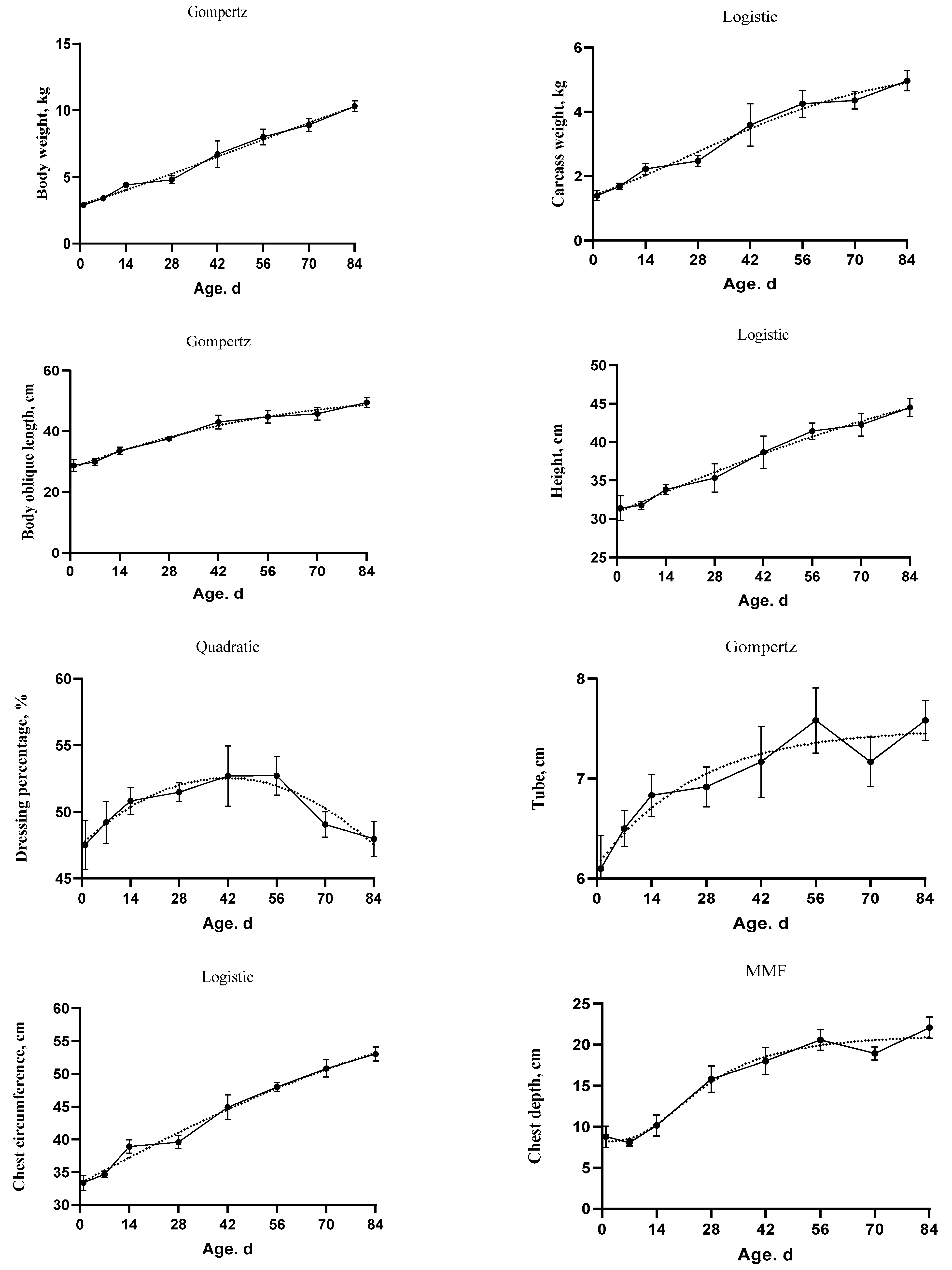
3. Results
3.1. Performance and Carcass Measurements
3.2. Anatomic Development of Digestive Tract
4. Discussion
4.1. Body Weight, Carcass Weight, and Dressing Percentage
4.2. Anatomic Development of Digestive Tract
5. Conclusions
Author Contributions
Funding
Institutional Review Board Statement
Informed Consent Statement
Data Availability Statement
Acknowledgments
Conflicts of Interest
References
- Skapetas, B.; Bampidis, V. Goat production in the World: Present situation and trends. Livest. Res. Rural Dev. 2016, 28, 200. [Google Scholar]
- Pulina, G.; Milán, M.; Lavín, M.; Theodoridis, A.; Morin, E.; Capote, J.; Thomas, D.; Francesconi, A.; Caja, G. Invited review: Current production trends, farm structures, and economics of the dairy sheep and goat sectors. J. Dairy Sci. 2018, 101, 6715–6729. [Google Scholar] [CrossRef] [PubMed]
- Zhao, J.; Li, H.; Liu, K.; Zhang, B.; Li, P.; He, J.; Cheng, M.; De, W.; Liu, J.; Zhao, Y. Identification of differentially expressed genes affecting hair and cashmere growth in the Laiwu black goat by microarray. Mol. Med. Rep. 2016, 14, 3823–3831. [Google Scholar] [CrossRef][Green Version]
- Topal, M.; Ozdemir, M.; Aksakal, V.; Yildiz, N.; Dogru, U. Determination of the best nonlinear function in order to estimate growth in Morkaraman and Awassi lambs. Small Rumin. Res. 2004, 55, 229–232. [Google Scholar] [CrossRef]
- Chay-Canul, A.J.; Espinoza-Hernandez, J.C.; Ayala-Burgos, A.J.; Magaña-Monforte, J.G.; Aguilar-Perez, C.F.; Chizzotti, M.L.; Tedeschi, L.O.; Ku-Vera, J.C. Relationship of empty body weight with shrunken body weight and carcass weights in adult Pelibuey ewes at different physiological states. Small Rumin. Res. 2014, 117, 10–14. [Google Scholar] [CrossRef]
- Campos, L.M.; Almeida, A.K.; Biagioli, B.; Resende, K.T.; Teixeira, I.A.M.A. Predicting empty body weight in growing goats: A meta-analytic approach. Small Rumin. Res. 2017, 155, 45–50. [Google Scholar] [CrossRef]
- Warner, R.; Flatt, W.; Loosli, J. Ruminant nutrition, dietary factors influencing development of ruminant stomach. J. Agric. Food Chem. 1956, 4, 788–792. [Google Scholar] [CrossRef]
- Jiao, J.; Li, X.; Beauchemin, K.; Tan, Z.; Tang, S.; Zhou, C. Rumen development process in goats as affected by supplemental feeding v. grazing: Age-related anatomic development, functional achievement and microbial colonisation. Br. J. Nutr. 2015, 113, 888–900. [Google Scholar] [CrossRef]
- De Barbieri, I.; Hegarty, R.; Silveira, C.; Oddy, V. Positive consequences of maternal diet and post-natal rumen inoculation on rumen function and animal performance of Merino lambs. Small Rumin. Res. 2015, 129, 37–47. [Google Scholar] [CrossRef]
- Heinrichs, A. Rumen development in the dairy calf. In Calf and Heifer Rearing; 60th University of Nottingham Easter School in Agricultural Science: Nottingham, UK, 2005; pp. 53–65. [Google Scholar]
- Yáñez-Ruiz, D.; Abecia, L.; Newbold, C. Manipulating rumen microbiome and fermentation through interventions during early life: A review. Front. Microbiol. 2015, 6, 1–12. [Google Scholar] [CrossRef]
- Khan, M.A.; Weary, D.M.; Von Keyserlingk, M.A.G. Invited review: Effects of milk ration on solid feed intake, weaning, and performance in dairy heifers. J. Dairy Sci. 2011, 94, 1071–1081. [Google Scholar] [CrossRef] [PubMed]
- Weary, D.M.; Jasper, J.; Hötzel, M.J. Understanding weaning distress. Appl. Anim. Behav. Sci. 2008, 110, 24–41. [Google Scholar] [CrossRef]
- Baldwin, R. The proliferative actions of insulin, insulin-like growth factor-I, epidermal growth factor, butyrate and propionate on ruminal epithelial cells in vitro. Small Rumin. Res. 1999, 32, 261–268. [Google Scholar] [CrossRef]
- Fitzhugh, H., Jr. Analysis of growth curves and strategies for altering their shape. J. Anim. Sci. 1976, 42, 1036–1051. [Google Scholar] [CrossRef] [PubMed]
- Norris, D.; Ngambi, J.; Benyi, K.; Makgahlele, M.; Shimelis, H.; Nesamvuni, E. Analysis of growth curves of indigenous male Venda and Naked Neck chickens. S. Afr. J. Anim. Sci. 2007, 37, 21–26. [Google Scholar] [CrossRef]
- Sofaer, H.; Chapman, P.; Sillett, T.; Ghalambor, C. Advantages of nonlinear mixed models for fitting avian growth curves. J. Avian Biol. 2013, 44, 469–478. [Google Scholar] [CrossRef]
- Darmani Kuhi, H.; Kebreab, E.; Lopez, S.; France, J. A comparative evaluation of functions for the analysis of growth in male broilers. J. Agric. Sci. 2003, 140, 451–459. [Google Scholar] [CrossRef]
- Goshu, A.T.; Koya, P.R. Derivation of inflection points of nonlinear regression curves-implications to statistics. Am. J. Theor. Appl. Stat. 2013, 2, 268–272. [Google Scholar] [CrossRef]
- Lopez, S.; France, J.; Gerrits, W.; Dhanoa, M.; Humphries, D.; Dijkstra, J. A generalized Michaelis-Menten equation for the analysis of growth. J. Anim. Sci. 2000, 78, 1816–1828. [Google Scholar] [CrossRef] [PubMed]
- Archontoulis, S.V.; Miguez, F.E. Nonlinear regression models and applications in agricultural research. J. Agron. 2015, 107, 786–798. [Google Scholar] [CrossRef]
- Lambe, N.; Navajas, E.; Simm, G.; Bunger, L. A genetic investigation of various growth models to describe growth of lambs of two contrasting breeds. J. Anim. Sci. 2006, 84, 2642–2654. [Google Scholar] [CrossRef]
- Lewis, R.M.; Brotherstone, S. A genetic evaluation of growth in sheep using random regression techniques. Anim. Sci. 2002, 74, 63–70. [Google Scholar] [CrossRef]
- Magotra, A.; Bangar, Y.C.; Yadav, A. Growth curve modeling and genetic analysis of growth curve traits in Beetal Goat. Small Rumin. Res. 2020, 195, 106300. [Google Scholar] [CrossRef]
- Waheed, A.; Khan, M.S.; Ali, S.; Sarwar, M. Estimation of growth curve parameters in Beetal goats. Arch. Anim. Breed. 2011, 54, 287–296. [Google Scholar] [CrossRef]
- Kheirabadi, K.; Rashidi, A. Modelling and genetic evaluation of Markhoz goat growth curve parameters. Small Rumin. Res. 2019, 170, 43–50. [Google Scholar] [CrossRef]
- Tatar, A.M.; Tekel, N.; Ozkan, M.; Baritci, I.; Dellal, G. The determination of growth function in young Hair goat. J. Anim. Vet. Adv. 2009, 8, 213–216. [Google Scholar]
- Konarzewski, M.; Lilja, C.; Kozłowski, J.; Lewonńczuk, B. On the optimal growth of the alimentary tract in avian postembryonic development. J. Zool. 1990, 222, 89–101. [Google Scholar] [CrossRef]
- NRC. Nutrient Requirements of Small Ruminants: Sheep, Goats, Cervids, and New World Camelids; National Academy Press: Washington, DC, USA, 2007. [Google Scholar]
- Akaike, H. A new look at the statistical model identification. IEEE Trans. Autom. Control 1974, 19, 716–723. [Google Scholar] [CrossRef]
- Hurvich, C.M.; Tsai, C.-L. Regression and time series model selection in small samples. Biometrika 1989, 76, 297–307. [Google Scholar] [CrossRef]
- Stone, M. Comments on model selection criteria of Akaike and Schwarz. J. R. Stat. Soc. Ser. B Methodol. 1979, 41, 276–278. [Google Scholar] [CrossRef]
- Xie, W.; Pan, N.; Zeng, H.; Yan, H.; Wang, X.; Gao, C. Comparison of nonlinear models to describe the feather growth and development curve in yellow-feathered chickens. Animal 2020, 14, 1–9. [Google Scholar] [CrossRef]
- Bonvillani, A.; Peña, F.; de Gea, G.; Gómez, G.; Petryna, A.; Perea, J. Carcass characteristics of Criollo Cordobés kid goats under an extensive management system: Effects of gender and liveweight at slaughter. Meat Sci. 2010, 86, 651–659. [Google Scholar] [CrossRef] [PubMed]
- Cao, L.; Shi, P.-J.; Li, L.; Chen, G. A new flexible sigmoidal growth model. Symmetry 2019, 11, 204. [Google Scholar] [CrossRef]
- Tariq, M.; Iqbal, F.; Eyduran, E.; Bajwa, M.; Huma, Z.; Waheed, A. Comparison of Non-Linear Functions to Describe the Growth in Mengali Sheep Breed of Balochistan. Pak. J. Zool. 2013, 45, 661–665. [Google Scholar]
- Najari, S.; Gaddour, A.; Ouni, M.; Abdennebi, M.; Ben Hamouda, M. Non genetic factors affecting local kids’ growth curve under pastoral mode in Tunisian arid region. J. Biol. Sci. 2007, 6, 1005–1016. [Google Scholar]
- Ghiasi, H.; Lupi, T.; Mokhtari, M. The estimation of genetic parameters for growth curve traits in Raeini Cashmere goat described by Gompertz model. Small Rumin. Res. 2018, 165, 66–70. [Google Scholar] [CrossRef]
- Gaddour, A.; Ouni, M.; Najari, S. Growth curve estimation in pure goat breeds and crosses of first and second generation in Tunisian oases. J. Cell Anim. Biol. 2012, 6, 99–103. [Google Scholar] [CrossRef]
- Kume, K.; Hajno, L. Study of growth curve variations for kids 0-6 months old of Alpine goat breed in Albania. Archiva Zootechnica 2010, 13, 54. [Google Scholar]
- Eyduran, E.; Kuecuek, M.; Karakus, K.; Ozdemir, T. New Approaches to determination of the best nonlinear function describing growth at early phases of kivircik and morkaraman breeds. J. Anim. Vet. Adv. 2008, 7, 799–804. [Google Scholar]
- Pires, L.C.; Machado, T.M.M.; Carneiro, P.L.S.; da Silva, J.B.L.; de Holanda Barbosa, A.D.; de Almeida Torres, R. Growth curve of Repartida goats reared in the Caatinga region, Brazil. Semina Ciênc. Agrár. 2017, 38, 1041–1050. [Google Scholar] [CrossRef][Green Version]
- Malhado, C.; Carneiro, P.; Affonso, P.; Souza, A., Jr.; Sarmento, J. Growth curves in Dorper sheep crossed with the local Brazilian breeds, Morada Nova, Rabo Largo, and Santa Inês. Small Rumin. Res. 2009, 84, 16–21. [Google Scholar] [CrossRef]
- Selvaggi, M.; Laudadio, V.; D’Alessandro, A.; Dario, C.; Tufarelli, V. Comparison on accuracy of different nonlinear models in predicting growth of Podolica bulls. Anim. Sci. J. 2017, 88, 1128–1133. [Google Scholar] [CrossRef]
- Narinc, D.; Aksoy, T.; Karaman, E.; Karabağ, K. Effect of selection applied in the direction of high live weight on growth parameters in Japanese quails. Akdeniz Univ. Ziraat. Fak. Derg. 2009, 22, 149–156. [Google Scholar]
- Brody, S.; Lardy, H.A. Bioenergetics and growth. J. Phys. Chem. 1946, 50, 168–169. [Google Scholar] [CrossRef]
- Bahreini Behzadi, M.; Aslaminejad, A.; Sharifi, A.; Simianer, H. Comparison of mathematical models for describing the growth of Baluchi sheep. J. Agric. Sci. Technol. 2014, 14, 57–68. [Google Scholar]
- McGregor, B. Relationships between live weight, body condition, dimensional and ultrasound scanning measurements and carcass attributes in adult Angora goats. Small Rumin. Res. 2017, 147, 8–17. [Google Scholar] [CrossRef]
- Argüello, A.; Castro, N.; Capote, J.; Solomon, M. The influence of artificial rearing and live weight at slaughter on kid carcass characteristics. J. Anim. Vet. Adv. 2007, 6, 20–25. [Google Scholar]
- Kaić, A.; Cividini, A.; Potočnik, K. Influence of sex and age at slaughter on growth performance and carcass traits of Boer kids. Acta Agric. Slovenica 2012, 281–285. [Google Scholar]
- Peña, F.; Perea, J.; García, A.; Acero, R. Effects of weight at slaughter and sex on the carcass characteristics of Florida suckling kids. Meat Sci. 2007, 75, 543–550. [Google Scholar] [CrossRef]
- Panea, B.; Ripoll, G.; Horcada, A.; Sañudo, C.; Teixeira, A.; Alcalde, M. Influence of breed, milk diet and slaughter weight on carcass traits of suckling kids from seven Spanish breeds. Span. J. Agric. Res. 2012, 10, 1025–1036. [Google Scholar] [CrossRef]
- Yalcintan, H.; Akin, P.; Ozturk, N.; Ekiz, B.; Kocak, O.; Yilmaz, A. Carcass and meat quality traits of Saanen goat kids reared under natural and artificial systems and slaughtered at different ages. Acta Vet. Brno 2018, 87, 293–300. [Google Scholar] [CrossRef]
- Marichal, A.; Castro, N.; Capote, J.; Zamorano, M.; Argüello, A. Effects of live weight at slaughter (6, 10 and 25 kg) on kid carcass and meat quality. Livest. Prod. Sci. 2003, 83, 247–256. [Google Scholar] [CrossRef]
- Polidori, P.; Pucciarelli, S.; Cammertoni, N.; Polzonetti, V.; Vincenzetti, S. The effects of slaughter age on carcass and meat quality of Fabrianese lambs. Small Rumin. Res. 2017, 155, 12–15. [Google Scholar] [CrossRef]
- Kor, A.; Baspinar, E.; Karaca, S.; Keskin, S. The determination of growth in Akkeci (White goat) female kids by various growth models. Czech J. Anim. Sci. 2006, 51, 110–116. [Google Scholar] [CrossRef]
- Kohn, F.; Sharifi, A.; Simianer, H. Modeling the growth of the Goettingen minipig. J. Anim. Sci. 2007, 85, 84–92. [Google Scholar] [CrossRef] [PubMed]
- Anderson, R.; Harness, J.; Snead, A.; Salah, M. Mammary growth pattern in goats during pregnancy and lactation. J. Dairy Sci. 1981, 64, 427–432. [Google Scholar] [CrossRef]
- AlZahal, O.; Kebreab, E.; France, J.; McBride, B. A mathematical approach to predicting biological values from ruminal pH measurements. J. Dairy Sci. 2007, 90, 3777–3785. [Google Scholar] [CrossRef] [PubMed]
- Colman, E.; Tas, B.; Waegeman, W.; De Baets, B.; Fievez, V. The logistic curve as a tool to describe the daily ruminal pH pattern and its link with milk fatty acids. J. Dairy Sci. 2012, 95, 5845–5865. [Google Scholar] [CrossRef]
- Panzuti, C.; Duvaux-Ponter, C.; Dessauge, F. High feeding level after early weaning had no impact on subsequent milk production in Alpine goats. J. Appl. Anim. Res. 2018, 46, 1344–1351. [Google Scholar] [CrossRef]
- Teh, T.; Potchoiba, M.; Escobar, E.; Lu, C. Weaning methods of goat kids. J. Dairy Sci. 1984, 67, 137. [Google Scholar]
- Morand-Fehr, P. Growth. In Goat Production; Gall, C., Ed.; Academic Press: London, UK, 1981; pp. 253–284. [Google Scholar]
- Guzman, C.E.; Bereza-Malcolm, L.T.; De Groef, B.; Franks, A.E. Uptake of milk with and without solid feed during the monogastric phase: Effect on fibrolytic and methanogenic microorganisms in the gastrointestinal tract of calves. Anim. Sci. J. 2016, 87, 378–388. [Google Scholar] [CrossRef]
- Khan, M.A.; Bach, A.; Weary, D.M.; von Keyserlingk, M.A.G. Invited review: Transitioning from milk to solid feed in dairy heifers. J. Dairy Sci. 2016, 99, 885–902. [Google Scholar] [CrossRef] [PubMed]
- Geishauser, T.; Linhart, N.; Neidl, A.; Reimann, A. Factors associated with ruminal pH at herd level. J. Dairy Sci. 2012, 95, 4556–4567. [Google Scholar] [CrossRef] [PubMed]
- Piattoni, F.; Maertens, L.; Mazzoni, D. Effect of weaning age and solid feed distribution before weaning on performances and caecal traits of young rabbits. Cah. Options Mediterr. 1999, 41, 85–91. [Google Scholar]
- Dirksen, G.; Dori, S.; Arbel, A.; Schwarz, M.; Liebich, H.G. The Rumen Mucosa: An Important Metabolic Organ of the High Producing Dairy Cow. Isr. J. Vet. Med. 1997, 52, 73–78. [Google Scholar]
- Rauw, W.; de la Peña, E.; Gomez-Raya, L.; Cortés, L.; Ciruelos, J.; Izquierdo, E. Impact of environmental temperature on production traits in pigs. Sci. Rep. 2020, 10, 1–13. [Google Scholar] [CrossRef]
- Lama, S.; Grilli, D.; Egea, V.; Fucili, M.; Allegretti, L.; Guevara, J. Rumen development and blood metabolites of Criollo kids under two different rearing systems. Livest. Sci. 2014, 167, 171–177. [Google Scholar] [CrossRef]
- Wang, S.; Ma, T.; Zhao, G.; Zhang, N.; Tu, Y.; Li, F.; Cui, K.; Bi, Y.; Ding, H.; Diao, Q. Effect of Age and Weaning on Growth Performance, Rumen Fermentation, and Serum Parameters in Lambs Fed Starter with Limited Ewe–Lamb Interaction. Animals 2019, 9, 825. [Google Scholar] [CrossRef]
- Diao, Q.-Y.; Zhang, R.; Tu, Y. Current research progresses on calf rearing and nutrition in China. J. Integr. Agric. 2017, 16, 2805–2814. [Google Scholar] [CrossRef]
- Davis, C.; Drackley, J. The Development, Nutrition, and Management of the Young Calf; Iowa State University Press: Iowa City, IA, USA, 1998. [Google Scholar]
- Wang, F.; Li, C.; Li, F.; Wang, W.; Wang, X.; Liu, T.; Ma, Z.; Li, B. Effects of starter feeding and early weaning on GHR mRNA expression in liver and rumen of lambs from birth to 84 days of age. Arch. Anim. Nutr. 2016, 70, 239–248. [Google Scholar] [CrossRef]
- Abou-Ward, G.A. Effect of pre-weaning diet on lamb’s rumen development. Am. Eurasian J. Agric. Environ. Sci. 2008, 3, 561–567. [Google Scholar]
- Cifuni, G.; Napolitano, F.; Pacelli, C.; Riviezzi, A.; Girolami, A. Effect of age at slaughter on carcass traits, fatty acid composition and lipid oxidation of Apulian lambs. Small Rumin. Res. 2000, 35, 65–70. [Google Scholar] [CrossRef]





| Chemical Composition | % | Ingredients | % |
|---|---|---|---|
| Dry matter | 95.25 | Corn | 59.8 |
| Total energy, (MJ/kg) | 18.03 | Bran | 11 |
| Crude protein | 19.63 | Soybean meal | 23 |
| Crude fat | 3.40 | NaHCO3 | 0.5 |
| Neutral detergent fiber | 29.62 | Premix | 5 |
| Acid detergent fiber | 8.64 | MgCl | 0.7 |
| Non-fibrous carbohydrate | 39.36 | ||
| Ash | 7.99 | ||
| Calcium | 0.95 | ||
| Phosphorus | 0.70 |
| Name of Model | Family of Model | Parameters Numbers | Equation 1 | Ipy 2 | IPx |
|---|---|---|---|---|---|
| Logistic | Sigmoidal | 3 | a/2 | (lnb)/c | |
| Gompertz | Sigmoidal | 3 | a/e | b/c | |
| MMF | Sigmoidal | 4 | (d(c + a) + (a − c))/2d | (b(d − 1)/d + 1)^1/d | |
| Weibull | Sigmoidal | 4 | a − b × exp(1 − d/d) | (d − 1/cd)^1/d | |
| Richards | Sigmoidal | 4 | a(1 + d)^ − 1/d | (b − ln d)/c | |
| Ratkowsky | Sigmoidal | 3 | - | - | |
| Quadratic | Polynomial | 3 | - | - | |
| Cubic | Polynomial | 4 | - | - |
| Items | Factors 1 | Gompertz | Logistic | Ratkowsky | MMF | Richards | Weibull | Quadratic | Cubic |
|---|---|---|---|---|---|---|---|---|---|
| Body Weight, kg | SEM | 1.22 | 1.22 | 1.22 | 1.23 | 1.23 | 1.23 | 1.22 | 1.23 |
| AICc | 19.88 | 19.89 | 19.89 | 22.21 | 22.16 | 22.21 | 19.94 | 22.17 | |
| AIC | 19.60 | 19.61 | 19.61 | 21.66 | 21.60 | 21.66 | 19.67 | 21.61 | |
| BIC | 23.30 | 23.31 | 23.31 | 27.21 | 27.15 | 27.21 | 23.37 | 27.16 | |
| Carcass, kg | SEM | 0.79 | 0.79 | 0.79 | 0.80 | 0.80 | 0.80 | 0.79 | 0.80 |
| AICc | −21.31 | −21.41 | −21.41 | −18.95 | −19.14 | −19.00 | −21.16 | −19.02 | |
| AIC | −21.58 | −21.68 | −21.68 | −19.50 | −19.70 | −19.56 | −21.43 | −19.58 | |
| BIC | −17.88 | −17.98 | −17.98 | −13.95 | −14.15 | −14.01 | −17.73 | −14.03 | |
| Dressing percentage, % | SEM | 3.70 | 3.70 | 3.70 | 3.74 | 3.74 | 3.74 | 3.39 | 3.43 |
| AICc | 124.21 | 124.21 | 124.21 | 126.34 | 126.33 | 126.33 | 115.97 | 118.12 | |
| AIC | 123.94 | 123.93 | 123.93 | 125.78 | 125.78 | 125.78 | 115.70 | 117.56 | |
| BIC | 127.64 | 127.63 | 127.63 | 131.33 | 131.33 | 131.33 | 119.40 | 123.11 | |
| Oblique length, cm | SEM | 4.00 | 4.00 | 4.00 | 4.03 | 4.04 | 4.04 | 4.00 | 4.04 |
| AICc | 131.38 | 131.40 | 131.40 | 133.45 | 133.67 | 133.58 | 131.56 | 133.60 | |
| AIC | 131.11 | 131.13 | 131.13 | 132.89 | 133.11 | 133.03 | 131.29 | 133.05 | |
| BIC | 134.81 | 134.83 | 134.83 | 138.44 | 138.66 | 138.58 | 134.99 | 138.60 | |
| Height, cm | SEM | 3.24 | 3.24 | 3.24 | 3.28 | 3.28 | 3.28 | 3.25 | 3.28 |
| AICc | 111.81 | 111.79 | 111.79 | 113.91 | 113.96 | 113.90 | 111.82 | 113.95 | |
| AIC | 111.54 | 111.51 | 111.51 | 113.35 | 113.40 | 113.34 | 111.55 | 113.39 | |
| BIC | 115.24 | 115.21 | 115.21 | 118.90 | 118.95 | 118.89 | 115.25 | 118.94 | |
| Tube, cm | SEM | 0.62 | 0.62 | 0.62 | 0.62 | 0.63 | 0.62 | 0.62 | 0.63 |
| AICc | −43.80 | −43.77 | −43.77 | −41.86 | −40.85 | −41.86 | −43.29 | −41.70 | |
| AIC | −44.07 | −44.04 | −44.04 | −42.41 | −41.41 | −42.41 | −43.57 | −42.25 | |
| BIC | −40.37 | −40.34 | −40.34 | −36.86 | −35.86 | −36.86 | −39.87 | −36.70 | |
| Circumference of chest, cm | SEM | 2.78 | 2.78 | 2.78 | 2.81 | 2.81 | 2.81 | 2.78 | 2.81 |
| AICc | 97.31 | 97.29 | 97.29 | 99.63 | 99.55 | 99.62 | 97.31 | 99.53 | |
| AIC | 97.04 | 97.02 | 97.02 | 99.08 | 98.99 | 99.06 | 97.03 | 98.97 | |
| BIC | 100.74 | 100.72 | 100.72 | 104.63 | 104.54 | 104.61 | 100.73 | 104.52 | |
| Chest depth, cm | SEM | 3.11 | 3.09 | 3.09 | 3.05 | 3.11 | 3.08 | 3.13 | 3.17 |
| AICc | 107.85 | 107.20 | 107.20 | 107.24 | 109.06 | 108.10 | 108.51 | 110.79 | |
| AIC | 107.58 | 106.93 | 106.93 | 106.68 | 108.51 | 107.54 | 108.24 | 110.23 | |
| BIC | 111.28 | 110.63 | 110.63 | 112.23 | 114.06 | 113.09 | 111.94 | 115.78 |
| Variables 1 | Model Name | Model Parameters 2 | R2 | IPy | IPx | AUC 3 | |||||
|---|---|---|---|---|---|---|---|---|---|---|---|
| a | b | c | d | 1:28 d | 29:56 d | 57:84 d | |||||
| Body weight, kg | Gompertz | 18.61 (9.21) | 0.62 (0.23) | 0.01 (0.01) | - | 0.82 | 6.85 | 45.93 | 110.21 | 177.25 | 245.79 |
| Carcass, kg | Logistic | 5.44 (0.74) | 2.89 (0.55) | 3.9 × 10−2 (0.01) | - | 0.73 | 2.72 | 27.35 | 55.88 | 93.99 | 123.06 |
| Dressing, % | Quadratic | 47.61 (1.11) | 0.24 (0.07) | −2.82 × 10−3 (7.8 × 10−4) | - | 0.23 | - | - | 1357.04 | 1413.47 | 1350.42 |
| Oblique length, cm | Gompertz | 53.27 (4.86) | −0.43 (0.12) | 2.37 × 10−2 (8.4 × 10−3) | - | 0.77 | 19.60 | −18.14 | 901.79 | 1130.41 | 1270.52 |
| Height, cm | Logistic | 54.57 (14.78) | 0.77 (0.45) | 1.46 × 10−2 (9.5 × 10−3) | - | 0.69 | 27.29 | −17.90 | 906.40 | 1040.33 | 1153.82 |
| Tube, cm | Gompertz | 7.62 (0.25) | −1.69 (0.21) | 2.84 × 10−2 (0.03) | - | 0.32 | 2.80 | −59.51 | 180.53 | 195.42 | 200.23 |
| Circumference of chest, cm | Logistic | 64.27 (8.94) | 0.93 (0.24) | 1.78 × 10−2 (5.7 × 10−3) | - | 0.86 | 32.14 | −4.08 | 1008.37 | 1205.88 | 1369.31 |
| Chest depth, cm | MMF | 8.21 (1.09) | 6.3 × 103 (2.4 × 104) | 21.45 (1.60) | 2.68 (1.15) | 0.75 | 12.36 | 19.56 | 295.64 | 495.13 | 554.19 |
| Items | PCC 1 | ||
|---|---|---|---|
| Age | BW | ||
| Body weight, kg | 0.90 ** | 1.00 | |
| Carcass, kg | 0.85 ** | 0.98 ** | |
| Dressing, % | 0.00 | 0.19 | |
| Oblique length, cm | 0.87 ** | 0.89 ** | |
| Height, cm | 0.83 ** | 0.90 ** | |
| Tube, cm | 0.56 ** | 0.75 ** | |
| Circumference of chest, cm | 0.93 ** | 0.97 ** | |
| Chest depth, cm | 0.83 ** | 0.84 ** |
| Items | Factors 1 | Gompertz | Logistic | Ratkowsky | MMF | Richards | Weibull | Quadratic | Cubic |
|---|---|---|---|---|---|---|---|---|---|
| pH | SEM | 0.56 | 0.55 | 0.55 | 0.56 | 0.56 | 0.55 | 0.55 | 0.52 |
| AICc | −53.12 | −54.79 | −54.54 | −52.66 | −52.26 | −53.02 | −55.49 | −58.52 | |
| AIC | −53.39 | −55.06 | −54.81 | −53.22 | −52.82 | −53.58 | −55.76 | −59.08 | |
| BIC | −49.69 | −51.36 | −51.11 | −47.67 | −47.27 | −48.03 | −52.06 | −53.53 | |
| Rumen volume (mL) | SEM | 149.36 | 151.11 | 151.11 | 159.54 | 379.43 | 150.24 | 148.67 | 150.33 |
| AICc | 471.77 | 472.86 | 472.86 | 479.17 | 560.61 | 473.53 | 471.34 | 473.58 | |
| AIC | 471.50 | 472.59 | 472.59 | 478.61 | 560.05 | 472.97 | 471.06 | 473.02 | |
| BIC | 475.20 | 476.29 | 476.29 | 484.16 | 565.61 | 478.52 | 474.76 | 478.58 | |
| Rumen (g) | SEM | 17.35 | 18.26 | 17.41 | 23.22 | 66.27 | 17.59 | 17.37 | 17.55 |
| AICc | 269.43 | 274.21 | 269.76 | 298.00 | 396.59 | 271.90 | 269.52 | 271.67 | |
| AIC | 269.16 | 273.94 | 269.49 | 297.45 | 396.03 | 271.34 | 269.25 | 271.11 | |
| BIC | 272.86 | 277.64 | 273.19 | 303.00 | 401.58 | 276.89 | 272.95 | 276.66 | |
| Reticulum (g) | SEM | 5.01 | 4.89 | 4.89 | 5.21 | 4.86 | 4.76 | 5.17 | 4.77 |
| AICc | 152.69 | 150.37 | 150.37 | 157.54 | 150.91 | 149.00 | 155.58 | 149.18 | |
| AIC | 152.42 | 150.09 | 150.09 | 156.98 | 150.35 | 148.44 | 155.30 | 148.62 | |
| BIC | 156.12 | 153.80 | 153.80 | 162.53 | 155.90 | 153.99 | 159.01 | 154.17 | |
| Omasum (g) | SEM | 4.09 | 4.13 | 4.03 | 5.55 | 3.99 | 4.30 | 3.99 | 4.04 |
| AICc | 133.54 | 134.38 | 132.12 | 163.46 | 132.41 | 139.42 | 131.26 | 133.55 | |
| AIC | 133.27 | 134.11 | 131.85 | 162.90 | 131.85 | 138.87 | 130.99 | 132.99 | |
| BIC | 136.97 | 137.81 | 135.55 | 168.45 | 137.40 | 144.42 | 134.69 | 138.54 | |
| Abomasum (g) | SEM | 9.71 | 9.64 | 9.64 | 10.35 | 9.75 | 9.26 | 9.22 | 9.22 |
| AICc | 214.80 | 214.16 | 214.17 | 222.04 | 216.44 | 211.63 | 209.97 | 211.14 | |
| AIC | 214.53 | 213.89 | 213.90 | 221.48 | 215.89 | 211.07 | 209.69 | 210.58 | |
| BIC | 218.23 | 217.59 | 217.60 | 227.03 | 221.44 | 216.62 | 213.39 | 216.13 | |
| Rumen (%) | SEM | 6.71 | 6.67 | 6.67 | 6.64 | 6.73 | 6.69 | 6.75 | 6.83 |
| AICc | 180.05 | 179.50 | 179.50 | 180.34 | 181.63 | 181.10 | 180.66 | 182.94 | |
| AIC | 179.78 | 179.23 | 179.23 | 179.79 | 181.08 | 180.54 | 180.39 | 182.38 | |
| BIC | 183.48 | 182.93 | 182.93 | 185.34 | 186.63 | 186.09 | 184.09 | 187.93 | |
| Reticulum (%) | SEM | 2.98 | 2.97 | 2.97 | 3.00 | 2.96 | 3.07 | 2.90 | 2.57 |
| AICc | 103.68 | 103.63 | 103.63 | 105.61 | 104.30 | 107.79 | 101.35 | 91.09 | |
| AIC | 103.41 | 103.36 | 103.36 | 105.06 | 103.74 | 107.24 | 101.07 | 90.53 | |
| BIC | 107.11 | 107.06 | 107.06 | 110.61 | 109.29 | 112.79 | 104.77 | 96.08 | |
| Omasum (%) | SEM | 2.09 | 2.08 | 2.08 | 2.17 | 2.11 | 1.96 | 2.01 | 2.03 |
| AICc | 70.44 | 70.13 | 70.14 | 75.40 | 72.42 | 65.69 | 66.74 | 68.89 | |
| AIC | 70.17 | 69.86 | 69.87 | 74.84 | 71.86 | 65.14 | 66.46 | 68.33 | |
| BIC | 73.87 | 73.56 | 73.57 | 80.39 | 77.41 | 70.69 | 70.16 | 73.88 | |
| Abomasum (%) | SEM | 17.73 | 7.31 | 6.85 | 6.43 | 6.69 | 6.48 | 6.72 | 6.63 |
| AICc | 271.43 | 188.12 | 182.01 | 177.32 | 181.03 | 177.98 | 180.29 | 180.26 | |
| AIC | 271.16 | 187.85 | 181.74 | 176.76 | 180.47 | 177.42 | 180.02 | 179.70 | |
| BIC | 274.86 | 191.55 | 185.44 | 182.31 | 186.02 | 182.97 | 183.72 | 185.25 |
| Variables 1 | Model Name | Model Parameters 2 | R2 | IPy | IPx | AUC 3 | |||||
|---|---|---|---|---|---|---|---|---|---|---|---|
| a | b | c | d | 1:28 d | 29:56 d | 57:84 d | |||||
| pH | Cubic | 6.12 (0.21) | 0.04 (0.03) | −1.5 × 10−3 (7.3 × 10−4) | 1.3 × 10−5 (5.6 × 10−6) | 0.15 | - | - | 171.88 | 163.97 | 160.54 |
| Rumen volume, mL | Quadratic | −11.23 (48.57) | 5.02 (2.96) | 0.08 (0.03) | - | 0.84 | - | - | 2244.05 | 9470.16 | 20,068.87 |
| Rumen, g | Gompertz | 1.6 × 103 (2.2 × 103) | 1.65 (0.20) | 0.01 (5.0 × 10−3) | - | 0.93 | 601.10 | 157.46 | 537.32 | 1625.15 | 3730.92 |
| Reticulum, g | Weibull | 30.22 (2.10) | 25.36 (2.58) | 2.8 × 10−6 (9.5 × 10−6) | 3.25 (0.89) | 0.83 | 17.54 | 45.61 | 154.01 | 426.13 | 761.47 |
| Omasum, g | Quadratic | 3.44 (1.30) | −0.15 (0.08) | 0.01 (9.2 × 10−4) | - | 0.87 | - | - | 76.57 | 213.81 | 584.40 |
| Abomasum, g | Quadratic | 32.14 (3.01) | −0.14 (0.18) | 6.3 × 10−3 (2.1 × 10−3) | - | 0.63 | - | - | 859.76 | 1025.79 | 1456.99 |
| Rumen, % | MMF | 22.52 (2.53) | 1.9 × 103 (4.9 × 103) | 61.55 (5.16) | 2.26 (0.80) | 0.83 | 33.38 | 18.73 | 818.85 | 1340.07 | 1536.09 |
| Reticulum, % | Cubic | 11.41 (1.05) | −0.31 (0.13) | 0.01 (3.6 × 10−3) | −1.0 × 10-4 (2.8 × 10−5) | 0.31 | - | - | 258.94 | 319.86 | 336.97 |
| Omasum, % | Weibull | 10.06 (1.12) | 4.69 (1.25) | 3.7 × 10-10 (5.1 × 10−9) | 5. 21 (3.40) | 0.46 | 7.97 | 61.78 | 145.53 | 162.88 | 241.43 |
| Abomasum, % | MMF | 60.93 (2.15) | 1.1 × 104 (3.2 × 104) | 17.99 (4.63) | 2.70 (0.85) | 0.87 | 47.42 | 23.78 | 1477.44 | 869. 90 | 611.65 |
| Items | PCC 1 | ||
|---|---|---|---|
| Age | BW | ||
| Rumen pH | −0.17 | −0.12 | |
| Rumen volume, mL | 0.91 ** | 0.87 ** | |
| Rumen, g | 0.94 ** | 0.90 ** | |
| Reticulum, g | 0.89 ** | 0.85 ** | |
| Omasum, g | 0.87 ** | 0.81 ** | |
| Abomasum, g | 0.74 ** | 0.73 ** | |
| Rumen, % | 0.88 ** | 0.80 ** | |
| Reticulum, % | 0.20 | 0.15 | |
| Omasum, % | 0.60 ** | 0.52 ** | |
| Abomasum, % | −0.90 ** | −0.81 ** |
Publisher’s Note: MDPI stays neutral with regard to jurisdictional claims in published maps and institutional affiliations. |
© 2021 by the authors. Licensee MDPI, Basel, Switzerland. This article is an open access article distributed under the terms and conditions of the Creative Commons Attribution (CC BY) license (http://creativecommons.org/licenses/by/4.0/).
Share and Cite
Abdelsattar, M.; Zhuang, Y.; Cui, K.; Bi, Y.; Zhang, N. Predicting the Digestive Tract Development and Growth Performance of Goat Kids Using Sigmoidal Models. Animals 2021, 11, 757. https://doi.org/10.3390/ani11030757
Abdelsattar M, Zhuang Y, Cui K, Bi Y, Zhang N. Predicting the Digestive Tract Development and Growth Performance of Goat Kids Using Sigmoidal Models. Animals. 2021; 11(3):757. https://doi.org/10.3390/ani11030757
Chicago/Turabian StyleAbdelsattar, Mahmoud, Yimin Zhuang, Kai Cui, Yanliang Bi, and Naifeng Zhang. 2021. "Predicting the Digestive Tract Development and Growth Performance of Goat Kids Using Sigmoidal Models" Animals 11, no. 3: 757. https://doi.org/10.3390/ani11030757
APA StyleAbdelsattar, M., Zhuang, Y., Cui, K., Bi, Y., & Zhang, N. (2021). Predicting the Digestive Tract Development and Growth Performance of Goat Kids Using Sigmoidal Models. Animals, 11(3), 757. https://doi.org/10.3390/ani11030757

