The Weekend Effect on Urban Bat Activity Suggests Fine Scale Human-Induced Bat Movements
Simple Summary
Abstract
1. Introduction
2. Materials and Methods
2.1. Study Sites and Bat Acoustic Monitoring Design
2.2. Extraction of Bat and Weather Variables
2.3. Statistical Analysis
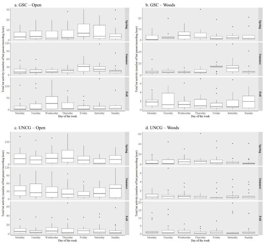
3. Results
4. Discussion
5. Conclusions
Supplementary Materials
Author Contributions
Funding
Acknowledgments
Conflicts of Interest
Appendix A
References
- United Nations the Population Division of the Department of Economic and Social Affairs World Urbanization Prospects: The 2018 Revision; United Nations: New York, NY, USA, 2019; ISBN 978-92-1-148319-2.
- Seto, K.C.; Güneralp, B.; Hutyra, L.R. Global forecasts of urban expansion to 2030 and direct impacts on biodiversity and carbon pools. Proc. Natl. Acad. Sci. USA 2012, 109, 16083–16088. [Google Scholar] [CrossRef] [PubMed]
- Seto, K.C.; Parnell, S.; Elmqvist, T. A global outlook on urbanization. In Urbanization, Biodiversity and Ecosystem Services: Challenges and Opportunities; Elmqvist, T., Fragkias, M., Goodness, J., Güneralp, B., Marcotullio, P.J., McDonald, R.I., Parnell, S., Schewenius, M., Sendstad, M., Seto, K.C., et al., Eds.; Springer: Dordrecht, The Netherlands, 2013; pp. 1–9. ISBN 978-94-007-7087-4. [Google Scholar]
- Yang, L.; Jin, S.; Danielson, P.; Homer, C.; Gass, L.; Bender, S.M.; Case, A.; Costello, C.; Dewitz, J.; Fry, J.; et al. A new generation of the United States National Land Cover Database: Requirements, research priorities, design and implementation strategies. Isprs J. Photogramm. Remote. Sens. 2018, 146, 108–123. [Google Scholar] [CrossRef]
- Donihue, C.M.; Lambert, M.R. Adaptive evolution in urban ecosystems. Ambio 2015, 44, 194–203. [Google Scholar] [CrossRef] [PubMed]
- Luniak, M. Synurbization–adaptation of animal wildlife to urban development. In Proceedings of the 4th International Symposium Urban Wildlife Conservation, Tucson, AZ, USA, 1–5 May 1999; pp. 50–55. [Google Scholar]
- Shochat, E.; Warren, P.S.; Faeth, S.H.; McIntyre, N.E.; Hope, D. From patterns to emerging processes in mechanistic urban ecology. Trends Ecol. Evol. 2006, 21, 186–191. [Google Scholar] [CrossRef] [PubMed]
- Radeloff, V.C.; Williams, J.W.; Bateman, B.L.; Burke, K.D.; Carter, S.K.; Childress, E.S.; Cromwell, K.J.; Gratton, C.; Hasley, A.O.; Kraemer, B.M.; et al. The rise of novelty in ecosystems. Ecol. Appl. 2015, 25, 2051–2068. [Google Scholar] [CrossRef]
- Tablado, Z.; Jenni, L. Determinants of uncertainty in wildlife responses to human disturbance. Biol. Rev. Camb. Philos. Soc. 2017, 92, 216–233. [Google Scholar] [CrossRef]
- Grimm, N.B.; Pickett, S.T.A.; Hale, R.L.; Cadenasso, M.L. Does the ecological concept of disturbance have utility in urban social–ecological–technological systems? Ecosyst. Health Sust. 2017, 3, e01255. [Google Scholar] [CrossRef]
- Parker, T.S.; Nilon, C.H. Gray squirrel density, habitat suitability, and behavior in urban parks. Urban. Ecosyst. 2008, 11, 243–255. [Google Scholar] [CrossRef]
- Lehrer, E.W.; Schooley, R.L.; Whittington, J.K. Survival and antipredator behavior of woodchucks (Marmota monax) along an urban–agricultural gradient. Can. J. Zool. 2011, 90, 12–21. [Google Scholar] [CrossRef]
- Uchida, K.; Suzuki, K.; Shimamoto, T.; Yanagawa, H.; Koizumi, I. Seasonal variation of flight initiation distance in Eurasian red squirrels in urban versus rural habitat. J. Zool. 2016, 298, 225–231. [Google Scholar] [CrossRef]
- Hume, G.; Brunton, E.; Burnett, S. Eastern grey kangaroo (Macropus giganteus) vigilance behaviour varies between human-modified and natural environments. Animals 2019, 9, 494. [Google Scholar] [CrossRef] [PubMed]
- Gil, D.; Honarmand, M.; Pascual, J.; Pérez-Mena, E.; Macías Garcia, C. Birds living near airports advance their dawn chorus and reduce overlap with aircraft noise. Behav. Ecol. 2015, 26, 435–443. [Google Scholar] [CrossRef]
- Dorado-Correa, A.M.; Rodríguez-Rocha, M.; Brumm, H. Anthropogenic noise, but not artificial light levels predicts song behaviour in an equatorial bird. Roy.Soc. Open Sci. 2016, 3, 160231. [Google Scholar] [CrossRef] [PubMed]
- Simmonds, I.; Keay, K. Weekly cycle of meteorological variations in Melbourne and the role of pollution and anthropogenic heat release. Atmos. Environ. 1997, 31, 1589–1603. [Google Scholar] [CrossRef]
- Gong, D.-Y.; Guo, D.; Ho, C.-H. Weekend effect in diurnal temperature range in China: Opposite signals between winter and summer. J. Geophys. Res. Atmos. 2006, 111. [Google Scholar] [CrossRef]
- Bell, T.L.; Rosenfeld, D.; Kim, K.-M.; Yoo, J.-M.; Lee, M.-I.; Hahnenberger, M. Midweek increase in U.S. summer rain and storm heights suggests air pollution invigorates rainstorms. J. Geophys. Res. Atmos. 2008, 113. [Google Scholar] [CrossRef]
- Bell, T.L.; Rosenfeld, D.; Kim, K.-M. Weekly cycle of lightning: Evidence of storm invigoration by pollution. Geophys. Res. Lett. 2009, 36. [Google Scholar] [CrossRef]
- Zou, Y.; Charlesworth, E.; Yin, C.Q.; Yan, X.L.; Deng, X.J.; Li, F. The weekday/weekend ozone differences induced by the emissions change during summer and autumn in Guangzhou, China. Atmos. Environ. 2019, 199, 114–126. [Google Scholar] [CrossRef]
- Meier, J.; Hasenöhrl, U.; Krause, K.; Pottharst, M. Urban. Lighting, Light Pollution and Society; Routledge: Abingdon, UK, 2014; ISBN 978-1-317-60247-7. [Google Scholar]
- Sanchez-Sanchez, R.; Fortes, J.C.; Bolivar, J.P. Patterns to characterise the weekend effect on the environmental noise in coastal tourist towns. Appl. Acoust. 2019, 156, 416–425. [Google Scholar] [CrossRef]
- Stalmaster, M.V.; Kaiser, J.L. Effects of recreational activity on wintering bald eagles. Wildl. Monogr. 1998, 3–46. [Google Scholar]
- Longshore, K.; Lowrey, C.; Thompson, D.B. Detecting short-term responses to weekend recreation activity: Desert bighorn sheep avoidance of hiking trails. Wildl. Soc. Bull. 2013, 37, 698–706. [Google Scholar] [CrossRef]
- Nix, J.H.; Howell, R.G.; Hall, L.K.; McMillan, B.R. The influence of periodic increases of human activity on crepuscular and nocturnal mammals: Testing the weekend effect. Behav. Process. 2018, 146, 16–21. [Google Scholar] [CrossRef] [PubMed]
- Ruhlen, T.D.; Abbott, S.; Stenzel, L.E.; Page, G.W. Evidence that human disturbance reduces Snowy Plover chick survival. J. Field Ornithol. 2003, 74, 300–304. [Google Scholar] [CrossRef]
- Tadesse, S.A.; Kotler, B.P. Impact of tourism on Nubian Ibex (Capra nubiana) revealed through assessment of behavioral indicators. Behav Ecol. 2012, 23, 1257–1262. [Google Scholar] [CrossRef]
- Tarjuelo, R.; Barja, I.; Morales, M.B.; Traba, J.; Benítez-López, A.; Casas, F.; Arroyo, B.; Delgado, M.P.; Mougeot, F. Effects of human activity on physiological and behavioral responses of an endangered steppe bird. Behav Ecol. 2015, 26, 828–838. [Google Scholar] [CrossRef]
- Dominoni, D.M.; Helm, B.; Lehmann, M.; Dowse, H.B.; Partecke, J. Clocks for the city: Circadian differences between forest and city songbirds. P. Roy. Soc. B-Biol. Sci. 2013, 280, 20130593. [Google Scholar] [CrossRef]
- Barrueto, M.; Ford, A.T.; Clevenger, A.P. Anthropogenic effects on activity patterns of wildlife at crossing structures. Ecosphere 2014, 5, art27. [Google Scholar] [CrossRef]
- Fröhlich, A.; Ciach, M. Noise shapes the distribution pattern of an acoustic predator. Curr. Zool. 2018, 64, 575–583. [Google Scholar] [CrossRef]
- Li, H.; Wilkins, K.T. Patch or mosaic: Bat activity responds to fine-scale urban heterogeneity in a medium-sized city in the United States. Urban. Ecosyst. 2014, 1013–1031. [Google Scholar] [CrossRef]
- Russo, D.; Ancillotto, L. Sensitivity of bats to urbanization: A review. Mamm. Biol. 2015, 80, 205–212. [Google Scholar] [CrossRef]
- Tzortzakaki, O.; Papadatou, E.; Kati, V.; Giokas, S. Winners and losers in an urban bat community: A case study from southeastern Europe. Hystrix It. J. Mamm. 2019, 30. [Google Scholar] [CrossRef]
- Kunz, T.H. Resource utilization: Temporal and spatial components of bat activity in central Iowa. J. Mammal. 1973, 54, 14–32. [Google Scholar] [CrossRef]
- Schimpp, S.A.; Li, H.; Kalcounis-Rueppell, M.C. Determining species specific nightly bat activity in sites with varying urban intensity. Urban. Ecosyst 2018, 21, 541–550. [Google Scholar] [CrossRef]
- Shirley, M.D.F.; Armitage, V.L.; Barden, T.L.; Gough, M.; Lurz, P.W.W.; Oatway, D.E.; South, A.B.; Rushton, S.P. Assessing the impact of a music festival on the emergence behaviour of a breeding colony of Daubenton’s bats (Myotis daubentonii). J. Zool. 2001, 254, 367–373. [Google Scholar] [CrossRef]
- Cardiff, S.G.; Ratrimomanarivo, F.H.; Goodman, S.M. The effect of tourist visits on the behavior of Rousettus madagascariensis (Chiroptera: Pteropodidae) in the caves of Ankarana, Northern Madagascar. Acta Chiropt. 2012, 14, 479–490. [Google Scholar] [CrossRef]
- Ancillotto, L.; Venturi, G.; Russo, D. Presence of humans and domestic cats affects bat behaviour in an urban nursery of greater horseshoe bats (Rhinolophus ferrumequinum). Behav. Process. 2019, 164, 4–9. [Google Scholar] [CrossRef]
- Luo, J.; Clarin, B.-M.; Borissov, I.M.; Siemers, B.M. Are torpid bats immune to anthropogenic noise? J. Exp. Biol. 2014, 217, 1072–1078. [Google Scholar] [CrossRef]
- Bonsen, G.; Law, B.; Ramp, D. Foraging Strategies Determine the Effect of Traffic Noise on Bats. Acta Chiropt. 2015, 17, 347–357. [Google Scholar] [CrossRef]
- Fensome, A.G.; Mathews, F. Roads and bats: A meta-analysis and review of the evidence on vehicle collisions and barrier effects. Mammal. Rev. 2016, 46, 311–323. [Google Scholar] [CrossRef]
- Rowse, E.G.; Lewanzik, D.; Stone, E.L.; Harris, S.; Jones, G. Dark matters: The effects of artificial lighting on bats. In Bats in the Anthropocene: Conservation of Bats in a Changing World; Voigt, C.C., Kingston, T., Eds.; Springer International Publishing: New York, NY, USA, 2016; pp. 187–208. ISBN 978-3-319-25218-6. [Google Scholar]
- Robinson, P.J. North. Carolina Weather and Climate; UNC Press Books: Chapel Hill, NC, USA, 2015; ISBN 978-1-4696-2593-5. [Google Scholar]
- Loeb, S.C.; Post, C.J.; Hall, S.T. Relationship between urbanization and bat community structure in national parks of the southeastern U.S. Urban. Ecosyst. 2008, 12, 197–214. [Google Scholar] [CrossRef]
- Parker, K.A.; Springall, B.T.; Garshong, R.A.; Malachi, A.N.; Dorn, L.E.; Costa-Terryll, A.; Mathis, R.A.; Lewis, A.N.; MacCheyne, C.L.; Davis, T.T.; et al. Rapid Increases in bat activity and diversity after wetland construction in an urban ecosystem. Wetlands 2018. [Google Scholar] [CrossRef]
- Springall, B.T.; Li, H.; Kalcounis-Rueppell, M.C. The in-flight social calls of insectivorous bats: Species specific behaviors and contexts of social call production. Front. Ecol. Evol. 2019, 7. [Google Scholar] [CrossRef]
- Li, H.; Kalcounis-Rueppell, M. Separating the effects of water quality and urbanization on temperate insectivorous bats at the landscape scale. Ecol. Evol. 2018, 8, 667–678. [Google Scholar] [CrossRef] [PubMed]
- Thieurmel, B.; Elmarhraoui, A. suncalc: Compute Sun Position, Sunlight Phases, Moon Position and Lunar Phase. Available online: https://cran.r-project.org/web/packages/suncalc/index.html (accessed on 9 September 2020).
- Parkins, K.L.; Mathios, M.; McCann, C.; Clark, J.A. Bats in the Bronx: Acoustic monitoring of bats in New York City. Urban. Nat. 2016, 10, 1–16. [Google Scholar]
- Perks, S.J.; Goodenough, A.E. Abiotic and spatiotemporal factors affect activity of European bat species and have implications for detectability for acoustic surveys. Wildl. Biol. 2020. [Google Scholar] [CrossRef]
- R Development Core Team. R: A Language and Environment for Statistical Computing; R Foundation for Statistical Computing: Vienna, Austria, 2018; ISBN 3-900051-07-0. [Google Scholar]
- Quinn, G.P.; Keough, M.J. Experimental Design and Data Analysis for Biologists; Cambridge University Press U.S.: New York, NY, USA, 2002; ISBN 0-521-00976-6. [Google Scholar]
- Loeb, S.C.; Hines, B.A.; Armstrong, M.P.; Zarnoch, S.J. Effects of omnidirectional microphone placement and survey period on bat echolocation call quality and detection probabilities. Acta Chiropt. 2020, 21, 453–464. [Google Scholar] [CrossRef]
- Findlay, S.V.; Barclay, R.M.R. Acoustic surveys for bats are improved by taking habitat type into account. Wildl. Soc. Bull. 2020, 44, 86–93. [Google Scholar] [CrossRef]
- Voigt, C.C.; Scholl, J.M.; Bauer, J.; Teige, T.; Yovel, Y.; Kramer-Schadt, S.; Gras, P. Movement responses of common noctule bats to the illuminated urban landscape. Landsc. Ecol. 2019. [Google Scholar] [CrossRef]
- Gili, F.; Newson, S.E.; Gillings, S.; Chamberlain, D.E.; Border, J.A. Bats in urbanising landscapes: Habitat selection and recommendations for a sustainable future. Biol. Conserv. 2020, 241, 108343. [Google Scholar] [CrossRef]
- Rhodes, M. Roost fidelity and fission–fusion dynamics of white-striped free-tailed bats (Tadarida australis). J. Mammal. 2007, 88, 1252–1260. [Google Scholar] [CrossRef]
- Neubaum, D.J.; O’Shea, T.J.; Wilson, K.R. Autumn migration and selection of rock crevices as hibernacula by big brown bats in Colorado. J. Mammal. 2006, 87, 470–479. [Google Scholar] [CrossRef]
- Neubaum, D.J.; Wilson, K.R.; O’shea, T.J. Urban maternity-roost selection by big brown bats in Colorado. J. Wildl. Manage. 2007, 71, 728–736. [Google Scholar] [CrossRef]
- Ellison, L.E.; O’Shea, T.J.; Neubaum, D.J.; Bowen, R.A. Factors influencing movement probabilities of big brown bats (Eptesicus Fuscus) in buildings. Ecol. Appl. 2007, 17, 620–627. [Google Scholar] [CrossRef] [PubMed]
- Bondo, K.J.; Willis, C.K.R.; Metheny, J.D.; Kilgour, R.J.; Gillam, E.H.; Kalcounis-Rueppell, M.C.; Brigham, R.M. Bats relocate maternity colony after the natural loss of roost trees. J. Wildl. Manage. 2019, 83, 1753–1761. [Google Scholar] [CrossRef]
- Moretto, L.; Francis, C.M. What factors limit bat abundance and diversity in temperate, North American urban environments? J. Urban. Ecol. 2017, 3. [Google Scholar] [CrossRef]
- Lewis, S.E. Roost fidelity of bats: A review. J. Mammal. 1995, 76, 481–496. [Google Scholar] [CrossRef]
- Fagan, K.E.; Willcox, E.V.; Tran, L.T.; Bernard, R.F.; Stiver, W.H. Roost selection by bats in buildings, Great Smoky Mountains National Park. T J. Wildl. Manag. 2018, 82, 424–434. [Google Scholar] [CrossRef]
- Weller, T.J.; Castle, K.T.; Liechti, F.; Hein, C.D.; Schirmacher, M.R.; Cryan, P.M. First direct evidence of long-distance seasonal movements and hibernation in a migratory bat. Sci Rep. 2016, 6, 34585. [Google Scholar] [CrossRef]
- Cryan, P.M.; Stricker, C.A.; Wunder, M.B. Continental-scale, seasonal movements of a heterothermic migratory tree bat. Ecol. Appl. 2014, 24, 602–616. [Google Scholar] [CrossRef]
- Nickel, B.A.; Suraci, J.P.; Allen, M.L.; Wilmers, C.C. Human presence and human footprint have non-equivalent effects on wildlife spatiotemporal habitat use. Biol. Conserv. 2020, 241, 108383. [Google Scholar] [CrossRef]



| Variable | Greensboro Science Center Open | |||||
|---|---|---|---|---|---|---|
| Spring | Summer | Fall | ||||
| Bat Passes | 6131 | 20,490 | 20,857 | |||
| Day–Tuesday | 0.377 ± 0.248 | 0.132 | 0.006 ± 0.326 | 0.984 | 0.378 ± 0.313 | 0.231 |
| Day–Wednesday | 0.185 ± 0.242 | 0.446 | −0.102 ± 0.345 | 0.769 | 0.489 ± 0.288 | 0.094 |
| Day–Thursday | 0.324 ± 0.237 | 0.175 | 0.063 ± 0.338 | 0.852 | −0.397 ± 0.329 | 0.231 |
| Day–Friday | 0.611 ± 0.230 | 0.010 | 0.763 ± 0.293 | 0.011 | −0.627 ± 0.385 | 0.084 |
| Day–Saturday | 0.496 ± 0.233 | 0.036 | 0.723 ± 0.292 | 0.015 | −0.003 ± 0.335 | 0.994 |
| Day–Sunday | 0.316 ± 0.239 | 0.190 | 0.245 ± 0.315 | 0.439 | −0.416 ± 0.366 | 0.260 |
| Temperature (°C) | 0.170 ± 0.014 | <0.001 | 0.093 ± 0.039 | 0.020 | 0.240 ± 0.024 | <0.001 |
| Wind (km/h) | NA | −0.185 ± 0.075 | <0.001 | NA | ||
| Year | −0.435 ± 0.155 | 0.006 | NA | NA | ||
| Greensboro Science Center Woods | ||||||
| Bat Passes | 2782 | 8643 | 2099 | |||
| Day–Tuesday | 0.269 ± 0.328 | 0.415 | −0.118 ± 0.278 | 0.673 | 0.034 ± 0.239 | 0.886 |
| Day–Wednesday | 0.247 ± 0.331 | 0.459 | −0.258 ± 0.291 | 0.378 | −0.277 ± 0.256 | 0.283 |
| Day–Thursday | 0.394 ± 0.388 | 0.201 | −0.071 ± 0.283 | 0.802 | −0.319 ± 0.252 | 0.209 |
| Day–Friday | 0.061 ± 0.316 | 0.849 | 0.929 ± 0.230 | <0.001 | −0.346 ± 0.264 | 0.193 |
| Day–Saturday | −0.074 ± 0.333 | 0.825 | 0.869 ± 0.231 | <0.001 | −0.015 ± 0.254 | 0.953 |
| Day–Sunday | 0.409 ± 0.311 | 0.194 | 0.275 ± 0.258 | 0.290 | 0.090 ± 0.246 | 0.716 |
| Temperature (°C) | 0.130 ± 0.016 | <0.001 | 0.181 ± 0.027 | <0.001 | 0.122 ± 0.013 | <0.001 |
| Wind (km/h) | NA | −0.078 ± 0.034 | 0.047 | NA | ||
| Year | −1.258 ± 0.165 | <0.001 | NA | NA | ||
| Variable | University of North Carolina Greensboro Open | |||||
|---|---|---|---|---|---|---|
| Spring | Summer | Fall | ||||
| Bat Passes | 44,532 | 49,139 | 12,814 | |||
| Day–Tuesday | −0.178 ± 0.230 | 0.438 | 0.053 ± 0.231 | 0.820 | −0.367 ± 0.393 | 0.340 |
| Day–Wednesday | 0.007 ± 0.206 | 0.973 | 0.009 ± 0.241 | 0.970 | −0.030 ± 0.358 | 0.933 |
| Day–Thursday | 0.072 ± 0.197 | 0.714 | −0.219 ± 0.246 | 0.074 | 0.078 ± 0.346 | 0.822 |
| Day–Friday | −0.321 ± 0.218 | 0.043 | −0.524 ± 0.257 | 0.016 | −0.145 ± 0.369 | 0.695 |
| Day–Saturday | −0.660 ± 0.217 | 0.016 | −0.264 ± 0.232 | 0.020 | 0.091 ± 0.356 | 0.799 |
| Day–Sunday | −0.305 ± 0.233 | 0.089 | 0.012 ± 0.239 | 0.958 | 0.037 ± 0.369 | 0.920 |
| Temperature (°C) | 0.115 ± 0.011 | <0.001 | 0.078 ± 0.030 | 0.010 | 0.097 ± 0.019 | <0.001 |
| Wind (km/h) | NA | −0.035 ± 0.019 | 0.017 | −0.029 ± 0.007 | 0.044 | |
| Year | NA | 0.513 ± 0.138 | <0.001 | −0.439 ± 0.203 | 0.033 | |
| University of North Carolina Greensboro Woods | ||||||
| Bat Passes | 9185 | 1057 | 2985 | |||
| Day–Tuesday | 0.141 ± 0.460 | 0.759 | 0.243 ± 0.339 | 0.474 | 0.055 ± 0.489 | 0.911 |
| Day–Wednesday | 0.258 ± 0.436 | 0.554 | 0.196 ± 0.353 | 0.579 | −0.605 ± 0.569 | 0.290 |
| Day–Thursday | 0.287 ± 0.433 | 0.508 | −0.279 ± 0.385 | 0.471 | −1.010 ± 0.655 | 0.126 |
| Day–Friday | 0.304 ± 0.440 | 0.491 | −0.039 ± 0.383 | 0.918 | −0.651 ± 0.578 | 0.263 |
| Day–Saturday | −0.113 ± 0.483 | 0.815 | 0.167 ± 0.348 | 0.633 | 0.144 ± 0.474 | 0.763 |
| Day–Sunday | −0.206 ± 0.500 | 0.681 | 0.105 ± 0.351 | 0.765 | −0.283 ± 0.565 | 0.618 |
| Temperature (°C) | 0.079 ± 0.020 | <0.001 | 0.140 ± 0.042 | 0.001 | 0.067 ± 0.028 | 0.018 |
| Wind (km/h) | NA | NA | NA | |||
| Year | NA | 0.530 ± 0.191 | 0.007 | −0.595 ± 0.322 | 0.067 | |
| Variable | Big Brown Bat | Red Bat | Hoary Bat | Silver-Haired Bat | ||||
|---|---|---|---|---|---|---|---|---|
| Bat Passes | 1449 | 1130 | 965 | 2471 | ||||
| Day–Tuesday | 0.175 ± 0.308 | 0.571 | 0.080 ± 0.173 | 0.719 | −0.008 ± 0.271 | 0.976 | −0.070 ± 0.384 | 0.463 |
| Day–Wednesday | 0.050 ± 0.327 | 0.878 | 0.156 ± 0.215 | 0.487 | −0.196 ± 0.265 | 0.461 | −0.156 ± 0.328 | 0.290 |
| Day–Thursday | 0.068 ± 0.332 | 0.838 | −0.100 ± 0.188 | 0.688 | −0.082 ± 0.291 | 0.778 | −0.317 ± 0.335 | 0.320 |
| Day–Friday | 0.130 ± 0.332 | 0.067 | 0.013 ± 0.159 | 0.955 | 0.028 ± 0.284 | 0.922 | 0.701 ± 0.369 | 0.005 |
| Day–Saturday | 0.547 ± 0.282 | 0.006 | 0.210 ± 0.165 | 0.030 | 0.136 ± 0.269 | 0.614 | 0.548 ± 0.320 | 0.029 |
| Day–Sunday | 0.051 ± 0.326 | 0.876 | 0.227 ± 0.169 | 0.025 | 0.176 ± 0.263 | 0.505 | −0.008 ± 0.290 | 0.987 |
| Temperature (°C) | 0.116 ± 0.040 | 0.006 | 0.286 ± 0.066 | 0.031 | NA | NA | ||
| Wind (km/h) | −0.110 ± 0.047 | 0.005 | −0.102 ± 0.032 | 0.002 | NA | −0.330 ± 0.068 | <0.001 | |
| Year | −0.483 ± 0.193 | 0.018 | NA | NA | NA | |||
| Evening Bat | Tricolored Bat | Mexican Free-Tailed Bat | ||||||
| Bat passes | 1993 | 285 | 799 | |||||
| Day–Tuesday | 0.003 ± 0.288 | 0.992 | −0.548 ± 0.388 | 0.092 | −0.329 ± 0.394 | 0.249 | ||
| Day–Wednesday | −0.029 ± 0.301 | 0.932 | 0.307 ± 0.422 | 0.501 | −0.432 ± 0.433 | 0.230 | ||
| Day–Thursday | 0.148 ± 0.271 | 0.149 | 0.293 ± 0.429 | 0.526 | −0.485 ± 0.370 | 0.196 | ||
| Day–Friday | 0.478 ± 0.249 | 0.025 | 0.146 ± 0.436 | 0.757 | 0.193 ± 0.371 | 0.088 | ||
| Day–Saturday | 0.052 ± 0.300 | 0.881 | 0.361 ± 0.408 | 0.515 | 0.005 ± 0.297 | 0.987 | ||
| Day–Sunday | 0.006 ± 0.296 | 0.986 | 0.078 ± 0.438 | 0.870 | −0.173 ± 0.313 | 0.595 | ||
| Temperature (°C) | 0.123 ± 0.038 | 0.005 | NA | NA | ||||
| Wind (km/h) | −0.187 ± 0.048 | <0.001 | −0.177 ± 0.066 | 0.008 | −0.152 ± 0.052 | 0.004 | ||
| Year | −0.872 ± 0.209 | <0.001 | −1.097 ± 0.297 | 0.001 | NA | |||
| Variable | Big Brown Bat | Red Bat | Hoary Bat | Silver-Haired Bat | ||||
|---|---|---|---|---|---|---|---|---|
| Bat Passes | 28,996 | 757 | 151 | 533 | ||||
| Day–Tuesday | 0.025 ± 0.271 | 0.928 | 0.106 ± 0.283 | 0.712 | 0.610 ± 0.930 | 0.513 | 0.300 ± 0.359 | 0.404 |
| Day–Wednesday | 0.026 ± 0.283 | 0.929 | 0.095 ± 0.224 | 0.749 | −0.317 ± 0.710 | 0.787 | 0.351 ± 0.359 | 0.330 |
| Day–Thursday | −0.111 ± 0.281 | 0.066 | −0.172 ± 0.292 | 0.279 | −0.361 ± 0.772 | 0.756 | 0.127 ± 0.371 | 0.733 |
| Day–Friday | −0.496 ± 0.294 | 0.015 | −0.465 ± 0.233 | 0.028 | 0.556 ± 0.953 | 0.560 | 0.150 ± 0.377 | 0.692 |
| Day–Saturday | −0.355 ± 0.206 | 0.022 | −0.349 ± 0.189 | 0.039 | 0.917 ± 0.898 | 0.309 | 0.175 ± 0.377 | 0.643 |
| Day–Sunday | 0.090 ± 0.272 | 0.746 | 0.133 ± 0.252 | 0.649 | 1.428 ± 0.850 | 0.095 | 0.164 ± 0.381 | 0.666 |
| Temperature (°C) | 0.079 ± 0.031 | 0.017 | 0.195 ± 0.037 | <0.001 | NA | NA | ||
| Wind (km/h) | −0.082 ± 0.037 | 0.029 | −0.082 ± 0.043 | 0.050 | NA | NA | ||
| Year | 0.711 ± 0.160 | <0.001 | 0.777 ± 0.170 | <0.001 | NA | −0.598 ± 0.198 | 0.003 | |
| Evening Bat | Tricolored Bat | Mexican Free-Tailed Bat | ||||||
| Bat Passes | 1943 | 268 | 243 | |||||
| Day–Tuesday | 0.251 ± 0.390 | 0.191 | 0.800 ± 0.467 | 0.070 | 0.767 ± 0.431 | 0.074 | ||
| Day–Wednesday | 0.193 ± 0.329 | 0.654 | 0.329 ± 0.539 | 0.520 | 0.332 ± 0.465 | 0.472 | ||
| Day–Thursday | 0.072 ± 0.373 | 0.867 | 0.335 ± 0.456 | 0.500 | 0.332 ± 0.446 | 0.467 | ||
| Day–Friday | −0.525 ± 0.362 | 0.037 | 0.404 ± 0.500 | 0.420 | 0.539 ± 0.442 | 0.230 | ||
| Day–Saturday | −0.664 ± 0.384 | 0.023 | 0.469 ± 0.450 | 0.350 | 0.736 ± 0.456 | 0.097 | ||
| Day–Sunday | 0.205 ± 0.400 | 0.208 | 0.551 ± 0.475 | 0.250 | 0.511 ± 0.441 | 0.261 | ||
| Temperature (°C) | 0.085 ± 0.044 | 0.006 | 0.260 ± 0.058 | <0.001 | 0.106 ± 0.046 | 0.021 | ||
| Wind (km/h) | NA | −0.168 ± 0.069 | 0.016 | NA | ||||
| Year | 1.526 ± 0.274 | <0.001 | NA | −0.978 ± 0.241 | <0.001 | |||
© 2020 by the authors. Licensee MDPI, Basel, Switzerland. This article is an open access article distributed under the terms and conditions of the Creative Commons Attribution (CC BY) license (http://creativecommons.org/licenses/by/4.0/).
Share and Cite
Li, H.; Crihfield, C.; Feng, Y.; Gaje, G.; Guzman, E.; Heckman, T.; Mellis, A.; Moore, L.; Romo Bechara, N.; Sanchez, S.; et al. The Weekend Effect on Urban Bat Activity Suggests Fine Scale Human-Induced Bat Movements. Animals 2020, 10, 1636. https://doi.org/10.3390/ani10091636
Li H, Crihfield C, Feng Y, Gaje G, Guzman E, Heckman T, Mellis A, Moore L, Romo Bechara N, Sanchez S, et al. The Weekend Effect on Urban Bat Activity Suggests Fine Scale Human-Induced Bat Movements. Animals. 2020; 10(9):1636. https://doi.org/10.3390/ani10091636
Chicago/Turabian StyleLi, Han, Chase Crihfield, Yashi Feng, Gabriella Gaje, Elissa Guzman, Talia Heckman, Anna Mellis, Lauren Moore, Nayma Romo Bechara, Sydney Sanchez, and et al. 2020. "The Weekend Effect on Urban Bat Activity Suggests Fine Scale Human-Induced Bat Movements" Animals 10, no. 9: 1636. https://doi.org/10.3390/ani10091636
APA StyleLi, H., Crihfield, C., Feng, Y., Gaje, G., Guzman, E., Heckman, T., Mellis, A., Moore, L., Romo Bechara, N., Sanchez, S., Whittington, S., Wolf, J. G., Garshong, R., Morales, K., Petric, R., Zarecky, L. A., & Schug, M. D. (2020). The Weekend Effect on Urban Bat Activity Suggests Fine Scale Human-Induced Bat Movements. Animals, 10(9), 1636. https://doi.org/10.3390/ani10091636

