Different Emergency Response Strategies to Oil Spills in Rivers Lead to Divergent Contamination Compositions and Microbial Community Response Characteristics
Abstract
1. Introduction
2. Materials and Methods
2.1. Sample Collection
2.2. Simulation of Water Treatment Process
2.3. Chemical Analysis
2.4. Microcosm Setup
2.5. Amplicon Sequencing
2.6. Data Analysis and Visualization
3. Results
3.1. Oil-Related Chemical Composition After Treatment
3.2. Microbial Diversity Shifts During the Incubation
3.3. Dynamics of Microbial Composition
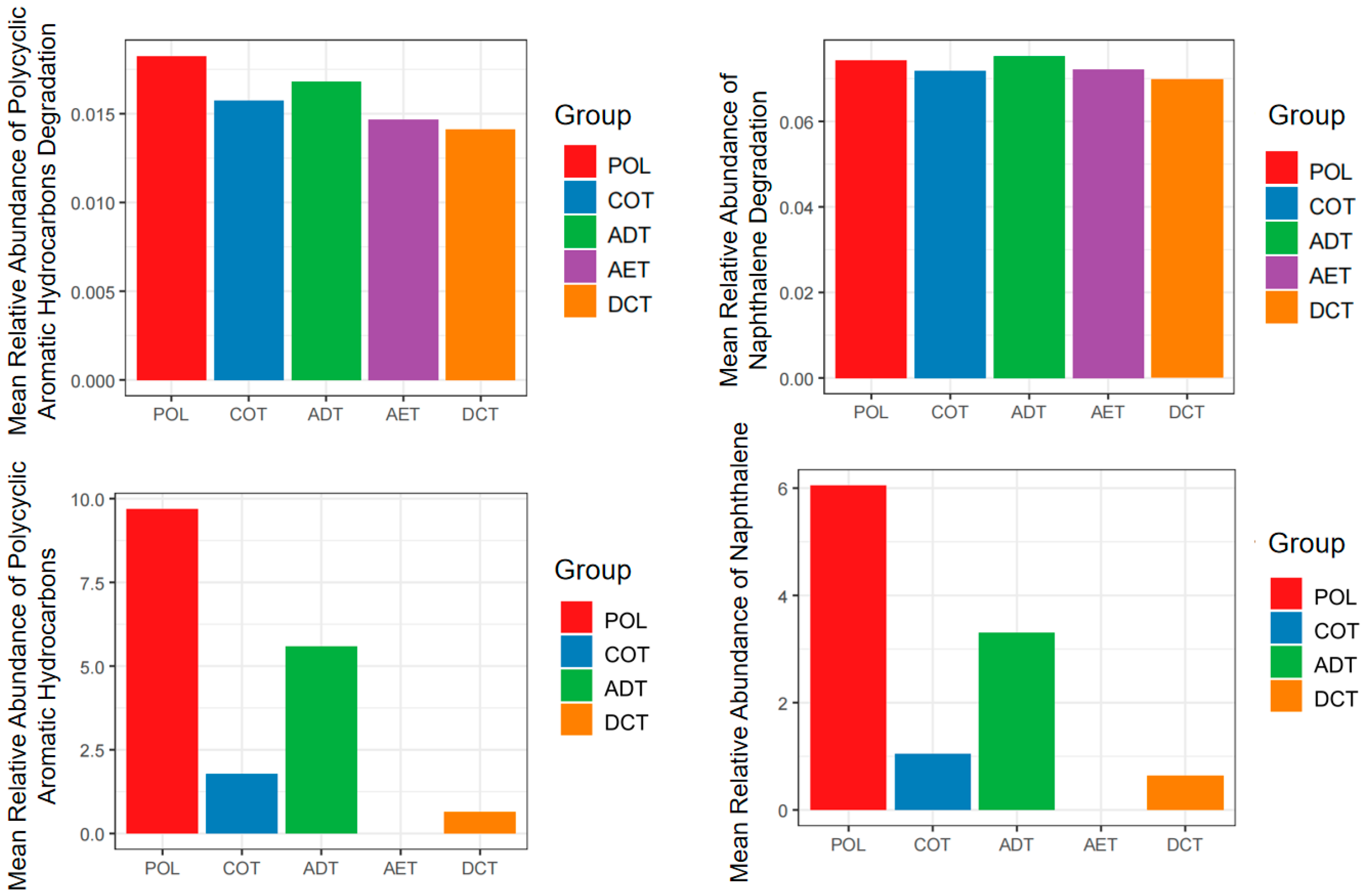
3.4. Functional Shifts of Microbial Communities
4. Discussion
4.1. Chemical Characteristics of Pollution
4.2. Microbial Community Shifts in Response to Washing Oil Contamination
4.3. Potential Functional Shifts in Response to Washing Oil Contamination
5. Conclusions
Supplementary Materials
Author Contributions
Funding
Institutional Review Board Statement
Informed Consent Statement
Data Availability Statement
Acknowledgments
Conflicts of Interest
Abbreviations
| PAHs | Polycyclic aromatic hydrocarbons |
| GCxGC-TOF MS | Comprehensive Two-dimensional Gas Chromatography Time of Flight Mass Spectrometer |
References
- Idomeh, J.; Shittu, O.; Oyedepo, J.; Bada, B.; Balogun, S.; Idomeh, F.; Ezenweani, R. Petroleum Hydrocarbon Impacted Aquatic Ecosystem Reveals Methylotenera as the Dominant Genera in the Niger Delta Region of Nigeria. Geomicrobiol. J. 2021, 38, 879–894. [Google Scholar] [CrossRef]
- Rezaei Somee, M.; Dastgheib, S.M.M.; Shavandi, M.; Ghanbari Maman, L.; Kavousi, K.; Amoozegar, M.A.; Mehrshad, M. Distinct microbial community along the chronic oil pollution continuum of the Persian Gulf converge with oil spill accidents. Sci. Rep. 2021, 11, 11316. [Google Scholar] [CrossRef]
- Huettel, M. Oil pollution of beaches. Curr. Opin. Chem. Eng. 2022, 36, 100803. [Google Scholar] [CrossRef]
- Lu, J.; Chen, L.; Xu, D. Study on the Oil Spill Transport Behavior and Multifactorial Effects of the Lancang River Crossing Pipeline. Appl. Sci. 2024, 14, 3455. [Google Scholar] [CrossRef]
- Yang, Y.; Wang, S.; Zhu, Z.; Jin, L. Prediction model and consequence analysis for riverine oil spills. Front. Environ. Sci. 2022, 10, 1054839. [Google Scholar] [CrossRef]
- Adams, J.E.; Brown, R.S.; Hodson, P.V. The bioavailability of oil droplets trapped in river gravel by hyporheic flows. Environ. Pollut. 2020, 269, 116110. [Google Scholar] [CrossRef] [PubMed]
- Chen, H.; Lu, S.; Shao, Y.; Wang, B.; Liu, Y. Study on oil spill risk zoning in the Yangtze River Estuary based on the visited probability method of sensitive targets. J. Environ. Eng. Technol. 2023, 13, 47–53. [Google Scholar] [CrossRef]
- Jiang, P.; Tong, S.; Wang, Y.; Xu, G. Modelling the oil spill transport in inland waterways based on experimental study. Environ. Pollut. 2021, 284, 117473. [Google Scholar] [CrossRef]
- Lee, H.-J.; Kim, H.-J.; Yoo, S.-H. The Public Value of Reducing the Incidence of Oil Spill Accidents in Korean Rivers. Sustainability 2018, 10, 1172. [Google Scholar] [CrossRef]
- Cakmak, S.; Hebbern, C.; Cakmak, J.D.; Dales, R.E. The influence of polycyclic aromatic hydrocarbons on lung function in a representative sample of the Canadian population. Environ. Pollut. 2017, 228, 1–7. [Google Scholar] [CrossRef]
- Fritt-Rasmussen, J.; Wegeberg, S.; Lassen, P.; Wilms, L.B.; Renvald, L.; Larsen, M.B.; Geertz-Hansen, O.; Wiktor, J.; Gustavson, K. Coastline in-situ burning of oil spills, analysis of a Greenland field experiment. J. Hazard. Mater. 2023, 441, 129976. [Google Scholar] [CrossRef]
- An, W.; Zhang, Q.; Zhao, J.; Qu, L.; Liu, S.; Yang, M.; Xu, J. Mechanism Investigation on a Novel Oil Recovery Skimmer Coupling Free Surface Vortex and Cyclone Separation. ACS Omega 2021, 6, 20483–20491. [Google Scholar] [CrossRef] [PubMed]
- Adofo, Y.K.; Nyankson, E.; Agyei-Tuffour, B. Dispersants as an oil spill clean-up technique in the marine environment: A review. Heliyon 2005, 8, e10153. [Google Scholar] [CrossRef] [PubMed]
- Wan, L.; Liu, Y.; Yang, Z. Preparation of oil-removal materials and their enhanced removal effects on oily substances in coal chemical wastewater. Water Treat. Technol. 2022, 48, 73–77. (In Chinese) [Google Scholar]
- Vieira, P.A.; Vieira, R.B.; Faria, S.; Ribeiro, E.J.; Cardoso, V.L. Biodegradation of diesel oil and gasoline contaminated effluent employing intermittent aeration. J. Hazard. Mater. 2009, 168, 1366–1372. [Google Scholar] [CrossRef]
- Zhang, Y. Research on the Methods and Effects of Oil Removal in Coal Chemical Wastewater. Master’s Thesis, Xi’an University of Architecture and Technology, Xi’an, China, 2021. (In Chinese). [Google Scholar]
- Wu, Q. Study on Adsorption-Coagulation Emergency Treatment of Petroleum Pollution in Drinking Water Sources. Master’s Thesis, University of South China, Hengyang, China, 2018. (In Chinese). [Google Scholar]
- Arey, J.S.; Martin Aparicio, A.; Vaiopoulou, E.; Forbes, S.; Lyon, D. Modeling the GCxGC Elution Patterns of a Hydrocarbon Structure Library To Innovate Environmental Risk Assessments of Petroleum Substances. Environ. Sci. Technol. 2022, 56, 17913–17923. [Google Scholar] [CrossRef]
- Beyer, J.; Trannum, H.C.; Bakke, T.; Hodson, P.V.; Collier, T.K. Environmental effects of the Deepwater Horizon oil spill: A review. Mar. Pollut. Bull. 2016, 110, 28–51. [Google Scholar] [CrossRef]
- Mirjani, M.; Soleimani, M.; Salari, V. Toxicity assessment of total petroleum hydrocarbons in aquatic environments using the bioluminescent bacterium Aliivibrio fischeri. Ecotoxicol. Environ. Saf. 2021, 207, 111554. [Google Scholar] [CrossRef]
- Munnelly, R.T.; Windecker, C.C.; Reeves, D.B.; Rieucau, G.; Portier, R.J.; Chesney, E.J. Effects of short-duration oil exposure on bay anchovy (Anchoa mitchilli) embryos and larvae: Mortality, malformation, and foraging. Aquat. Toxicol. 2021, 237, 105904. [Google Scholar] [CrossRef]
- Wang, Q.; Li, Y.; Zhang, X.; Wang, X.; Zhu, S.; Li, Z.; Chen, C. Research progress of removal technologies of naphthenic acids in petroleum and petrochemical wastewaters. Ind. Water Treat. 2023, 43, 1–14. (In Chinese) [Google Scholar] [CrossRef]
- Philibert, D.A.; Lyons, D.D.; Tierney, K.B. Comparing the effects of unconventional and conventional crude oil exposures on zebrafish and their progeny using behavioral and genetic markers. Sci. Total Environ. 2021, 770, 144745. [Google Scholar] [CrossRef] [PubMed]
- Ruberg, E.J.; Elliott, J.E.; Williams, T.D. Review of petroleum toxicity and identifying common endpoints for future research on diluted bitumen toxicity in marine mammals. Ecotoxicology 2021, 30, 537–551. [Google Scholar] [CrossRef]
- Xin, Q.; Saborimanesh, N.; Ridenour, C.; Farooqi, H. Fate, behaviour and microbial response of diluted bitumen and conventional crude spills in a simulated warm freshwater environment. Environ. Pollut. 2024, 343, 123224. [Google Scholar] [CrossRef]
- Shi, D.; Jia, H. Transport and behavior of marine oil spill containing polycyclic aromatic hydrocarbons in mesocosm experiments. J. Oceanol. Limnol. 2023, 41, 166–173. [Google Scholar] [CrossRef]
- Couillard, C.M.; Lee, K.; Légaré, B.; King, T.L. Effect of dispersant on the composition of the water-accommodated fraction of crude oil and its toxicity to larval marine fish. Environ. Toxicol. Chem. 2005, 24, 1496–1504. [Google Scholar] [CrossRef]
- Cao, Y.; Zhang, B.; Greer Charles, W.; Lee, K.; Cai, Q.; Song, X.; Tremblay, J.; Zhu, Z.; Dong, G.; Chen, B. Metagenomic and Metatranscriptomic Responses of Chemical Dispersant Application during a Marine Dilbit Spill. Appl. Environ. Microbiol. 2022, 88, e02151-21. [Google Scholar] [CrossRef] [PubMed]
- Ma, Z.-H.; Wei, X.-Y.; Liu, G.-H.; Liu, Z.-Q.; Liu, F.-J.; Zong, Z.-M. Insight into the Compositions of the Soluble/Insolube Portions from the Acid/Base Extraction of Five Fractions Distilled from a High Temperature Coal Tar. Energy Fuels 2019, 33, 10099–10107. [Google Scholar] [CrossRef]
- Shi, J.; Chunyan, X.; Yuxing, H.; Han, H. Case study on wastewater treatment technology of coal chemical industry in China. Crit. Rev. Environ. Sci. Technol. 2021, 51, 1003–1044. [Google Scholar] [CrossRef]
- Zhu, B.; Huang, D.; Xu, L.; Xie, W.; An, S.; Wang, C.; Gong, X.; Zhang, Z.; Li, W.; Zhu, L.; et al. Simulation and Analysis of Oil Pollutant Diffusion in River Affected by Coking Wash Oil Contaminated Groundwater. Earth Environ. Sci. 2024, 52, 771–781. (In Chinese) [Google Scholar] [CrossRef]
- Wang, C.; Han, L.; Zhang, Y.; Jiang, A.; Wang, J.; Niu, X. Effects of Physical Properties and Environmental Conditions on the Natural Dispersion of Oil. J. Mar. Sci. Eng. 2024, 12, 47. [Google Scholar] [CrossRef]
- Zhao, Z.; Zhao, R.; Qiu, X.; Wan, Y.; Lee, L. Structural Diversity of Bacterial Communities and Its Relation to Environmental Factors in the Surface Sediments from Main Stream of Qingshui River. Water 2022, 14, 3356. [Google Scholar] [CrossRef]
- Yan, Z.; Hao, Z.; Wu, H.; Jiang, H.; Yang, M.; Wang, C. Co-occurrence patterns of the microbial community in polycyclic aromatic hydrocarbon-contaminated riverine sediments. J. Hazard. Mater. 2019, 367, 99–108. [Google Scholar] [CrossRef] [PubMed]
- Zhang, W.; Zhu, M.; Li, Y.; Wang, C.; Qian, B.; Niu, L.; Wang, P.; Gu, J.; Yang, N. How fluvial inputs directly and indirectly affect the ecological status of different lake regions: A bio-assessment framework. J. Hydrol. 2020, 582, 124502. [Google Scholar] [CrossRef]
- GB/T 24217-2009; Wash Oil. National Technical Committee on Steel of Standardization Administration of China: Beijing, China, 2009. (In Chinese)
- Angenent, L.T.; Kelley, S.T.; St Amand, A.; Pace, N.R.; Hernandez, M.T. Molecular identification of potential pathogens in water and air of a hospital therapy pool. Proc. Natl. Acad. Sci. USA 2005, 102, 4860–4865. [Google Scholar] [CrossRef]
- Caporaso, J.G.; Kuczynski, J.; Stombaugh, J.; Bittinger, K.; Bushman, F.D.; Costello, E.K.; Fierer, N.; Peña, A.G.; Goodrich, J.K.; Gordon, J.I.; et al. QIIME allows analysis of high-throughput community sequencing data. Nat. Methods 2010, 7, 335–336. [Google Scholar] [CrossRef]
- Callahan, B.J.; McMurdie, P.J.; Rosen, M.J.; Han, A.W.; Johnson, A.J.; Holmes, S.P. DADA2: High-resolution sample inference from Illumina amplicon data. Nat. Methods 2016, 13, 581–583. [Google Scholar] [CrossRef] [PubMed]
- Quast, C.; Pruesse, E.; Yilmaz, P.; Gerken, J.; Schweer, T.; Yarza, P.; Peplies, J.; Glöckner, F.O. The SILVA ribosomal RNA gene database project: Improved data processing and web-based tools. Nucleic Acids Res. 2013, 41, D590–D596. [Google Scholar] [CrossRef]
- Douglas, G.M.; Maffei, V.J.; Zaneveld, J.R.; Yurgel, S.N.; Brown, J.R.; Taylor, C.M.; Huttenhower, C.; Langille, M.G.I. PICRUSt2 for prediction of metagenome functions. Nat. Biotechnol. 2020, 38, 685–688. [Google Scholar] [CrossRef]
- McDonald, D.; Price, M.N.; Goodrich, J.; Nawrocki, E.P.; DeSantis, T.Z.; Probst, A.; Andersen, G.L.; Knight, R.; Hugenholtz, P. An improved Greengenes taxonomy with explicit ranks for ecological and evolutionary analyses of bacteria and archaea. ISME J. 2012, 6, 610–618. [Google Scholar] [CrossRef]
- Kanehisa, M.; Sato, Y.; Furumichi, M.; Morishima, K.; Tanabe, M. New approach for understanding genome variations in KEGG. Nucleic Acids Res. 2019, 47, D590–D595. [Google Scholar] [CrossRef]
- Mangiola, S.; Doyle, M.A.; Papenfuss, A.T. Interfacing Seurat with the R tidy universe. Bioinformatics 2021, 37, 4100–4107. [Google Scholar] [CrossRef] [PubMed]
- Oksanen, J.; Blanchet, F.G.; Kindt, R.; Legendre, P.; Minchin, P.; O’Hara, R.B.; Simpson, G.; Solymos, P.; Stevens, M.H.H.; Wagner, H. Vegan: Community Ecology Package, R Package Version. 2.0-10; CRAN: Vienna, Austria, 2013. [Google Scholar]
- Min, X.; Wang, Y.; Chai, L.; Yang, Z.; Liao, Q. High-resolution analyses reveal structural diversity patterns of microbial communities in Chromite Ore Processing Residue (COPR) contaminated soils. Chemosphere 2017, 183, 266–276. [Google Scholar] [CrossRef] [PubMed]
- Villanueva, R.A.M.; Chen, Z.J. ggplot2: Elegant Graphics for Data Analysis, 2nd ed.; Springer: Cham, Switzerland, 2019. [Google Scholar]
- Hu, K. Become Competent in Generating RNA-Seq Heat Maps in One Day for Novices Without Prior R Experience. Methods Mol. Biol. 2021, 2239, 269–303. [Google Scholar] [CrossRef] [PubMed]
- Slowikowski, K.; Schep, A.; Hughes, S.; Lukauskas, S.; Irisson, J.O.; Kamvar, Z.N.; Gramme, P. ggrepel: Automatically Position Non-Overlapping Text Labels with ggplot2; 2018. Available online: https://CRAN.R-project.org/package=ggrepel (accessed on 10 March 2025).
- Aurand, D.; Coelho, G. Cooperative Aquatic Toxicity Testing of Dispersed Oil and the “Chemical Response to Oil Spills: Ecological Effects Research Forum (CROSERF)” A Model for Cooperative Research by Industry and Government; Ecosystem Management & Associates, Inc.: La Jolla, CA, USA, 2005. [Google Scholar]
- Adams, J.E.; Bornstein, J.M.; Munno, K.; Hollebone, B.P.; King, T.L.; Brown, R.S.; Hodson, P.V. Identification of compounds in heavy fuel oil that are chronically toxic to rainbow trout embryos by effects-driven chemical fractionation. Environ. Toxicol. Chem. 2014, 33, 825–835. [Google Scholar] [CrossRef]
- Chand, P.; Dutta, S.; Mukherji, S. Characterization and biodegradability assessment of water-soluble fraction of oily sludge using stir bar sorptive extraction and GCxGC-TOF MS. Environ. Pollut. 2022, 304, 119177. [Google Scholar] [CrossRef]
- Nelson, R.K.; Gosselin, K.M.; Hollander, D.J.; Murawski, S.A.; Gracia, A.; Reddy, C.M.; Radović, J.R. Exploring the Complexity of Two Iconic Crude Oil Spills in the Gulf of Mexico (Ixtoc I and Deepwater Horizon) Using Comprehensive Two-Dimensional Gas Chromatography (GC × GC). Energy Fuels 2019, 33, 3925–3933. [Google Scholar] [CrossRef]
- Vulava, V.M.; Vaughn, D.S.; McKay, L.D.; Driese, S.G.; Cooper, L.W.; Menn, F.M.; Levine, N.S.; Sayler, G.S. Flood-induced transport of PAHs from streambed coal tar deposits. Sci. Total Environ. 2017, 575, 247–257. [Google Scholar] [CrossRef]
- Gao, F.; Zhou, C.; Wang, Z.; Zhu, W.; Wang, X.; Liu, G. Solid-oil separation of coal tar residue to reduce polycyclic aromatic hydrocarbons via microwave-assisted extraction. J. Environ. Manag. 2023, 337, 117679. [Google Scholar] [CrossRef]
- Larsson, M.O.; Arp, H.P.H.; Carabante, I.; Kumpienė, J. Evaluation and Modelling of Polycyclic Aromatic Hydrocarbon (PAH) Bioavailability in Soils Affected by Coal Tar Asphalt. Environ. Pollut. 2024, 359, 124481. [Google Scholar] [CrossRef]
- Lacina, P.; Mravcová, L.; Vávrová, M. Application of comprehensive two-dimensional gas chromatography with mass spectrometric detection for the analysis of selected drug residues in wastewater and surface water. J. Environ. Sci. 2013, 25, 204–212. [Google Scholar] [CrossRef]
- Skoczyńska, E.; Korytár, P.; Boer, J.D. Maximizing Chromatographic Information from Environmental Extracts by GCxGC-ToF-MS. Environ. Sci. Technol. 2008, 42, 6611–6618. [Google Scholar] [CrossRef] [PubMed]
- Flaks, B. Effects of chronic oral dosing with quinine sulphate in the rat. Pathol. Res. Pract. 1978, 163, 373–377. [Google Scholar] [CrossRef] [PubMed]
- Vuchetich, P.J.; Bagchi, D.; Bagchi, M.; Hassoun, E.A.; Tang, L.; Stohs, S.J. Naphthalene-induced oxidative stress in rats and the protective effects of vitamin E succinate. Free Radic. Biol. Med. 1996, 21, 577–590. [Google Scholar] [CrossRef] [PubMed]
- Bleeker, E.A.J.; Wiegman, S.; De Voogt, P.; Kraak, M.; Leslie, H.; Haas, E.; Admiraal, W. Toxicity of azaarenes. Rev. Environ. Contam. Toxicol. 2002, 173, 39–83. [Google Scholar] [PubMed]
- Yuan, X.; Sun, H.; Guo, D. The removal of COD from coking wastewater using extraction replacement–biodegradation coupling. Desalination 2012, 289, 45–50. [Google Scholar] [CrossRef]
- Wei, X.X.; Zhang, Z.-Y.; Fan, Q.-L.; Yuan, X.-Y.; Guo, D.-S. The effect of treatment stages on the coking wastewater hazardous compounds and their toxicity. J. Hazard. Mater. 2012, 239–240, 135–141. [Google Scholar] [CrossRef]
- Glushkov, D.O.; Paushkina, K.K.; Shabardin, D.P. Co-combustion of coal processing waste, oil refining waste and municipal solid waste: Mechanism, characteristics, emissions. Chemosphere 2020, 240, 124892. [Google Scholar] [CrossRef]
- Blum, P.; Sagner, A.; Tiehm, A.; Martus, P.; Wendel, T.; Grathwohl, P. Importance of heterocylic aromatic compounds in monitored natural attenuation for coal tar contaminated aquifers: A review. J. Contam. Hydrol. 2011, 126, 181–194. [Google Scholar] [CrossRef]
- Ordabaeva, A.T.; Muldakhmetov, Z.M.; Meiramov, M.G.; Kim, S.V.; Sagintaeva, Z.I. Production of Pitch from Coal Tar of the Coke Chemical Production “Qarmet”. Molecules 2025, 30, 1441. [Google Scholar] [CrossRef]
- Niksa, S. A reaction mechanism for tar decomposition at moderate temperatures with any coal type. Fuel 2017, 193, 467–476. [Google Scholar] [CrossRef]
- Pereira, P.H.F.; Fernandes, L.; Jesus, H.E.; Costa, P.G.; Lacerda, C.H.F.; Mies, M.; Bianchini, A.; Santos, H.F. The Impact of Highly Weathered Oil from the Most Extensive Oil Spill in Tropical Oceans (Brazil) on the Microbiome of the Coral Mussismilia harttii. Microorganisms 2023, 11, 1935. [Google Scholar] [CrossRef] [PubMed]
- Schreiber, L.; Hunnie, B.; Altshuler, I.; Góngora, E.; Ellis, M.; Maynard, C.; Tremblay, J.; Wasserscheid, J.; Fortin, N.; Lee, K.; et al. Long-term biodegradation of crude oil in high-arctic backshore sediments: The Baffin Island Oil Spill (BIOS) after nearly four decades. Environ. Res. 2023, 233, 116421. [Google Scholar] [CrossRef] [PubMed]
- Gutierrez, T.; Berry, D.; Teske, A.; Aitken, M.D. Enrichment of Fusobacteria in Sea Surface Oil Slicks from the Deepwater Horizon Oil Spill. Microorganisms 2016, 4, 24. [Google Scholar] [CrossRef]
- Murphy, S.M.C.; Bautista, M.A.; Cramm, M.A.; Hubert, C.R.J. Diesel and Crude Oil Biodegradation by Cold-Adapted Microbial Communities in the Labrador Sea. Appl. Environ. Microbiol. 2021, 87, e0080021. [Google Scholar] [CrossRef]
- Wang, C.; Wu, H.; Zhao, W.; Zhu, B.; Yang, J. Effects of Polycyclic Aromatic Hydrocarbons on Soil Bacterial and Fungal Communities in Soils. Diversity 2024, 16, 675. [Google Scholar] [CrossRef]
- Johnston, E.L.; Roberts, D.A. Contaminants reduce the richness and evenness of marine communities: A review and meta-analysis. Environ. Pollut. 2009, 157, 1745–1752. [Google Scholar] [CrossRef]
- Cai, T.; Ding, Y.; Zhang, Z.; Wang, X.; Wang, T.; Ren, Y.; Dong, Y. Effects of total organic carbon content and leaching water volume on migration behavior of polycyclic aromatic hydrocarbons in soils by column leaching tests. Environ. Pollut. 2019, 254, 112981. [Google Scholar] [CrossRef]
- Shen, X.; Su, X.; Wan, Y.; Xu, G.; Lyu, H.; Song, T.; Dong, W. Influence mechanisms of dissolved organic matter and iron minerals on naphthalene attenuation during river infiltration. Sci. Total Environ. 2024, 956, 177410. [Google Scholar] [CrossRef]
- Zhu, Z.; Merlin, F.; Yang, M.; Lee, K.; Chen, B.; Liu, B.; Cao, Y.; Song, X.; Ye, X.; Li, Q.K.; et al. Recent advances in chemical and biological degradation of spilled oil: A review of dispersants application in the marine environment. J. Hazard. Mater. 2022, 436, 129260. [Google Scholar] [CrossRef]
- Brakstad, O.G.; Nordtug, T.; Throne-Holst, M. Biodegradation of dispersed Macondo oil in seawater at low temperature and different oil droplet sizes. Mar. Pollut. Bull. 2015, 93, 144–152. [Google Scholar] [CrossRef]
- Dubinsky, E.A.; Conrad, M.E.; Chakraborty, R.; Bill, M.; Borglin, S.E.; Hollibaugh, J.T.; Mason, O.U.; Piceno, Y.M.; Reid, F.C.; Stringfellow, W.T.; et al. Succession of Hydrocarbon-Degrading Bacteria in the Aftermath of the Deepwater Horizon Oil Spill in the Gulf of Mexico. Environ. Sci. Technol. 2013, 47, 10860–10867. [Google Scholar] [CrossRef] [PubMed]
- Ma, Y.; Wang, L.; Shao, Z. Pseudomonas, the dominant polycyclic aromatic hydrocarbon-degrading bacteria isolated from Antarctic soils and the role of large plasmids in horizontal gene transfer. Environ. Microbiol. 2006, 8, 455–465. [Google Scholar] [CrossRef]
- Wang, M.; Sha, C.; Wu, J.; Su, J.; Wu, J.; Wang, Q.; Tan, J.; Huang, S. Bacterial community response to petroleum contamination in brackish tidal marsh sediments in the Yangtze River Estuary, China. J. Environ. Sci. 2021, 99, 160–167. [Google Scholar] [CrossRef]
- Jiang, S.; Xue, D.; Feng, W.; Wang, K.; Wang, S.; Wang, T.; Lv, M.; Han, Y.; Lv, Y.; Hu, A.; et al. Long-term organic fertilization alters soil microbial community structure and its influence on faba bean production in a six-crop rotation system. Plant Soil 2024, 505, 1–17. [Google Scholar] [CrossRef]
- Yang, S.; Xiao, J.; Liang, T.; He, W.; Tan, H. Response of soil biological properties and bacterial diversity to different levels of nitrogen application in sugarcane fields. AMB Express 2021, 11, 172. [Google Scholar] [CrossRef]
- Lv, J.; Niu, Y.; Yuan, R.; Wang, S. Different Responses of Bacterial and Archaeal Communities in River Sediments to Water Diversion and Seasonal Changes. Microorganisms 2021, 9, 782. [Google Scholar] [CrossRef]
- Li, J.; Zuo, X.; Chen, Q.; Lin, Y.; Meng, F. Genome-resolved metagenomic analysis reveals a novel denitrifier with truncated nitrite reduction pathway from the genus SC-I-84. Water Res. 2025, 282, 123598. [Google Scholar] [CrossRef]
- Gorovtsov, A.V.; Sazykin, I.S.; Sazykina, M.A. The influence of heavy metals, polyaromatic hydrocarbons, and polychlorinated biphenyls pollution on the development of antibiotic resistance in soils. Environ. Sci. Pollut. Res. 2018, 25, 9283–9292. [Google Scholar] [CrossRef]
- Scariot, M.A.; Radünz, L.L.; Morelato, R.R.; da Costa Cabrera, L.; Dugatto, J.S.; Rohrig, B.; Dionello, R.G.; Radünz, A.L. Contamination and persistence of polycyclic aromatic hydrocarbons (PAHs) in rice grains after drying in direct-fired dryer. Food Sci. Biotechnol. 2024, 33, 1593–1602. [Google Scholar] [CrossRef]
- Thavamani, P.; Megharaj, M.; Naidu, R. Bioremediation of high molecular weight polyaromatic hydrocarbons co-contaminated with metals in liquid and soil slurries by metal tolerant PAHs degrading bacterial consortium. Biodegradation 2012, 23, 823–835. [Google Scholar] [CrossRef]
- Sharma, S.; Singh, K.; Singh, S. Synthetic Strategies for Quinoline Based Derivatives as Potential Bioactive Heterocycles. Curr. Org. Synth. 2023, 20, 606–629. [Google Scholar] [CrossRef]
- Li, Y.; Li, X.; Cui, Z.; He, F.; Zong, W.; Liu, R. Probing the toxic effect of quinoline to catalase and superoxide dismutase by multispectral method. Spectrochim. Acta A Mol. Biomol. Spectrosc. 2023, 293, 122449. [Google Scholar] [CrossRef]
- Mathe, A.; Mulpuru, V.; Katari, S.K.; Karlapudi, A.P.; Venkateswarulu, T.C. Virtual screening and invitro evaluation of cyclooxygenase inhibitors from Tinospora cordifolia using the machine learning tool. J. Biomol. Struct. Dyn. 2024, 42, 13275–13289. [Google Scholar] [CrossRef]
- Sun, X.; Zhuang, J.; Ma, X.; Tang, Y.; Ali, M.M.; Lu, Z.; Zheng, X.; Du, Z. Structure elucidation and risk assessment of degradation products in gamma irradiated rubber closures. Polym. Degrad. Stab. 2022, 204, 110126. [Google Scholar] [CrossRef]
- Ma, J.; Ibekwe, A.M.; Crowley, D.E.; Yang, C.-H. Persistence of Escherichia coli O157:H7 in Major Leafy Green Producing Soils. Environ. Sci. Technol. 2012, 46, 12154–12161. [Google Scholar] [CrossRef]
- Capblancq, T.; Luu, K.; Blum, M.G.B.; Bazin, E. Evaluation of redundancy analysis to identify signatures of local adaptation. Mol. Ecol. Resour. 2018, 18, 1223–1233. [Google Scholar] [CrossRef]
- Pavía-Sanders, A.; Zhang, S.; Flores, J.A.; Sanders, J.E.; Raymond, J.E.; Wooley, K.L. Robust Magnetic/Polymer Hybrid Nanoparticles Designed for Crude Oil Entrapment and Recovery in Aqueous Environments. ACS Nano 2013, 7, 7552–7561. [Google Scholar] [CrossRef]
- Borcard, D.; Gillet, F.; Legendre, P. Numerical Ecology with R, 2nd ed.; Springer: Cham, Switzerland, 2018. [Google Scholar]
- Rogiers, T.; Claesen, J.; Van Gompel, A.; Vanhoudt, N.; Mysara, M.; Williamson, A.; Leys, N.; Van Houdt, R.; Boon, N.; Mijnendonckx, K. Soil microbial community structure and functionality changes in response to long-term metal and radionuclide pollution. Environ. Microbiol. 2021, 23, 1670–1683. [Google Scholar] [CrossRef]
- Dang, C.; Liu, S.; Chen, Q.; Sun, W.; Zhong, H.; Hu, J.; Liang, E.; Ni, J. Response of microbial nitrogen transformation processes to antibiotic stress in a drinking water reservoir. Sci. Total Environ. 2021, 797, 149119. [Google Scholar] [CrossRef]
- Huang, L.; Ye, J.; Jiang, K.; Wang, Y.; Li, Y. Oil contamination drives the transformation of soil microbial communities: Co-occurrence pattern, metabolic enzymes and culturable hydrocarbon-degrading bacteria. Ecotoxicol. Environ. Saf. 2021, 225, 112740. [Google Scholar] [CrossRef]
- Bacosa, H.P.; Erdner, D.L.; Rosenheim, B.E.; Shetty, P.; Seitz, K.W.; Baker, B.J.; Liu, Z. Hydrocarbon degradation and response of seafloor sediment bacterial community in the northern Gulf of Mexico to light Louisiana sweet crude oil. ISME J. 2018, 12, 2532–2543. [Google Scholar] [CrossRef] [PubMed]
- Zhou, Y.; Wang, Y.; Yang, L.; Kong, Q.; Zhang, H. Microbial degradation mechanisms of surface petroleum contaminated seawater in a typical oil trading port. Environ. Pollut. 2023, 324, 121420. [Google Scholar] [CrossRef] [PubMed]






Disclaimer/Publisher’s Note: The statements, opinions and data contained in all publications are solely those of the individual author(s) and contributor(s) and not of MDPI and/or the editor(s). MDPI and/or the editor(s) disclaim responsibility for any injury to people or property resulting from any ideas, methods, instructions or products referred to in the content. |
© 2025 by the authors. Licensee MDPI, Basel, Switzerland. This article is an open access article distributed under the terms and conditions of the Creative Commons Attribution (CC BY) license (https://creativecommons.org/licenses/by/4.0/).
Share and Cite
Wen, X.; Fan, A.; Wang, J.; Xia, Y.; Chen, S.; Yang, Y. Different Emergency Response Strategies to Oil Spills in Rivers Lead to Divergent Contamination Compositions and Microbial Community Response Characteristics. Microorganisms 2025, 13, 1193. https://doi.org/10.3390/microorganisms13061193
Wen X, Fan A, Wang J, Xia Y, Chen S, Yang Y. Different Emergency Response Strategies to Oil Spills in Rivers Lead to Divergent Contamination Compositions and Microbial Community Response Characteristics. Microorganisms. 2025; 13(6):1193. https://doi.org/10.3390/microorganisms13061193
Chicago/Turabian StyleWen, Xinyu, An Fan, Jinsong Wang, Yulin Xia, Sili Chen, and Yuyin Yang. 2025. "Different Emergency Response Strategies to Oil Spills in Rivers Lead to Divergent Contamination Compositions and Microbial Community Response Characteristics" Microorganisms 13, no. 6: 1193. https://doi.org/10.3390/microorganisms13061193
APA StyleWen, X., Fan, A., Wang, J., Xia, Y., Chen, S., & Yang, Y. (2025). Different Emergency Response Strategies to Oil Spills in Rivers Lead to Divergent Contamination Compositions and Microbial Community Response Characteristics. Microorganisms, 13(6), 1193. https://doi.org/10.3390/microorganisms13061193

