Anti-Biofilm Properties of Cell-Free Supernatant from Bacillus velezensis EA73 by In Vitro Study with Staphylococcus aureus
Abstract
1. Introduction
2. Materials and Methods
2.1. Strain and Growth Conditions
2.2. Preparation of EA73 CFS
2.3. In Vitro Experiment
2.3.1. S. aureus Biofilm Formation Capacity
2.3.2. Determination of MBEC
2.3.3. Clearance of S. aureus Biofilms by EA73 CFS
2.3.4. The Effects of EA73 CFS on the Micromorphology of S. aureus Biofilms
2.3.5. The Effects of EA73 CFS on the Intramembrane Metabolism of S. aureus Biofilms
2.3.6. Analysis of EPSs
2.3.7. Detection of Biofilm-Related Genes of S. aureus
2.3.8. Statistical Analysis
2.4. In Silico Experiment
2.4.1. Component Analysis of EA73 CFS
2.4.2. Target Prediction and Collection
2.4.3. Component–Target–Disease Network Analysis
2.4.4. Protein–Protein Interaction Network Construction
2.4.5. GO and KEGG Enrichment Analyses
2.4.6. Molecular Docking Computer Simulation Verification
3. Results
3.1. In Vitro Experiment Results
3.1.1. Biofilm Formation Time
3.1.2. The Determination of the MBEC of S. aureus Biofilms by EA73 CFS
3.1.3. Removal of S. aureus Biofilms by EA73 CFS
3.1.4. Effects of EA73 CFS on the Micromorphology of S. aureus Biofilms
3.1.5. Effects of EA73 on Metabolism Within the Membrane of S. aureus Biofilms
3.1.6. Effects of EA73 CFS on the Extracellular Polymers of S. aureus Biofilms
3.1.7. Effects of EA73 CFS on the Expression of S. aureus Biofilm-Related Genes
3.2. In Silico Experiments
3.2.1. LC-MS/MS Results
3.2.2. Common Targets of EA73 CFS Main Ingredients and S. aureus-Mediated Diseases
3.2.3. Component–Target–Disease Network Diagram
3.2.4. PPI Network
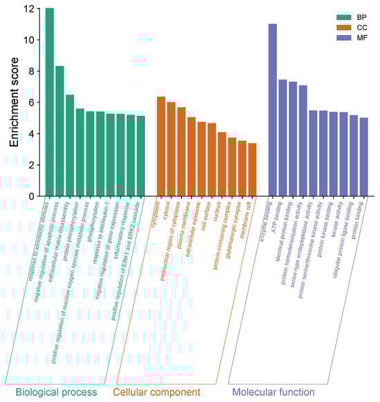
3.2.5. Analysis of GO Function and KEGG Enrichment of Related Targets
3.2.6. Molecular Docking Analysis
4. Discussion
5. Conclusions
Author Contributions
Funding
Institutional Review Board Statement
Informed Consent Statement
Data Availability Statement
Conflicts of Interest
Abbreviations
| CFS | Cell-free supernatant |
| EPS | Extracellular polymeric substance |
| PIA | Polysaccharide intercellular adhesin |
| QS | Quorum sensing |
| AIPs | Autoinducing peptides |
| MBEC | Minimum biofilm eradication concentration |
| DAPI | 4′,6-Diamidino-2-phenylindole |
| GO | Gene Ontology |
| KEGG | Kyoto Encyclopedia of Genes and Genomes |
| PPI | Protein–protein interaction |
| BP | Biological process |
| CC | Cellular component |
| MF | Molecular function |
References
- Percival, S.L.; Emanuel, C.; Cutting, K.F.; Williams, D.W. Microbiology of the skin and the role of biofilms in infection. Int. Wound J. 2012, 9, 14–32. [Google Scholar] [CrossRef] [PubMed]
- Shen, L.; Zhang, J.; Chen, Y.; Rao, L.; Wang, X.; Zhao, H.; Wang, B.; Xiao, Y.; Yu, J.; Xu, Y.; et al. Small-Molecule Compound CY-158-11 Inhibits Staphylococcus aureus Biofilm Formation. Microbiol. Spectr. 2023, 11, e0004523. [Google Scholar] [CrossRef] [PubMed]
- Atshan, S.S.; Shamsudin, M.N.; Sekawi, Z.; Lung, L.T.T.; Hamat, R.A.; Karunanidhi, A.; Ali, A.M.; Ghaznavi-Rad, E.; Ghasemzadeh-Moghaddam, H.; Seng, J.S.C.; et al. Prevalence of Adhesion and Regulation of Biofilm-Related Genes in Different Clones of Staphylococcus aureus. J. Biomed. Biotechnol. 2012, 2012, 976972. [Google Scholar] [CrossRef]
- Chung, P.Y.; Loh, P.L.N.; Neoh, H.-M.; Ramli, R. Alpha-amyrin as an anti-biofilm agent against methicillin-resistant and vancomycin-intermediate. Staphylococcus aureus. Heliyon 2023, 9, e17892. [Google Scholar] [CrossRef]
- Polst, B.H.; Anlanger, C.; Risse-Buhl, U.; Larras, F.; Hein, T.; Weitere, M.; Schmitt-Jansen, M. Hydrodynamics Alter the Tolerance of Autotrophic Biofilm Communities Toward Herbicides. Front. Microbiol. 2018, 9, 2884. [Google Scholar] [CrossRef]
- West, K.H.J.; Gahan, C.G.; Kierski, P.R.; Calderon, D.F.; Zhao, K.; Czuprynski, C.J.; McAnulty, J.F.; Lynn, D.M.; Blackwell, H.E. Sustained Release of a Synthetic Autoinducing Peptide Mimetic Blocks Bacterial Communication and Virulence In Vivo. Angew. Chem.-Int. Ed. 2022, 61, e202201798. [Google Scholar] [CrossRef]
- Paulander, W.; Varming, A.N.; Bojer, M.S.; Friberg, C.; Bak, K.; Ingmer, H. The agr quorum sensing system in Staphylococcus aureus cells mediates death of sub-population. BMC Res. Notes 2018, 11, 503. [Google Scholar] [CrossRef]
- Caceres, M.; Hidalgo, W.; Stashenko, E.; Torres, R.; Ortiz, C. Essential Oils of Aromatic Plants with Antibacterial, Anti-Biofilm and Anti-Quorum Sensing Activities against Pathogenic Bacteria. Antibiotics 2020, 9, 147. [Google Scholar] [CrossRef]
- Liu, J.-Y.; Jia, J.-J.; Liu, M.; Duan, H.; Hu, M.-L.; Liu, C.; Xue, R.-Y.; Jin, Z.-L.; Zhang, S.-S.; Li, G.-C.; et al. A novel indolylbenzoquinone compound HL-J6 suppresses biofilm formation and α-toxin secretion in methicillin-resistant Staphylococcus aureus. Int. J. Antimicrob. Agents 2023, 62, 106972. [Google Scholar] [CrossRef]
- Tamai, M.; Yamazaki, Y.; Ito, T.; Nakagawa, S.; Nakamura, Y. Pathogenic role of the staphylococcal accessory gene regulator quorum sensing system in atopic dermatitis. Front. Cell. Infect. Microbiol. 2023, 13, 1178650. [Google Scholar] [CrossRef]
- Uberoi, A.; McCready-Vangi, A.; Grice, E.A. The wound microbiota: Microbial mechanisms of impaired wound healing and infection. Nat. Rev. Microbiol. 2024, 22, 507–521. [Google Scholar] [CrossRef] [PubMed]
- Ren, Z.; Xie, L.; Okyere, S.K.; Wen, J.; Ran, Y.; Nong, X.; Hu, Y. Antibacterial Activity of Two Metabolites Isolated From Endophytic Bacteria Bacillus velezensis Ea73 in Ageratina adenophora. Front. Microbiol. 2022, 13, 860009. [Google Scholar] [CrossRef] [PubMed]
- Strobel, G.; Daisy, B.; Castillo, U.; Harper, J. Natural products from endophytic microorganisms. J. Nat. Prod. 2004, 67, 257–268. [Google Scholar] [CrossRef]
- Lee, C.; Li, W.; Bang, S.; Lee, S.J.; Kang, N.Y.; Kim, S.; Kim, T.I.; Go, Y.; Shim, S.H. Secondary Metabolites of The Endophytic Fungus Alternaria alternata JS0515 Isolated from Vitex rotundifolia and Their Effects on Pyruvate Dehydrogenase Activity. Molecules 2019, 24, 4450. [Google Scholar] [CrossRef]
- Bajagai, Y.S.; Alsemgeest, J.; Moore, R.J.; Van, T.T.H.; Stanley, D. Phytogenic products, used as alternatives to antibiotic growth promoters, modify the intestinal microbiota derived from a range of production systems: An in vitro model. Appl. Microbiol. Biotechnol. 2020, 104, 10631–10640. [Google Scholar] [CrossRef]
- Ostovan, R.; Pourmontaseri, M.; Hosseinzadeh, S.; Shekarforoush, S.S. Interaction between the probiotic Bacillus subtilis and Salmonella Typhimurium in Caco-2 cell culture. Iran. J. Microbiol. 2021, 13, 91–97. [Google Scholar] [CrossRef]
- Karley, D.; Shukla, S.K.; Rao, T.S. Biosynthesis of silver nanoparticle using Bacillus licheniformis culture-supernatant for combating pathogenic biofilms. Microb. Pathog. 2024, 194, 106833. [Google Scholar] [CrossRef]
- Ommen, P.; Zobek, N.; Meyer, R.L. Quantification of biofilm biomass by staining: Non-toxic safranin can replace the popular crystal violet. J. Microbiol. Methods 2017, 141, 87–89. [Google Scholar] [CrossRef]
- Haaber, J.; Cohn, M.T.; Petersen, A.; Ingmer, H. Simple method for correct enumeration of Staphylococcus aureus. J. Microbiol. Methods 2016, 125, 58–63. [Google Scholar] [CrossRef]
- Pourhajibagher, M.; Alaeddini, M.; Etemad-Moghadam, S.; Rahimi Esboei, B.; Bahrami, R.; Miri Mousavi, R.s.; Bahador, A. Quorum quenching of Streptococcus mutans via the nano-quercetin-based antimicrobial photodynamic therapy as a potential target for cariogenic biofilm. BMC Microbiol. 2022, 22, 125. [Google Scholar] [CrossRef]
- Dall, G.F.; Tsang, S.J.; Gwynne, P.J.; MacKenzie, S.P.; Simpson, A.; Breusch, S.J.; Gallagher, M.P. Unexpected synergistic and antagonistic antibiotic activity against Staphylococcus biofilms. J. Antimicrob. Chemother. 2018, 73, 1830–1840. [Google Scholar] [CrossRef] [PubMed]
- Perini, H.F.; Pereira, B.B.; Sousa, E.G.; Matos, B.S.; Silva Prado, L.C.D.; Carvalho Azevedo, V.A.; Castro Soares, S.; Silva, M.V.D. Inhibitory effect of Bacillus velezensis 1273 strain cell-free supernatant against developing and preformed biofilms of Staphylococcus aureus and MRSA. Microb. Pathog. 2024, 197, 107065. [Google Scholar] [CrossRef]
- Narayanan, K.B.; Park, G.T.; Han, S.S. Biocompatible, antibacterial, polymeric hydrogels active against multidrug-resistant Staphylococcus aureus strains for food packaging applications. Food Control 2021, 123, 107695. [Google Scholar] [CrossRef]
- Bishop, B.M.; Juba, M.L.; Devine, M.C.; Barksdale, S.M.; Rodriguez, C.A.; Chung, M.C.; Russo, P.S.; Vliet, K.A.; Schnur, J.M.; van Hoek, M.L. Bioprospecting the American Alligator (Alligator mississippiensis) Host Defense Peptidome. PLoS ONE 2015, 10, e0117394. [Google Scholar] [CrossRef]
- Li, H.; Li, C.; Ye, Y.; Cui, H.; Lin, L. Inhibition mechanism of cyclo (L-Phe-L-Pro) on early stage Staphylococcus aureus biofilm and its application on food contact surface. Food Biosci. 2022, 49, 101968. [Google Scholar] [CrossRef]
- Jiang, L.-M.; Hoogenkamp, M.A.; van der Sluis, L.W.M.; Wesselink, P.R.; Crielaard, W.; Deng, D.M. Resazurin Metabolism Assay for Root Canal Disinfectant Evaluation on Dual-species Biofilms. J. Endod. 2011, 37, 31–35. [Google Scholar] [CrossRef]
- Cui, H.; Li, H.; Abdel-Samie, M.A.; Surendhiran, D.; Lin, L. Anti-Listeria monocytogenes biofilm mechanism of cold nitrogen plasma. Innov. Food Sci. Emerg. Technol. 2021, 67, 102571. [Google Scholar] [CrossRef]
- Liu, M.; Wu, X.; Li, J.; Liu, L.; Zhang, R.; Shao, D.; Du, X. The specific anti-biofilm effect of gallic acid on Staphylococcus aureus by regulating the expression of the ica operon. Food Control 2017, 73, 613–618. [Google Scholar] [CrossRef]
- Grintzalis, K.; Georgiou, C.D.; Schneider, Y.-J. An accurate and sensitive Coomassie Brilliant Blue G-250-based assay for protein determination. Anal. Biochem. 2015, 480, 28–30. [Google Scholar] [CrossRef]
- Liao, F.; Yousif, M.; Huang, R.; Qiao, Y.; Hu, Y. Network pharmacology- and molecular docking-based analyses of the antihypertensive mechanism of Ilex kudingcha. Front. Endocrinol. 2023, 14, 1216086. [Google Scholar] [CrossRef]
- Hong, Q.; Huo, S.; Tang, H.; Qu, X.; Yue, B. Smart Nanomaterials for Treatment of Biofilm in Orthopedic Implants. Front. Bioeng. Biotechnol. 2021, 9, 694635. [Google Scholar] [CrossRef] [PubMed]
- Khasawneh, A.I.; Himsawi, N.; Abu-Raideh, J.; Salameh, M.A.; Al-Tamimi, M.; Al Haj Mahmoud, S.; Saleh, T. Status of Biofilm-Forming Genes among Jordanian Nasal Carriers of Methicillin-Sensitive and Methicillin-Resistant Staphylococcus aureus. Iran. Biomed. J. 2020, 24, 386–398. [Google Scholar] [CrossRef] [PubMed]
- Xue, X.; Sztajer, H.; Buddruhs, N.; Petersen, J.; Rohde, M.; Talay, S.R.; Wagner-Döbler, I. Lack of the delta subunit of RNA polymerase increases virulence related traits of Streptococcus mutans. PLoS ONE 2011, 6, e20075. [Google Scholar] [CrossRef]
- Ray, G.T.; Suaya, J.A.; Baxter, R. Incidence, microbiology, and patient characteristics of skin and soft-tissue infections in a U.S. population: A retrospective population-based study. BMC Infect. Dis. 2013, 13, 252. [Google Scholar] [CrossRef]
- Peng, Q.; Tang, X.; Dong, W.; Sun, N.; Yuan, W. A Review of Biofilm Formation of Staphylococcus aureus and Its Regulation Mechanism. Antibiotics 2022, 12, 12. [Google Scholar] [CrossRef]
- Afroj, S.; Brannen, A.D.; Nasrin, S.; Al Mouslem, A.; Hathcock, T.; Maxwell, H.; Rasmussen-Ivey, C.R.; Sandage, M.J.; Davis, E.W.; Panizzi, P.; et al. Bacillus velezensis AP183 Inhibits Staphylococcus aureus Biofilm Formation and Proliferation in Murine and Bovine Disease Models. Front. Microbiol. 2021, 12, 746410. [Google Scholar] [CrossRef]
- Kranjec, C.; Morales Angeles, D.; Torrissen Marli, M.; Fernandez, L.; Garcia, P.; Kjos, M.; Diep, D.B. Staphylococcal Biofilms: Challenges and Novel Therapeutic Perspectives. Antibiotics 2021, 10, 131. [Google Scholar] [CrossRef]
- Zhang, F.; Wang, B.; Liu, S.; Chen, Y.; Lin, Y.; Liu, Z.; Zhang, X.; Yu, B. Bacillus subtilis revives conventional antibiotics against Staphylococcus aureus osteomyelitis. Microb. Cell Factories 2021, 20, 102. [Google Scholar] [CrossRef]
- Park, Y.J.; Kim, Y.J.; Yu, H.H.; Lee, N.-K.; Paik, H.-D. Cell-free supernatants of Bacillus subtilis and Bacillus polyfermenticus inhibit Listeria monocytogenes biofilm formation. Food Control 2023, 144, 109387. [Google Scholar] [CrossRef]
- Nguyen, H.T.T.; Nguyen, T.H.; Otto, M. The staphylococcal exopolysaccharide PIA–Biosynthesis and role in biofilm formation, colonization, and infection. Comput. Struct. Biotechnol. J. 2020, 18, 3324–3334. [Google Scholar] [CrossRef]
- Hamushan, M.; Yu, J.; Jiang, F.; Wang, B.; Li, M.; Hu, Y.; Wang, J.; Wu, Q.; Tang, J.; Han, P.; et al. Adaptive evolution of the Clf-Sdr subfamily contributes to Staphylococcus aureus musculoskeletal infection: Evidence from comparative genomics. Microbiol. Res. 2024, 278, 127502. [Google Scholar] [CrossRef] [PubMed]
- Preda, M.; Mihai, M.M.; Popa, L.I.; Ditu, L.-M.; Holban, A.M.; Manolescu, L.S.C.; Popa, G.-L.; Muntean, A.-A.; Gheorghe, I.; Chifiriuc, C.M.; et al. Phenotypic and genotypic virulence features of staphylococcal strains isolated from difficult-to-treat skin and soft tissue infections. PLoS ONE 2021, 16, e0246478. [Google Scholar] [CrossRef] [PubMed]
- Qi, M.; Liu, Q.; Liu, Y.; Yan, H.; Zhang, Y.; Yuan, Y. Staphylococcus aureus biofilm inhibition by high voltage prick electrostatic field (HVPEF) and the mechanism investigation. Int. J. Food Microbiol. 2022, 362, 109499. [Google Scholar] [CrossRef]
- Kolodkin-Gal, I.; Verdiger, R.; Shlosberg-Fedida, A.; Engelberg-Kulka, H. Differential Effect of E. coli Toxin-Antitoxin Systems on Cell Death in Liquid Media and Biofilm Formation. PLoS ONE 2009, 4, e6785. [Google Scholar] [CrossRef]
- Kot, B.; Sytykiewicz, H.; Sprawka, I. Expression of the Biofilm-Associated Genes in Methicillin-Resistant Staphylococcus aureus in Biofilm and Planktonic Conditions. Int. J. Mol. Sci. 2018, 19, 3487. [Google Scholar] [CrossRef]
- Shompole, S.; Henon, K.T.; Liou, L.E.; Dziewanowska, K.; Bohach, G.A.; Bayles, K.W. Biphasic intracellular expression of Staphylococcus aureus virulence factors and evidence for Agr-mediated diffusion sensing. Mol. Microbiol. 2003, 49, 919–927. [Google Scholar] [CrossRef]
- Sang, H.; Jin, H.; Song, P.; Xu, W.; Wang, F. Gallic acid exerts antibiofilm activity by inhibiting methicillin-resistant Staphylococcus aureus adhesion. Sci. Rep. 2024, 14, 17220. [Google Scholar] [CrossRef]
- Jiang, M.; Li, Y.; Sun, B.; Xu, S.; Pan, T.; Li, Y. Phage transcription activator RinA regulates Staphylococcus aureus virulence by governing sarA expression. Genes Genom. 2023, 45, 191–202. [Google Scholar] [CrossRef]
- Melo, T.A.; Dos Santos, T.F.; de Almeida, M.E.; Junior, L.A.; Andrade, E.F.; Rezende, R.P.; Marques, L.M.; Romano, C.C. Inhibition of Staphylococcus aureus biofilm by Lactobacillus isolated from fine cocoa. BMC Microbiol. 2016, 16, 250. [Google Scholar] [CrossRef]
- Junren, C.; Xiaofang, X.; Mengting, L.; Qiuyun, X.; Gangmin, L.; Huiqiong, Z.; Guanru, C.; Xin, X.; Yanpeng, Y.; Fu, P.; et al. Pharmacological activities and mechanisms of action of Pogostemon cablin Benth: A review. Chin. Med. 2021, 16, 5. [Google Scholar] [CrossRef]
- Mir, M.A.; Altuhami, S.A.; Mondal, S.; Bashir, N.; Dera, A.A.; Alfhili, M.A. Antibacterial and Antibiofilm Activities of β-Lapachone by Modulating the Catalase Enzyme. Antibiotics 2023, 12, 576. [Google Scholar] [CrossRef] [PubMed]
- Pan, M.; Lu, C.; Zheng, M.; Zhou, W.; Song, F.; Chen, W.; Yao, F.; Liu, D.; Cai, J. Unnatural Amino-Acid-Based Star-Shaped Poly(l-Ornithine)s as Emerging Long-Term and Biofilm-Disrupting Antimicrobial Peptides to Treat Pseudomonas aeruginosa-Infected Burn Wounds. Adv. Healthc. Mater. 2020, 9, 2000647. [Google Scholar] [CrossRef] [PubMed]
- Gurkok, G.; Altanlar, N.; Suzen, S. Investigation of Antimicrobial Activities of Indole-3-Aldehyde Hydrazide/Hydrazone Derivatives. Chemotherapy 2009, 55, 15–19. [Google Scholar] [CrossRef]
- Aldulaimi, O. Screening of Fruits of Seven Plants Indicated for Medicinal Use in Iraq. Pharmacogn. Mag. 2017, 13, S189–S195. [Google Scholar] [CrossRef]
- Lee, K.; Choi, Y.I.; Im, S.T.; Hwang, S.M.; Lee, H.K.; Im, J.Z.; Kim, Y.H.; Jung, S.J.; Park, C.K. Riboflavin Inhibits Histamine-Dependent Itch by Modulating Transient Receptor Potential Vanilloid 1 (TRPV1). Front. Mol. Neurosci. 2021, 14, 643483. [Google Scholar] [CrossRef]
- Smith, J.S.; Rajagopal, S.; Atwater, A.R. Chemokine Signaling in Allergic Contact Dermatitis: Toward Targeted Therapies. Dermatitis 2018, 29, 179–186. [Google Scholar] [CrossRef]
- Rocha-Ramírez, L.M.; Pérez-Solano, R.A.; Castañón-Alonso, S.L.; Moreno Guerrero, S.S.; Ramírez Pacheco, A.; García Garibay, M.; Eslava, C. Probiotic Lactobacillus Strains Stimulate the Inflammatory Response and Activate Human Macrophages. J. Immunol. Res. 2017, 2017, 4607491. [Google Scholar] [CrossRef]
- Julovi, S.M.; McKelvey, K.; Minhas, N.; Chan, Y.-K.A.; Xue, M.; Jackson, C.J. Involvement of PAR-2 in the Induction of Cell-Specific Matrix Metalloproteinase-2 by Activated Protein C in Cutaneous Wound Healing. Int. J. Mol. Sci. 2024, 25, 370. [Google Scholar] [CrossRef]
- Gong, Y.; Hart, E.; Shchurin, A.; Hoover-Plow, J. Inflammatory macrophage migration requires MMP-9 activation by plasminogen in mice. J. Clin. Investig. 2008, 118, 3012–3024. [Google Scholar] [CrossRef]
- Michalak-Stoma, A.; Bartosińska, J.; Raczkiewicz, D.; Kowal, M.; Krasowska, D.; Chodorowska, G. Assessment of Selected Matrix Metalloproteinases (MMPs) and Correlation with Cytokines in Psoriatic Patients. Mediat. Inflamm. 2021, 2021, 9913798. [Google Scholar] [CrossRef]
- Bancroft, T.; Bouaouina, M.; Roberts, S.; Lee, M.; Calderwood, D.A.; Schwartz, M.; Simons, M.; Sessa, W.C.; Kyriakides, T.R. Up-regulation of Thrombospondin-2 in Akt1-null Mice Contributes to Compromised Tissue Repair Due to Abnormalities in Fibroblast Function. J. Biol. Chem. 2015, 290, 409–422. [Google Scholar] [CrossRef] [PubMed]
- Han, H.-M.; Kim, S.-J.; Kim, J.-S.; Kim, B.H.; Lee, H.W.; Lee, Y.T.; Kang, K.-H. Ameliorative effects of Artemisia argyi Folium extract on 2,4-dinitrochlorobenzene-induced atopic dermatitis-like lesions in BALB/c mice. Mol. Med. Rep. 2016, 14, 3206–3214. [Google Scholar] [CrossRef] [PubMed]
- An, Z.; Aksoy, O.; Zheng, T.; Fan, Q.W.; Weiss, W.A. Epidermal growth factor receptor and EGFRvIII in glioblastoma: Signaling pathways and targeted therapies. Oncogene 2018, 37, 1561–1575. [Google Scholar] [CrossRef]














| Genes | Sequence (5′-3′) |
|---|---|
| 16sRNA F | ACTCCTACGGGAGGCAGCAG |
| 16sRNA R | ATTACCGCGGCTGCTGG |
| icaA F | CTGGCGCAGTCAATACTATTTCGGGTGTCT |
| icaA R | GACCTCCCAATGTTTCTGGAACCAACATCC |
| icaD F | CCAGACAGAGGGAATACC |
| icaD R | AAGACACAAGATATAGCGATAAG |
| agrA F | TGATAATCCTTATGAGGTGCTT |
| agrA R | CACTGTGACTCGTAACGAAAA |
| agrC F | CGAAATGCGCAAGTTCCGT |
| agrC R | GTAGGCCAGGCATGTCATCT |
| sarA F | CAAACAACCACAAGTTGTTAAAGC |
| sarA R | TGTTTGCTTCAGTGATTCGTTT |
| srtA F | GAACCAGTATATCCAGGACCAGCAAC |
| srtA R | TAGTTCGGACGGTCAATGAAAGTGTG |
| cidA F | AGCGTAATTTCGGAAGCAACATCCA |
| cidA R | CCCTTAGCCGGCAGTATTGTTGGTC |
| clf A F | GCTTCAGTGCTTGTAGGTA |
| clf A R | GCTATCAGATTGCGTAACAC |
| clf B F | ACATCAGTAATAGTAGGGG |
| clf B F | TTCGCACTGTTTGTGTTTGCAC |
| eno F | AAACTGCAGTAGGTGACGAA |
| eno R | TGTTTCAACAGCATCTTCAGTACCTT |
| ID | Name | Rt (s) | Formula | Relative Content |
|---|---|---|---|---|
| M197T188_2 | 3,4-Dimethyl-2-(1-pyrrolidinyl)-2-cyclopenten-1-one | 188.1 | C11H17NO | 8.83% |
| M377T196 | Riboflavin | 196.4 | C17H20N4O6 | 6.71% |
| M165T173_1 | 3,4-Dimethoxybenzaldehyde | 172.8 | C9H10O3 | 5.49% |
| M131T138_2 | Ureidopropionic acid | 138.2 | C4H8N2O3 | 5.12% |
| M116T335 | Guanidoacetic acid | 335 | C3H7N3O2 | 3.32% |
| M243T367_2 | 2-Tridecanone | 367.5 | C13H26O | 2.57% |
| M230T72_2 | Octopine | 72.2 | C9H18N4O4 | 2.06% |
| M174T231 | Indole-3-glycol aldehyde | 230.6 | C10H9NO2 | 2.06% |
| M186T93 | N6-(delta 2-Isopentenyl)-adenine | 93.2 | C10H13N5 | 2.02% |
| M131T121_1 | L-Ornithine | 120.6 | C5H12N2O2 | 1.55% |
| M144T86 | 5-(2-Hydroxyethyl)-4-methylthiazole | 86.3 | C6H9NOS | 1.54% |
| M362T260_2 | Nevadensin | 260 | C18H16O7 | 1.38% |
| M131T75_2 | (R)-2-Hydroxy-4-methylpentanoic acid | 75.1 | C6H12O3 | 1.34% |
| M227T248 | beta-Patchoulene | 248.4 | C15H24 | 1.32% |
| M221T362_2 | Histamine | 362.5 | C5H9N3 | 1.17% |
| M320T349_2 | 19-Hydroxyandrost-4-ene-3,17-dione | 349.1 | C19H26O3 | 0.96% |
| M134T225 | 4-Methyl-1H-benzotriazole | 225.5 | C7H7N3 | 0.92% |
| M211T259 | L-Leucyl-L-proline lactam | 258.6 | C11H18N2O2 | 0.85% |
| M247T304 | Demethylmaprotiline | 303.6 | C19H21N | 0.85% |
| M217T189 | Bergapten | 189.4 | C12H8O4 | 0.72% |
| Receptor_Name | Ligand_Name | Scores |
|---|---|---|
| 4xct-MMP9 | 2-Tridecanone | −6.5 |
| 4xct-MMP9 | N6-(delta2-Isopentenyl)-adenine | −9.8 |
| 4xct-MMP9 | Nevadensin | −9.3 |
| 5ias-CASP3 | 2-Tridecanone | −4.1 |
| 5ias-CASP3 | N6-(delta2-Isopentenyl)-adenine | −6.7 |
| 5ias-CASP3 | Nevadensin | −6.1 |
| 7nh5-AKT1 | 2-Tridecanone | −5.7 |
| 7nh5-AKT1 | N6-(delta2-Isopentenyl)-adenine | −8.1 |
| 7nh5-AKT1 | Nevadensin | −8.7 |
| 8a27-EGFR | 2-Tridecanone | −6.3 |
| 8a27-EGFR | N6-(delta2-Isopentenyl)-adenine | −8 |
| 8a27-EGFR | Nevadensin | −8.4 |
| 8jn8-SRC | 2-Tridecanone | −4.7 |
| 8jn8-SRC | N6-(delta2-Isopentenyl)-adenine | −6.9 |
| 8jn8-SRC | Nevadensin | −6.9 |
Disclaimer/Publisher’s Note: The statements, opinions and data contained in all publications are solely those of the individual author(s) and contributor(s) and not of MDPI and/or the editor(s). MDPI and/or the editor(s) disclaim responsibility for any injury to people or property resulting from any ideas, methods, instructions or products referred to in the content. |
© 2025 by the authors. Licensee MDPI, Basel, Switzerland. This article is an open access article distributed under the terms and conditions of the Creative Commons Attribution (CC BY) license (https://creativecommons.org/licenses/by/4.0/).
Share and Cite
Tang, Z.; Yousif, M.; Okyere, S.K.; Liao, F.; Peng, S.; Cheng, L.; Yang, F.; Wang, Y.; Hu, Y. Anti-Biofilm Properties of Cell-Free Supernatant from Bacillus velezensis EA73 by In Vitro Study with Staphylococcus aureus. Microorganisms 2025, 13, 1162. https://doi.org/10.3390/microorganisms13051162
Tang Z, Yousif M, Okyere SK, Liao F, Peng S, Cheng L, Yang F, Wang Y, Hu Y. Anti-Biofilm Properties of Cell-Free Supernatant from Bacillus velezensis EA73 by In Vitro Study with Staphylococcus aureus. Microorganisms. 2025; 13(5):1162. https://doi.org/10.3390/microorganisms13051162
Chicago/Turabian StyleTang, Ziyao, Muhammad Yousif, Samuel Kumi Okyere, Fei Liao, Siqi Peng, Lin Cheng, Feng Yang, Yuting Wang, and Yanchun Hu. 2025. "Anti-Biofilm Properties of Cell-Free Supernatant from Bacillus velezensis EA73 by In Vitro Study with Staphylococcus aureus" Microorganisms 13, no. 5: 1162. https://doi.org/10.3390/microorganisms13051162
APA StyleTang, Z., Yousif, M., Okyere, S. K., Liao, F., Peng, S., Cheng, L., Yang, F., Wang, Y., & Hu, Y. (2025). Anti-Biofilm Properties of Cell-Free Supernatant from Bacillus velezensis EA73 by In Vitro Study with Staphylococcus aureus. Microorganisms, 13(5), 1162. https://doi.org/10.3390/microorganisms13051162

