Effects of Feed Removal during Acute Heat Stress on the Cytokine Response and Short-Term Growth Performance in Finishing Pigs
Abstract
Simple Summary
Abstract
1. Introduction
2. Materials and Methods
2.1. Animal and Experimental Design
2.2. Body Temperature Indices
2.3. Blood Collection and Analyses
2.4. Production Parameters
2.5. Behavior Recording and Analyses
2.6. Statistics
3. Results
3.1. Body Temperature
3.1.1. Gastrointestinal Temperature
3.1.2. Skin Temperature
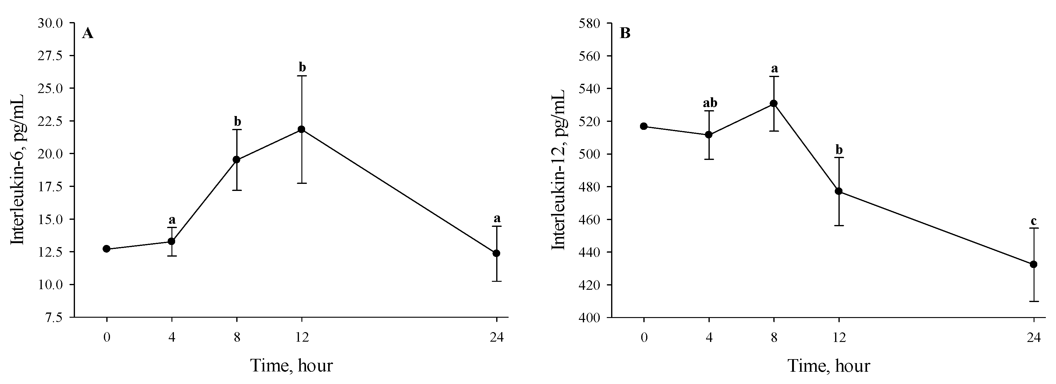
3.2. Cytokines
3.2.1. TF Period
3.2.2. Post-TF Period
3.3. Growth Performance
3.3.1. TF Period
3.3.2. Post-TF Period
Average Daily Body Weight Gain
Average Daily Feed Intake
Feed Efficiency
3.4. Behavior
3.4.1. Overall (0800–0800 h)
3.4.2. Daytime (0800–2000 h)
3.4.3. Nighttime (2000–0800 h)
4. Discussion
5. Conclusions
Author Contributions
Funding
Institutional Review Board Statement
Informed Consent Statement
Data Availability Statement
Acknowledgments
Conflicts of Interest
References
- St-Pierre, N.R.; Cobanov, B.; Schnitkey, G. Economic losses from heat stress by US livestock industries. J. Dairy Sci. 2003, 86, E52–E77. [Google Scholar] [CrossRef]
- Johnson, J.S. Heat stress: Impact on livestock well-being and productivity and mitigation strategies to alleviate the negative effects. Anim. Prod. Sci. 2018, 58, 1401–1413. [Google Scholar] [CrossRef]
- Lambert, G.P. Role of gastrointestinal permeability in exertional heatstroke. Exerc. Sport Sci. Rev. 2004, 32, 185–190. [Google Scholar] [CrossRef] [PubMed]
- Johnson, J.S.; Martin, K.L.; Pohler, K.G.; Stewart, K.R. Effects of rapid temperature fluctuations prior to breeding on reproductive efficiency in replacement gilts. J. Therm. Biol. 2016, 61, 29–37. [Google Scholar] [CrossRef]
- Johnson, J.S.; Sapkota, A.; Lay, D.C. Rapid cooling after acute hyperthermia alters intestinal morphology and increases the systemic inflammatory response in pigs. J. Appl. Physiol. 2016, 120, 1249–1259. [Google Scholar] [CrossRef]
- Bouchama, A.; Knochel, J.P. Heat stroke. N. Engl. J. Med. 2002, 346, 1978–1988. [Google Scholar] [CrossRef]
- National Oceanic and Atmospheric Administration (NOAA). National Centers for Environmental Information Global Analysis. 2018. Available online: https://www.ncdc.noaa.gov/sotc/global/201802 (accessed on 1 November 2019).
- Renaudeau, D.; Collin, A.; Yahav, S.; De Basilio, V.; Gourdine, J.L.; Collier, R.J. Adaptation to hot climate and strategies to alleviate heat stress in livestock production. Animal 2012, 6, 707–728. [Google Scholar] [CrossRef]
- Xin, H.; DeShazer, J.A. Feeding patterns of growing pigs at warm constant and cyclic temperatures. Trans. ASAE 1992, 35, 319–323. [Google Scholar] [CrossRef]
- Cervantes, M.; Antoine, D.; Valle, J.A.; Vásquez, N.; Camacho, R.L.; Bernal, H.; Morales, A. Effect of feed intake level on the body temperature of pigs exposed to heat stress conditions. J. Therm. Biol. 2018, 76, 1–7. [Google Scholar] [CrossRef]
- Kpodo, K.R.; Duttlinger, A.W.; Maskal, J.M.; Johnson, J.S. Effects of feed removal on thermoregulation and intestinal morphology in pigs recovering from acute hyperthermia. J. Anim. Sci. 2020, 98, 1–10. [Google Scholar] [CrossRef]
- Eshel, G.M.; Safar, P.; Stezoski, W. The role of the gut in the pathogenesis of death due to hyperthermia. Am. J. Forensic Med. Pathol. 2001, 22, 100–104. [Google Scholar] [CrossRef] [PubMed]
- Federation of Animal Science Societies. Guide for the Care and Use of Agricultural Animals in Research and Teaching, 3rd ed.; Federation of Animal Science Societies: Champaign, IL, USA, 2010; Chapter 11. [Google Scholar]
- National Research Council (NRC). Nutrient Requirements of Swine, 11th rev. ed.; National Academies Press: Washington, DC, USA, 2012; ISBN 0309224233. [Google Scholar]
- Morales, A.; Ibarra, N.; Chávez, M.; Gómez, T.; Suárez, A.; Valle, J.A.; Camacho, R.L.; Cervantes, M. Effect of feed intake level and dietary protein content on the body temperature of pigs housed under thermo neutral conditions. J. Anim. Physiol. Anim. Nutr. 2018, 102, e718–e725. [Google Scholar] [CrossRef] [PubMed]
- Kpodo, K.R.; Duttlinger, A.W.; Radcliffe, J.S.; Johnson, J.S. Time course determination of the effects of rapid and gradual cooling after acute hyperthermia on body temperature and intestinal integrity in pigs. J. Therm. Biol. 2020, 87, 102481. [Google Scholar] [CrossRef] [PubMed]
- Pearce, S.C.; Sanz-Fernandez, M.V.; Hollis, J.H.; Baumgard, L.H.; Gabler, N.K. Short-term exposure to heat stress attenuates appetite and intestinal integrity in growing pigs. J. Anim. Sci. 2014, 92, 5444–5454. [Google Scholar] [CrossRef]
- Xiong, Y.; Yi, H.; Wu, Q.; Jiang, Z.; Wang, L. Effects of acute heat stress on intestinal microbiota in grow-finishing pigs, and associations with feed intake and serum profile. J. Appl. Microbiol. 2020, 128, 840–852. [Google Scholar] [CrossRef] [PubMed]
- Leon, L.R. Heat stroke and cytokines. Prog. Brain Res. 2007, 162, 481–524. [Google Scholar] [CrossRef]
- Lambert, G.P. Stress-induced gastrointestinal barrier dysfunction and its inflammatory effects. J. Anim. Sci. 2009, 87, E101–E108. [Google Scholar] [CrossRef]
- Ganesan, S.; Reynolds, C.; Hollinger, K.; Pearce, S.C.; Gabler, N.K.; Baumgard, L.H.; Rhoads, R.P.; Selsby, J.T. Twelve hours of heat stress induces inflammatory signaling in porcine skeletal muscle. Am. J. Physiol. Integr. Comp. Physiol. 2016, 310, R1288–R1296. [Google Scholar] [CrossRef]
- Lee, I.K.; Kye, Y.C.; Kim, G.; Kim, H.W.; Gu, M.J.; Umboh, J.; Maaruf, K.; Kim, S.W.; Yun, C.-H. Stress, nutrition, and intestinal immune responses in pigs—A review. Asian-Australas. J. Anim. Sci. 2016, 29, 1075. [Google Scholar] [CrossRef]
- Pearce, S.C.; Mani, V.; Boddicker, R.L.; Johnson, J.S.; Weber, T.E.; Ross, J.W.; Rhoads, R.P.; Baumgard, L.H.; Gabler, N.K. Heat stress reduces intestinal barrier integrity and favors intestinal glucose transport in growing pigs. PLoS ONE 2013, 8, e70215. [Google Scholar] [CrossRef]
- Campos, P.H.R.F.; Merlot, E.; Damon, M.; Noblet, J.; Le Floc’h, N. High ambient temperature alleviates the inflammatory response and growth depression in pigs challenged with Escherichia coli lipopolysaccharide. Vet. J. 2014, 200, 404–409. [Google Scholar] [CrossRef] [PubMed]
- Kumar, S.; Bass, B.E.; Bandrick, M.; Loving, C.L.; Brockmeier, S.L.; Looft, T.; Trachsel, J.; Madson, D.M.; Thomas, M.; Casey, T.A. Fermentation products as feed additives mitigate some ill-effects of heat stress in pigs. J. Anim. Sci. 2017, 95, 279–290. [Google Scholar] [CrossRef] [PubMed]
- Wen, X.; Wu, W.; Fang, W.; Tang, S.; Xin, H.; Xie, J.; Zhang, H. Effects of long-term heat exposure on cholesterol metabolism and immune responses in growing pigs. Livest. Sci. 2019, 230, 103857. [Google Scholar] [CrossRef]
- Gabler, N.K.; Koltes, D.; Schaumberger, S.; Murugesan, G.R.; Reisinger, N. Diurnal heat stress reduces pig intestinal integrity and increases endotoxin translocation. Transl. Anim. Sci. 2018, 2, 1–10. [Google Scholar] [CrossRef]
- Liu, F.; Cottrell, J.J.; Furness, J.B.; Rivera, L.R.; Kelly, F.W.; Wijesiriwardana, U.; Pustovit, R.V.; Fothergill, L.J.; Bravo, D.M.; Celi, P.; et al. Selenium and vitamin E together improve intestinal epithelial barrier function and alleviate oxidative stress in heat-stressed pigs. Exp. Physiol. 2016, 101, 801–810. [Google Scholar] [CrossRef]
- Zhou, X.; Fragala, M.S.; McElhaney, J.E.; Kuchel, G.A. Conceptual and methodological issues relevant to cytokine and inflammatory marker measurements in clinical research. Curr. Opin. Clin. Nutr. Metab. Care 2010, 13, 541–547. [Google Scholar] [CrossRef]
- Aksungar, F.B.; Topkaya, A.E.; Akyildiz, M. Interleukin-6, C-reactive protein and biochemical parameters during prolonged intermittent fasting. Ann. Nutr. Metab. 2007, 51, 88–95. [Google Scholar] [CrossRef]
- Faris, M.A.I.E.; Kacimi, S.; Al-Kurd, R.A.; Fararjeh, M.A.; Bustanji, Y.K.; Mohammad, M.K.; Salem, M.L. Intermittent fasting during Ramadan attenuates proinflammatory cytokines and immune cells in healthy subjects. Nutr. Res. 2012, 32, 947–955. [Google Scholar] [CrossRef]
- Kvidera, S.K.; Horst, E.A.; Mayorga, E.J.; Sanz-Fernandez, M.V.; Abuajamieh, M.; Baumgard, L.H. Estimating glucose requirements of an activated immune system in growing pigs. J. Anim. Sci. 2017, 95, 5020–5029. [Google Scholar] [CrossRef]
- Adawi, M.; Watad, A.; Brown, S.; Aazza, K.; Aazza, H.; Zouhir, M.; Sharif, K.; Ghanayem, K.; Farah, R.; Mahagna, H. Ramadan fasting exerts immunomodulatory effects: Insights from a systematic review. Front. Immunol. 2017, 8, 1144. [Google Scholar] [CrossRef]
- Di Paolo, N.C.; Shayakhmetov, D.M. Interleukin 1α and the inflammatory process. Nat. Immunol. 2016, 17, 906. [Google Scholar] [CrossRef] [PubMed]
- Bouchama, A.; Parhar, R.S.; El-Yazigi, A.; Sheth, K.; Al-Sedairy, S. Endotoxemia and release of tumor necrosis factor and interleukin 1 alpha in acute heatstroke. J. Appl. Physiol. 1991, 70, 2640–2644. [Google Scholar] [CrossRef] [PubMed]
- Lallès, J.P.; David, J.C. Fasting and refeeding modulate the expression of stress proteins along the gastrointestinal tract of weaned pigs. J. Anim. Physiol. Anim. Nutr. 2011, 95, 478–488. [Google Scholar] [CrossRef]
- Liao, S.; Tang, S.; Chang, M.; Qi, M.; Li, J.; Tan, B.; Gao, Q.; Zhang, S.; Li, X.; Yin, Y.; et al. Chloroquine downregulation of intestinal autophagy to alleviate biological stress in early-weaned piglets. Animals 2020, 10, 290. [Google Scholar] [CrossRef]
- Abuajamieh, M.; Kvidera, S.K.; Mayorga, E.J.; Kaiser, A.; Lei, S.; Seibert, J.T.; Horst, E.A.; Fernandez, M.V.S.; Ross, J.W.; Selsby, J.T.; et al. The effect of recovery from heat stress on circulating bioenergetics and inflammatory biomarkers. J. Anim. Sci. 2018, 96, 4599–4610. [Google Scholar] [CrossRef]
- Lovatto, P.A.; Sauvant, D.; Noblet, J.; Dubois, S.; Van Milgen, J. Effects of feed restriction and subsequent refeeding on energy utilization in growing pigs. J. Anim. Sci. 2006, 84, 3329–3336. [Google Scholar] [CrossRef]
- Poullet, N.; Bambou, J.-C.; Loyau, T.; Trefeu, C.; Feuillet, D.; Beramice, D.; Bocage, B.; Renaudeau, D.; Gourdine, J.-L. Effect of feed restriction and refeeding on performance and metabolism of European and Caribbean growing pigs in a tropical climate. Sci. Rep. 2019, 9, 4878. [Google Scholar] [CrossRef]
- Johnson, J.S.; Lay, D.C., Jr. Evaluating the behavior, growth performance, immune parameters, and intestinal morphology of weane dpiglets after simulated transport and heat stress when antibiotics are eliminated from the diet or replaced with L-glutamine. J. Anim. Sci. 2017, 95, 91–102. [Google Scholar] [CrossRef]
- Renaudeau, D.; Giorgi, M.; Silou, F.; Weisbecker, J.L. Effect of breed (lean or fat pigs) and sex on performance and feeding behaviour of group housed growing pigs in a tropical climate. Asian-Australas. J. Anim. Sci. 2006, 19, 593–600. [Google Scholar] [CrossRef]
- Guada, J.A.; Latorre, M.A. Effects of sex and dietary lysine on performances and serum and meat traits in fi nisher pigs. Animal 2015, 1731–1739. [Google Scholar] [CrossRef]
- Patience, J.F.; Umboh, J.F.; Chaplin, R.K.; Nyachoti, C.M. Nutritional and physiological responses of growing pigs exposed to a diurnal pattern of heat stress. Livest. Prod. Sci. 2005, 96, 205–214. [Google Scholar] [CrossRef]
- Huynh, T.T.T.; Aarnink, A.J.A.; Heetkamp, M.J.W.; Verstegen, M.W.A.; Kemp, B. Evaporative heat loss from group-housed growing pigs at high ambient temperatures. J. Therm. Biol. 2007, 32, 293–299. [Google Scholar] [CrossRef]
- Johnson, J.S.; Aardsma, M.A.; Duttlinger, A.W.; Kpodo, K.R. Early life thermal stress: Impact on future thermotolerance, stress response, behavior, and intestinal morphology in piglets exposed to a heat stress challenge during simulated transport. J. Anim. Sci. 2018, 96, 1640–1653. [Google Scholar] [CrossRef]
- Wood-Gush, D.G.M.; Beilharz, R.G. The enrichment of a bare environment for animals in confined conditions. Appl. Anim. Ethol. 1983, 10, 209–217. [Google Scholar] [CrossRef]




| Category | Behavior | Definition |
|---|---|---|
| Consumption | Eating | The pig has its head in the feeder |
| Drinking | The pig has its snout in contact with the waterer | |
| Other | Anything other than head in the feeder and snout in contact with the waterer | |
| Posture | Sitting | The pig is on the thigh and forelegs, active or inactive |
| Lying | The pig is lying on the floor sternally or laterally | |
| Standing | The pig is on its four legs, active or inactive |
| Parameter | Temperature Treatment + Feeding Treatment | p-Value | ||||||
|---|---|---|---|---|---|---|---|---|
| TN 1 + AF 2 | TN + NF 3 | HS 4 + AF | HS + NF | SEM | T 5 | F 6 | T × F | |
| TF period | ||||||||
| IL7-1α, pg/mL | 5.59 | 3.04 | 5.32 | 4.37 | 0.83 | 0.38 | 0.02 | 0.25 |
| IL-1β, pg/mL | 16.30 | 14.32 | 19.01 | 9.16 | 4.27 | 0.59 | 0.11 | 0.26 |
| IL-6, pg/mL | 21.36 | 16.47 | 17.52 | 11.32 | 2.96 | 0.11 | 0.05 | 0.63 |
| IL-10, pg/mL | 19.77 | 7.70 | 17.69 | 7.13 | 5.35 | 0.82 | 0.03 | 0.96 |
| IL-12, pg/mL | 560.72 | 430.67 | 522.61 | 437.50 | 26.50 | 0.54 | <0.01 | 0.39 |
| Post-TF period | ||||||||
| IL-1α, pg/mL | 7.49 ab | 2.05 c | 4.32 bc | 9.60 a | 1.59 | 0.09 | 0.42 | <0.01 |
| IL-1β, pg/mL | 24.54 x | 13.84 xy | 12.98 y | 19.79 xy | 6.81 | 0.62 | 0.78 | 0.08 |
| IL-6, pg/mL | 24.39 a | 4.46 b | 13.24 a | 17.23 a | 3.86 | 0.18 | <0.01 | <0.01 |
| IL-10, pg/mL | 33.73 | 4.72 | 22.37 | 16.08 | 10.78 | 0.49 | 0.06 | 0.17 |
| IL-12, pg/mL | 748.78 x | 546.14 y | 612.61 y | 572.21 y | 62.89 | 0.24 | 0.01 | 0.10 |
| Parameter | Temperature Treatment + Feeding Treatment | p-Value | ||||||
|---|---|---|---|---|---|---|---|---|
| TN 1 + AF 2 | TN + NF 3 | HS 4 + AF | HS + NF | SEM | T 5 | F 6 | T × F | |
| Initial BW 7, kg | 93.19 | 93.07 | 93.10 | 93.97 | 1.50 | 0.73 | 0.74 | 0.72 |
| Day 0 | ||||||||
| ∆BW, kg | −0.40 a | −5.09 c | −3.20 b | −5.22 c | 0.53 | 0.01 | <0.01 | 0.02 |
| Feed intake, kg | 2.21 | – | 1.82 | – | 0.33 | 0.41 | – | – |
| Days 1 to 2 | ||||||||
| ADG 8, kg | 1.40 c | 4.10 a | 2.88 b | 3.43 ab | 0.28 | 0.17 | <0.01 | <0.01 |
| ADFI 9, kg | 2.98 | 3.60 | 2.80 | 2.97 | 0.23 | 0.02 | 0.02 | 0.18 |
| G:F 10, kg/kg | 0.47 b | 1.14 a | 1.06 a | 1.15 a | 0.08 | <0.01 | <0.01 | <0.01 |
| Days 2 to 6 | ||||||||
| ADG, kg | 0.88 | 0.96 | 0.91 | 0.78 | 0.09 | 0.38 | 0.79 | 0.27 |
| ADFI, kg | 2.96 y | 3.25 x | 3.10 xy | 2.93 y | 0.12 | 0.48 | 0.63 | 0.07 |
| G:F, kg/kg | 0.30 | 0.29 | 0.29 | 0.27 | 0.03 | 0.55 | 0.63 | 0.69 |
| Days 1 to 6 | ||||||||
| ADG, kg | 1.10c | 2.18 a | 1.63 b | 1.65 b | 0.15 | 0.99 | <0.01 | <0.01 |
| ADFI, kg | 2.97 b | 3.37 a | 3.02 b | 2.95 b | 0.10 | 0.08 | 0.12 | 0.03 |
| G:F, kg/kg | 0.37 b | 0.65 a | 0.55 a | 0.57 a | 0.04 | 0.24 | <0.01 | <0.01 |
| Final BW, kg | 99.53 | 100.12 | 99.84 | 98.17 | 0.67 | 0.33 | 0.57 | 0.16 |
| Parameter | Temperature Treatment + Feeding Treatment | p-Value | |||||||||||
|---|---|---|---|---|---|---|---|---|---|---|---|---|---|
| TN 1 + AF 2 | TN + NF 3 | HS 4 + AF | HS + NF | SEM | T 5 | F 6 | S 7 | T × F × S | |||||
| Barrows | Gilts | Barrows | Gilts | Barrows | Gilts | Barrows | Gilts | ||||||
| Days 1 to 2 | |||||||||||||
| ADFI 8, kg | 3.29 | 2.67 | 3.74 | 3.45 | 3.13 | 2.47 | 3.01 | 2.92 | 0.28 | 0.02 | 0.02 | 0.02 | 0.72 |
| Days 2 to 6 | |||||||||||||
| ADFI, kg | 3.29 a | 2.63 b | 3.35 a | 3.15 a | 3.01 ab | 3.19 a | 3.25 a | 2.61 b | 0.17 | 0.39 | 0.71 | 0.01 | 0.01 |
| Days 1 to 6 | |||||||||||||
| ADFI, kg | 3.29 a | 2.65 b | 3.38 a | 3.36 a | 3.05 ab | 3.00 ab | 3.18 a | 2.71 b | 0.15 | 0.08 | 0.12 | <0.01 | 0.02 |
| Parameter | Temperature Treatment + Feeding Treatment | p-Value | ||||||
|---|---|---|---|---|---|---|---|---|
| TN 1 + AF 2 | TN + NF 3 | HS 4 + AF | HS + NF | SEM | T 5 | F 6 | T × F | |
| Consumption | ||||||||
| 0800–0800 h | ||||||||
| Eating, % | 7.51 | 6.25 | 6.18 | 7.25 | 1.13 | 0.82 | 0.90 | 0.12 |
| Drinking, % | 0.50 | 0.61 | 0.91 | 0.92 | 0.17 | 0.03 | 0.70 | 0.73 |
| 0800–2000 h | ||||||||
| Eating, % | 10.50 x | 8.11 xy | 7.77 y | 9.59 xy | 1.13 | 0.60 | 0.85 | 0.06 |
| Drinking, % | 0.72 | 0.75 | 0.75 | 1.29 | 0.25 | 0.78 | 0.07 | 0.65 |
| 2000–0800 h | ||||||||
| Eating, % | 2.95 | 3.29 | 3.31 | 3.45 | 1.03 | 0.59 | 0.61 | 0.83 |
| Drinking, % | 0.30 | 0.47 | 0.13 | 0.05 | 0.08 | <0.01 | 0.81 | 0.12 |
| Posture | ||||||||
| 0800–0800 h | ||||||||
| Standing, % | 13.31 x | 11.57 xy | 10.73 y | 12.19 xy | 0.85 | 0.25 | 0.87 | 0.06 |
| Sitting, % | 1.02 | 0.74 | 1.19 | 1.29 | 0.25 | 0.10 | 0.47 | 0.64 |
| Lying, % | 84.83 b | 87.29 a | 87.34 a | 85.98 ab | 1.23 | 0.47 | 0.51 | 0.02 |
| 0800–2000 h | ||||||||
| Standing, % | 18.77 a | 15.60 ab | 13.27 b | 16.39 ab | 1.28 | 0.07 | 0.87 | 0.01 |
| Sitting, % | 1.32 | 0.94 | 1.86 | 1.74 | 0.35 | 0.05 | 0.42 | 0.62 |
| Lying, % | 77.27 b | 81.73 a | 82.72 a | 79.54 ab | 1.38 | 0.23 | 0.62 | 0.01 |
| 2000–0800 h | ||||||||
| Standing, % | 6.98 | 6.70 | 7.03 | 7.41 | 0.89 | 0.62 | 0.95 | 0.67 |
| Sitting, % | 0.35 | 0.27 | 0.46 | 0.28 | 0.14 | 0.68 | 0.33 | 0.74 |
| Lying, % | 92.26 | 92.75 | 91.87 | 91.82 | 0.90 | 0.46 | 0.81 | 0.76 |
Publisher’s Note: MDPI stays neutral with regard to jurisdictional claims in published maps and institutional affiliations. |
© 2021 by the authors. Licensee MDPI, Basel, Switzerland. This article is an open access article distributed under the terms and conditions of the Creative Commons Attribution (CC BY) license (http://creativecommons.org/licenses/by/4.0/).
Share and Cite
Kpodo, K.R.; Duttlinger, A.W.; Maskal, J.M.; McConn, B.R.; Johnson, J.S. Effects of Feed Removal during Acute Heat Stress on the Cytokine Response and Short-Term Growth Performance in Finishing Pigs. Animals 2021, 11, 205. https://doi.org/10.3390/ani11010205
Kpodo KR, Duttlinger AW, Maskal JM, McConn BR, Johnson JS. Effects of Feed Removal during Acute Heat Stress on the Cytokine Response and Short-Term Growth Performance in Finishing Pigs. Animals. 2021; 11(1):205. https://doi.org/10.3390/ani11010205
Chicago/Turabian StyleKpodo, Kouassi R., Alan W. Duttlinger, Jacob M. Maskal, Betty R. McConn, and Jay S. Johnson. 2021. "Effects of Feed Removal during Acute Heat Stress on the Cytokine Response and Short-Term Growth Performance in Finishing Pigs" Animals 11, no. 1: 205. https://doi.org/10.3390/ani11010205
APA StyleKpodo, K. R., Duttlinger, A. W., Maskal, J. M., McConn, B. R., & Johnson, J. S. (2021). Effects of Feed Removal during Acute Heat Stress on the Cytokine Response and Short-Term Growth Performance in Finishing Pigs. Animals, 11(1), 205. https://doi.org/10.3390/ani11010205

