Effects of Sprinkler Flow Rate on Physiological, Behavioral and Production Responses of Nili Ravi Buffaloes during Subtropical Summer
Abstract
Simple Summary
Abstract
1. Introduction
2. Materials and Methods
2.1. Animals, Housing, and Management
2.2. Experimental Design
2.3. Meteorological Measures
2.4. Production Measures
2.5. Physiological Measures
2.6. Behavioral Measures
2.7. Statistical Analysis
3. Results
3.1. Meteorological Measures
3.2. Physiological Responses
3.3. Production Response
3.4. Behavioral Responses
3.4.1. Feeding Behavior
3.4.2. Lying Behavior
3.4.3. Standing Behavior
3.4.4. Standing in the Water Tubs
4. Discussion
4.1. Meteorological Measures
4.2. Physiological and Production Responses
4.3. Behavioral Responses
4.3.1. Feeding Behavior
4.3.2. Lying and Standing Behavior
4.4. Cooling Efficiency
4.5. Limitations of the Study
5. Conclusions
Author Contributions
Funding
Institutional Review Board Statement
Data Availability Statement
Acknowledgments
Conflicts of Interest
References
- Magsi, S.H.; Haque, M.N.; Ahmad, N.; Shahid, M.Q. Short communication: Stall occupancy behavior of Nili Ravi buffaloes (Bubalus bubalis) when first introduced to freestall housing. J. Dairy Sci. 2018, 101, 1505–1510. [Google Scholar] [CrossRef] [PubMed]
- Napolitano, F.; Pacelli, C.; Grasso, F.; Braghieri, A.; De Rosa, G. The behaviour and welfare of buffaloes (Bubalus bubalis) in modern dairy enterprises. Animal 2013, 7, 1704–1713. [Google Scholar] [CrossRef] [PubMed]
- De Rosa, G.; Grasso, F.; Braghieri, A.; Bilancione, A.; Di Francia, A.; Napolitano, F. Behavior and milk production of buffalo cows as affected by housing system. J. Dairy Sci. 2009, 92, 907–912. [Google Scholar] [CrossRef] [PubMed]
- Anderson, S.D.; Bradford, B.J.; Harner, J.P.; Tucker, C.B.; Choi, C.Y.; Allen, J.D.; Hall, L.W.; Rungruang, S.; Collier, R.J.; Smith, J.F. Effects of adjustable and stationary fans with misters on core body temperature and lying behavior of lactating dairy cows in a semiarid climate. J. Dairy Sci. 2013, 96, 4738–4750. [Google Scholar] [CrossRef] [PubMed]
- Tresoldi, G.; Schütz, K.E.; Tucker, C.B. Cooling cows with sprinklers: Spray duration affects physiological responses to heat load. J. Dairy Sci. 2018, 101, 4412–4423. [Google Scholar] [CrossRef] [PubMed]
- Chen, J.M.; Schütz, K.E.; Tucker, C.B. Dairy cows use and prefer feed bunks fitted with sprinklers. J. Dairy Sci. 2013, 96, 5035–5045. [Google Scholar] [CrossRef]
- Chen, J.M.; Schütz, K.E.; Tucker, C.B. Cooling cows efficiently with water spray: Behavioral, physiological, and production responses to sprinklers at the feed bunk. J. Dairy Sci. 2016, 99, 4607–4618. [Google Scholar] [CrossRef]
- Tresoldi, G.; Schütz, K.E.; Tucker, C.B. Cooling cows with sprinklers: Effects of soaker flow rate and timing on behavioral and physiological responses to heat load and production. J. Dairy Sci. 2019, 102, 528–538. [Google Scholar] [CrossRef]
- Chen, J.M.; Schütz, K.E.; Tucker, C.B. Sprinkler flow rate affects dairy cattle avoidance of spray to the head, but not overall, in an aversion race. Appl. Anim. Behav. Sci. 2016, 179, 23–31. [Google Scholar] [CrossRef]
- Tresoldi, G.; Schütz, K.E.; Tucker, C.B. Cooling cows with sprinklers: Timing strategy affects physiological responses to heat load. J. Dairy Sci. 2018, 101, 11237–11246. [Google Scholar] [CrossRef]
- Aggarwal, A.; Singh, M. Changes in skin and rectal temperature in lactating buffaloes provided with showers and wallowing during hot-dry season. Trop. Anim. Health Prod. 2008, 40, 223–228. [Google Scholar] [CrossRef] [PubMed]
- Yadav, B.; Pandey, V.; Yadav, S.; Singh, Y.; Kumar, V.; Sirohi, R. Effect of misting and wallowing cooling systems on milk yield, blood and physiological variables during heat stress in lactating Murrah buffalo. J. Anim. Sci. Technol. 2016, 58, 2. [Google Scholar] [CrossRef] [PubMed]
- Ahmad, M.; Bhatti, J.A.; Abdullah, M.; Ullah, R.; ul Ain, Q.; Hasni, M.S.; Mahboob, A.; Rashid, A.; Qaisar, I.; Rashid, G.; et al. Different ambient management intervention techniques and their effect on milk production and physiological parameters of lactating NiliRavi buffaloes during hot dry summer of subtropical region. Trop. Anim. Health Prod. 2019, 51, 911–918. [Google Scholar] [CrossRef] [PubMed]
- von Keyserlingk, M.A.G.; Martin, N.P.P.; Kebreab, E.; Knowlton, K.F.F.; Grant, R.J.J.; Stephenson, M.; Sniffen, C.J.J.; Harner, J.P.P.; Wright, A.D.D.; Smith, S.I.I. Invited review: Sustainability of the US dairy industry. J. Dairy Sci. 2013, 96, 5405–5425. [Google Scholar] [CrossRef] [PubMed]
- Simi, K. Pakistan’s water challenges: Entitlement, access, efficiency, and equity. In Running on Empty: Pakistan’s Water Crisis; Kugelman, M., Hathaway, R.M., Eds.; Woodrow Wilson International Center for Scholars: Washing, DC, USA, 2009; pp. 28–44. [Google Scholar]
- Taylor, R.G.; Scanlon, B.; Döll, P.; Rodell, M.; Van Beek, R.; Wada, Y.; Longuevergne, L.; Leblanc, M.; Famiglietti, J.S.; Edmunds, M.; et al. Ground water and climate change. Nat. Clim. Chang. 2013, 3, 322–329. [Google Scholar] [CrossRef]
- Chen, J.M.; Schütz, K.E.; Tucker, C.B. Cooling cows efficiently with sprinklers: Physiological responses to water spray. J. Dairy Sci. 2015, 98, 6925–6938. [Google Scholar] [CrossRef]
- Schütz, K.E.; Rogers, A.R.; Cox, N.R.; Webster, J.R.; Tucker, C.B. Dairy cattle prefer shade over sprinklers: Effects on behavior and physiology. J. Dairy Sci. 2011, 94, 273–283. [Google Scholar] [CrossRef]
- Means, S.L.; Bucklin, R.A.; Nordstedt, R.A.; Beede, D.K.; Bray, D.R.; Wilcox, C.J.; Sanchez, W.K. Water Application Rates for a Sprinkler and Fan Dairy Cooling System in Hot, Humid Climates. Appl. Eng. Agric. 1992, 8, 375–379. [Google Scholar] [CrossRef]
- Kelly, C.F.; Bond, T.E. Bioclimatic factors and their measurements. In A Guide to Environmental Research on Animals; Kelly, F.C., Bond, T.E., Eds.; National Academy of Sciences: Washington, DC, USA, 1971; pp. 7–92. [Google Scholar]
- Proudfoot, K.L.; Veira, D.M.; Weary, D.M.; von Keyserlingk, M.A.G. Competition at the feed bunk changes the feeding, standing, and social behavior of transition dairy cows. J. Dairy Sci. 2009, 92, 3116–3123. [Google Scholar] [CrossRef]
- Tolkamp, B.J.; Kyriazakis, I. A comparison of five methods that estimate meal criteria for cattle. Anim. Sci. 1999, 69, 501–514. [Google Scholar] [CrossRef]
- Butt, M.A.; Bhatti, J.A.; Khalique, A.; Shahid, M.Q. Effect of fans and showers on the physiological measures and reproductive performance of Holstein Friesian bulls during subtropical summer. Trop. Anim. Health Prod. 2020, 52, 1991–2000. [Google Scholar] [CrossRef] [PubMed]
- Macdonald, P. Mixdist: Finite Mixture Distribution Models. R Package Version 0.5–5. 2018. Available online: https://cran.r-project.org/package=mixdist (accessed on 29 August 2020).
- De Rensis, F.; Garcia-Ispierto, I.; López-Gatius, F. Seasonal heat stress: Clinical implications and hormone treatments for the fertility of dairy cows. Theriogenology 2015, 84, 659–666. [Google Scholar] [CrossRef] [PubMed]
- Polsky, L.; von Keyserlingk, M.A.G. Invited review: Effects of heat stress on dairy cattle welfare. J. Dairy Sci. 2017, 100, 8645–8657. [Google Scholar] [CrossRef] [PubMed]
- Armstrong, D. 24V Heat stress interaction with shade and cooling. J. Dairy Sci. 1994, 77, 2044–2050. [Google Scholar] [CrossRef]
- Choudhary, B.B.; Sirohi, S. Sensitivity of buffaloes (Bubalus bubalis) to heat stress. J. Dairy Res. 2019, 86, 399–405. [Google Scholar] [CrossRef]
- Wheelock, J.B.; Rhoads, R.P.; VanBaale, M.J.; Sanders, S.R.; Baumgard, L.H. Effects of heat stress on energetic metabolism in lactating Holstein cows. J. Dairy Sci. 2010, 93, 644–655. [Google Scholar] [CrossRef]
- Baumgard, L.H.; Rhoads, R.P. Ruminant Nutrition Symposium: Ruminant Production and Metabolic Responses to Heat Stress1,2. J. Anim. Sci. 2012, 90, 1855–1865. [Google Scholar] [CrossRef]
- Khongdee, T.; Sripoon, S.; Vajrabukka, C. The effects of high temperature and roof modification on physiological responses of swamp buffalo (Bubalus bubalis) in the tropics. Int. J. Biometeorol. 2013, 57, 349–354. [Google Scholar] [CrossRef]
- Ahmad, M.; Bhatti, J.A.; Abdullah, M.; Javed, K.; Din, R.; Ali1, M.; Rashid, G.; Ahmed, N.; Jehan, M. Effect of different ambient management interventions on milk production and physiological performance of lactating Nili-Ravi buffaloes during hot humid summer. Livest. Res. Rural. Dev. 2017, 29, 230. [Google Scholar]
- Drwencke, A.M.; Tresoldi, G.; Stevens, M.M.; Narayanan, V.; Carrazco, A.V.; Mitloehner, F.M.; Pistochini, T.E.; Tucker, C.B. Innovative cooling strategies: Dairy cow responses and water and energy use. J. Dairy Sci. 2020, 103, 5440–5454. [Google Scholar] [CrossRef]
- Tucker, C.B.; Rogers, A.R.; Schütz, K.E. Effect of solar radiation on dairy cattle behaviour, use of shade and body temperature in a pasture-based system. Appl. Anim. Behav. Sci. 2008, 109, 141–154. [Google Scholar] [CrossRef]
- Schütz, K.E.; Rogers, A.R.; Poulouin, Y.A.; Cox, N.R.; Tucker, C.B. The amount of shade influences the behavior and physiology of dairy cattle. J. Dairy Sci. 2010, 93, 125–133. [Google Scholar] [CrossRef] [PubMed]
- Legrand, A.; Schütz, K.E.; Tucker, C.B. Using water to cool cattle: Behavioral and physiological changes associated with voluntary use of cow showers. J. Dairy Sci. 2011, 94, 3376–3386. [Google Scholar] [CrossRef] [PubMed]
- Temple, D.; Bargo, F.; Mainau, E.; Ipharraguerre, I.; Manteca, X. Lying Behavior and Performances in Dairy Cattle—Practical Case. FAWEC (Farm Animal Welfare Education Centre). 2016, Fact Sheet 15. 2016. Available online: http://www.fawec.org/media/com_lazypdf/pdf/Fact_Sheet_FAWEC15_n15_efficiency_comfort_en.pdf (accessed on 10 August 2020).
- Kendall, P.E.; Verkerk, G.A.; Webster, J.R.; Tucker, C.B. Sprinklers and Shade Cool Cows and Reduce Insect-Avoidance Behavior in Pasture-Based Dairy Systems. J. Dairy Sci. 2007, 90, 3671–3680. [Google Scholar] [CrossRef] [PubMed]
), and combined doted three lines (
) indicate windows, fans, and sprinklers, respectively, and each sprinkler was for one buffalo.
), and combined doted three lines (
) indicate windows, fans, and sprinklers, respectively, and each sprinkler was for one buffalo.


| Period 1 | Sprinkler Flow Rates 2, L/min | ||
|---|---|---|---|
| 1 | 0.8 | 1.25 | 2.0 |
| 2 | 2.0 | 0.8 | 1.25 |
| 3 | 1.25 | 2.0 | 0.8 |
| Sprinkler Flow Rates, L/min | |||
|---|---|---|---|
| Water spread | 0.8 | 1.25 | 2.0 |
| Along the feed manger, m | 0.80 | 1.31 | 1.42 |
| Away from the feed manger, m | 0.67 | 0.84 | 0.88 |
| Covered area, m2 | 0.54 | 1.10 | 1.25 |
| Height of nozzles, m | 2.3 | 2.3 | 2.3 |
| Water use 1, L/10 h | 120 | 188 | 300 |
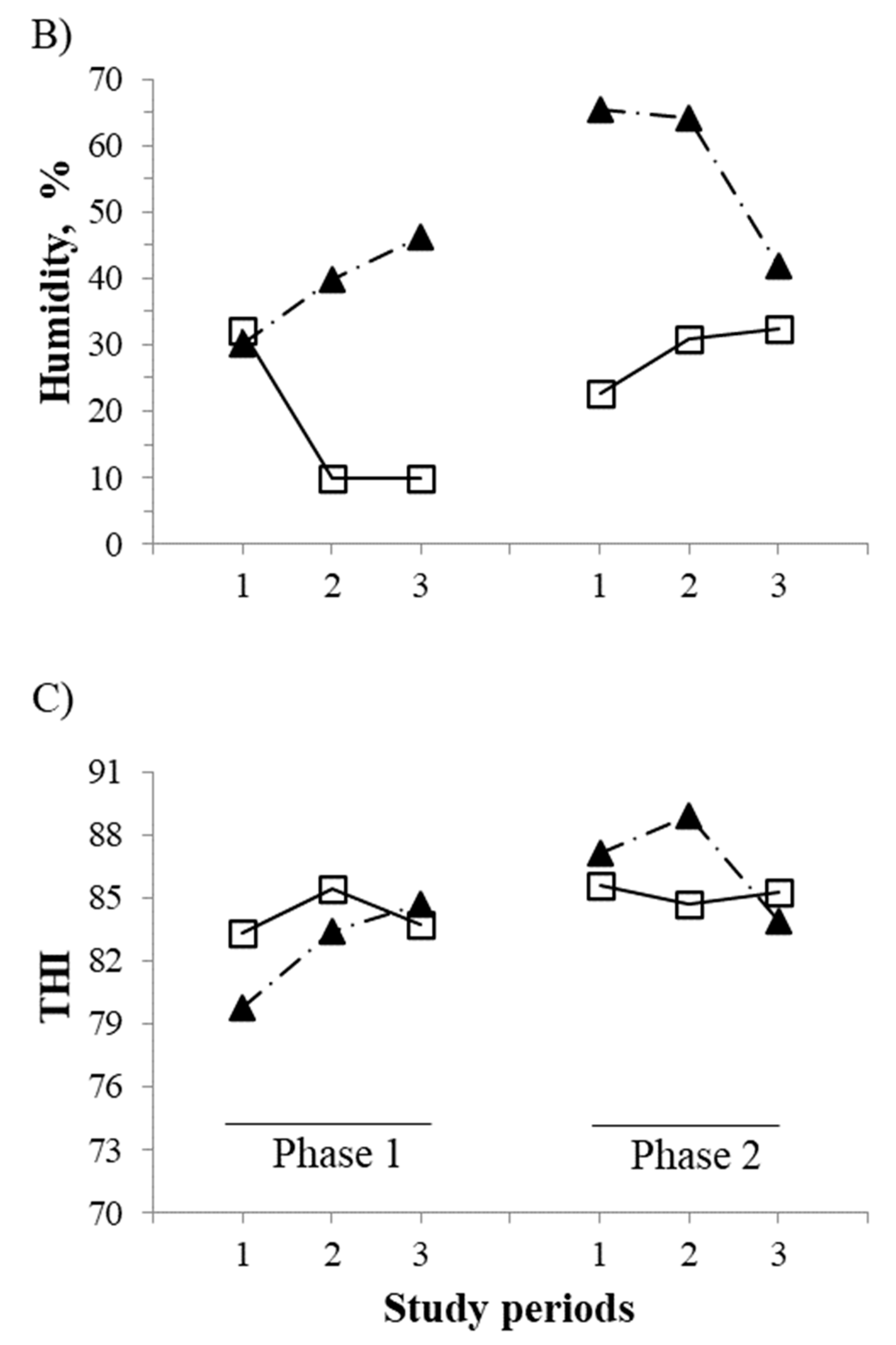
| Meteorological Measures | Morning 1 | Afternoon 2 | Evening 3 | ||||||
|---|---|---|---|---|---|---|---|---|---|
| Means | SD | Range | Means | SD | Range | Means | SD | Range | |
| Inside pen | |||||||||
| Temperature, °C | 28.5 | 2.8 | 22.3–32.6 | 36.1 | 1.6 | 33.8–39.0 | 30.8 | 3.8 | 22.7–37.2 |
| Humidity, % | 76.3 | 10.4 | 59–89 | 47.9 | 14.5 | 23–82 | 63.4 | 14.9 | 46–89 |
| Temperature-humidity index | 78.9 | 4.0 | 70.7–86.6 | 84.6 | 3.3 | 79.7–91.1 | 80.2 | 3.8 | 71.1–85.9 |
| Outside open area | |||||||||
| Temperature, °C | 27.6 | 2.0 | 24.8–31.4 | 40.4 | 3.0 | 36.4–45.5 | 35.5 | 3.8 | 28.4–39.6 |
| Humidity, % | 65.3 | 12.3 | 50–95 | 23.1 | 10.4 | 10–39.5 | 36.3 | 21.6 | 10–86 |
| Temperature-humidity index | 77.1 | 2.9 | 72.5–82.6 | 84.6 | 1.5 | 82.7–87.6 | 81.9 | 2.2 | 78.4–86.2 |
| Variables | Sprinkler Flow Rates, L/min | SEM | p-Value | ||
|---|---|---|---|---|---|
| 0.8 | 1.25 | 2.0 | |||
| Physiological measures 1 | |||||
| Rectal Temperature, °C | 38.7 a | 38.4 b | 38.4 b | 0.06 | 0.0041 |
| Respiration Rate, breaths/min | 25.7 a | 22.3 b | 21.4 b | 1.03 | <0.0001 |
| Production measures | |||||
| Milk yield, Kg | 5.2 a | 6.3 b | 6.6 b | 0.40 | <0.0001 |
| Dry matter intake (DMI), Kg | 10.5 a | 11.5 b | 12.1 c | 0.36 | <0.0001 |
| Water intake, L | 34.6 a | 32.2 b | 30.2 b | 1.11 | <0.0001 |
| Variables | Sprinkler Flow Rates, L/min | p-Value | |||
|---|---|---|---|---|---|
| 0.8 | 1.25 | 2.0 | SEM | ||
| Feeding behavior/10 h | |||||
| Total feeding time 1, min | 298.6 | 309.9 | 302.4 | 10.8 | 0.6162 |
| Meal bout length 2, min/bout | |||||
| Overall | 85.1 | 99.3 | 99.6 | 5.28 | 0.0762 |
| Morning 3 | 105.6 a | 138.8 b | 139.5 b | 7.9 | 0.0003 |
| Afternoon | 51.7 | 51.8 | 51.0 | 2.84 | 0.9606 |
| Meal bout frequency, No. | |||||
| Overall | 4.2 | 3.8 | 3.8 | 0.15 | |
| Morning | 1.3 | 1.2 | 1.1 | 0.06 | |
| Afternoon | 2.9 | 2.9 | 3.0 | 0.14 | |
| Standing behavior/10 h | |||||
| Total standing time 4, min | 440.3 | 426.4 | 411.3 | 10.26 | 0.0612 |
| Standing bout length 5, min/bout | |||||
| Overall | 99.8 | 99.9 | 89.6 | 1.06 | 0.1236 |
| Morning | 90.7 | 92.7 | 81.9 | 1.09 | 0.4691 |
| Afternoon | 109.9 | 108.3 | 98.0 | 1.06 | 0.2236 |
| Standing bouts frequency, No. | |||||
| Overall | 4.3 | 4.2 | 4.6 | 0.14 | |
| Morning | 2.1 | 2.0 | 2.1 | 0.09 | |
| Afternoon | 2.3 | 2.2 | 2.5 | 0.09 | |
| Lying behavior/10 h | |||||
| Total lying time 6, min | 159.7 | 173.6 | 188.7 | 10.27 | 0.0618 |
| Lying bout length 5, min/bout | |||||
| Overall | 46.3 | 52.9 | 53.0 | 2.29 | 0.0636 |
| Morning | 52.7 | 63.3 | 60.8 | 3.61 | 0.1169 |
| Afternoon | 40.2 | 42.7 | 45.2 | 2.33 | 0.2609 |
| Lying bout frequency, No. | |||||
| Total | 3.3 | 3.2 | 3.6 | 0.15 | |
| Morning | 1.7 | 1.5 | 1.8 | 0.09 | |
| Afternoon | 1.8 | 1.9 | 1.9 | 0.10 | |
| Standing in water tub 7, min | 6.4 a | 3.1 b | 3.6 b | 0.55 | <0.0001 |
| Standing in Water Tub | Sprinkler Flow Rates (L/min) | Odds Ratio 1 | 95% CI 2 |
|---|---|---|---|
| Overall standing events | 0.8 1.25 | 1.0 0.202 4 | Ref 3 0.098–0.416 |
| 2.0 | 0.129 | 0.059–0.283 | |
| Single events per buffalo 5 | 0.8 1.25 | 1.0 0.258 | Ref 0.118–0.563 |
| 2.0 | 0.151 | 0.063–0.359 | |
| Multiple events per buffalo 6 | 0.8 1.25 | 1.0 0.076 | Ref 0.098–0.416 |
| 2.0 | 0.046 | 0.059–0.283 |
Publisher’s Note: MDPI stays neutral with regard to jurisdictional claims in published maps and institutional affiliations. |
© 2021 by the authors. Licensee MDPI, Basel, Switzerland. This article is an open access article distributed under the terms and conditions of the Creative Commons Attribution (CC BY) license (http://creativecommons.org/licenses/by/4.0/).
Share and Cite
Bah, M.; Rashid, M.A.; Javed, K.; Pasha, T.N.; Shahid, M.Q. Effects of Sprinkler Flow Rate on Physiological, Behavioral and Production Responses of Nili Ravi Buffaloes during Subtropical Summer. Animals 2021, 11, 339. https://doi.org/10.3390/ani11020339
Bah M, Rashid MA, Javed K, Pasha TN, Shahid MQ. Effects of Sprinkler Flow Rate on Physiological, Behavioral and Production Responses of Nili Ravi Buffaloes during Subtropical Summer. Animals. 2021; 11(2):339. https://doi.org/10.3390/ani11020339
Chicago/Turabian StyleBah, Musa, Muhammad Afzal Rashid, Khalid Javed, Talat Naseer Pasha, and Muhammad Qamer Shahid. 2021. "Effects of Sprinkler Flow Rate on Physiological, Behavioral and Production Responses of Nili Ravi Buffaloes during Subtropical Summer" Animals 11, no. 2: 339. https://doi.org/10.3390/ani11020339
APA StyleBah, M., Rashid, M. A., Javed, K., Pasha, T. N., & Shahid, M. Q. (2021). Effects of Sprinkler Flow Rate on Physiological, Behavioral and Production Responses of Nili Ravi Buffaloes during Subtropical Summer. Animals, 11(2), 339. https://doi.org/10.3390/ani11020339

