Food Waste-Assisted Metal Extraction from Printed Circuit Boards: The Aspergillus niger Route
Abstract
1. Introduction
2. Materials and Methods
2.1. Chemicals
2.2. Substrate Preparation and Solid-State Fermentation
2.3. Citric Acid Production and Determination
2.4. Metal Leaching
2.5. Determination of the Metal Content of Leachates by Total Reflection X-ray Fluorescence Analysis
2.6. Statistical Analysis
3. Results and Discussion
3.1. Citric Acid Production
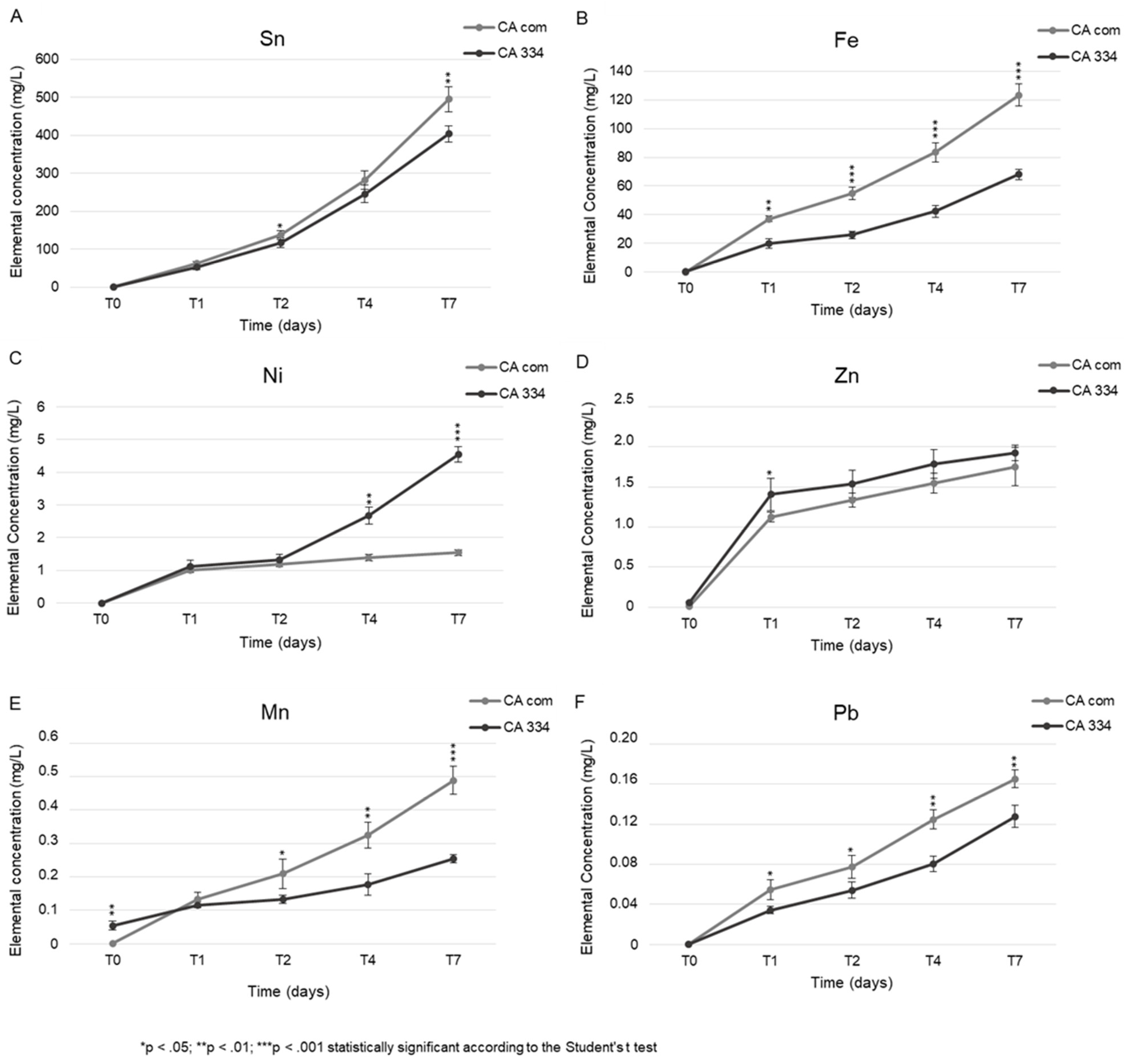
3.2. Metal Leaching
4. Conclusions
Supplementary Materials
Author Contributions
Funding
Acknowledgments
Conflicts of Interest
References
- Awasthi, A.K.; Li, J. An overview of the potential of eco-friendly hybrid strategy for metal recycling from WEEE. Resour. Conserv. Recycl. 2017, 126, 228–239. [Google Scholar] [CrossRef]
- European Commission. Waste Electrical & Electronic Equipment (WEEE). Available online: http://ec.europa.eu/environment/waste/%0Aweee/index_en.htm (accessed on 7 January 2021).
- Thakur, P.; Kumar, S. Metallurgical processes unveil the unexplored “sleeping mines” e-waste: A review. Environ. Sci. Pollut. Res. 2020, 27, 32359–32370. [Google Scholar] [CrossRef] [PubMed]
- Priya, A.; Hait, S. Comparative assessment of metallurgical recovery of metals from electronic waste with special emphasis on bioleaching. Environ. Sci. Pollut. Res. 2017, 24, 6989–7008. [Google Scholar] [CrossRef]
- Forti, V.; Baldé, C.P.; Kuehr, R.; Bel, G. The Global E-Waste Monitor 2020: Quantities, Flows and the Circular Economy Potential; United Nations University/United Nations Institute for Training and Research, International Telecommunication Union, and International Solid Waste Association: Bonn, Germany, 2020; ISBN 9789280891140. [Google Scholar]
- Talens Peiró, L.; Castro Girón, A.; Durany, X.G. Examining the feasibility of the urban mining of hard disk drives. J. Clean. Prod. 2020, 248. [Google Scholar] [CrossRef]
- Joshi, V.; Shah, N.; Wakte, P.; Dhakephalkar, P.; Dhakephalkar, A.; Khobragade, R.; Naphade, B.; Shaikh, S.; Deshmukh, A.; Adhapure, N. Comparative bioleaching of metals from pulverized and non-pulverized PCBs of cell phone charger: Advantages of non-pulverized PCBs. Environ. Sci. Pollut. Res. 2017, 24, 28277–28286. [Google Scholar] [CrossRef] [PubMed]
- Marra, A.; Cesaro, A.; Belgiorno, V. Recovery opportunities of valuable and critical elements from WEEE treatment residues by hydrometallurgical processes. Environ. Sci. Pollut. Res. 2019, 26, 19897–19905. [Google Scholar] [CrossRef]
- Gu, T.; Rastegar, S.O.; Mousavi, S.M.; Li, M.; Zhou, M. Advances in bioleaching for recovery of metals and bioremediation of fuel ash and sewage sludge. Bioresour. Technol. 2018, 261, 428–440. [Google Scholar] [CrossRef] [PubMed]
- Horeh, N.B.; Mousavi, S.M.; Shojaosadati, S.A. Bioleaching of valuable metals from spent lithium-ion mobile phone batteries using Aspergillus Niger. J. Power Sources 2016, 320, 257–266. [Google Scholar] [CrossRef]
- Faraji, F.; Golmohammadzadeh, R.; Rashchi, F.; Alimardani, N. Fungal bioleaching of WPCBs using Aspergillus niger: Observation, optimization and kinetics. J. Environ. Manag. 2018, 217, 775–787. [Google Scholar] [CrossRef] [PubMed]
- Dhillon, G.S.; Brar, S.K.; Kaur, S.; Verma, M. Screening of agro-industrial wastes for citric acid bioproduction by Aspergillus niger NRRL 2001 through solid state fermentation. J. Sci. Food Agric. 2013, 93, 1560–1567. [Google Scholar] [CrossRef] [PubMed]
- Sawant, O.; Mahale, S.; Ramchandran, V.; Nagaraj, G.; Bankar, A. Fungal Citric acid production using waste materials: A mini-review. J. Microbiol. Biotechnol. Food Sci. 2018, 8, 821–828. [Google Scholar] [CrossRef]
- Kumar, D.; Verma, R.; Bhalla, T.C. Citric acid production by Aspergillus niger van. Tieghem MTCC 281 using waste apple pomace as a substrate. J. Food Sci. Technol. 2010, 47, 458–460. [Google Scholar] [CrossRef]
- Dhillon, G.S.; Brar, S.K.; Verma, M.; Tyagi, R.D. Apple pomace ultrafiltration sludge—A novel substrate for fungal bioproduction of citric acid: Optimisation studies. Food Chem. 2011, 128, 864–871. [Google Scholar] [CrossRef]
- FAO. The State of Food and Agriculture—Moving forward on Food Loss and Waste Reduction 2019; FAO: Rome, Italy, 2019. [Google Scholar]
- Stenmarck, Å.; Jensen, C.; Quested, T.; Moates, G.; Buksti, M.; Cseh, B.; Juul, S.; Parry, A.; Politano, A.; Redlingshofer, B.; et al. Estimates of European Food Waste Levels; IVL Swedish Environmental Research Institute: Stockholm, Sweden, 2016. [Google Scholar]
- Tonini, D.; Federica, P.; Fruergaard, T. Environmental impacts of food waste: Learnings and challenges from a case study on UK. Waste Manag. 2018, 76, 744–766. [Google Scholar] [CrossRef]
- Borgese, L.; Dalipi, R.; Riboldi, A.; Bilo, F.; Zacco, A.; Federici, S.; Bettinelli, M.; Bontempi, E.; Depero, L.E. Comprehensive approach to the validation of the standard method for total reflection X-ray fluorescence analysis of water. Talanta 2018, 181, 165–171. [Google Scholar] [CrossRef] [PubMed]
- Al Kadhi, O.; Melchini, A.; Mithen, R.; Saha, S. Development of a LC-MS/MS Method for the Simultaneous Detection of Tricarboxylic Acid Cycle Intermediates in a Range of Biological Matrices. J. Anal. Methods Chem. 2017, 2017. [Google Scholar] [CrossRef]
- Peng, H.; Deng, Z.; Chen, X.; Sun, Y.; Zhang, B.; Li, H. Major chemical constituents and antioxidant activities of different extracts from the peduncles of Hovenia acerba lindl. Int. J. Food Prop. 2018, 21, 2135–2155. [Google Scholar] [CrossRef]
- Lingappa, K.; Naik, C.S.; Babu, V.; Ramakrishna, D.; Venkata Longa, M.A.; Sanromản, M.A. Application of Solid State Fermentation to Food Industry, Innovation in Food Engineering: New Techniques and Products; CRC Press: Boca Raton, FL, USA, 2009. [Google Scholar]
- Kareem, S.; Rahman, R. Utilization of banana peels for citric acid production by Aspergillus niger. Agric. Biol. J. N. Am. 2013, 4, 384–387. [Google Scholar] [CrossRef]
- Eurostat Municipal Waste Statistics. Available online: http://ec.europa.eu/eurostat/statistics-explained/index.php/Municipal_waste_statistics (accessed on 8 January 2021).
- Rouches, E.; Herpoel-Gimbert, I.; Steyer, J.P.; Carrere, H. Improvement of anaerobic degradation by white-rot fungi pretreatment of lignocellulosic biomass: A review. Renew. Sustain. Energy Rev. 2016, 59, 179–198. [Google Scholar] [CrossRef]
- Zanellati, A.; Spina, F.; Rolle, L.; Varese, G.C.; Dinuccio, E. Fungal Pretreatments on Non-Sterile Solid Digestate to Enhance Methane Yield and the Sustainability of Anaerobic Digestion. Sustainability 2020, 12, 8549. [Google Scholar] [CrossRef]
- Narayanamurthy, G.; Ramachandra, Y.L.; Rai, S.P.; Ganapathy, P.S.S.; Kavitha, B.T.; Manohara, Y.N. Comparative studies on submerged, liquid surface and solid state fermentation for citric acid production by Aspergillus niger RCNM 17. Asian J. Microbiol. Biotechnol. Environ. Sci. 2008, 10, 361–364. [Google Scholar]
- Saidan, M.; Brown, B.; Valix, M. Leaching of Electronic Waste Using Biometabolised Acids. Chin. J. Chem. Eng. 2012, 20, 530–534. [Google Scholar] [CrossRef]
- Mulligan, C.N.; Kamali, M.; Gibbs, B.F. Bioleaching of heavy metals from a low-grade mining ore using Aspergillus niger. J. Hazard. Mater. 2004, 110, 77–84. [Google Scholar] [CrossRef] [PubMed]
- European Commission. Waste Electrical and Electronic Equipment (WEEE) Directive 2012/19/EU. Available online: https://www.eea.europa.eu/policy-documents/waste-electrical-and-electronic-equipment (accessed on 9 January 2021).
- Zhan, L.; Zhao, X.; Ahmad, Z.; Xu, Z. Leaching behavior of Sb and Br from E-waste flame retardant plastics. Chemosphere 2020, 245, 125684. [Google Scholar] [CrossRef]
- Das, P.; Gabriel, J.-C.P.; Tay, C.Y.; Lee, J.-M. Value-added products from thermochemical treatments of contaminated e-waste plastics. Chemosphere 2021, 269, 129409. [Google Scholar] [CrossRef] [PubMed]
- Jadhav, U.; Su, C.; Hocheng, H. Leaching of metals from large pieces of printed circuit boards using citric acid and hydrogen peroxide. Environ. Sci. Pollut. Res. 2016, 23, 24384–24392. [Google Scholar] [CrossRef] [PubMed]
- Astuti, W.; Hirajima, T.; Sasaki, K.; Okibe, N. Comparison of effectiveness of citric acid and other acids in leaching of low-grade Indonesian saprolitic ores. Miner. Eng. 2016, 85, 1–16. [Google Scholar] [CrossRef]
- Goosey, M.; Stevens, G.; Herman, H.; Baird, P.; Holmes, I.; Kell, D.; Kellner, R.; Butler, S.; Shayler, M.; Holloway, L.; et al. Electronic Waste Management; Hester, R.E., Harrison, R.M., Eds.; Issues in Environmental Science and Technology; The Royal Society of Chemistry: London, UK, 2009; ISBN 978-0-85404-112-1. [Google Scholar]
- Chandane, P.; Jori, C.; Chaudhari, H.; Bhapkar, S.; Deshmukh, S.; Jadhav, U. Bioleaching of copper from large printed circuit boards for synthesis of organic-inorganic hybrid. Environ. Sci. Pollut. Res. 2020, 27, 5797–5808. [Google Scholar] [CrossRef] [PubMed]
- Vassalini, I.; Litvinava, M.; Alessandri, I. All food waste-based membranes for Chromium (VI) removal. Environ. Sustain. 2020, 1–7. [Google Scholar] [CrossRef]
- Maddaloni, M.; Vassalini, I.; Alessandri, I. Green Routes for the Development of Chitin/Chitosan Sustainable Hydrogels. Sustain. Chem. 2020, 1, 325–344. [Google Scholar] [CrossRef]
- Benassi, L.; Alessandri, I.; Vassalini, I. Assessing Green Methods for Pectin Extraction from Waste Orange Peels. Molecules 2021, 26, 1766. [Google Scholar] [CrossRef]



| Constituents | % (w/w) | Amount per Culture (g) |
|---|---|---|
| Banana (peel and pulp)—Musa acuminata Cavendish Subgroup | 30 | 15 |
| Orange peels—Citrus sinensis | 30 | 15 |
| Aubergine—Solanum melongena L. | 5 | 2.5 |
| Courgette—Cucurbita pepo L. | 5 | 2.5 |
| Scraps from yard trimmings—Prunus laurocerasus | 30 | 15 |
| Elements | CA 334 | CA Com | ||
|---|---|---|---|---|
| T0 | T7 | T0 | T7 | |
| Br | 0.06 ± 0.01 | 0.62 ± 0.03 *** | <LOD | 0.65 ± 0.09 ** |
| Cr | <LOD | 0.04 ± 0.02 | <LOD | 0.08 ± 0.05 |
| Cu | 0.013 ± 0.004 | 0.04 ± 0.01 * | <LOD | 0.04 ± 0.03 * |
| Fe | 0.09 ± 0.01 | 67.99 ± 3.52 *** | 0.01 ± 0.00 | 123.46 ± 7.69 *** |
| Mn | 0.05 ± 0.01 | 0.25 ± 0.01 *** | <LOD | 0.49 ± 0.04 *** |
| Ni | <LOD | 4.55 ± 0.24 *** | <LOD | 1.54 ± 0.10 *** |
| Pb | <LOD | 0.12 ± 0.01 *** | <LOD | 0.16 ± 0.01 *** |
| Sn | <LOD | 404.09 ± 21.15 *** | <LOD | 495.10 ± 33.20 *** |
| Sr | 0.031 ± 0.022 | 0.04 ± 0.01 | <LOD | 0.05 ± 0.01 ** |
| Zn | 0.06 ± 0.01 | 1.92 ± 0.10 *** | 0.017 ± 0.006 | 1.75 ± 0.24 ** |
Publisher’s Note: MDPI stays neutral with regard to jurisdictional claims in published maps and institutional affiliations. |
© 2021 by the authors. Licensee MDPI, Basel, Switzerland. This article is an open access article distributed under the terms and conditions of the Creative Commons Attribution (CC BY) license (https://creativecommons.org/licenses/by/4.0/).
Share and Cite
Alias, C.; Bulgari, D.; Bilo, F.; Borgese, L.; Gianoncelli, A.; Ribaudo, G.; Gobbi, E.; Alessandri, I. Food Waste-Assisted Metal Extraction from Printed Circuit Boards: The Aspergillus niger Route. Microorganisms 2021, 9, 895. https://doi.org/10.3390/microorganisms9050895
Alias C, Bulgari D, Bilo F, Borgese L, Gianoncelli A, Ribaudo G, Gobbi E, Alessandri I. Food Waste-Assisted Metal Extraction from Printed Circuit Boards: The Aspergillus niger Route. Microorganisms. 2021; 9(5):895. https://doi.org/10.3390/microorganisms9050895
Chicago/Turabian StyleAlias, Carlotta, Daniela Bulgari, Fabjola Bilo, Laura Borgese, Alessandra Gianoncelli, Giovanni Ribaudo, Emanuela Gobbi, and Ivano Alessandri. 2021. "Food Waste-Assisted Metal Extraction from Printed Circuit Boards: The Aspergillus niger Route" Microorganisms 9, no. 5: 895. https://doi.org/10.3390/microorganisms9050895
APA StyleAlias, C., Bulgari, D., Bilo, F., Borgese, L., Gianoncelli, A., Ribaudo, G., Gobbi, E., & Alessandri, I. (2021). Food Waste-Assisted Metal Extraction from Printed Circuit Boards: The Aspergillus niger Route. Microorganisms, 9(5), 895. https://doi.org/10.3390/microorganisms9050895

