Influence of Light, Temperature, and Nutrient Availability on Growth and Biochemical Composition of Scenedesmus quadricauda Cultivated in Municipal Wastewater
Abstract
1. Introduction
2. Materials and Methods
2.1. Organism and Culture Conditions
2.2. Analytical Procedures
2.3. Statistical Analysis
3. Results
3.1. Effect of Environmental Conditions on Phosphorus and Nitrogen Concentration Changes
3.2. Stoichiometric Conditions
3.3. Effect of Environmental Conditions on Culture Biomass Production
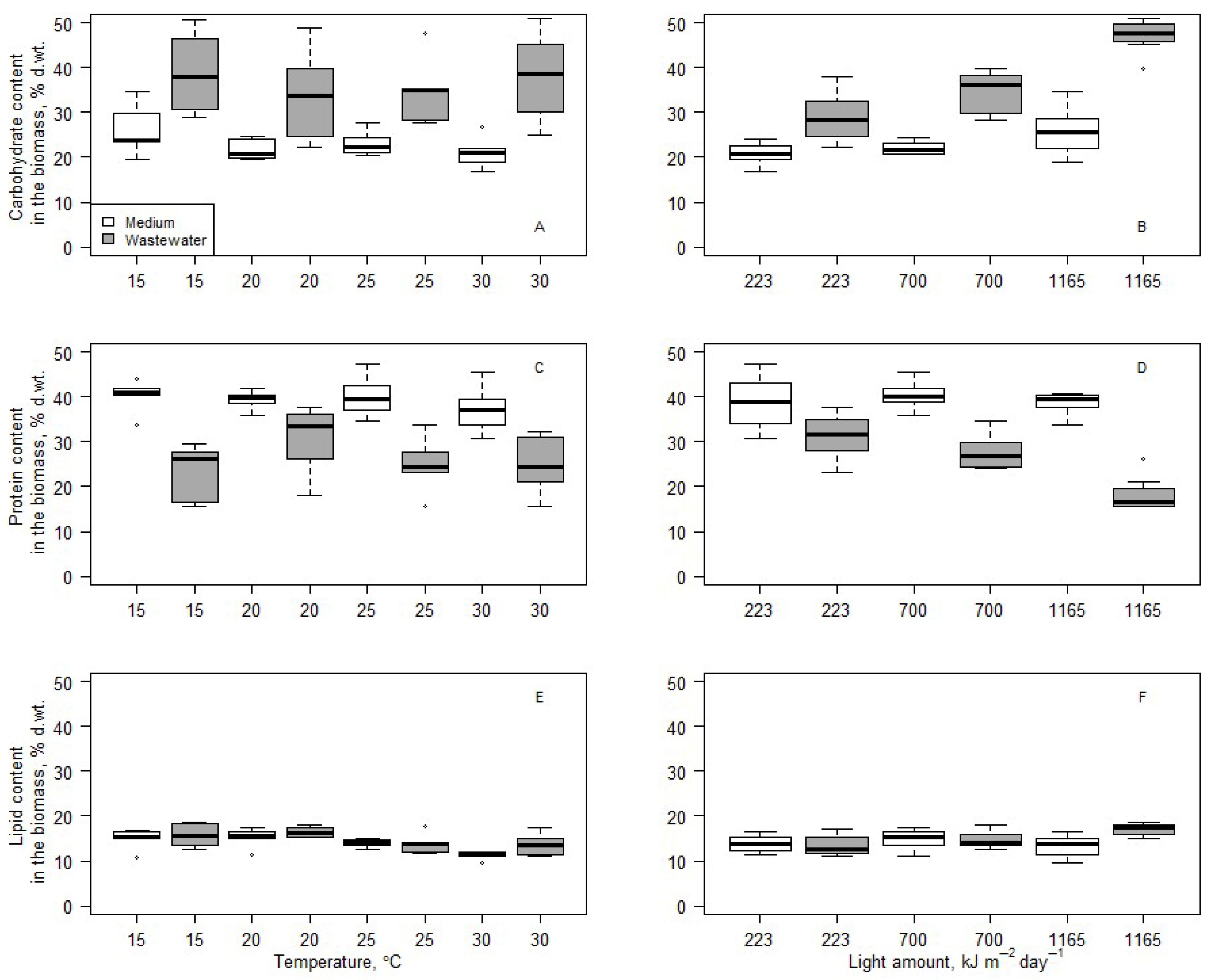
3.4. Effect of Environmental Conditions on Culture Biomass Biochemical Composition

4. Discussion
4.1. Nitrogen and Phosphorus Removal
4.2. Biomass Production
4.3. Biomass Biochemical Composition
4.4. Final Considerations
5. Conclusions
Author Contributions
Funding
Institutional Review Board Statement
Informed Consent Statement
Data Availability Statement
Acknowledgments
Conflicts of Interest
References
- Wang, S.-K.; Wang, X.; Miao, J.; Tian, Y.-T. Tofu Whey Wastewater Is a Promising Basal Medium for Microalgae Culture. Bioresour. Technol. 2018, 253, 79–84. [Google Scholar] [CrossRef]
- Han, F.; Pei, H.; Hu, W.; Jiang, L.; Cheng, J.; Zhang, L. Beneficial Changes in Biomass and Lipid of Microalgae Anabaena Variabilis Facing the Ultrasonic Stress Environment. Bioresour. Technol. 2016, 209, 16–22. [Google Scholar] [CrossRef]
- Razzak, S.A.; Hossain, M.M.; Lucky, R.A.; Bassi, A.S.; de Lasa, H. Integrated CO2 Capture, Wastewater Treatment and Biofuel Production by Microalgae Culturing—A Review. Renew. Sustain. Energy Rev. 2013, 27, 622–653. [Google Scholar] [CrossRef]
- Eloka-Eboka, A.C.; Inambao, F.L. Effects of CO2 Sequestration on Lipid and Biomass Productivity in Microalgal Biomass Production. Appl. Energy 2017, 195, 1100–1111. [Google Scholar] [CrossRef]
- Maity, J.P.; Bundschuh, J.; Chen, C.-Y.; Bhattacharya, P. Microalgae for Third Generation Biofuel Production, Mitigation of Greenhouse Gas Emissions and Wastewater Treatment: Present and Future Perspectives—A Mini Review. Energy 2014, 78, 104–113. [Google Scholar] [CrossRef]
- Tan, X.; Zhang, F.; Wang, H.; Ho, S.-H. The Magic of Algae-Based Biochar: Advantages, Preparation, and Applications. Bioengineered 2023, 14, 2252157. [Google Scholar] [CrossRef]
- Kadir, W.N.A.; Lam, M.K.; Uemura, Y.; Lim, J.W.; Lee, K.T. Harvesting and Pre-Treatment of Microalgae Cultivated in Wastewater for Biodiesel Production: A Review. Energy Convers. Manag. 2018, 171, 1416–1429. [Google Scholar] [CrossRef]
- Ren, H.-Y.; Zhu, J.-N.; Kong, F.; Xing, D.; Zhao, L.; Ma, J.; Ren, N.-Q.; Liu, B.-F. Ultrasonic Enhanced Simultaneous Algal Lipid Production and Nutrients Removal from Non-Sterile Domestic Wastewater. Energy Convers. Manag. 2019, 180, 680–688. [Google Scholar] [CrossRef]
- Yu, K.L.; Show, P.L.; Ong, H.C.; Ling, T.C.; Chi-Wei Lan, J.; Chen, W.-H.; Chang, J.-S. Microalgae from Wastewater Treatment to Biochar—Feedstock Preparation and Conversion Technologies. Energy Convers. Manag. 2017, 150, 1–13. [Google Scholar] [CrossRef]
- Nguyen, L.N.; Aditya, L.; Vu, H.P.; Johir, A.H.; Bennar, L.; Ralph, P.; Hoang, N.B.; Zdarta, J.; Nghiem, L.D. Nutrient Removal by Algae-Based Wastewater Treatment. Curr. Pollut. Rep. 2022, 8, 369–383. [Google Scholar] [CrossRef]
- Lage, S.; Toffolo, A.; Gentili, F.G. Microalgal Growth, Nitrogen Uptake and Storage, and Dissolved Oxygen Production in a Polyculture Based-Open Pond Fed with Municipal Wastewater in Northern Sweden. Chemosphere 2021, 276, 130122. [Google Scholar] [CrossRef]
- Yang, J.; Li, X.; Hu, H.; Zhang, X.; Yu, Y.; Chen, Y. Growth and Lipid Accumulation Properties of a Freshwater Microalga, Chlorella Ellipsoidea YJ1, in Domestic Secondary Effluents. Appl. Energy 2011, 88, 3295–3299. [Google Scholar] [CrossRef]
- Rawat, I.; Ranjith Kumar, R.; Mutanda, T.; Bux, F. Dual Role of Microalgae: Phycoremediation of Domestic Wastewater and Biomass Production for Sustainable Biofuels Production. Appl. Energy 2011, 88, 3411–3424. [Google Scholar] [CrossRef]
- Álvarez-Díaz, P.D.; Ruiz, J.; Arbib, Z.; Barragán, J.; Garrido-Pérez, M.C.; Perales, J.A. Freshwater Microalgae Selection for Simultaneous Wastewater Nutrient Removal and Lipid Production. Algal Res. 2017, 24, 477–485. [Google Scholar] [CrossRef]
- Singh, P.; Mohanty, S.S.; Mohanty, K. Comprehensive Assessment of Microalgal-Based Treatment Processes for Dairy Wastewater. Front. Bioeng. Biotechnol. 2024, 12, 1425933. [Google Scholar] [CrossRef]
- Roleda, M.Y.; Slocombe, S.P.; Leakey, R.J.G.; Day, J.G.; Bell, E.M.; Stanley, M.S. Effects of Temperature and Nutrient Regimes on Biomass and Lipid Production by Six Oleaginous Microalgae in Batch Culture Employing a Two-Phase Cultivation Strategy. Bioresour. Technol. 2013, 129, 439–449. [Google Scholar] [CrossRef]
- Redfield, A.C. The Biological Control of Chemical Factors in the Environment. Sci. Prog. 1960, 11, 150–170. [Google Scholar]
- Sterner, R.W.; Elser, J.J. Ecological Stoichiometry: The Biology of Elements from Molecules to the Biosphere; Princeton University Press: Princeton, NJ, USA, 2003; ISBN 978-1-4008-8569-5. [Google Scholar]
- Geider, R.; La Roche, J. Redfield Revisited: Variability of C:N:P in Marine Microalgae and Its Biochemical Basis. Eur. J. Phycol. 2002, 37, 1–17. [Google Scholar] [CrossRef]
- Qian, W.; Yang, Y.; Chou, S.; Ge, S.; Li, P.; Wang, X.; Zhuang, L.-L.; Zhang, J. Effect of N/P Ratio on Attached Microalgae Growth and the Differentiated Metabolism along the Depth of Biofilm. Environ. Res. 2024, 240, 117428. [Google Scholar] [CrossRef]
- Silambarasan, S.; Logeswari, P.; Sivaramakrishnan, R.; Incharoensakdi, A.; Kamaraj, B.; Cornejo, P. Scenedesmus Sp. Strain SD07 Cultivation in Municipal Wastewater for Pollutant Removal and Production of Lipid and Exopolysaccharides. Environ. Res. 2023, 218, 115051. [Google Scholar] [CrossRef]
- Sánchez-Zurano, A.; Morillas-España, A.; Gómez-Serrano, C.; Ciardi, M.; Acién, G.; Lafarga, T. Annual Assessment of the Wastewater Treatment Capacity of the Microalga Scenedesmus Almeriensis and Optimisation of Operational Conditions. Sci. Rep. 2021, 11, 21651. [Google Scholar] [CrossRef]
- Ma, C.; Wen, H.; Xing, D.; Pei, X.; Zhu, J.; Ren, N.; Liu, B. Molasses Wastewater Treatment and Lipid Production at Low Temperature Conditions by a Microalgal Mutant Scenedesmus Sp. Z-4. Biotechnol. Biofuels 2017, 10, 111. [Google Scholar] [CrossRef]
- Wong, Y.K.; Yung, K.K.L.; Tsang, Y.F.; Xia, Y.; Wang, L.; Ho, K.C. Scenedesmus quadricauda for Nutrient Removal and Lipid Production in Wastewater. Water Environ. Res. 2015, 87, 2037–2044. [Google Scholar] [CrossRef]
- Ling, Y.; Sun, L.; Wang, S.; Lin, C.S.K.; Sun, Z.; Zhou, Z. Cultivation of Oleaginous Microalga Scenedesmus Obliquus Coupled with Wastewater Treatment for Enhanced Biomass and Lipid Production. Biochem. Eng. J. 2019, 148, 162–169. [Google Scholar] [CrossRef]
- Tan, Y.H.; Chai, M.K.; Na, J.Y.; Wong, L.S. Microalgal Growth and Nutrient Removal Efficiency in Non-Sterilised Primary Domestic Wastewater. Sustainability 2023, 15, 6601. [Google Scholar] [CrossRef]
- Phyu, K.; Zhi, S.; Graham, D.W.; Cao, Y.; Xu, X.; Liu, J.; Wang, H.; Zhang, K. Impact of Indigenous vs. Cultivated Microalgae Strains on Biomass Accumulation, Microbial Community Composition, and Nutrient Removal in Algae-Based Dairy Wastewater Treatment. Bioresour. Technol. 2025, 426, 132349. [Google Scholar] [CrossRef]
- Bischoff, H.W.; Bold, H.C. Phycological Studies IV. Some Soil Algae from Enchanted Rock and Related Algal Species; University of Texas Press: Austin, TX, USA, 1963. [Google Scholar]
- Venckus, P.; Endriukaitytė, I.; Čekuolytė, K.; Gudiukaitė, R.; Pakalniškis, A.; Lastauskienė, E. Effect of Biosynthesized Silver Nanoparticles on the Growth of the Green Microalga Haematococcus pluvialis and Astaxanthin Synthesis. Nanomaterials 2023, 13, 1618. [Google Scholar] [CrossRef]
- ISO 6878:2004; Water Quality—Determination of Phosphorus—Ammonium Molybdate Spectrometric Method. International Organization for Standardization (ISO): Geneva, Switzerland, 2004.
- ISO 20236:2024; Water Quality—Determination of Total Organic Carbon (TOC), Dissolved Organic Carbon (DOC), Total Bound Nitrogen (TNb) and Dissolved Bound Nitrogen (DNb) After High Temperature Catalytic Oxidative Combustion. International Organization for Standardization (ISO): Geneva, Switzerland, 2024.
- Lowry, O.H.; Rosebrough, N.J.; Farr, A.L.; Randall, R.J. Protein Measurement with the Folin Phenol Reagent. J. Biol. Chem. 1951, 193, 265–275. [Google Scholar] [CrossRef]
- Bligh, E.G.; Dyer, W.J. A Rapid Method of Total Lipid Extraction and Purification. Can. J. Biochem. Physiol. 1959, 37, 911–917. [Google Scholar] [CrossRef]
- Marsh, J.B.; Weinstein, D.B. Simple Charring Method for Determination of Lipids. J. Lipid Res. 1966, 7, 574–576. [Google Scholar] [CrossRef]
- Holland, D.L.; Gabbott, P.A. A Micro-Analytical Scheme for the Determination of Protein, Carbohydrate, Lipid and RNA Levels in Marine Invertebrate Larvae. J. Mar. Biol. Assoc. U. K. 1971, 51, 659–668. [Google Scholar] [CrossRef]
- Chen, Z.; Xiao, Y.; Liu, T.; Yuan, M.; Liu, G.; Fang, J.; Yang, B. Exploration of Microalgal Species for Nutrient Removal from Anaerobically Digested Swine Wastewater and Potential Lipids Production. Microorganisms 2021, 9, 2469. [Google Scholar] [CrossRef] [PubMed]
- Popa, M.D.; Simionov, I.-A.; Petrea, S.M.; Georgescu, P.-L.; Ifrim, G.A.; Iticescu, C. Efficiency of Microalgae Employment in Nutrient Removal (Nitrogen and Phosphorous) from Municipal Wastewater. Water 2025, 17, 260. [Google Scholar] [CrossRef]
- Chokshi, K.; Pancha, I.; Ghosh, A.; Mishra, S. Nitrogen Starvation-Induced Cellular Crosstalk of ROS-Scavenging Antioxidants and Phytohormone Enhanced the Biofuel Potential of Green Microalga Acutodesmus Dimorphus. Biotechnol. Biofuels 2017, 10, 60. [Google Scholar] [CrossRef] [PubMed]








Disclaimer/Publisher’s Note: The statements, opinions and data contained in all publications are solely those of the individual author(s) and contributor(s) and not of MDPI and/or the editor(s). MDPI and/or the editor(s) disclaim responsibility for any injury to people or property resulting from any ideas, methods, instructions or products referred to in the content. |
© 2026 by the authors. Licensee MDPI, Basel, Switzerland. This article is an open access article distributed under the terms and conditions of the Creative Commons Attribution (CC BY) license.
Share and Cite
Venckus, P.; Lastauskienė, E. Influence of Light, Temperature, and Nutrient Availability on Growth and Biochemical Composition of Scenedesmus quadricauda Cultivated in Municipal Wastewater. Microorganisms 2026, 14, 183. https://doi.org/10.3390/microorganisms14010183
Venckus P, Lastauskienė E. Influence of Light, Temperature, and Nutrient Availability on Growth and Biochemical Composition of Scenedesmus quadricauda Cultivated in Municipal Wastewater. Microorganisms. 2026; 14(1):183. https://doi.org/10.3390/microorganisms14010183
Chicago/Turabian StyleVenckus, Petras, and Eglė Lastauskienė. 2026. "Influence of Light, Temperature, and Nutrient Availability on Growth and Biochemical Composition of Scenedesmus quadricauda Cultivated in Municipal Wastewater" Microorganisms 14, no. 1: 183. https://doi.org/10.3390/microorganisms14010183
APA StyleVenckus, P., & Lastauskienė, E. (2026). Influence of Light, Temperature, and Nutrient Availability on Growth and Biochemical Composition of Scenedesmus quadricauda Cultivated in Municipal Wastewater. Microorganisms, 14(1), 183. https://doi.org/10.3390/microorganisms14010183

