Population Viability and Conservation Strategies for the Eurasian Black Vulture (Aegypius monachus) in Southeast Europe
Abstract
Simple Summary
Abstract
1. Introduction
2. Materials and Methods
2.1. Data Collection and Model Parameter Input
2.2. Sensitivity Analysis
2.3. Conservation Scenarios
2.3.1. Non-Establishment of the SFS in 1987
2.3.2. Reintroduction of Eurasian Black Vulture to Olympus National Park
2.4. Statistical Analyses
3. Results
3.1. Basic Scenario
3.2. Sensitivity Analysis
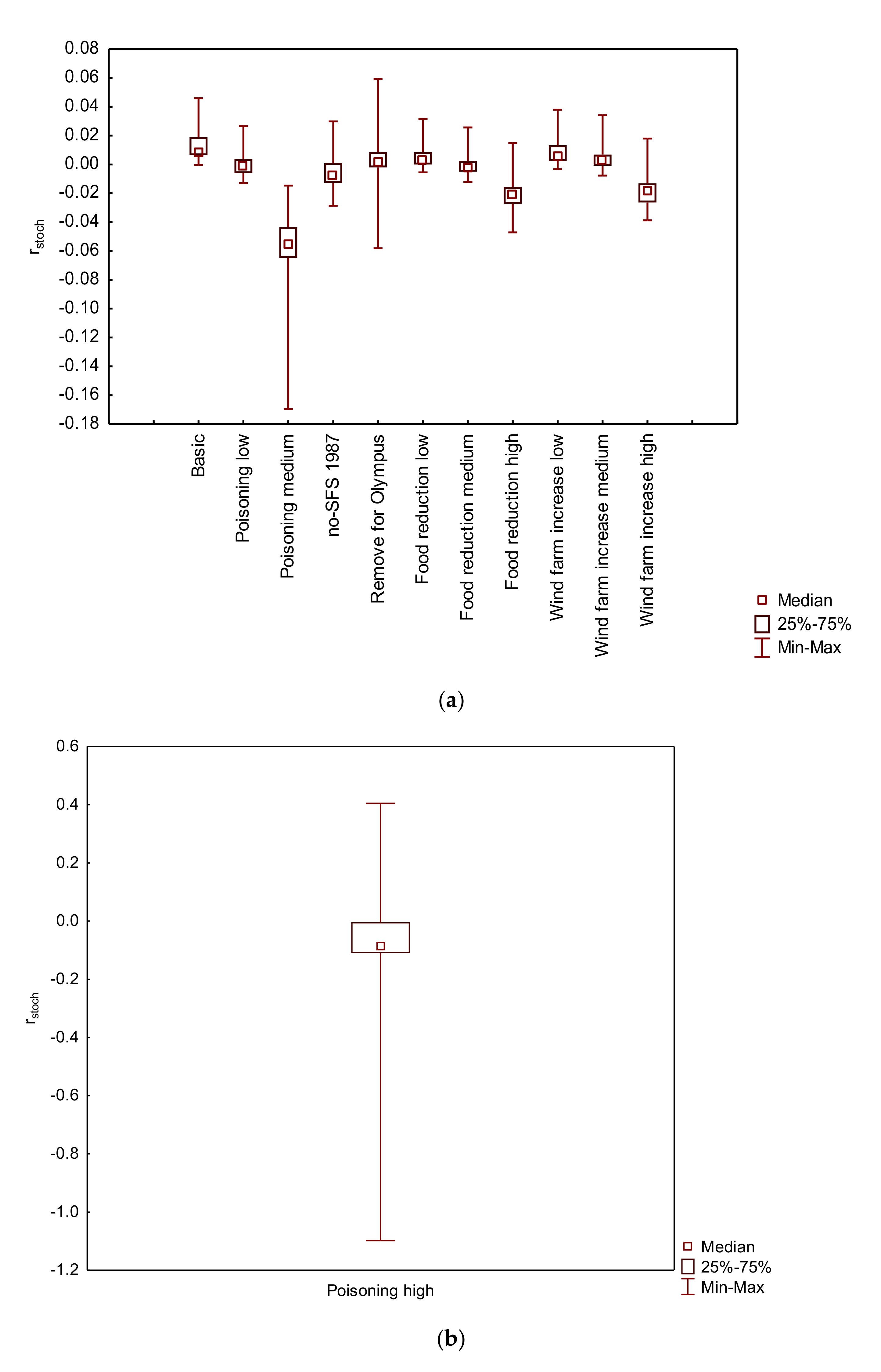
3.3. Conservation Scenarios
3.3.1. Non-Establishment of the SFS in 1987
3.3.2. Reintroduction of Eurasian Black Vulture to Olympus National Park
4. Discussion
5. Conclusions
Author Contributions
Funding
Institutional Review Board Statement
Informed Consent Statement
Data Availability Statement
Acknowledgments
Conflicts of Interest
References
- IUCN. Biodiversity, It’s Now or Ever. 2010. Available online: https://www.iucn.org/content/biodiversity-its-now-or-never (accessed on 13 July 2020).
- Saether, B.; Bakke, Ø. Avian life history variation and contribution of demographic traits to the population growth rate. Ecology 2000, 81, 642–653. [Google Scholar] [CrossRef]
- Boyce, M.S. Population viability analysis. Ann. Rev. Ecol. Syst. 1992, 23, 481–506. [Google Scholar] [CrossRef]
- Young, T.P. Restoration ecology and conservation biology. Biol. Conserv. 2000, 92, 73–83. [Google Scholar] [CrossRef]
- Newton, I. Population Ecology of Raptors; T & AD Poyser Ltd. (A & C Black): Berkhamsted, UK, 1979; p. 432. [Google Scholar]
- Ogada, D.L.; Keesing, F.; Virani, M. Dropping dead: Causes and consequences of vulture population declines worldwide. Ann. N. Y. Acad. Sci. 2012, 1249, 57–71. [Google Scholar] [CrossRef] [PubMed]
- Oaks, J.L.; Giltbert, M.; Virani, M.Z.; Watson, R.T.; Meteyer, C.U.; Rideout, B.A.; Shivaprasad, H.L.; Ahmed, S.; Chaudhry, M.J.I.; Arshad, M.; et al. Diclofenac residues as the cause of population decline of vultures in Pakistan. Nature 2004, 427, 630–633. [Google Scholar] [CrossRef] [PubMed]
- Margalida, A.; Bogliani, G.; Bowden, C.G.R.; Donázar, J.A.; Genero, F.; Gilbert, M.; Karesh, W.B.; Kock, R.; Lubroth, J.; Manteca, X.; et al. One health approach to the use of veterinary pharmaceuticals. Science 2014, 346, 1296–1298. [Google Scholar] [CrossRef] [PubMed]
- Hernández, M.; Margalida, A. Pesticide abuse in Europe: Effects on the Cinereous vulture (Aegypiusmonachus) population in Spain. Ecotoxicology 2008, 7, 264–272. [Google Scholar] [CrossRef] [PubMed]
- Oro, D.; Margalida, A.; Carrete, M.; Heredia, R.; Donázar, J.A. Testing the goodness of supplementary feeding to enhance population viability in an endangered vulture. PLoS ONE 2008, 3, e4084. [Google Scholar] [CrossRef]
- Hernández, M.; Margalida, A. Poison-related mortality effects in the endangered Egyptian Vulture (Neophron percnopterus) population in Spain: Conservation measures. Eur. J. Wildl. Res. 2009, 55, 415–423. [Google Scholar] [CrossRef]
- Thiollay, J.M. The decline of raptors in West Africa: Long-term assessment and the role of protected areas. Ibis 2006, 148, 240–254. [Google Scholar] [CrossRef]
- Margalida, A.; Donázar, J.A.; Carrete, M.; Sánchez-Zapata, J.A. Sanitary versus environmental policies: Fitting together two pieces of the puzzle of European vulture conservation. J. Appl. Ecol. 2010, 47, 931–935. [Google Scholar] [CrossRef]
- Margalida, A.; Colomer, M.A. Modelling the effects of sanitary policies on European vulture conservation. Sci. Rep. 2012, 2, 753. [Google Scholar] [CrossRef] [PubMed]
- Camiña, A.; Yosef, R. Effect of European Union BSE- related enactments on fledgling Eurasian Griffon (Gyps fulvus). Acta Ornithol. 2012, 47, 101–109. [Google Scholar] [CrossRef]
- Carrete, M.; Sánchez-Zapata, J.A.; Benítez, J.R.; Lobón, M.; Montoya, F.; Donázar, J.A. Mortality at wind-farms is positively correlated to large-scale distribution and aggregation in griffon vultures. Biol. Conserv. 2012, 145, 102–108. [Google Scholar] [CrossRef]
- Boshoff, A.F.; Minnie, J.C.; Tambling, C.J.; Michael, M.D. The impact of power line-related mortality on the Cape Vulture Gyps coprotheres in a part of its range, with an emphasis on electrocution. Bird Conserv. Int. 2011, 21, 311–327. [Google Scholar] [CrossRef]
- Morán-López, R.; Sánchez Guzmán, J.M.; Borrego, E.C.; Sánchez, A.V. Nest-site selection of endangered cinereous vulture (Aegypiusmonachus) populations affected by anthropogenic disturbance: Present and future conservation implications. Anim. Conserv. 2006, 9, 29–37. [Google Scholar] [CrossRef]
- Donázar, J.A.; Margalida, A.; Carrete, M.; Sánchez-Zapata, J.A. Too sanitary for vultures. Science 2009, 326, 664. [Google Scholar] [CrossRef]
- LIFE Programme. Available online: https://ec.europa.eu/easme/en/life (accessed on 18 July 2020).
- Vlachos, C.G.; Bakaloudis, D.E.; Holloway, G.J. Population trends of Black Vulture Aegypiusmonachus in Dadia Forest, north-eastern Greece following the establishment of a feeding station. Bird Conserv. Int. 1999, 9, 113–118. [Google Scholar] [CrossRef]
- Cortés-Avizanda, A.; Carrete, M.; Donázar, J.A. Managing supplementary feeding for avian scavengers: Guidelines for optimal design using ecological criteria. Biol. Conserv. 2010, 143, 1707–1715. [Google Scholar] [CrossRef]
- Moreno-Opo, R.; Margalida, A.; Arredondo, A.; Guil, F.; Mártin, M.; Higuero, R.; Soria, C.; Guzmán, J. Factors influencing the presence of the cinereous vulture Aegypiusmonachus at carcasses: Food preferences and implications for the management of supplementary feeding sites. Wildl. Biol. 2010, 16, 25–34. [Google Scholar] [CrossRef]
- Moreno-Opo, R.; Trujillano, A.; Margalida, A. Optimization of supplementary feeding programs for European vultures depends on environmental and management factors. Ecosphere 2015, 6, 127. [Google Scholar] [CrossRef]
- Moreno-Opo, R.; Trujillano, A.; Arredondo, A.; Gonzalez, L.M.; Margalida, A. Manipulating size, amount and appearance of food inputs to optimize supplementary feeding programs for European vultures. Biol. Conserv. 2015, 181, 27–35. [Google Scholar] [CrossRef]
- Gilbert, M.; Watson, R.T.; Ahmed, S.; Asim, M.; Johnson, J.A. Vulture restaurants and their role in reducing diclofenac exposure in Asian vultures. Bird Conserv. Int. 2007, 17, 63–77. [Google Scholar] [CrossRef]
- Virani, M.Z.; Kendall, C.; Njoroge, P.; Thomsett, S. Major declines in the abundance of vultures and other scavenging raptors in and around the Masai Mara ecosystem, Kenya. Biol. Conserv. 2011, 144, 746–752. [Google Scholar] [CrossRef]
- Margalida, A.; Carrete, M.; Sánchez-Zapata, J.A.; Donázar, J.A. Good news for European vultures. Science 2012, 335, 284. [Google Scholar] [CrossRef][Green Version]
- Hirzel, A.H.; Posse, B.; Oggier, P.-A.; Crettenand, Y.; Glenz, C.; Arlettaz, R. Ecological requirements of reintroduced species and the implications for release policy: The case of the bearded vulture. J. Appl. Ecol. 2004, 41, 1103–1116. [Google Scholar] [CrossRef]
- Terrasse, M.; Sarrazin, F.; Choisy, J.P.; Clémente, C.; Henriquet, S.; Lécuyer, P.; Pinna, J.L.; Tessier, C. A success story: The reintroduction of Eurasian Griffon Gyps fulvus and Black Aegypiusmonachus Vultures to France. In Raptors Worldwide, Proceedings of the VI World Conference on Birds of Prey and Owls, Budapest, Hungary, 18–23 May 2003; Chancellor, R.D., Meyburg, B.-U., Eds.; WWGBP/MME: Budapest, Hungary, 2004; pp. 127–145. [Google Scholar]
- Andevski, J.; Tavares, J.; Williams, N.P.; Moreno-Opo, R.; Botha, A.; Renell, J. Flyway Action Plan for the Conservation of the Cinereous Vulture; CMS Raptors MOU Technical Publication No. 6; Coordinating Unit of the CMS Raptors MOU: Abu Dhabi, UAE, 2017; p. 59. [Google Scholar] [CrossRef]
- Becker, N.; Inbar, M.; Bahat, O.; Choresh, Y.; Ben-Noon, G.; Yaffe, O. Estimating the economic value of viewing griffon vultures Gyps fulvus: A Travel Cost Model study at Gamla Nature Reserve, Israel. Oryx 2005, 39, 429–434. [Google Scholar] [CrossRef]
- Moreno-Opo, R.; Fernández-Olalla, M.; Margalida, A.; Arredondo, Á.; Guil, F. Effect of methodological and ecological approaches on heterogeneity of nest-site selection of a long-lived vulture. PLoS ONE 2012, 7, e33469. [Google Scholar] [CrossRef]
- BirdLife International. Aegypiusmonachus. (Amended Version Published in 2016) The IUCN Red List of Threatened Species 2017: E.T22695231A110774064. 2017. Available online: http://dx.doi.org/10.2305/IUCN.UK.2017-1.RLTS.T22695231A110774064.en (accessed on 18 June 2017).
- Legakis, A.; Maragkou, P. The Red Book of Threatened Animals of Greece; Hellenic Zoological Society: Athens, Greece, 2009; p. 528. (In Greek) [Google Scholar]
- Cramp, S.; Simmons, K.E.L. Handbook of the Bird of Europe, the Middle East and North Africa, Vol. 2; Oxford University Press: Oxford, UK, 1980; p. 695. [Google Scholar]
- Skartsi, T.; Elorriaga, J.N.; Vasilakis, D.P.; Poirazidis, K. Population size, breeding rates and conservation status of Eurasian black vulture in the Dadia National Park, Thrace, NE Greece. J. Nat. Hist. 2008, 42, 345–353. [Google Scholar] [CrossRef]
- Handrinos, G.; Akriotis, T. The Birds of Greece; Christopher Helm Ltd.: London, UK, 1997; p. 336. [Google Scholar]
- Handrinos, G. The status of vultures in Greece. In Conservation Studies on Raptors; Newton, I., Chancelor, R.D., Eds.; Technical Publication 5; International Council for Bird Preservation: Cambridge, UK, 1985; pp. 103–115. [Google Scholar]
- Brook, B.W.; O’Grady, J.J.; Chapman, A.P.; Burgman, M.A.; Akçakaya, H.R.; Frankham, R. Predictive accuracy of population viability analysis in conservation biology. Nature 2000, 404, 385–387. [Google Scholar] [CrossRef]
- Schaub, M.; Zink, R.; Beissmann, H.; Sarrazin, F.; Arlettaz, R. When to end releases in reintroduction programmes: Demographic rates and population viability analysis of bearded vultures in the Alps. J. Appl. Ecol. 2009, 46, 92–100. [Google Scholar] [CrossRef]
- García-Ripollés, C.; López-López, P. Integrating effects of supplementary feeding, pollutant ingestion and wild farms of two vulture species in Spain using a population viability analysis. J. Ornithol. 2011, 152, 879–888. [Google Scholar] [CrossRef]
- Lacy, R.C.; Pollak, J.P. Vortex: A Stochastic Simulation of the Extinction Process; Version 10.3.8; Chicago Zoological Society: Brookfield, IL, USA, 2020. [Google Scholar]
- Donázar, J.A.; (Department of Conservation Biology, Sevilla, Spain). Personal communication, 2014.
- Corbacho, C.; Molina, M.; Mota, M. A mathematical model to describe the demographic dynamics of long-lived raptor species. Biosystems 2019, 180, 54–62. [Google Scholar] [CrossRef] [PubMed]
- Ferguson-Lees, J.; Christie, D.A. Raptors of the World; Christopher Helm: London, UK, 2001; p. 992. [Google Scholar]
- Carrete, M.; Donázar, J.A.; Margalida, A. Density-dependent productivity depression in Pyrenean bearded vultures: Implications for conservation. Ecol. Appl. 2006, 16, 1674–1682. [Google Scholar] [CrossRef]
- Lacy, R.C.; Miller, P.S.; Traylor-Holzer, K. Vortex 10 User’s Manual. 6 January 2020; IUCN SSC Conservation Planning Specialist Group, and Chicago Zoological Society: Apple Valley, MN, USA, 2020; p. 201. [Google Scholar]
- Mihoub, J.-B.; Princé, K.; Duriez, O.; Lécuyer, P.; Eliotout, B.; Sarrazin, F. Comparing the effects of release methods on survival of the Eurasian black vulture Aegypiusmonachus reintroduced in France. Oryx 2014, 48, 106–115. [Google Scholar] [CrossRef]
- Castaño, J.P.; Sánchez, J.F.; Díaz-Portero, M.A.; Robles, M. Dispersal and survival of juvenile black vultures Aegypiusmonachus in central Spain. Ardeola 2015, 62, 351–361. [Google Scholar] [CrossRef]
- Traill, L.W.; Bradshaw, C.J.A.; Brook, B.W. Minimum viable population size: A meta-analysis of 30 years of published estimates. Biol. Conserv. 2007, 139, 159–166. [Google Scholar] [CrossRef]
- StatSoft, Inc. STATISTICA (Data Analysis Software System). Version 10. 2011. Available online: www.statsoft.com (accessed on 20 September 2020).
- Parvanov, D.; Stoynov, E.; Vangelova, N.; Peshev, H.; Grozdanov, A.; Delov, V.; Iliev, Y. Vulture mortality resulting from illegal poisoning in the southern Balkan Peninsula. Environ. Sci. Pollut. Res. 2018, 25, 1706–1712. [Google Scholar] [CrossRef]
- Guitart, R.; Sachana, M.; Caloni, F.; Croubels, S.; Vandenbroucke, V.; Berny, P. Animal poisoning in Europe. Part 3: Wildlife. Vet. J. 2010, 183, 260–265. [Google Scholar] [CrossRef]
- Ntemiri, K.; Saravia, V.; Angelidis, C.; Baxevani, K.; Probonas, M.; Kret, E.; Mertzanis, Y.; Iliopoulos, Y.; Georgiadis, L.; Skartsi, D.; et al. Animal mortality and illegal poison bait use in Greece. Environ. Monit. Assess. 2018, 190, 488. [Google Scholar] [CrossRef]
- Iliopoulos, Y.; Sgardelis, S.; Koutis, V.; Savaris, D. Wolf depredation on livestock in Central Greece. Acta Theriol. 2009, 54, 11–22. [Google Scholar] [CrossRef]
- Newton, I. Population Limitation in Birds; Academic Press: San Diego, CA, USA, 1998; p. 597. [Google Scholar]
- Tewes, E.; Terrasse, M.; Sánchez, J.J.; Fremuth, W.; Frey, H. Action Plan for the recovery and conservation of vultures on the Balkan Peninsula: Activities and projects during 2002 and 2003. In Raptors Worldwide, Proceedings of the VI World Conference on Birds of Prey and Owls, Budapest, Hungary, 18–23 May 2003; Chancellor, R.D., Meyburg, B.-U., Eds.; WWGBP/MME: Budapest, Hungary, 2004; pp. 147–175. [Google Scholar]
- Marin, S.A.; Rogev, A.B.; Christov, I.M.; Sarov, M.S. New observations and nesting of the Black Vulture (Aegypiusmonachus. L., 1766) in Bulgaria. In Proceedings of the International Symposium on the Black Vulture in South Eastern Europe and Adjacent Regions, Dadia, Greece, 15–16 September 1993; Tewes, E., Sánchez, J.J., Heredia, B., Bijleveld Van Lexmond, M., Eds.; Black Vulture Conservation Foundation-Frankfurt Zoological Society: Palma de Mallorca, Spain, 1998; pp. 47–50. [Google Scholar]
- European Commission. Commission Regulation CE 142/2011, of 25th February, implementing Regulation EC No 1069/2009. OJEU 2011, 54, 1–254. [Google Scholar]
- Dwyer, J.; Landon, M.A.; Mojica, E.K. Impact of renewable energy sources on birds of prey. In Birds of Prey: Biology and Conservation in the XXI Century; Sarasola, J.H., Grande, J.M., Negro, J.J., Eds.; Springer: Cham, Switzerland, 2018; pp. 303–321. [Google Scholar]
- Margalida, A.; Ogada, D. Old World vultures in a changing environment. In Birds of Prey: Biology and Conservation in the XXI Century; Sarasola, J.H., Grande, J.M., Negro, J.J., Eds.; Springer: Cham, Switzerland, 2018; pp. 457–471. [Google Scholar]
- Seddon, P.J.; Armstrong, D.P.; Maloney, R.F. Developing the science of reintroduction biology. Conserv. Biol. 2007, 21, 303–312. [Google Scholar] [CrossRef] [PubMed]
- Sutherland, W.J.; Armstrong, D.; Butchart, S.H.M.; Earnhardt, J.M.; Ewen, J.; Jamieson, I.; Jones, C.G.; Lee, R.; Newbery, P.; Nichols, J.D.; et al. Standards for documenting and monitoring bird reintroduction projects. Conserv. Lett. 2010, 3, 229–235. [Google Scholar] [CrossRef]
- Sarrazin, F.; Legendre, S. Demographic approach to releasing adults versus young in reintroductions. Conserv. Biol. 2000, 14, 488–500. [Google Scholar] [CrossRef]







| Parameter | Eurasian Black Vulture |
|---|---|
| Reproductive system | Long-term monogamy |
| Age of first offspring | 6 |
| Maximum age of reproduction | 30 |
| Maximum broods per year | 1 |
| Sex ratio at birth | 1:1 |
| Density-dependent reproduction | Yes |
| % Breeding females at low density, P(0) | 66.9 |
| % Breeding females at carrying capacity, P(K) | 30.49 |
| Allee parameter, A | 0 |
| Steepness parameter, B | 4 |
| % Males in the breeding pool | 100 |
| Carrying capacity (K) | 200 |
| Initial population size (N) | 75 |
| Mortality (%) from age 0 to 1 (SD) | 8 (10) |
| Mortality (%) from age 1 to 2 (SD) | 30 (3) |
| Mortality (%) from age 2 to 3 (SD) | 15 (3) |
| Mortality (%) from age 3 to 4 (SD) | 15 (3) |
| Mortality (%) from age 4 to 5 (SD) | 15 (3) |
| Mortality (%) from age 5 to 6 (SD) | 15 (3) |
| Mortality (%) after age 6 (SD) | 2 (3) |
| Scenario | Levels | Fecundity | % Mortality | Catastrophic Events | |||||
|---|---|---|---|---|---|---|---|---|---|
| Juvenile (0–1) | Immature (1–6) | Adult >6 | Occurrence | Frequency | Effect on Fecundity | Effect on Survival | |||
| Basic scenario (Β) | Β | B | B | B | No | - | - | - | |
| Reduction of supplementary feeding | low | −10% | +10% | +10% | +10% | No | - | - | - |
| medium | −10% | +20% | +20% | +20% | No | - | - | - | |
| high | −20% | +30% | +30% | +30% | No | - | - | - | |
| Wind farm increase | low | B | +10% | +10% | +10% | No | - | - | - |
| medium | B | +20% | +20% | +20% | No | - | - | - | |
| high | B | +40% | +40% | +40% | No | - | - | - | |
| Poisoning | low | Β | Β | Β | Β | Yes | 20% | 0.90 | 0.90 |
| medium | Β | Β | Β | Β | Yes | 20% | 0.90 | 0.70 | |
| high | Β | Β | Β | Β | Yes | 20% | 0.90 | 0.50 | |
Publisher’s Note: MDPI stays neutral with regard to jurisdictional claims in published maps and institutional affiliations. |
© 2021 by the authors. Licensee MDPI, Basel, Switzerland. This article is an open access article distributed under the terms and conditions of the Creative Commons Attribution (CC BY) license (http://creativecommons.org/licenses/by/4.0/).
Share and Cite
Dimitriou, K.G.; Kotsonas, E.G.; Bakaloudis, D.E.; Vlachos, C.G.; Holloway, G.J.; Yosef, R. Population Viability and Conservation Strategies for the Eurasian Black Vulture (Aegypius monachus) in Southeast Europe. Animals 2021, 11, 124. https://doi.org/10.3390/ani11010124
Dimitriou KG, Kotsonas EG, Bakaloudis DE, Vlachos CG, Holloway GJ, Yosef R. Population Viability and Conservation Strategies for the Eurasian Black Vulture (Aegypius monachus) in Southeast Europe. Animals. 2021; 11(1):124. https://doi.org/10.3390/ani11010124
Chicago/Turabian StyleDimitriou, Kyriakos G., Evangelos G. Kotsonas, Dimitrios E. Bakaloudis, Christos G. Vlachos, Graham J. Holloway, and Reuven Yosef. 2021. "Population Viability and Conservation Strategies for the Eurasian Black Vulture (Aegypius monachus) in Southeast Europe" Animals 11, no. 1: 124. https://doi.org/10.3390/ani11010124
APA StyleDimitriou, K. G., Kotsonas, E. G., Bakaloudis, D. E., Vlachos, C. G., Holloway, G. J., & Yosef, R. (2021). Population Viability and Conservation Strategies for the Eurasian Black Vulture (Aegypius monachus) in Southeast Europe. Animals, 11(1), 124. https://doi.org/10.3390/ani11010124

