Interaction between Dickeya dianthicola and Pectobacterium parmentieri in Potato Infection under Field Conditions
Abstract
1. Introduction
2. Materials and Methods
2.1. Frequency and Distribution of Dickeya dianthicola and Pectobacterium parmentieri in Naturally Infected Potato
2.2. Tuber Inoculation Using Vacuum Infiltration
2.3. Effects of Bacterial Inoculation on Potato Growth
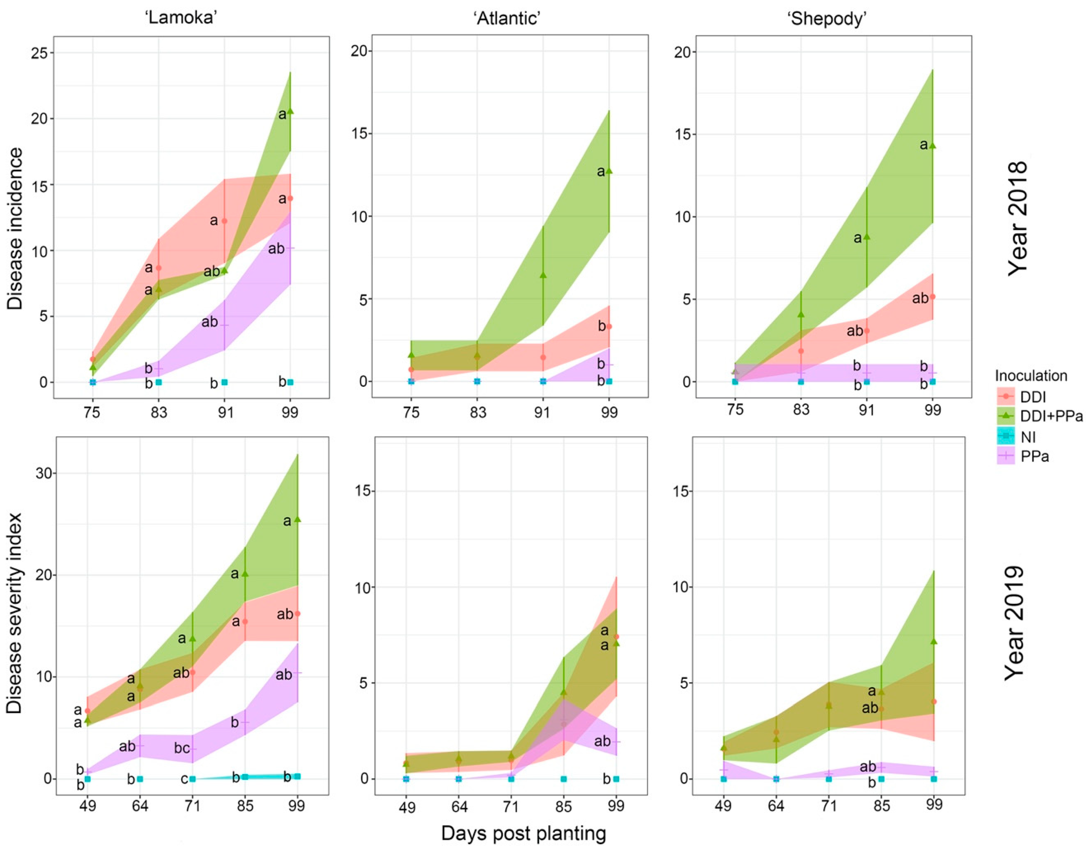
2.4. Interaction between D. dianthicola and P. parmentieri in Potato Infection
2.5. Statistical Analysis
3. Results
3.1. Frequency and Distribution of Dickeya dianthicola and Pectobacterium parmentieri in Naturally Infected Potato
3.2. Effects of Bacterial Inoculation on Potato Growth
3.3. Interaction between D. dianthicola and P. parmentieri in Potato Infection
4. Discussion
Author Contributions
Funding
Acknowledgments
Conflicts of Interest
References
- Van der Wolf, J.M.; Nijhuis, E.H.; Kowalewska, M.J.; Saddler, G.S.; Parkinson, N.; Elphinstone, J.G.; Pritchard, L.; Toth, I.K.; Lojkowska, E.; Potrykus, M.; et al. Dickeya solani sp nov., a pectinolytic plant-pathogenic bacterium isolated from potato (Solanum tuberosum). Int. J. Syst. Evol. Microbiol. 2014, 64, 768–774. [Google Scholar] [CrossRef] [PubMed]
- Toth, I.K.; van der Wolf, J.M.; Saddler, G.; Lojkowska, E.; Helias, V.; Pirhonen, M.; Tsror, L.; Elphinstone, J.G. Dickeya species: An emerging problem for potato production in Europe. Plant Pathol. 2011, 60, 385–399. [Google Scholar] [CrossRef]
- Johnson, S. Dickeya, a new potato pathogen in Maine and elsewhere. Phytopathology 2016, 106, 3. [Google Scholar]
- Hao, J.; Jiang, H.; Johnson, S. Detection and characterization of Dickeya species in the outbreak of blackleg disease of potato in Maine. Phytopathology 2016, 106, 2. [Google Scholar]
- Ma, X.; Schloop, A.; Swingle, B.; Perry, K.L. Pectobacterium and Dickeya responsible for potato blackleg disease in New York State in 2016. Plant Dis. 2018, 102, 1834–1840. [Google Scholar] [CrossRef] [PubMed]
- Patel, N.; Baldwin, A.C.; Patel, R.D.; Kobayashi, D.Y.; Wyenandt, C.A. First report of Dickeya dianthicola causing blackleg and soft rot on potato (Solanum tuberosum) in New Jersey, USA. Plant Dis. 2019, 103, 146. [Google Scholar] [CrossRef]
- Jiang, H.H.; Hao, J.J.; Johnson, S.B.; Brueggeman, R.S.; Secor, G. First report of Dickeya dianthicola causing blackleg and bacterial soft rot on potato in Maine. Plant Dis. 2016, 100, 2320. [Google Scholar] [CrossRef]
- McNally, R.R.; Curland, R.D.; Webster, B.T.; Robinson, A.P.; Ishimaru, C.A. First report of stem rot on potato caused by Dickeya chrysanthemi in Minnesota. Plant Dis. 2018, 102, 238. [Google Scholar] [CrossRef]
- McNally, R.R.; Curland, R.D.; Webster, B.T.; Robinson, A.P.; Ishimaru, C.A. First report of blackleg and tuber soft rot of potato caused by Pectobacterium parmentieri in Minnesota and North Dakota. Plant Dis. 2017, 101, 2144. [Google Scholar] [CrossRef]
- Fitt, B.D.L.; Huang, Y.-J.; van den Bosch, F.; West, J.S. Coexistence of related pathogen species on arable crops in space and time. Annu. Rev. Phytopathol. 2006, 44, 163–182. [Google Scholar] [CrossRef]
- Lamichhane, J.R.; Venturi, V. Synergisms between microbial pathogens in plant disease complexes: A growing trend. Front. Plant Sci. 2015, 6, 385. [Google Scholar] [CrossRef] [PubMed]
- Short, F.L.; Murdoch, S.L.; Ryan, R.P. Polybacterial human disease: The ills of social networking. Trends Microbiol. 2014, 22, 508–516. [Google Scholar] [CrossRef] [PubMed]
- Dung, J.K.S.; Johnson, D.A.; Schroeder, B.K. Role of co-infection by Pectobacterium and Verticillium dahliae in the development of early dying and aerial stem rot of Russet Burbank potato. Plant Pathol. 2014, 63, 299–307. [Google Scholar] [CrossRef]
- Mazzaglia, A.; Studholme, D.J.; Taratufolo, M.C.; Cai, R.; Almeida, N.F.; Goodman, T.; Guttman, D.S.; Vinatzer, B.A.; Balestra, G.M. Pseudomonas syringae pv. actinidiae (PSA) isolates from recent bacterial canker of kiwifruit outbreaks belong to the same genetic lineage. PLoS ONE 2012, 7, e36518. [Google Scholar]
- Hibbing, M.E.; Fuqua, C.; Parsek, M.R.; Peterson, S.B. Bacterial competition: Surviving and thriving in the microbial jungle. Nat. Rev. Microbiol. 2010, 8, 15–25. [Google Scholar] [CrossRef] [PubMed]
- Czajkowski, R.; Grabe, G.J.; van der Wolf, J.M. Distribution of Dickeya spp. and Pectobacterium carotovorum subsp. carotovorum in naturally infected seed potatoes. Eur. J. Plant Pathol. 2009, 125, 263–275. [Google Scholar] [CrossRef]
- Kim, H.-S.; Ma, B.; Perna, N.T.; Charkowski, A.O. Phylogeny and virulence of naturally occurring type III secretion system-deficient Pectobacterium strains. Appl. Environ. Microbiol. 2009, 75, 4539–4549. [Google Scholar] [CrossRef]
- Nykyri, J.; Niemi, O.; Koskinen, P.; Nokso-Koivisto, J.; Pasanen, M.; Broberg, M.; Plyusnin, I.; Törönen, P.; Holm, L.; Pirhonen, M. Revised phylogeny and novel horizontally acquired virulence determinants of the model soft rot phytopathogen Pectobacterium wasabiae SCC3193. PLoS Pathog. 2012, 8, e1003013. [Google Scholar] [CrossRef]
- Ge, T.; Marangoni, N.F.; Hao, J.; Johnson, S.; Larkin, R.P. Isolation and identification of bacteria causing blackleg and soft rot of potato in Northeastern US. Phytopathology 2018, 108, 62. [Google Scholar]
- Ge, T.L.; Jiang, H.H.; Hao, J.J.; Johnson, S.B. First report of Pectobacterium parmentieri causing bacterial soft rot and blackleg on potato in Maine. Plant Dis. 2018, 102, 437. [Google Scholar] [CrossRef]
- Gardan, L.; Gouy, C.; Christen, R.; Samson, R. Elevation of three subspecies of Pectobacterium carotovorum to species level: Pectobacterium atrosepticum sp. nov., Pectobacterium betavasculorum sp. nov. and Pectobacterium wasabiae sp. nov. Int. J. Syst. Evol. Microbiol. 2003, 53, 381–391. [Google Scholar] [CrossRef]
- Samson, R.; Legendre, J.B.; Christen, R.; Fischer-Le Saux, M.; Achouak, W.; Gardan, L. Transfer of Pectobacterium chrysanthemi (Burkholder et al. 1953) Brenner et al. 1973 and Brenneria paradisiaca to the genus Dickeya gen. nov as Dickeya chrysanthemi comb. nov and Dickeya paradisiaca comb. nov and delineation of four novel species, Dickeya dadantii sp nov., Dickeya dianthicola sp nov., Dickeya dieffenbachiae sp nov and Dickeya zeae sp nov. Int. J. Syst. Evol. Microbiol. 2005, 55, 1415–1427. [Google Scholar] [CrossRef]
- Perombelon, M.C.M.; Kelman, A. Ecology of the soft rot Erwinias. Annu. Rev. Phytopathol. 1980, 18, 361–387. [Google Scholar] [CrossRef]
- Dung, J.K.S.; Johnson, D.A.; Schroeder, B.K. First report of Pectobacterium wasabiae causing aerial stem rot of potato in Washington State. Plant Dis. 2012, 96, 1819. [Google Scholar] [CrossRef] [PubMed]
- Ge, T.; Jiang, H.; Johnson, S.B.; Larkin, R.; Charkowski, A.O.; Secor, G.; Hao, J. Genotyping Dickeya dianthicola causing potato blackleg and soft rot outbreak associated with inoculum geography in the United States. Plant Dis. 2020. [Google Scholar] [CrossRef]
- Pritchard, L.; Humphris, S.; Saddler, G.S.; Parkinson, N.M.; Bertrand, V.; Elphinstone, J.G.; Toth, I.K. Detection of phytopathogens of the genus Dickeya using a PCR primer prediction pipeline for draft bacterial genome sequences. Plant Pathol. 2013, 62, 587–596. [Google Scholar] [CrossRef]
- Kim, M.H.; Cho, M.S.; Kim, B.K.; Choi, H.J.; Hahn, J.H.; Kim, C.; Kang, M.J.; Kim, S.H.; Park, D.S. Quantitative real-time polymerase chain reaction assay for detection of Pectobacterium wasabiae using YD repeat protein gene-based primers. Plant Dis. 2012, 96, 253–257. [Google Scholar] [CrossRef][Green Version]
- Czajkowski, R.; de Boer, W.J.; Velvis, H.; van der Wolf, J.M. Systemic colonization of potato plants by a soilborne, green fluorescent protein-tagged strain of Dickeya sp. biovar 3. Phytopathology 2010, 100, 134–142. [Google Scholar] [CrossRef] [PubMed]
- Ge, T.; Johnson, S.; Larkin, R.P.; Charkowski, A.O.; Hao, J. Pathogen synergism of blackleg disease on potato. Plant Health 2020 Online, 13 August 2020. Available online: https://apsnet.confex.com/apsnet/2020/meetingapp.cgi/Paper/15048 (accessed on 13 August 2020).
- Barras, F.; van Gijsegem, F.; Chatterjee, A.K. Extracellular enzymes and pathogenesis of soft-rot Erwinia. Annu. Rev. Phytopathol. 1994, 32, 201–234. [Google Scholar] [CrossRef]
- Charkowski, A.; Blanco, C.; Condemine, G.; Expert, D.; Franza, T.; Hayes, C.; Hugouvieux-Cotte-Pattat, N.; Solanilla, E.L.; Low, D.; Moleleki, L. The role of secretion systems and small molecules in soft-rot Enterobacteriaceae pathogenicity. Annu. Rev. Phytopathol. 2012, 50, 425–449. [Google Scholar] [CrossRef] [PubMed]
- Ham, J.H.; Cui, Y.; Alfano, J.R.; Rodríguez-Palenzuela, P.; Rojas, C.M.; Chatterjee, A.K.; Collmer, A. Analysis of Erwinia chrysanthemi EC16 pelE∷ uidA, pelL∷ uidA, and hrpN∷ uidA mutants reveals strain-specific atypical regulation of the Hrp type III secretion system. Mol. Plant-Microbe Interact. 2004, 17, 184–194. [Google Scholar] [CrossRef] [PubMed]
- Rantakari, A.; Virtaharju, O.; Vähämiko, S.; Taira, S.; Palva, E.T.; Saarilahti, H.T.; Romantschuk, M. Type III secretion contributes to the pathogenesis of the soft-rot pathogen Erwinia carotovora: Partial characterization of the hrp gene cluster. Mol. Plant-Microbe Interact. 2001, 14, 962–968. [Google Scholar] [CrossRef] [PubMed]
- Dittoe, D.K.; Barabote, R.D.; Rothrock, M.J.; Ricke, S.C. Assessment of a potential role of Dickeya dadantii DSM 18020 as a pectinase producer for utilization in poultry diets based on in silico analyses. Front. Microbiol. 2020, 11, 751. [Google Scholar] [CrossRef] [PubMed]
- Reverchon, S.; Muskhelisvili, G.; Nasser, W. Virulence program of a bacterial plant pathogen: The Dickeya model. In Progress in Molecular Biology and Translational Science; Elsevier: Amsterdam, The Netherlands, 2016; Volume 142, pp. 51–92. [Google Scholar]
- Abdullah, A.S.; Moffat, C.S.; Lopez-Ruiz, F.J.; Gibberd, M.R.; Hamblin, J.; Zerihun, A. Host–multi-pathogen warfare: Pathogen interactions in co-infected plants. Front. Plant Sci. 2017, 8, 1806. [Google Scholar] [CrossRef]



| Year | Number of Samples | D. dianthicola (%) | P. parmentieri (%) | D. dianthicola + P. parmentieri (%) | Both Negative |
|---|---|---|---|---|---|
| 2015 | 319 | 133 (41.7) | 97 (30.4) | 39 (12.2) | 128 (40.1) |
| 2016 | 230 | 114 (49.6) | 134 (58.3) | 72 (31.3) | 54 (23.5) |
| 2017 | 171 | 60 (35.1) | 132 (77.2) | 50 (29.2) | 29 (17.0) |
| 2018 | 81 | 14 (17.3) | 45 (55.6) | 9 (11.1) | 31 (38.3) |
| 2019 | 61 | 13 (21.3) | 43 (70.5) | 10 (16.4) | 15 (24.6) |
| 2020 | 21 | 2 (9.5) | 20 (95.3) | 2 (9.5) | 1 (4.8) |
| Total | 883 | 336 (38.1) | 471 (53.3) | 182 (20.6) | 258 (29.2) |
| Number (Percentage) of Sample | ||||||
|---|---|---|---|---|---|---|
| Stem (Observed) | Tuber (Observed) | Tuber (Expected) a | Chi-Sq | df | p Value | |
| DDi positive | 307 (40.3%) | 29 (23.8%) | 49 (40.3%) | 13.64 | 1 | <0.001 |
| DDi negative | 454 (59.7%) | 93 (76.2%) | 73 (59.7%) | |||
| Total | 761 | 122 | 122 | |||
| PPa positive | 394 (51.8%) | 77 (63.1%) | 63 (51.8%) | 6.43 | 1 | <0.01 |
| PPa negative | 367 (48.2%) | 45 (36.9%) | 59 (48.2%) | |||
| Total | 761 | 122 | 122 | |||
| Variety | Infected Seeds (%) | Total Yield (kg/a) | Emergence (%) | Total Yield/Plant (kg) |
|---|---|---|---|---|
| Lamoka | 0 | 126.5 | 33.0 | 1.19 |
| 10 | 86.73 | 20.0 | 1.17 | |
| 10 | 97.14 | 28.6 | 1.06 | |
| 40 | 80.04 | 18.0 | 1.23 | |
| 80 | 43.52 | 13.0 | 1.10 | |
| Atlantic | 0 | 186.1 | 56.0 | 0.923 |
| 10 | 189.8 | 44.6 | 1.18 | |
| 20 | 164.5 | 46.0 | 1.00 | |
| 40 | 171.7 | 41.6 | 1.18 | |
| 80 | 130.8 | 31.0 | 1.17 | |
| Russet Burbank | 0 | 215.0 | 67.0 | 0.903 |
| 10 | 187.0 | 67.6 | 0.777 | |
| 20 | 194.2 | 65.0 | 0.831 | |
| 40 | 239.7 | 62.6 | 1.08 | |
| 80 | 204.3 | 49.0 | 1.16 |
| Variety | Inoculation | 2018 | 2019 | ||
|---|---|---|---|---|---|
| Emergence (%) | Yield (kg/a) | Emergence (%) | Yield (kg/a) | ||
| Lamoka | NI | 95.0 | 148.5 | 98.3 | 208.6 a |
| DDi | 95.0 | 126.0 | 85.0 | 151.6 b | |
| PPa | 93.3 | 148.0 | 90.8 | 191.7 b | |
| DDi and PPa | 96.7 | 154.7 | 89.2 | 151.1 b | |
| Atlantic | NI | 96.7 | 162.9 | 85.8 | 185.5 a |
| DDi | 86.7 | 156.2 | 76.7 | 142.6 b | |
| PPa | 83.3 | 165.5 | 84.2 | 152.7 b | |
| DDi and PPa | 86.7 | 122.8 | 82.5 | 153.2 b | |
| Shepody | NI | 96.7 | 159.4 | 95.0 | 237.0 a |
| DDi | 96.7 | 127.3 | 86.7 | 174.0 b | |
| PPa | 96.7 | 198.1 | 87.5 | 183.2 b | |
| DDi and PPa | 91.7 | 139.6 | 90.8 | 171.5 b | |
Publisher’s Note: MDPI stays neutral with regard to jurisdictional claims in published maps and institutional affiliations. |
© 2021 by the authors. Licensee MDPI, Basel, Switzerland. This article is an open access article distributed under the terms and conditions of the Creative Commons Attribution (CC BY) license (http://creativecommons.org/licenses/by/4.0/).
Share and Cite
Ge, T.; Ekbataniamiri, F.; Johnson, S.B.; Larkin, R.P.; Hao, J. Interaction between Dickeya dianthicola and Pectobacterium parmentieri in Potato Infection under Field Conditions. Microorganisms 2021, 9, 316. https://doi.org/10.3390/microorganisms9020316
Ge T, Ekbataniamiri F, Johnson SB, Larkin RP, Hao J. Interaction between Dickeya dianthicola and Pectobacterium parmentieri in Potato Infection under Field Conditions. Microorganisms. 2021; 9(2):316. https://doi.org/10.3390/microorganisms9020316
Chicago/Turabian StyleGe, Tongling, Fatemeh Ekbataniamiri, Steven B. Johnson, Robert P. Larkin, and Jianjun Hao. 2021. "Interaction between Dickeya dianthicola and Pectobacterium parmentieri in Potato Infection under Field Conditions" Microorganisms 9, no. 2: 316. https://doi.org/10.3390/microorganisms9020316
APA StyleGe, T., Ekbataniamiri, F., Johnson, S. B., Larkin, R. P., & Hao, J. (2021). Interaction between Dickeya dianthicola and Pectobacterium parmentieri in Potato Infection under Field Conditions. Microorganisms, 9(2), 316. https://doi.org/10.3390/microorganisms9020316

