A Study on the Association Between Treatment Response to Atezolizumab Plus Bevacizumab Combination Therapy for Advanced Hepatocellular Carcinoma and Gut Microbiota
Abstract
1. Introduction
2. Materials and Methods
2.1. Subjects and Ethics
2.2. Treatment and Clinical Evaluation Methods
2.3. Collection of Fecal Samples and Gut Microbiota Analysis
2.4. Statistical Analysis
3. Results
3.1. Patient Background Characteristics
3.2. Composition of the Gut Microbiota in Each Case
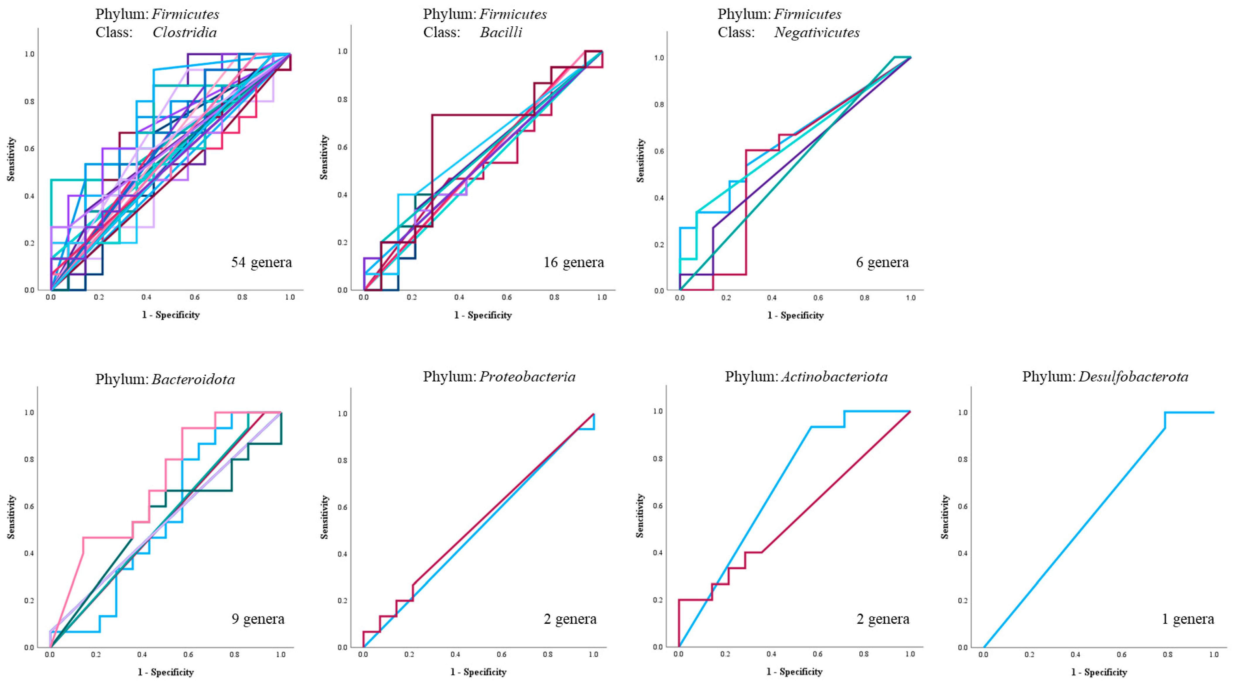
3.3. Investigation of Gut Bacteria Contributing to Response and PFS Using ROC Curves
4. Discussion
5. Conclusions
Author Contributions
Funding
Institutional Review Board Statement
Informed Consent Statement
Data Availability Statement
Acknowledgments
Conflicts of Interest
Abbreviations
| Atez/Bev | atezolizumab plus bevacizumab combination therapy |
| HCC | hepatocellular carcinoma |
| PFS | progression-free survival |
| ICI | immune checkpoint inhibitor |
| irAE | immune-related adverse event |
| RECIST | Response Evaluation Criteria in Solid Tumors |
| mRECIST | modified RECIST |
| CR | complete response |
| PR | partial response |
| SD | stable disease |
| PD | progressive disease |
| OS | overall survival |
| mALBI | modified albumin-bilirubin |
| OTU | operational taxonomic unit |
| IQR | interquartile range |
| AUC | area under the curve |
| ROC | receiver operating characteristic |
| PPI | proton pump inhibitor |
| P-CAB | potassium-competitive acid blocker |
| SCFA | short-chain fatty acid |
| UDCA | ursodeoxycholic acid |
Appendix A

References
- Llovet, J.M.; Kelley, R.K.; Villanueva, A.; Singal, A.G.; Pikarsky, E.; Roayaie, S.; Lencioni, R.; Koike, K.; Zucman-Rossi, J.; Finn, R.S. Hepatocellular carcinoma. Nat. Rev. Dis. Primers 2021, 7, 6. [Google Scholar] [CrossRef]
- Siegel, R.L.; Miller, K.D.; Fuchs, H.E.; Jemal, A. Cancer statistics, 2022. CA Cancer J. Clin. 2022, 72, 7–33. [Google Scholar] [CrossRef] [PubMed]
- Finn, R.S.; Qin, S.; Ikeda, M.; Galle, P.R.; Ducreux, M.; Kim, T.Y.; Kudo, M.; Breder, V.; Merle, P.; Kaseb, A.O.; et al. Atezolizumab plus Bevacizumab in Unresectable Hepatocellular Carcinoma. N. Engl. J. Med. 2020, 382, 1894–1905. [Google Scholar] [CrossRef]
- Riley, R.S.; June, C.H.; Langer, R.; Mitchell, M.J. Delivery technologies for cancer immunotherapy. Nat. Rev. Drug Discov. 2019, 18, 175–196. [Google Scholar] [CrossRef]
- Yau, T.; Park, J.W.; Finn, R.S.; Cheng, A.L.; Mathurin, P.; Edeline, J.; Kudo, M.; Harding, J.J.; Merle, P.; Rosmorduc, O.; et al. Nivolumab versus sorafenib in advanced hepatocellular carcinoma (CheckMate 459): A randomised, multicentre, open-label, phase 3 trial. Lancet Oncol. 2022, 23, 77–90. [Google Scholar] [CrossRef]
- Finn, R.S.; Ryoo, B.Y.; Merle, P.; Kudo, M.; Bouattour, M.; Lim, H.Y.; Breder, V.; Edeline, J.; Chao, Y.; Ogasawara, S.; et al. Pembrolizumab as Second-Line Therapy in Patients with Advanced Hepatocellular Carcinoma in KEYNOTE-240: A Randomized, Double-Blind, Phase III Trial. J. Clin. Oncol. 2020, 38, 193–202. [Google Scholar] [CrossRef]
- Shi, X.; Deng, W.; Pan, Y.; Chen, Y.; Wang, Y.; Wu, J. Overcoming resistance to immune checkpoint inhibitor in non-small cell lung cancer: The promise of combination therapy. Front. Immunol. 2025, 16, 1691980. [Google Scholar] [CrossRef] [PubMed]
- Kudo, M.; Finn, R.S.; Edeline, J.; Cattan, S.; Ogasawara, S.; Palmer, D.H.; Verslype, C.; Zagonel, V.; Fartoux, L.; Vogel, A.; et al. Updated efficacy and safety of KEYNOTE-224: A phase II study of pembrolizumab in patients with advanced hepatocellular carcinoma previously treated with sorafenib. Eur. J. Cancer 2022, 167, 1–12. [Google Scholar] [CrossRef]
- Merle, P.; Blanc, J.F.; Edeline, J.; Le Malicot, K.; Allaire, M.; Assenat, E.; Guarssifi, M.; Bouattour, M.; Péron, J.M.; Laurent-Puig, P.; et al. Ipilimumab with atezolizumab-bevacizumab in patients with advanced hepatocellular carcinoma: The PRODIGE 81-FFCD 2101-TRIPLET-HCC trial. Dig. Liver Dis. 2023, 55, 464–470. [Google Scholar] [CrossRef]
- Fattovich, G.; Stroffolini, T.; Zagni, I.; Donato, F. Hepatocellular carcinoma in cirrhosis: Incidence and risk factors. Gastroenterology 2004, 127, S35–S50. [Google Scholar] [CrossRef] [PubMed]
- Routy, B.; Le Chatelier, E.; Derosa, L.; Duong, C.P.M.; Alou, M.T.; Daillère, R.; Fluckiger, A.; Messaoudene, M.; Rauber, C.; Roberti, M.P.; et al. Gut microbiome influences efficacy of PD-1-based immunotherapy against epithelial tumors. Science 2018, 359, 91–97. [Google Scholar] [CrossRef] [PubMed]
- Wang, F.; He, M.M.; Yao, Y.C.; Zhao, X.; Wang, Z.Q.; Jin, Y.; Luo, H.Y.; Li, J.B.; Wang, F.H.; Qiu, M.Z.; et al. Regorafenib plus toripalimab in patients with metastatic colorectal cancer: A phase Ib/II clinical trial and gut microbiome analysis. Cell Rep. Med. 2021, 2, 100383. [Google Scholar] [CrossRef] [PubMed]
- Hsu, C.L.; Schnabl, B. The gut-liver axis and gut microbiota in health and liver disease. Nat. Rev. Microbiol. 2023, 21, 719–733. [Google Scholar] [CrossRef] [PubMed]
- Zheng, Y.; Wang, T.; Tu, X.; Huang, Y.; Zhang, H.; Tan, D.; Jiang, W.; Cai, S.; Zhao, P.; Song, R.; et al. Gut microbiome affects the response to anti-PD-1 immunotherapy in patients with hepatocellular carcinoma. J. Immunother. Cancer 2019, 7, 193. [Google Scholar] [CrossRef]
- Mao, J.; Wang, D.; Long, J.; Yang, X.; Lin, J.; Song, Y.; Xie, F.; Xun, Z.; Wang, Y.; Wang, Y.; et al. Gut microbiome is associated with the clinical response to anti-PD-1 based immunotherapy in hepatobiliary cancers. J. Immunother. Cancer 2021, 9, e003334. [Google Scholar] [CrossRef] [PubMed]
- Shen, Y.C.; Lee, P.C.; Kuo, Y.L.; Wu, W.K.; Chen, C.C.; Lei, C.H.; Yeh, C.P.; Hsu, C.; Hsu, C.H.; Lin, Z.Z.; et al. An Exploratory Study for the Association of Gut Microbiome with Efficacy of Immune Checkpoint Inhibitor in Patients with Hepatocellular Carcinoma. J. Hepatocell. Carcinoma 2021, 8, 809–822. [Google Scholar] [CrossRef]
- Lee, P.C.; Wu, C.J.; Hung, Y.W.; Lee, C.J.; Chi, C.T.; Lee, I.C.; Yu-Lun, K.; Chou, S.H.; Luo, J.C.; Hou, M.C.; et al. Gut microbiota and metabolites associate with outcomes of immune checkpoint inhibitor-treated unresectable hepatocellular carcinoma. J. Immunother. Cancer 2022, 10, e004779. [Google Scholar] [CrossRef]
- Chung, M.W.; Kim, M.J.; Won, E.J.; Lee, Y.J.; Yun, Y.W.; Cho, S.B.; Joo, Y.E.; Hwang, J.E.; Bae, W.K.; Chung, I.J.; et al. Gut microbiome composition can predict the response to nivolumab in advanced hepatocellular carcinoma patients. World J. Gastroenterol. 2021, 27, 7340–7349. [Google Scholar] [CrossRef]
- Fujii, T.; Kuzuya, T.; Kondo, N.; Funasaka, K.; Ohno, E.; Hirooka, Y.; Tochio, T. Altered intestinal Streptococcus anginosus and 5α-reductase gene levels in patients with hepatocellular carcinoma and elevated Bacteroides stercoris in atezolizumab/bevacizumab non-responders. J. Med. Microbiol. 2024, 73, 001878. [Google Scholar] [CrossRef]
- Hamada, K.; Isobe, J.; Hattori, K.; Hosonuma, M.; Baba, Y.; Murayama, M.; Narikawa, Y.; Toyoda, H.; Funayama, E.; Tajima, K.; et al. Turicibacter and Acidaminococcus predict immune-related adverse events and efficacy of immune checkpoint inhibitor. Front. Immunol. 2023, 14, 1164724. [Google Scholar] [CrossRef]
- Kim, S.W.; Suda, W.; Kim, S.; Oshima, K.; Fukuda, S.; Ohno, H.; Morita, H.; Hattori, M. Robustness of gut microbiota of healthy adults in response to probiotic intervention revealed by high-throughput pyrosequencing. DNA Res. 2013, 20, 241–253. [Google Scholar] [CrossRef]
- Nishijima, S.; Suda, W.; Oshima, K.; Kim, S.W.; Hirose, Y.; Morita, H.; Hattori, M. The gut microbiome of healthy Japanese and its microbial and functional uniqueness. DNA Res. 2016, 23, 125–133. [Google Scholar] [CrossRef]
- Gopalakrishnan, V.; Spencer, C.N.; Nezi, L.; Reuben, A.; Andrews, M.C.; Karpinets, T.V.; Prieto, P.A.; Vicente, D.; Hoffman, K.; Wei, S.C.; et al. Gut microbiome modulates response to anti-PD-1 immunotherapy in melanoma patients. Science 2018, 359, 97–103. [Google Scholar] [CrossRef]
- Baruch, E.N.; Youngster, I.; Ben-Betzalel, G.; Ortenberg, R.; Lahat, A.; Katz, L.; Adler, K.; Dick-Necula, D.; Raskin, S.; Bloch, N.; et al. Fecal microbiota transplant promotes response in immunotherapy-refractory melanoma patients. Science 2021, 371, 602–609. [Google Scholar] [CrossRef]
- Davar, D.; Dzutsev, A.K.; McCulloch, J.A.; Rodrigues, R.R.; Chauvin, J.M.; Morrison, R.M.; Deblasio, R.N.; Menna, C.; Ding, Q.; Pagliano, O.; et al. Fecal microbiota transplant overcomes resistance to anti-PD-1 therapy in melanoma patients. Science 2021, 371, 595–602. [Google Scholar] [CrossRef]
- Shimizu, J.; Kubota, T.; Takada, E.; Takai, K.; Fujiwara, N.; Arimitsu, N.; Murayama, M.A.; Ueda, Y.; Wakisaka, S.; Suzuki, T.; et al. Propionate-producing bacteria in the intestine may associate with skewed responses of IL10-producing regulatory T cells in patients with relapsing polychondritis. PLoS ONE 2018, 13, e0203657. [Google Scholar] [CrossRef] [PubMed]
- Nomura, M.; Nagatomo, R.; Doi, K.; Shimizu, J.; Baba, K.; Saito, T.; Matsumoto, S.; Inoue, K.; Muto, M. Association of Short-Chain Fatty Acids in the Gut Microbiome with Clinical Response to Treatment with Nivolumab or Pembrolizumab in Patients with Solid Cancer Tumors. JAMA Netw. Open 2020, 3, e202895. [Google Scholar] [CrossRef] [PubMed]
- Luu, M.; Weigand, K.; Wedi, F.; Breidenbend, C.; Leister, H.; Pautz, S.; Adhikary, T.; Visekruna, A. Regulation of the effector function of CD8(+) T cells by gut microbiota-derived metabolite butyrate. Sci. Rep. 2018, 8, 14430. [Google Scholar] [CrossRef]
- Fellows, R.; Denizot, J.; Stellato, C.; Cuomo, A.; Jain, P.; Stoyanova, E.; Balázsi, S.; Hajnády, Z.; Liebert, A.; Kazakevych, J.; et al. Microbiota derived short chain fatty acids promote histone crotonylation in the colon through histone deacetylases. Nat. Commun. 2018, 9, 105. [Google Scholar] [CrossRef] [PubMed]
- Yuille, S.; Reichardt, N.; Panda, S.; Dunbar, H.; Mulder, I.E. Human gut bacteria as potent class I histone deacetylase inhibitors in vitro through production of butyric acid and valeric acid. PLoS ONE 2018, 13, e0201073. [Google Scholar] [CrossRef]
- Woods, D.M.; Sodré, A.L.; Villagra, A.; Sarnaik, A.; Sotomayor, E.M.; Weber, J. HDAC Inhibition Upregulates PD-1 Ligands in Melanoma and Augments Immunotherapy with PD-1 Blockade. Cancer Immunol. Res. 2015, 3, 1375–1385. [Google Scholar] [CrossRef]
- Booth, L.; Roberts, J.L.; Poklepovic, A.; Kirkwood, J.; Dent, P. HDAC inhibitors enhance the immunotherapy response of melanoma cells. Oncotarget 2017, 8, 83155–83170. [Google Scholar] [CrossRef]
- Cao, K.; Wang, G.; Li, W.; Zhang, L.; Wang, R.; Huang, Y.; Du, L.; Jiang, J.; Wu, C.; He, X.; et al. Histone deacetylase inhibitors prevent activation-induced cell death and promote anti-tumor immunity. Oncogene 2015, 34, 5960–5970. [Google Scholar] [CrossRef]
- Peters, B.A.; Wilson, M.; Moran, U.; Pavlick, A.; Izsak, A.; Wechter, T.; Weber, J.S.; Osman, I.; Ahn, J. Relating the gut metagenome and metatranscriptome to immunotherapy responses in melanoma patients. Genome Med. 2019, 11, 61. [Google Scholar] [CrossRef]
- Chua, H.H.; Chen, Y.H.; Wu, L.L.; Yang, H.C.; Lin, C.R.; Chen, H.L.; Wu, J.F.; Chang, M.H.; Chen, P.J.; Ni, Y.H. Antagonism Between Gut Ruminococcus gnavus and Akkermansia muciniphila Modulates the Progression of Chronic Hepatitis B. Cell. Mol. Gastroenterol. Hepatol. 2024, 17, 361–381. [Google Scholar] [CrossRef]
- Lozupone, C.A.; Stombaugh, J.I.; Gordon, J.I.; Jansson, J.K.; Knight, R. Diversity, stability and resilience of the human gut microbiota. Nature 2012, 489, 220–230. [Google Scholar] [CrossRef] [PubMed]
- Faith, J.J.; Guruge, J.L.; Charbonneau, M.; Subramanian, S.; Seedorf, H.; Goodman, A.L.; Clemente, J.C.; Knight, R.; Heath, A.C.; Leibel, R.L.; et al. The long-term stability of the human gut microbiota. Science 2013, 341, 1237439. [Google Scholar] [CrossRef]
- Safarchi, A.; Al-Qadami, G.; Tran, C.D.; Conlon, M. Understanding dysbiosis and resilience in the human gut microbiome: Biomarkers, interventions, and challenges. Front. Microbiol. 2025, 16, 1559521. [Google Scholar] [CrossRef] [PubMed]
- David, L.A.; Maurice, C.F.; Carmody, R.N.; Gootenberg, D.B.; Button, J.E.; Wolfe, B.E.; Ling, A.V.; Devlin, A.S.; Varma, Y.; Fischbach, M.A.; et al. Diet rapidly and reproducibly alters the human gut microbiome. Nature 2014, 505, 559–563. [Google Scholar] [CrossRef] [PubMed]
- Nova, E.; Gómez-Martinez, S.; González-Soltero, R. The Influence of Dietary Factors on the Gut Microbiota. Microorganisms 2022, 10, 1368. [Google Scholar] [CrossRef]
- Trebicka, J.; Macnaughtan, J.; Schnabl, B.; Shawcross, D.L.; Bajaj, J.S. The microbiota in cirrhosis and its role in hepatic decompensation. J. Hepatol. 2021, 75, S67–S81. [Google Scholar] [CrossRef]
- Liu, Y.; Chen, Z.; Li, C.; Sun, T.; Luo, X.; Jiang, B.; Liu, M.; Wang, Q.; Li, T.; Cao, J.; et al. Associations between changes in the gut microbiota and liver cirrhosis: A systematic review and meta-analysis. BMC Gastroenterol. 2025, 25, 16. [Google Scholar] [CrossRef]
- Mitsuoka, T. Establishment of intestinal bacteriology. Biosci. Microbiota Food Health 2014, 33, 99–116. [Google Scholar] [CrossRef] [PubMed]
- Odamaki, T.; Kato, K.; Sugahara, H.; Hashikura, N.; Takahashi, S.; Xiao, J.Z.; Abe, F.; Osawa, R. Age-related changes in gut microbiota composition from newborn to centenarian: A cross-sectional study. BMC Microbiol. 2016, 16, 90. [Google Scholar] [CrossRef] [PubMed]
- Fassarella, M.; Blaak, E.E.; Penders, J.; Nauta, A.; Smidt, H.; Zoetendal, E.G. Gut microbiome stability and resilience: Elucidating the response to perturbations in order to modulate gut health. Gut 2021, 70, 595–605. [Google Scholar] [CrossRef]
- Redondo-Useros, N.; Nova, E.; González-Zancada, N.; Díaz, L.E.; Gómez-Martínez, S.; Marcos, A. Microbiota and Lifestyle: A Special Focus on Diet. Nutrients 2020, 12, 1776. [Google Scholar] [CrossRef]
- Imhann, F.; Bonder, M.J.; Vich Vila, A.; Fu, J.; Mujagic, Z.; Vork, L.; Tigchelaar, E.F.; Jankipersadsing, S.A.; Cenit, M.C.; Harmsen, H.J.; et al. Proton pump inhibitors affect the gut microbiome. Gut 2016, 65, 740–748. [Google Scholar] [CrossRef]
- Ouyang, M.L.; Zou, S.P.; Cheng, Q.; Shi, X.; Zhao, Y.Z.; Sun, M.H. Effect of potassium-competitive acid blockers on human gut microbiota: A systematic review and meta-analysis. Front. Pharmacol. 2023, 14, 1269125. [Google Scholar] [CrossRef] [PubMed]
- Nagata, N.; Nishijima, S.; Miyoshi-Akiyama, T.; Kojima, Y.; Kimura, M.; Aoki, R.; Ohsugi, M.; Ueki, K.; Miki, K.; Iwata, E.; et al. Population-level Metagenomics Uncovers Distinct Effects of Multiple Medications on the Human Gut Microbiome. Gastroenterology 2022, 163, 1038–1052. [Google Scholar] [CrossRef]






| Responder (CR/PR) | Non-Responder (SD/PD) | |||
|---|---|---|---|---|
| n = 29 | n = 15 | n = 14 | p | |
| Age (IQR); years | 73 (66.5–81) | 75 (69–82) | 72 (61.75–80.5) | 0.591 * |
| Gender (male/female); n | 23/6 | 11/4 | 12/2 | 0.651 ** |
| Etiology (HBV/HCV/NBNC); n | 3/16/10 | 2/8/5 | 1/8/5 | 0.780 * |
| Modified ALBI grade (1/2a/2b); n | 11/5/13 | 6/2/7 | 5/3/6 | 1.000 * |
| Child–Pugh class (A/B); n | 24/5 | 12/3 | 12/2 | 1.000 ** |
| Performance status (0/1); n | 27/2 | 15/0 | 12/2 | 0.224 ** |
| Macroscopic vascular invasion (absent/present); n | 27/2 | 14/1 | 12/2 | 0.598 ** |
| Extrahepatic metastasis (absent/present); n | 19/10 | 13/2 | 6/8 | 0.021 ** |
| Size of intrahepatic tumor (IQR); mm | 30 (16.5–39) | 30 (17–35) | 31 (15–44.75) | 0.780 * |
| BCLC stage (A/B/C); n | 4/13/12 | 4/8/3 | 0/5/9 | 0.012 * |
| Serum AFP (IQR); ng/mL | 33.8 (3.6–134) | 25 (3.6–76.8) | 36.2 (2.48–683.58) | 0.949 * |
| Serum AFP-L3 (IQR); % | 14.6 (0.5–35.75) | 9.15 (0.5–27.75) | 22.55 (0.5–52.05) | 0.667 * |
| Serum DCP (IQR); mAU/mL | 343.0 (36–6693.5) | 133 (50–1832) | 1873.5 (31.75–8984.5) | 0.270 * |
| 1st line/later line; n | 14/15 | 9/6 | 4/10 | 0.089 ** |
| PPI or P-CAB administration (with/without); n | 17/12 | 10/5 | 7/7 | 0.462 ** |
| Period from sample collection to initiation of Atez/Bev; months | 50.4 (38.28–60.57) | 47.6667 (35.7–59.53) | 52.15 (39.78–70.32) | 0.591 * |
| PFS; months | 5.87 (3.58–12.57) | 9.53 (5.87–17.7) | 4.17 (2.83–5.88) | <0.001 * |
| OS; months | 15.8 (8.97–26.03) | 23.0 (15.8–32.13) | 10.73 (7.18–17.23) | 0.026 * |
| Bacterial Genera | AUC |
|---|---|
| g__Faecalibacterium | 0.710 |
| g__[Ruminococcus]_gnavus_group | 0.700 |
| g__Lachnoclostridium | 0.700 |
| g__Parabacteroides | 0.690 |
| g__Tuzzerella | 0.686 |
| g__Bifidobacterium | 0.686 |
| g__Lachnospiraceae_NK4A136_group | 0.679 |
| g__[Eubacterium]_ventriosum_group | 0.660 |
| g__Acidaminococcus | 0.648 |
| g__Flavonifractor | 0.643 |
| g__Colidextribacter | 0.631 |
| g__Streptococcus | 0.629 |
| g__Megamonas | 0.629 |
| g__Subdoligranulum | 0.619 |
| g__Ruminococcus | 0.610 |
| f__Anaerovoracaceae;__ | 0.607 |
| g__Agathobacter | 0.607 |
| f__Ruminococcaceae;__ | 0.607 |
| Variable | Univariate Analysis | Multivariate Analysis | ||||
|---|---|---|---|---|---|---|
| OR | 95%CI | p * | OR | 95%CI | p ** | |
| PS (0 vs. 1) | - | - | 0.999 | |||
| Age (≤73 vs. >73 years) | 1.524 | 0.352–6.601 | 0.573 | |||
| Gender (male vs. female) | 0.458 | 0.070–3.017 | 0.417 | |||
| Etiology (viral hepatitis vs. NBNC) | 1.111 | 0.240–5.142 | 0.893 | |||
| Modified ALBI grade (1 or 2a vs. 2b) | 1.167 | 0.269–5.054 | 0.837 | |||
| Child–Pugh class (A vs. B) | 1.5 | 0.211–10.649 | 0.685 | |||
| Macroscopic vascular invasion (absent vs. present) | 0.429 | 0.034–5.333 | 0.51 | |||
| Extrahepatic metastasis (absent vs. present) | 0.115 | 0.019–0.717 | 0.02 | |||
| Size of intrahepatic tumor (≤30 vs. >30 mm) | 2.019 × 109 | 0.000–∞ | 0.999 | |||
| BCLC stage (A or B vs. C) | 0.139 | 0.026–0.739 | 0.021 | 0.114 | 0.015–0.863 | 0.036 |
| Serum AFP (≤33.8 vs. >33.8 ng/mL) | 0.500 | 0.114–2.194 | 0.358 | |||
| Serum AFP-L3 (≤14.6 vs. >14.6%) | 0.656 | 0.151–2.843 | 0.573 | |||
| Serum DCP (≤343 vs. >343 mAU/mL) | 0.278 | 0.060–1.286 | 0.101 | |||
| 1st line vs. later line | 0.267 | 0.056–1.260 | 0.095 | |||
| PPI or P-CAB administration (with vs. without) | 2.00 | 0.446–8.963 | 0.365 | |||
| Period from stool sample collection to initiation of Atez/Bev (≤50.4 vs. >50.4 months) | 0.875 | 0.204–3.761 | 0.858 | |||
| Faecalibacterium (high vs. low) | 18.667 | 1.894–184.017 | 0.012 | 22.306 | 1.793–277.499 | 0.016 |
| [Ruminococcus]_gnavus_group (high vs. low) | 0.115 | 0.019–0.717 | 0.02 | |||
| Lachnoclostridium (high vs. low) | 0.146 | 0.024–0.890 | 0.037 | |||
| Univariate | Multivariate | |||
|---|---|---|---|---|
| p * | HR | 95%CI | p ** | |
| PS (0 vs. 1) | 0.460 | |||
| Age (≤73 vs. >73 years) | 0.909 | |||
| Gender (male vs. female) | 0.970 | |||
| Etiology (viral hepatitis vs. NBNC) | 0.285 | |||
| modified ALBI grade (1 or 2a vs. 2b) | 0.697 | |||
| Child–Pugh class (A vs. B) | 0.591 | |||
| Macroscopic vascular invasion (absent vs. present) | 0.317 | |||
| Extrahepatic metastasis (absent vs. present) | 0.122 | |||
| Size of intrahepatic tumor (≤30 vs. >30 mm) | 0.001 | |||
| BCLC stage (A or B vs. C) | 0.089 | 4.342 | 1.659–11.362 | 0.003 |
| Serum AFP (≤33.8 vs. >33.8 ng/mL) | 0.923 | |||
| Serum AFP-L3 (≤14.6 vs. >14.6%) | 0.687 | |||
| Serum DCP (≤343 vs. >343 mAU/mL) | 0.245 | |||
| 1st line vs. later line | 0.009 | |||
| Lachnoclostridium (high vs. low) | 0.014 | |||
| Flavonifractor (high vs. low) | 0.022 | |||
| Acidaminococcus (high vs. low) | 0.025 | 0.122 | 0.023–0.639 | 0.013 |
| Megamonas (high vs. low) | 0.025 | 0.222 | 0.057–0.860 | 0.029 |
Disclaimer/Publisher’s Note: The statements, opinions and data contained in all publications are solely those of the individual author(s) and contributor(s) and not of MDPI and/or the editor(s). MDPI and/or the editor(s) disclaim responsibility for any injury to people or property resulting from any ideas, methods, instructions or products referred to in the content. |
© 2026 by the authors. Licensee MDPI, Basel, Switzerland. This article is an open access article distributed under the terms and conditions of the Creative Commons Attribution (CC BY) license.
Share and Cite
Tanaka, Y.; Miki, D.; Hayes, C.N.; Kawahara, M.; Sueda, S.; Emori, T.; Hashimoto, K.; Mitamura, Y.; Tanaka, A.; Hiraoka, K.; et al. A Study on the Association Between Treatment Response to Atezolizumab Plus Bevacizumab Combination Therapy for Advanced Hepatocellular Carcinoma and Gut Microbiota. Microorganisms 2026, 14, 867. https://doi.org/10.3390/microorganisms14040867
Tanaka Y, Miki D, Hayes CN, Kawahara M, Sueda S, Emori T, Hashimoto K, Mitamura Y, Tanaka A, Hiraoka K, et al. A Study on the Association Between Treatment Response to Atezolizumab Plus Bevacizumab Combination Therapy for Advanced Hepatocellular Carcinoma and Gut Microbiota. Microorganisms. 2026; 14(4):867. https://doi.org/10.3390/microorganisms14040867
Chicago/Turabian StyleTanaka, Yusuke, Daiki Miki, C. Nelson Hayes, Michihiko Kawahara, Saki Sueda, Tomoaki Emori, Kou Hashimoto, Yuri Mitamura, Aiko Tanaka, Keiichi Hiraoka, and et al. 2026. "A Study on the Association Between Treatment Response to Atezolizumab Plus Bevacizumab Combination Therapy for Advanced Hepatocellular Carcinoma and Gut Microbiota" Microorganisms 14, no. 4: 867. https://doi.org/10.3390/microorganisms14040867
APA StyleTanaka, Y., Miki, D., Hayes, C. N., Kawahara, M., Sueda, S., Emori, T., Hashimoto, K., Mitamura, Y., Tanaka, A., Hiraoka, K., Johira, Y., Miura, R., Fujino, H., Ono, A., Murakami, E., Kawaoka, T., Tsuge, M., & Oka, S. (2026). A Study on the Association Between Treatment Response to Atezolizumab Plus Bevacizumab Combination Therapy for Advanced Hepatocellular Carcinoma and Gut Microbiota. Microorganisms, 14(4), 867. https://doi.org/10.3390/microorganisms14040867

