Risky Business: Live Non-CITES Wildlife UK Imports and the Potential for Infectious Diseases
Simple Summary
Abstract
1. Introduction
1.1. Global Wildlife Trade
1.2. Trade Data
1.3. This Study
2. Materials and Methods
2.1. Data Collection
2.2. Data Management
2.3. Statistical Analysis
3. Results
3.1. Total Volume Traded
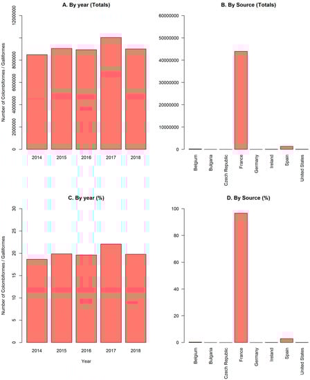
3.2. Columbiformes and Galliformes
3.3. All Other Taxa
3.4. Country of Export
3.5. Taxa of Concern
4. Discussion
4.1. Species
4.2. Exporting Countries
4.3. Current Biosecurity Measures
4.4. Data Gaps
4.5. Study Limitations
4.6. Recommendations
5. Conclusions
Author Contributions
Funding
Acknowledgments
Conflicts of Interest
Appendix A

Appendix B

Appendix C
| Taxa | N. Trades | Volume | Mean Volume | N. Trades (%) | Volume (%) |
|---|---|---|---|---|---|
| Anura | 90 | 2,492,155 | 27,690.61 | 4.97 | 73.06 |
| Arachnida | 4 | 1083 | 270.75 | 0.22 | 0.03 |
| Artiodactyla | 171 | 2839 | 16.60 | 9.44 | 0.08 |
| Carnivora | 130 | 943 | 7.25 | 7.17 | 0.03 |
| Casuariiformes_Rheiformes_Struthioniformes | 11 | 4792 | 435.64 | 0.61 | 0.14 |
| Caudata | 1 | 1 | 1.00 | 0.06 | 0.00 |
| Chiroptera | 4 | 81 | 20.25 | 0.22 | 0.00 |
| Colombiformes | 15 | 1121 | 74.73 | 0.83 | 0.03 |
| Crocodylia | 18 | 2731 | 151.72 | 0.99 | 0.08 |
| Dasyuromorphia | 2 | 15 | 7.50 | 0.11 | 0.00 |
| Diprotodontia | 9 | 73 | 8.11 | 0.50 | 0.00 |
| Insectivorae | 4 | 3203 | 800.75 | 0.22 | 0.09 |
| Lagomorpha | 19 | 29,817 | 1569.32 | 1.05 | 0.87 |
| Not_recorded | 259 | 12,749 | 49.22 | 14.29 | 0.37 |
| Other birds | 191 | 18,369 | 96.17 | 10.54 | 0.54 |
| Perissodactyla | 5 | 7 | 1.40 | 0.28 | 0.00 |
| Pinnipedae | 1 | 1 | 1.00 | 0.06 | 0.00 |
| Proboscida | 1 | 1 | 1.00 | 0.06 | 0.00 |
| Psittaciformes | 215 | 74,829 | 348.04 | 11.87 | 2.19 |
| Rhyncocephalia | 2 | 3653 | 1826.50 | 0.11 | 0.11 |
| Rodentia | 52 | 113,650 | 2185.58 | 2.87 | 3.33 |
| Squamata | 151 | 348,151 | 2305.64 | 8.33 | 10.21 |
| Testudinata | 82 | 224,237 | 2734.60 | 4.53 | 6.57 |
| Unknown mixed import | 371 | 76,512 | 206.23 | 20.47 | 2.24 |
| Xenarthra | 4 | 8 | 2.00 | 0.22 | 0.00 |
Appendix D
| Origin | Destination | Trades | Total Volume | Mean Volume | Number of Records (%) | Volume (%) |
|---|---|---|---|---|---|---|
| Antigua And Barbuda | United Kingdom | 1 | 9 | 9.00 | 0.06 | 0.00 |
| Australia | United Kingdom | 11 | 96 | 8.73 | 0.61 | 0.00 |
| Austria | United Kingdom | 27 | 2506 | 92.81 | 1.49 | 0.07 |
| Barbados | United Kingdom | 6 | 1080 | 180.00 | 0.33 | 0.03 |
| Belgium | United Kingdom | 102 | 9557 | 93.70 | 5.63 | 0.28 |
| Benin | United Kingdom | 1 | 100 | 100.00 | 0.06 | 0.00 |
| Bermuda | United Kingdom | 1 | 54 | 54.00 | 0.06 | 0.00 |
| Brazil | United Kingdom | 3 | 79 | 26.33 | 0.17 | 0.00 |
| Brunei Darussalam | United Kingdom | 1 | 8 | 8.00 | 0.06 | 0.00 |
| Bulgaria | United Kingdom | 10 | 90 | 9.00 | 0.55 | 0.00 |
| Cameroon | United Kingdom | 6 | 21,379 | 3563.17 | 0.33 | 0.63 |
| Canada | United Kingdom | 16 | 242 | 15.12 | 0.88 | 0.01 |
| Chile | United Kingdom | 1 | 2 | 2.00 | 0.06 | 0.00 |
| Croatia | United Kingdom | 5 | 48 | 9.60 | 0.28 | 0.00 |
| Curaçao | United Kingdom | 1 | 1 | 1.00 | 0.06 | 0.00 |
| Cyprus | United Kingdom | 6 | 39 | 6.50 | 0.33 | 0.00 |
| Czech Republic | United Kingdom | 444 | 163,491 | 368.22 | 24.50 | 4.79 |
| Denmark | United Kingdom | 33 | 97 | 2.94 | 1.82 | 0.00 |
| Ecuador | United Kingdom | 1 | 16 | 16.00 | 0.06 | 0.00 |
| Egypt | United Kingdom | 6 | 11,189 | 1864.83 | 0.33 | 0.33 |
| El Salvador | United Kingdom | 9 | 14,475 | 1,608.33 | 0.50 | 0.42 |
| Estonia | United Kingdom | 4 | 5 | 1.25 | 0.22 | 0.00 |
| Finland | United Kingdom | 8 | 307 | 38.38 | 0.44 | 0.01 |
| France | United Kingdom | 87 | 4476 | 51.45 | 4.80 | 0.13 |
| Gambia | United Kingdom | 1 | 3 | 3.00 | 0.06 | 0.00 |
| Germany | United Kingdom | 142 | 9000 | 63.38 | 7.84 | 0.26 |
| Ghana | United Kingdom | 23 | 87,028 | 3783.83 | 1.27 | 2.55 |
| Gibraltar | United Kingdom | 1 | 30 | 30.00 | 0.06 | 0.00 |
| Greece | United Kingdom | 11 | 168 | 15.27 | 0.61 | 0.00 |
| Guinea | United Kingdom | 1 | 6 | 6.00 | 0.06 | 0.00 |
| Guyana | United Kingdom | 10 | 4330 | 433.00 | 0.55 | 0.13 |
| Hong Kong | United Kingdom | 12 | 36,069 | 3005.75 | 0.66 | 1.06 |
| Hungary | United Kingdom | 23 | 1559 | 67.78 | 1.27 | 0.05 |
| India | United Kingdom | 1 | 2 | 2.00 | 0.06 | 0.00 |
| Indonesia | United Kingdom | 21 | 68,231 | 3249.10 | 1.16 | 2.00 |
| Ireland | United Kingdom | 32 | 469 | 14.66 | 1.77 | 0.01 |
| Italy | United Kingdom | 86 | 53,037 | 616.71 | 4.75 | 1.55 |
| Japan | United Kingdom | 4 | 51 | 12.75 | 0.22 | 0.00 |
| Kazakhstan | United Kingdom | 2 | 5 | 2.50 | 0.11 | 0.00 |
| Kenya | United Kingdom | 7 | 1713 | 244.71 | 0.39 | 0.05 |
| Korea | United Kingdom | 2 | 4 | 2.00 | 0.11 | 0.00 |
| Kuwait | United Kingdom | 2 | 16 | 8.00 | 0.11 | 0.00 |
| Latvia | United Kingdom | 5 | 64 | 12.80 | 0.28 | 0.00 |
| Lebanon | United Kingdom | 3 | 4 | 1.33 | 0.17 | 0.00 |
| Lithuania | United Kingdom | 4 | 17 | 4.25 | 0.22 | 0.00 |
| Luxembourg | United Kingdom | 4 | 90 | 22.50 | 0.22 | 0.00 |
| Madagascar | United Kingdom | 15 | 10,070 | 671.33 | 0.83 | 0.30 |
| Malaysia | United Kingdom | 6 | 1325 | 220.83 | 0.33 | 0.04 |
| Maldives | United Kingdom | 1 | 1 | 1.00 | 0.06 | 0.00 |
| Malta | United Kingdom | 1 | 1 | 1.00 | 0.06 | 0.00 |
| Mauritius | United Kingdom | 8 | 6552 | 819.00 | 0.44 | 0.19 |
| Mongolia | United Kingdom | 1 | 1 | 1.00 | 0.06 | 0.00 |
| Mozambique | United Kingdom | 5 | 15,786 | 3,157.20 | 0.28 | 0.46 |
| New Zealand | United Kingdom | 8 | 122 | 15.25 | 0.44 | 0.00 |
| Nicaragua | United Kingdom | 7 | 13,088 | 1,869.71 | 0.39 | 0.38 |
| Nigeria | United Kingdom | 8 | 21,455 | 2,681.88 | 0.44 | 0.63 |
| North Macedonia | United Kingdom | 3 | 4800 | 1600.00 | 0.17 | 0.14 |
| Norway | United Kingdom | 5 | 103 | 20.60 | 0.28 | 0.00 |
| Peru | United Kingdom | 4 | 459 | 114.75 | 0.22 | 0.01 |
| Philippines | United Kingdom | 1 | 2 | 2.00 | 0.06 | 0.00 |
| Poland | United Kingdom | 47 | 1429 | 30.40 | 2.59 | 0.04 |
| Portugal | United Kingdom | 7 | 25 | 3.57 | 0.39 | 0.00 |
| Qatar | United Kingdom | 1 | 17 | 17.00 | 0.06 | 0.00 |
| Romania | United Kingdom | 4 | 47 | 11.75 | 0.22 | 0.00 |
| Russia | United Kingdom | 3 | 5 | 1.67 | 0.17 | 0.00 |
| Serbia | United Kingdom | 5 | 8250 | 1650.00 | 0.28 | 0.24 |
| Singapore | United Kingdom | 10 | 225,785 | 22,578.50 | 0.55 | 6.62 |
| Slovakia | United Kingdom | 74 | 26,805 | 362.23 | 4.08 | 0.79 |
| Slovenia | United Kingdom | 3 | 409 | 136.33 | 0.17 | 0.01 |
| Solomon Islands | United Kingdom | 1 | 221 | 221.00 | 0.06 | 0.01 |
| South Africa | United Kingdom | 10 | 1864 | 186.40 | 0.55 | 0.05 |
| Spain | United Kingdom | 59 | 61,117 | 1035.88 | 3.26 | 1.79 |
| Sudan | United Kingdom | 2 | 331 | 165.50 | 0.11 | 0.01 |
| Suriname | United Kingdom | 7 | 2764 | 394.86 | 0.39 | 0.08 |
| Sweden | United Kingdom | 28 | 330 | 11.79 | 1.55 | 0.01 |
| Switzerland | United Kingdom | 42 | 247 | 5.88 | 2.32 | 0.01 |
| Taiwan | United Kingdom | 1 | 1 | 1.00 | 0.06 | 0.00 |
| Tanzania | United Kingdom | 10 | 28,277 | 2,827.70 | 0.55 | 0.83 |
| Thailand | United Kingdom | 5 | 2396 | 479.20 | 0.28 | 0.07 |
| The Netherlands | United Kingdom | 79 | 11,042 | 139.77 | 4.36 | 0.32 |
| Togo | United Kingdom | 6 | 7186 | 1197.67 | 0.33 | 0.21 |
| Turkey | United Kingdom | 6 | 7319 | 1219.83 | 0.33 | 0.21 |
| UAE | United Kingdom | 7 | 528 | 75.43 | 0.39 | 0.02 |
| Ukraine | United Kingdom | 2 | 460 | 230.00 | 0.11 | 0.01 |
| United Kingdom | United Kingdom | 50 | 817 | 16.34 | 2.76 | 0.02 |
| United States | United Kingdom | 49 | 2,320,343 | 47,353.94 | 2.70 | 68.02 |
| Uzbekistan | United Kingdom | 12 | 59,524 | 4960.33 | 0.66 | 1.75 |
| Venezuela | United Kingdom | 1 | 1 | 1.00 | 0.06 | 0.00 |
| Viet Nam | United Kingdom | 18 | 77,234 | 4290.78 | 0.99 | 2.26 |
| Zambia | United Kingdom | 3 | 1240 | 413.33 | 0.17 | 0.04 |
Appendix E
| Source Taxa | Zoonotic Disease |
|---|---|
| Amphibians | Campylobacteriosis *; Endemic relapsing fever; Gastroenteritis; Mycobacteriosis/Tuberculosis; Salmonellosis *; Streptococcosis *; Yersiniosis; |
| Vibriosis; Leptospirosis *; Hepatitis-A; Western Encephalitis; West Nile virus; Coccidiomycosis; Cryptococcosis; Septicaemia | |
| Reptiles | Campylobacteriosis *; Endemic relapsing fever; Gastroenteritis; Mycobacteriosis/Tuberculosis; Salmonellosis *; Streptococcosis *; Yersiniosis; Q-fever *; Vibriosis; Leptospirosis *; Western encephalitis; West Nile virus; Coccidiomycosis; Cryptococcosis; Septicaemia |
| Birds | Campylobacteriosis *; Gastroenteritis; Mycobacteriosis/Tuberculosis; Salmonellosis; Yersiniosis; Septicaemia/general infection; Pneumonia; |
| Dermatitis; Psittacosis *; Q-fever *; Vibriosis; Leptospirosis *; Western encephalitis; Avian influenza *; Newcastle disease; Cryptococcosis; Septicaemia; Histoplasmosis | |
| Mammals | Campylobacteriosis *; Endemic relapsing fever; Gastroenteritis; Mycobacteriosis/Tuberculosis; Salmonellosis; Yersiniosis; Septicaemia/general infection; Bartonellosis; Pneumonia *; Psittacosis *; Q-fever *; Brucellosis |
| Leptospirosis *; Hepatitis-A; West Nile virus; Herpesvirus simiae-B; Monkeypox; Molloscum contagiosum; Measles; Rabies *; Haemorrhagic fever; Newcastle disease; Cowpox *; Coccidiomycosis; Streptothricosis *; Candidiasis; Ringworm *; Histoplasmosis |
Appendix F

References
- Robinson, J.E.; Griffiths, R.A.; Fraser, I.M.; Raharimalala, J.; Roberts, D.L.; St. John, F.A.V. Supplying the wildlife trade as a livelihood strategy in a biodiversity hotspot. Ecol. Soc. 2018, 23. [Google Scholar] [CrossRef]
- Smith, K.M.; Zambrana-Torrelio, C.; White, A.; Asmussen, M.; Machalaba, C.; Kennedy, S.; Lopez, K.; Wolf, T.M.; Daszak, P.; Travis, D.A. Summarizing US wildlife trade with an eye toward assessing the risk of infectious disease introduction. EcoHealth 2017, 14, 29–39. [Google Scholar] [CrossRef] [PubMed]
- ‘T Sas-Rolfes, M.; Challender, D.W.; Hinsley, A.; Veríssimo, D.; Milner-Gulland, E.J. Illegal Wildlife Trade: Scale, Processes, and Governance. Ann. Rev. Environ. Resour. 2019, 44, 201–228. [Google Scholar] [CrossRef]
- IPBES. Global Assessment on Biodiversity and Services of the Intergovernmental Science-Policy Platform on Biodiversity and Ecosystem Services; Brondizio, E.S., Settele, J., Díaz, S., Ngo, H.T., Eds.; IPBES secretariat: Bonn, Germany, 2019. [Google Scholar]
- Smith, K.F.; Behrens, M.; Schloegel, L.M.; Marano, N.; Burgiel, S.; Daszak, P. Reducing the risks of the wildlife trade. Science 2009, 324, 594–595. [Google Scholar] [CrossRef] [PubMed]
- Eskew, E.A.; White, A.M.; Ross, N.; Smith, K.M.; Smith, K.F.; Rodríguez, J.P.; Zambrana-Torrelio, C.; Karesh, W.B.; Daszak, P. United States wildlife and wildlife product imports from 2000–2014. Sci. Data 2020, 7, 1–8. [Google Scholar] [CrossRef]
- Karesh, W.B.; Cook, R.A.; Bennett, E.L.; Newcomb, J. Wildlife trade and global disease emergence. Emerg. Infect. Dis. 2005, 11, 1000. [Google Scholar] [CrossRef]
- Greenberg, D.A.; Palen, W.J. A deadly amphibian disease goes global. Science 2019, 363, 1386–1388. [Google Scholar] [CrossRef]
- Jones, K.E.; Patel, N.G.; Levy, M.A.; Storeygard, A.; Balk, D.; Gittleman, J.L.; Daszak, P. Global trends in emerging infectious diseases. Nature 2008, 451, 990–993. [Google Scholar] [CrossRef]
- Shereen, M.A.; Khan, S.; Kazmi, A.; Bashir, N.; Siddique, R. COVID-19 infection: Origin, transmission, and characteristics of human coronaviruses. J. Adv. Res. 2020, 24, 91–98. [Google Scholar] [CrossRef]
- Fukushima, C.S.; Mammola, S.; Cardoso, P. Global wildlife trade permeates the Tree of Life. Biol. Conserv. 2020, 247, 108503. [Google Scholar] [CrossRef]
- Can, Ö.E.; D’Cruze, N.; Macdonald, D.W. Dealing in deadly pathogens: Taking stock of the legal trade in live wildlife and potential risks to human health. Global Ecol. Conserv. 2019, 17, e00515. [Google Scholar] [CrossRef]
- Baker, S.E.; Cain, R.; Van Kesteren, F.; Zommers, Z.A.; D’cruze, N.; Macdonald, D.W. Rough trade: Animal welfare in the global wildlife trade. BioScience 2013, 63, 928–938. [Google Scholar]
- Norconk, M.A.; Atsalis, S.; Tully, G.; Santillán, A.M.; Waters, S.; Knott, C.D.; Ross, S.R.; Shanee, S.; Stiles, D. Reducing the primate pet trade: Actions for primatologists. Am. J. Primatol. 2020, 82, e23079. [Google Scholar] [CrossRef] [PubMed]
- Spee, L.B.; Hazel, S.J.; Dal Grande, E.; Boardman, W.S.; Chaber, A.-L. Endangered Exotic Pets on Social Media in the Middle East: Presence and Impact. Animals 2019, 9, 480. [Google Scholar] [CrossRef] [PubMed]
- Warwick, C.; Steedman, C.; Jessop, M.; Arena, P.; Pilny, A.; Nicholas, E. Exotic pet suitability: Understanding some problems and using a labeling system to aid animal welfare, environment, and consumer protection. J. Vet. Behav. 2018, 26, 17–26. [Google Scholar] [CrossRef]
- Mermin, J.; Hutwagner, L.; Vugia, D.; Shallow, S.; Daily, P.; Bender, J.; Koehler, J.; Marcus, R.; Angulo, F.J.; Group, E.I.P.F.W. Reptiles, amphibians, and human Salmonella infection: A population-based, case-control study. Clin. Infect. Dis. 2004, 38, S253–S261. [Google Scholar] [CrossRef]
- Moorhouse, T.P.; Balaskas, M.; D’Cruze, N.C.; Macdonald, D.W. Information could reduce consumer demand for exotic pets. Conserv. Lett. 2017, 10, 337–345. [Google Scholar] [CrossRef]
- Bush, E.R.; Baker, S.E.; Macdonald, D.W. Global Trade in Exotic Pets 2006–2012. Conserv. Biol. 2014, 28, 663–676. [Google Scholar] [CrossRef]
- Lockwood, J.L.; Welbourne, D.J.; Romagosa, C.M.; Cassey, P.; Mandrak, N.E.; Strecker, A.; Leung, B.; Stringham, O.C.; Udell, B.; Episcopio-Sturgeon, D.J. When pets become pests: The role of the exotic pet trade in producing invasive vertebrate animals. Front. Ecol. Environ. 2019, 17, 323–330. [Google Scholar] [CrossRef]
- APHA. Animal and Plant Health Agency: Addlestone, UK. 2020. Available online: https://www.gov.uk/government/organisations/animal-and-plant-health-agency (accessed on 2 August 2020).
- Scheffers, B.R.; Oliveira, B.F.; Lamb, I.; Edwards, D.P. Global wildlife trade across the tree of life. Science 2019, 366, 71–76. [Google Scholar] [CrossRef]
- Wickham, H. ggplot2: Elegant Graphics for Data Analysis; Springer: New York, NY, USA, 2016; ISBN 978-3-319-24277-4. [Google Scholar]
- Gu, Z.; Gu, L.; Eils, R.; Schlesner, M.; Brors, B. Circlize implements and enhances circular visualization in R. Bioinformatics 2014, 30. [Google Scholar] [CrossRef] [PubMed]
- Han, B.A.; Kramer, A.M.; Drake, J.M. Global patterns of zoonotic disease in mammals. Trends Parasitol. 2016, 32, 565–577. [Google Scholar] [CrossRef] [PubMed]
- Olival, K.J.; Hosseini, P.R.; Zambrana-Torrelio, C.; Ross, N.; Bogich, T.L.; Daszak, P. Host and viral traits predict zoonotic spillover from mammals. Nature 2017, 546, 646–650. [Google Scholar] [CrossRef]
- Rajgor, D.D.; Lee, M.H.; Archuleta, S.; Bagdasarian, N.; Quek, S.C. The many estimates of the COVID-19 case fatality rate. Lancet Infect. Dis. 2020. [Google Scholar] [CrossRef]
- Wood, J.L.N.; Leach, M.; Waldman, L.; MacGregor, H.; Fooks, A.R.; Jones, K.E.; Restif, O.; Dechmann, D.; Hayman, D.T.S.; Baker, K.S.; et al. A framework for the study of zoonotic disease emergence and its drivers: Spillover of bat pathogens as a case study. Philos. Trans. Royal Soc. B Biol. Sci. 2012, 367, 2881–2892. [Google Scholar] [CrossRef]
- Zhang, T.; Wu, Q.; Zhang, Z. Probable pangolin origin of SARS-CoV-2 associated with the COVID-19 outbreak. Curr. Biol. 2020, 30, 1346–1351. [Google Scholar] [CrossRef]
- CDC. Reptiles and Amphibians; Center for Disease Control and Prevention: Atlanta, GA, USA, 2020. [Google Scholar]
- PHE. List of Zoonotic Diseases; Public Health England: London, UK, 2020. [Google Scholar]
- BBC. China Bubonic Plague: Inner Mongolia Takes Precautions after Case. BBC News. 6 July 2020. Available online: https://www.bbc.co.uk/news/world-asia-china-53303457 (accessed on 30 July 2020).
- Benskin, C.M.H.; Wilson, K.; Jones, K.; Hartley, I.R. Bacterial pathogens in wild birds: A review of the frequency and effects of infection. Biol. Rev. 2009, 84, 349–373. [Google Scholar] [CrossRef]
- Rosen, G.E.; Smith, K.F. Summarizing the evidence on the international trade in illegal wildlife. EcoHealth 2010, 7, 24–32. [Google Scholar] [CrossRef]
- Simpson, V.R. Wild animals as reservoirs of infectious diseases in the UK. Vet. J. 2002, 163, 128–146. [Google Scholar] [CrossRef]
- McGrath, M. EU Ban on Bird Imports Sees “Massive” Cuts in Global Trade. BBC. 22 November 2017. Available online: https://www.bbc.co.uk/news/science-environment-42068258 (accessed on 2 August 2020).
- Jorn, K.S.; Thompson, K.M.; Larson, J.M.; Blair, J.E. Polly can make you sick: Pet bird-associated diseases. Cleve. Clin. J. Med. 2009, 76, 235–243. [Google Scholar] [CrossRef]
- Mihalca, A.D. Ticks imported to Europe with exotic reptiles. Vet. Parasitol. 2015, 213, 67–71. [Google Scholar] [CrossRef] [PubMed]
- Pasmans, F.; Bogaerts, S.; Braeckman, J.; Cunningham, A.A.; Hellebuyck, T.; Griffiths, R.A.; Sparreboom, M.; Schmidt, B.R.; Martel, A. Future of keeping pet reptiles and amphibians: Towards integrating animal welfare, human health and environmental sustainability. Vet. Rec. 2017, 181. [Google Scholar] [CrossRef] [PubMed]
- Tappe, D.; Meyer, M.; Oesterlein, A.; Jaye, A.; Frosch, M.; Schoen, C.; Pantchev, N. Transmission of Armillifer armillatus ova at snake farm, The Gambia, West Africa. Emerg. Infect. Dis. 2011, 17, 251–254. [Google Scholar] [CrossRef] [PubMed]
- Harrington, L.A.; Green, J.; Muinde, P.; Macdonald, D.W.; Auliya, M.; D’Cruze, N. Snakes and ladders: A review of ball python production in West Africa for the global pet market. Nat. Conserv. 2020, 41, 1. [Google Scholar] [CrossRef]
- Fèvre, E.M.; Bronsvoort, B.M.d.C.; Hamilton, K.A.; Cleaveland, S. Animal movements and the spread of infectious diseases. Trends Microbiol. 2006, 14, 125–131. [Google Scholar] [CrossRef]
- Preventing the Next Pandemic: Zoonotic Diseases and How to Break the Chain of Transmission; United Nations Environment Programme and International Livestock Research Institute: Niarobi, Kenya, July 2020; Available online: https://hdl.handle.net/10568/108707 (accessed on 1 August 2020).
- Miller, D.; Gray, M.; Storfer, A. Ecopathology of Ranaviruses Infecting Amphibians. Viruses 2011, 3, 2351–2373. [Google Scholar] [CrossRef]
- Allen, T.; Murray, K.A.; Zambrana-Torrelio, C.; Morse, S.S.; Rondinini, C.; Di Marco, M.; Breit, N.; Olival, K.J.; Daszak, P. Global hotspots and correlates of emerging zoonotic diseases. Nat. Commun. 2017, 8, 1–10. [Google Scholar] [CrossRef]
- Watsa, M.; Wildlife Disease Surveillance Focus Group. Rigorous wildlife disease surveillance. Science 2020, 369, 145–147. [Google Scholar] [CrossRef]
- Borsky, S.; Hennighausen, H.; Leiter, A.; Williges, K. CITES and the Zoonotic Disease Content in International Wildlife Trade. Environ. Resour. Econ. 2020, 76, 1–17. [Google Scholar] [CrossRef]
- Weissgold, B.; Knights, P.; Leiberman, S.; Mittermeier, R. How We Can Use the CITES Wildlife Trade Agreement to Help Prevent Pandemics. Scientific American. 24 August 2020. Available online: https://www.scientificamerican.com/article/how-we-can-use-the-cites-wildlife-trade-agreement-to-help-prevent-pandemics (accessed on 25 August 2020).
- Smith, K.; Machalaba, C.M.; Jones, H.; Caceres, P.; Popovic, M.; Olival, K.J.; Ben Jebara, K.; Karesh, W.B. Wildlife hosts for OIE-Listed diseases: Considerations regarding global wildlife trade and host-pathogen relationships. Vet. Med. Sci. 2017, 3, 71–81. [Google Scholar] [CrossRef]
- OIE. Training Manual on Wildlife Diseases and Surveillance; World Organisation for Animal Health: Paris, France, 2010. [Google Scholar]
- DEFRA. A Description of the UK System of Controls on Imports of Live Animals and Products of Animal Origin and Evaluation of its Performance to Protect Public and Animal Health; DEFRA: London, UK, 2017. [Google Scholar]
- Dalton, J. Primates imported to UK for laboratory experiments triple in a year to 6752. The Independent, 2020. [Google Scholar]
- Morand, S.; McIntyre, K.M.; Baylis, M. Domesticated animals and human infectious diseases of zoonotic origins: Domestication time matters. Infect. Genet. Evol. 2014, 24, 76–81. [Google Scholar] [CrossRef] [PubMed]
- UNEP-WCMC. A Guide to Using the CITES Trade Database; United Nations Environment Program, World Conservation Monitoring Centre: Cambridge, UK, 2013. [Google Scholar]
- Phelps, J.; Webb, E.L.; Bickford, D.; Nijman, V.; Sodhi, N.S. Boosting CITES. Science 2010, 330, 1752–1753. [Google Scholar] [CrossRef] [PubMed]
- Blundell, A.G.; Mascia, M.B. Discrepancies in reported levels of international wildlife trade. Conserv. Biol. 2005, 19, 2020–2025. [Google Scholar] [CrossRef]
- Wendt, A.; Kreienbrock, L.; Campe, A. Zoonotic disease surveillance-inventory of systems integrating human and animal disease information. Zoonoses Public Health 2015, 62, 61–74. [Google Scholar] [CrossRef]
- Grogan, L.F.; Berger, L.; Rose, K.; Grillo, V.; Cashins, S.D.; Skerratt, L.F. Surveillance for emerging biodiversity diseases of wildlife. PLoS Pathog. 2014, 10, e1004015. [Google Scholar] [CrossRef]
- Thompson, R.A. Parasite zoonoses and wildlife: One health, spillover and human activity. Int. J. Parasitol. 2013, 43, 1079–1088. [Google Scholar] [CrossRef]
- Barlow, A.M.; Gottstein, B.; Müller, N. Echinococcus multilocularis in an imported captive European beaver (Castor fiber) in Great Britain. Vet. Rec. 2011, 169, 339. [Google Scholar] [CrossRef]
- Budgey, R.; Learmount, J.; Smith, G.C. Simulating control of a focal wildlife outbreak of Echinococcus multilocularis. Vet. Parasitol. 2017, 237, 47–56. [Google Scholar] [CrossRef]
- Buheji, M.; da Costa Cunha, K.; Beka, G.; Mavric, B.; de Souza, Y.L.; da Costa Silva, S.S.; Hanafi, M.; Yein, T.C. The extent of covid-19 pandemic socio-economic impact on global poverty. a global integrative multidisciplinary review. Am. J. Econ. 2020, 10, 213–224. [Google Scholar] [CrossRef]
- Decerf, B.; Ferreira, F.H.; Mahler, D.G.; Sterck, O. Lives and Livelihoods: Estimates of the Global Mortality and Poverty Effects of the Covid-19 Pandemic; The World Bank: Washington, DC, USA, 2020. [Google Scholar]
- Fernandes, N. Economic Effects of Coronavirus Outbreak (COVID-19) on the World Economy. 2020. Available online: https://ssrn.com/abstract=3557504 or http://dx.doi.org/10.2139/ssrn.3557504 (accessed on 30 July 2020).
- WHO; FAO; OIE. Taking a Multisectoral, One Health Approach: A Tripartite Guide to Addressing Zoonotic Diseases in Countries; World Health Organization (WHO); Food and Agriculture Organization of the United Nations (FAO); World Organisation for Animal Health (OIE): Geneve, Switzerland, 2019. [Google Scholar]
- Warwick, C.; Arena, P.; Steedman, C.; Jessop, M. A review of captive exotic animal-linked zoonoses. J. Environ. Health Res. 2012, 12, 9. [Google Scholar]
- Chai, J.-Y.; Murrell, K.D.; Lymbery, A.J. Fish-borne parasitic zoonoses: Status and issues. Int. J. Parasitol. 2005, 35, 1233–1254. [Google Scholar] [CrossRef] [PubMed]
- Krauss, H.; Weber, A.; Appel, M.; Enders, B.; Isenberg, H.D.; Schiefer, H.G.; Slenczka, W.; von Graevenitz, A.; Zahner, H. Zoonoses: Infectious Diseases Transmissible from Animals to Humans; ASM Press: Washington, DC, USA, 2003. [Google Scholar]
- Hubálek, Z.; Rudolf, I. Microbial Zoonoses and Sapronoses; Springer Science & Business Media: Berlin/Heidenberg, Germany, 2010. [Google Scholar]
- Weese, J.S.; Fulford, M. Companion Animal Zoonoses; John Wiley & Sons: Hoboken, NJ, USA, 2011. [Google Scholar]
- Warwick, C. Zoonoses: Drawing the battle lines. Vet Times 2006, 36, 26–28. [Google Scholar]
- Bridges, V.; Kopral, C.; Johnson, R. Reptile and Amphibian Communities in the United States; Centers for Epidemiology and Animal Health: Fort Collins, CO, USA, 2001; p. 36. Available online: http://www.aphis.usda.gov/animal_health/emergingissues/downloads/reptile.pdf (accessed on 9 August 2012).




© 2020 by the authors. Licensee MDPI, Basel, Switzerland. This article is an open access article distributed under the terms and conditions of the Creative Commons Attribution (CC BY) license (http://creativecommons.org/licenses/by/4.0/).
Share and Cite
Green, J.; Coulthard, E.; Norrey, J.; Megson, D.; D’Cruze, N. Risky Business: Live Non-CITES Wildlife UK Imports and the Potential for Infectious Diseases. Animals 2020, 10, 1632. https://doi.org/10.3390/ani10091632
Green J, Coulthard E, Norrey J, Megson D, D’Cruze N. Risky Business: Live Non-CITES Wildlife UK Imports and the Potential for Infectious Diseases. Animals. 2020; 10(9):1632. https://doi.org/10.3390/ani10091632
Chicago/Turabian StyleGreen, Jennah, Emma Coulthard, John Norrey, David Megson, and Neil D’Cruze. 2020. "Risky Business: Live Non-CITES Wildlife UK Imports and the Potential for Infectious Diseases" Animals 10, no. 9: 1632. https://doi.org/10.3390/ani10091632
APA StyleGreen, J., Coulthard, E., Norrey, J., Megson, D., & D’Cruze, N. (2020). Risky Business: Live Non-CITES Wildlife UK Imports and the Potential for Infectious Diseases. Animals, 10(9), 1632. https://doi.org/10.3390/ani10091632

