Effects of Difenoconazole and Imidacloprid Seed Coatings on Soil Microbial Community Diversity and Ecological Function
Abstract
1. Introduction
2. Materials and Methods
2.1. Experimental Site and Design
2.2. Soil Enzyme Activity Assay Methods
2.3. Soil Microbial Gene High-Throughput Sequencing and Statistical Analysis Methods
3. Results
3.1. Soil Enzyme Activity Analysis
3.2. Changes in Soil Microbial Community Diversity
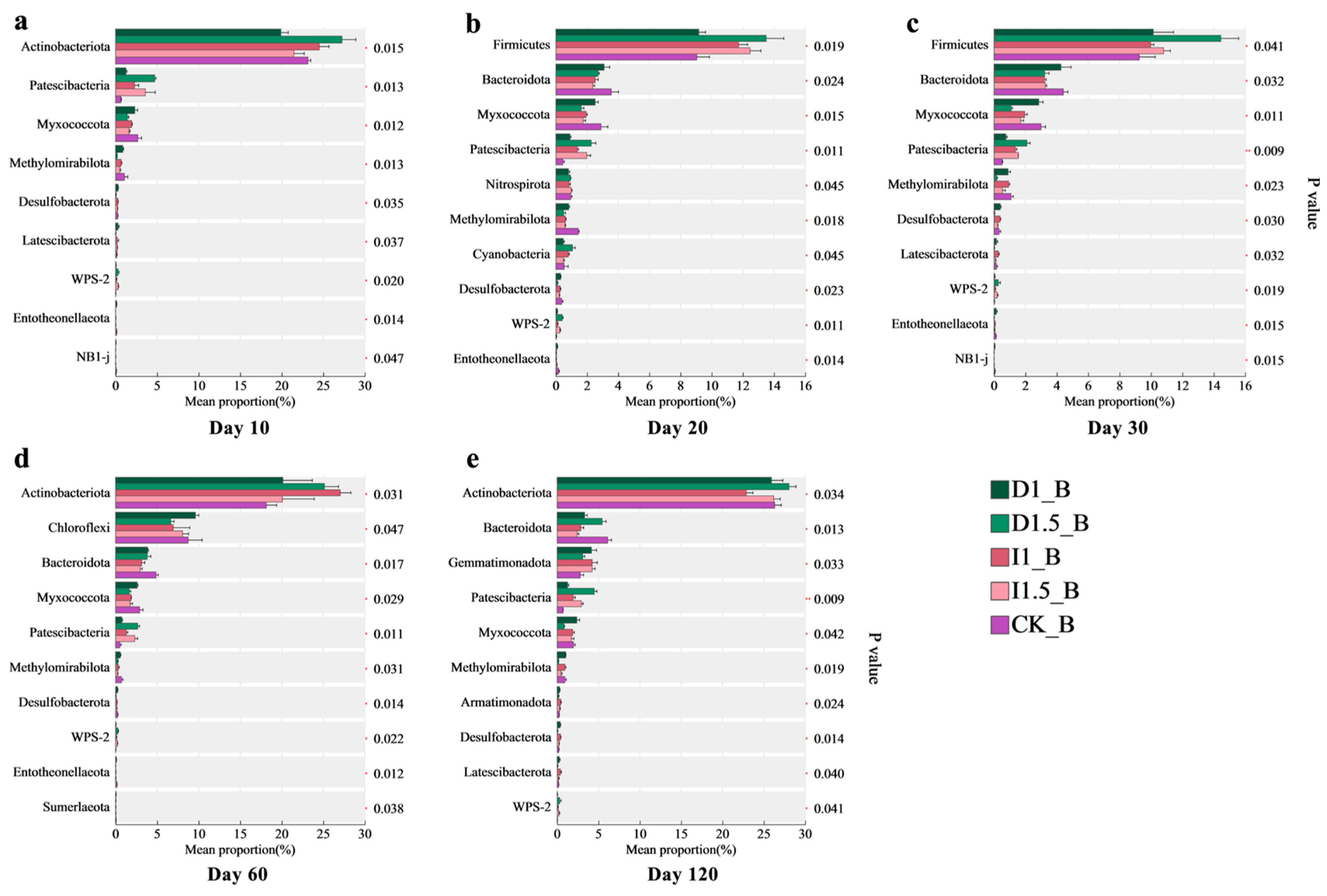
3.3. Differences in Soil Microbial Community Structure and Composition
3.4. Species Enrichment and Microbial Taxa
3.5. Soil Microecosystem Stability and Function
4. Discussion
4.1. Analysis of the Effects of Seed-Coating Agents on Soil Enzyme Activity
4.2. Analysis of the Effects of Seed-Coating Agents on the Structure and Diversity of Rhizospheric Soil Microbial Communities
4.3. Analysis of the Effects of Seed-Coating Agents on the Composition of Rhizospheric Soil Microbial Communities
4.4. Effects of Seed-Coating Agents on Species Enrichment and Functional Analysis of the Rhizosphere Soil Microbial Ecosystem
5. Conclusions
Supplementary Materials
Author Contributions
Funding
Institutional Review Board Statement
Informed Consent Statement
Data Availability Statement
Acknowledgments
Conflicts of Interest
References
- Cao, H.Q. Development and Application of Seed Coating Agent for the Control of Major Soil-Borne Diseases Infecting Wheat. Agronomy 2019, 9, 413. [Google Scholar] [CrossRef]
- Ma, Z.; Feng, H.; Yang, C.; Ma, X.; Li, P.; Feng, Z.; Zhang, Y.; Zhao, L.; Zhou, J.; Xu, X.; et al. Integrated microbiology and metabolomics analysis reveal responses of cotton rhizosphere microbiome and metabolite spectrum to conventional seed coating agents. Environ. Pollut. 2023, 333, 122058. [Google Scholar] [CrossRef] [PubMed]
- Nelson, M.B.; Martiny, A.C.; Martiny, J.B.H. Global biogeography of microbial nitrogen-cycling traits in soil. Proc. Natl. Acad. Sci. USA 2016, 113, 8033–8040. [Google Scholar]
- Wu, H.; Cui, H.; Fu, C.; Li, R.; Qi, F.; Liu, Z.; Yang, G.; Xiao, K.; Qiao, M. Unveiling the crucial role of soil microorganisms in carbon cycling: A review. Sci. Total Environ. 2024, 909, 168627. [Google Scholar] [CrossRef]
- Satapute, P.; Kamble, M.V.; Adhikari, S.S.; Jogaiah, S. Influence of triazole pesticides on tillage soil microbial populations and metabolic changes. Sci. Total Environ. 2019, 651, 2334–2344. [Google Scholar] [CrossRef] [PubMed]
- Sim, J.X.F.; Drigo, B.; Doolette, C.L.; Vasileiadis, S.; Karpouzas, D.G.; Lombi, E. Impact of twenty pesticides on soil carbon microbial functions and community composition. Chemosphere 2022, 307, 135820. [Google Scholar] [CrossRef]
- Sannino, F.; Gianfreda, L. Pesticide influence on soil enzymatic activities. Chemosphere 2001, 45, 417–425. [Google Scholar] [CrossRef]
- Chen, C.; Wang, W.; Li, S.; He, S.; Zheng, S.; Xu, D. Microbiological and Mechanism Analysis of Novel Wheat Seed Coating Agents-Induced Growth Promotion of Wheat Seedlings. Agronomy 2024, 14, 1209. [Google Scholar] [CrossRef]
- Mder, P.; Stache, F.; Engelbart, L.; Huhn, C.; Hochmanová, Z.; Hofman, J.; Poll, C.; Kandeler, E. Effects of MCPA and difenoconazole on glyphosate degradation and soil microorganisms. Environ. Pollut. 2024, 362, 124926. [Google Scholar]
- Yeon, J.; Chung, J.; Chon, K.; Lee, J.; Park, K.; Park, I.; Kim, D.; An, S.; Yoon, Y.; Ahn, J. Neutralization of the toxic effects of a fungicide difenoconazole against soil organisms by a difenoconazole-degrading bacterium. Appl. Soil. Ecol. 2022, 177, 104541. [Google Scholar] [CrossRef]
- Rei, F.; Schuhmann, A.; Sohl, L.; Thamm, M.; Scheiner, R.; Noll, M. Fungicides and insecticides can alter the microbial community on the cuticle of honey bees. Front. Microbiol. 2023, 14, 1271498. [Google Scholar]
- Muñoz-Leoz, B.; Garbisu, C.; Charcosset, J.; Sánchez-Pérez, J.M.; Antigüedad, I.; Ruiz-Romera, E. Non-target effects of three formulated pesticides on microbially-mediated processes in a clay-loam soil. Sci. Total Environ. 2013, 449, 345–354. [Google Scholar] [CrossRef] [PubMed]
- Cycoń, M.; Markowicz, A.; Borymski, S.; Wójcik, M.; Piotrowska-Seget, Z. Imidacloprid induces changes in the structure, genetic diversity and catabolic activity of soil microbial communities. J. Environ. Manag. 2013, 131, 55–65. [Google Scholar] [CrossRef]
- Cycoń, M.; Piotrowska-Seget, Z. Biochemical and microbial soil functioning after application of the insecticide imidacloprid. J. Environ. Sci. 2015, 27, 147–158. [Google Scholar] [CrossRef]
- Liang, L.; Tang, Z.; Jiang, Y.; Ding, C.; Tang, M.; Zhi, Y.; Xu, X.; Fang, F.; Guo, J.; Zhu, D.; et al. Impacts of the coexistence of polystyrene microplastics and pesticide imidacloprid on soil nitrogen transformations and microbial communities. J. Environ. Manag. 2024, 370, 123054. [Google Scholar] [CrossRef]
- Fan, K.; Weisenhorn, P.; Gilbert, J.A.; Shi, Y.; Bai, Y.; Chu, H. Soil pH correlates with the co-occurrence and assemblage process of diazotrophic communities in rhizosphere and bulk soils of wheat fields. Soil. Biol. Biochem. 2018, 121, 185–192. [Google Scholar] [CrossRef]
- Royer, T.A.; Giles, K.L.; Nyamanzi, T.; Hunger, R.M.; Krenzer, E.G.; Elliott, N.C.; Kindler, S.D.; Payton, M. Economic evaluation of the effects of planting date and application rate of imidacloprid for management of cereal aphids and barley yellow dwarf in winter wheat. J. Econ. Entomol. 2005, 98, 95–102. [Google Scholar]
- Gao, M.; Song, W.; Zhou, Q.; Ma, X.; Chen, X. Interactive effect of oxytetracycline and lead on soil enzymatic activity and microbial biomass. Environ. Toxicol. Phar 2013, 36, 667–674. [Google Scholar] [CrossRef]
- Guan, S.Y.; Zhang, D.S.; Zhang, Z.M. Soil Enzymes and Its Methodology; Agricultural Press: Beijing, China, 1986. [Google Scholar]
- Aird, D.; Chen, W.; Ross, M.; Connolly, K.; Meldrim, J.; Russ, C.; Fisher, S.; Jaffe, D.; Nusbaum, C.; Gnirke, A. Analyzing and minimizing bias in Illumina sequencing libraries. Genome Biol. 2010, 11, P3. [Google Scholar] [CrossRef]
- Bokulich, N.A.; Subramanian, S.; Faith, J.J.; Gevers, D.; Gordon, J.I.; Knight, R.; Mills, D.A.; Caporaso, J.G. Quality-filtering vastly improves diversity estimates from Illumina amplicon sequencing. Nat. Methods 2013, 10, 57–59. [Google Scholar] [CrossRef]
- Tian, W.; Wang, L.; Li, Y.; Zhuang, K.; Li, G.; Zhang, J.; Xiao, X.; Xi, Y. Responses of microbial activity, abundance, and community in wheat soil after three years of heavy fertilization with manure-based compost and inorganic nitrogen. Agric. Ecosyst. Environ. 2015, 213, 219–227. [Google Scholar] [CrossRef]
- Zhao, H.; Brearley, F.Q.; Huang, L.; Tang, J.; Xu, Q.; Li, X.; Huang, Y.; Zou, S.; Chen, X.; Hou, W.; et al. Abundant and Rare Taxa of Planktonic Fungal Community Exhibit Distinct Assembly Patterns Along Coastal Eutrophication Gradient. Microb. Ecol. 2023, 85, 495–507. [Google Scholar] [CrossRef]
- Xu, M.; Huang, Q.; Xiong, Z.; Liao, H.; Lv, Z.; Chen, W.; Luo, X.; Hao, X. Distinct Responses of Rare and Abundant Microbial Taxa to In Situ Chemical Stabilization of Cadmium-Contaminated Soil. Msystems 2021, 6, 10–1128. [Google Scholar] [CrossRef]
- Li, D.; Sun, S.; Zhou, T.; Du, Z.; Wang, J.; Li, B.; Wang, J.; Zhu, L. Effects of pyroxsulam on soil enzyme activity, nitrogen and carbon cycle-related gene expression, and bacterial community structure. J. Clean. Prod. 2022, 355, 131821. [Google Scholar] [CrossRef]
- Yang, S.; Zhao, X.; Sun, Z.; Wang, L.; Tian, P.; Wang, Q. Carbon and nitrogen addition-derived enzyme activities in topsoil but nitrogen availability in subsoil controls the response of soil organic carbon decomposition to warming. Sci. Total Environ. 2024, 949, 175261. [Google Scholar] [CrossRef]
- Singh, J.; Singh, D.K. Dehydrogenase and phosphomonoesterase activities in groundnut (Arachis hypogaea L.) field after diazinon, imidacloprid and lindane treatments. Chemosphere 2005, 60, 32–42. [Google Scholar] [CrossRef]
- Agathokleous, E.; Wang, Q.; Iavicoli, I.; Calabrese, E.J. The relevance of hormesis at higher levels of biological organization: Hormesis in microorganisms. Curr. Opin. Toxicol. 2022, 29, 1–9. [Google Scholar] [CrossRef]
- Hu, P.; Tirelli, N. Scavenging ROS: Superoxide Dismutase/Catalase Mimetics by the Use of an Oxidation-Sensitive Nanocarrier/Enzyme Conjugate. Bioconjugate Chem. 2012, 23, 438–449. [Google Scholar] [CrossRef]
- Chia, X.K.; Hadibarata, T.; Kristanti, R.A.; Jusoh, M.N.H.; Tan, I.S.; Foo, H.C.Y. The function of microbial enzymes in breaking down soil contaminated with pesticides: A review. Bioproc Biosyst. Eng. 2024, 47, 597–620. [Google Scholar] [CrossRef]
- The effect of global change on soil phosphatase activity. Global Change Biol. 2021, 27, 5989–6003.
- Boyd, S.A.; Mortland, M.M. Enzyme interactions with clays and clay-organic matter complexes. In Soil Biochemistry; Routledge: Abingdon, VA, USA, 2017. [Google Scholar]
- Filimon, M.N.; Voia, S.O.; Vladoiu, D.L.; Isvoran, A.; Ostafe, V. Temperature dependent effect of difenoconazole on enzymatic activity from the soil. J. Serb. Chem. Soc. 2015, 80, 30. [Google Scholar] [CrossRef]
- Chu, C. Determination of Residues and Degradation Dynamics of Difenoconazole in Kidney Bean, Grape, Celery, and Soil. Master’s Thesis, Beijing University of Chemical Technology, Beijing, China, 2010. [Google Scholar]
- Mahapatra, B.; Adak, T.; Patil, N.K.B.; Pandi, G.P.G.; Gowda, G.B.; Jambhulkar, N.N.; Yadav, M.K.; Panneerselvam, P.; Kumar, U.; Munda, S. Imidacloprid application changes microbial dynamics and enzymes in rice soil. Ecotox Environ. Safe 2017, 144, 123–130. [Google Scholar] [CrossRef]
- Yang, F.; Zheng, L.; Zeng, W.; Jie, M.; Yang, Y.; Jing, W. Adsorption-Desorption, Degradation, and Leaching Characteristics of Imidacloprid in Cotton Soil. Environ. Sci. Technol. 2025, 48, 67–75. [Google Scholar] [CrossRef]
- Malev, O.; Klobučar, R.S.; Fabbretti, E.; Trebše, P. Comparative toxicity of imidacloprid and its transformation product 6-chloronicotinic acid to non-target aquatic organisms: Microalgae Desmodesmus subspicatus and amphipod Gammarus fossarum. Pestic. Biochem. Phys. 2012, 104, 178–186. [Google Scholar] [CrossRef]
- Nardi, S.; Muscolo, A.; Vaccaro, S.; Baiano, S.; Spaccini, R.; Piccolo, A. Relationship between molecular characteristics of soil humic fractions and glycolytic pathway and krebs cycle in maize seedlings. Soil. Biol. Biochem. 2007, 39, 3138–3146. [Google Scholar] [CrossRef]
- Feng, M.; Zhou, J.; Yu, X.; Mao, W.; Guo, Y.; Wang, H. Insights into biodegradation mechanisms of triphenyl phosphate by a novel fungal isolate and its potential in bioremediation of contaminated river sediment. J. Hazard. Mater. 2022, 424, 127545. [Google Scholar] [CrossRef]
- Riedo, J.; Yokota, A.; Walther, B.; Bartolomé, N.; van der Heijden, M.G.A.; Bucheli, T.D.; Walder, F. Temporal dynamics of total and bioavailable fungicide concentrations in soil and their effect upon nine soil microbial markers. Sci. Total Environ. 2023, 878, 162995. [Google Scholar] [CrossRef]
- Walder, F.; Schmid, M.W.; Riedo, J.; Valzano-Held, A.Y.; Banerjee, S.; Büchi, L.; Bucheli, T.D.; van der Heijden, M.G.A. Soil microbiome signatures are associated with pesticide residues in arable landscapes. Soil. Biol. Biochem. 2022, 174, 108830. [Google Scholar] [CrossRef]
- Wang, F.; Yao, J.; Chen, H.; Yi, Z.; Choi, M.M.F. Influence of short-time imidacloprid and acetamiprid application on soil microbial metabolic activity and enzymatic activity. Environ. Sci. Pollut. Res. Int. 2014, 21, 10129–10138. [Google Scholar]
- Nemeth-Konda, L.; Füleky, G.; Morovjan, G.; Csokan, P. Sorption behaviour of acetochlor, atrazine, carbendazim, diazinon, imidacloprid and isoproturon on Hungarian agricultural soil. Chemosphere 2002, 48, 545–552. [Google Scholar] [CrossRef]
- Chen, Y.; Liu, X.; Zhou, Y.; Zhang, L.; Mao, L.; Zhu, L.; Zheng, Y. Bioavailability evaluation of epoxiconazole and difenoconazole in rice and the influence of dissolved organic matter in reducing uptake and translocation. Chemosphere 2023, 341, 140060. [Google Scholar] [CrossRef] [PubMed]
- Headen, T.F.; Howard, C.A.; Skipper, N.T.; Wilkinson, M.A.; Bowron, D.T.; Soper, A.K. Structure of π−π Interactions in Aromatic Liquids. J. Am. Chem. Soc. 2010, 132, 5735–5742. [Google Scholar] [CrossRef] [PubMed]
- Li, Y.; Wei, M. Evaluation on adsorption capacity of low organic matter soil for hydrophobic organic pollutant. J. Environ. Chem. Eng. 2022, 10, 107561. [Google Scholar] [CrossRef]
- Li, Y.; Zhang, K.; Chen, J.; Zhang, L.; Feng, F.; Cheng, J.; Ma, L.; Li, M.; Wang, Y.; Jiang, W.; et al. Rhizosphere Bacteria Help to Compensate for Pesticide-Induced Stress in Plants. Environ. Sci. Technol. 2024, 58, 12542–12553. [Google Scholar] [CrossRef] [PubMed]
- El Meouche, I.; Jain, P.; Jolly, M.K.; Capp, J. Drug tolerance and persistence in bacteria, fungi and cancer cells: Role of non-genetic heterogeneity. Transl. Oncol. 2024, 49, 102069. [Google Scholar] [CrossRef]
- Van, A.H.; Van, D.P.; Coenye, T. Molecular mechanisms of antimicrobial tolerance and resistance in bacterial and fungal biofilms. Trends Microbiol. 2014, 22, 326–333. [Google Scholar]
- Roman, D.L.; Voiculescu, D.I.; Filip, M.; Ostafe, V.; Isvoran, A. Effects of Triazole Fungicides on Soil Microbiota and on the Activities of Enzymes Found in Soil: A Review. Agriculture 2021, 11, 10836. [Google Scholar] [CrossRef]
- Bao, Y.; Dolfing, J.; Li, X.; Chen, R.; Cui, X.; Li, Z.; Lin, X.; Feng, Y. Bacterial interference competition and environmental filtering reduce the fungal taxonomic and functional contribution to plant residue decomposition in anoxic paddy soils. Soil. Tillage Res. 2024, 236, 105938. [Google Scholar] [CrossRef]
- Naylor, D.; Sadler, N.; Bhattacharjee, A.; Graham, E.B.; Jansson, J.K. Soil Microbiomes Under Climate Change and Implications for Carbon Cycling. Annu. Rev. Environ. Resour. 2020, 45, 29–59. [Google Scholar]
- Mahnert, A.; Moissl-Eichinger, C.; Zojer, M.; Bogumil, D.; Mizrahi, I.; Rattei, T.; Martinez, J.L.; Berg, G. Man-made microbial resistances in built environments. Nat. Commun. 2019, 10, 968. [Google Scholar] [CrossRef]
- Shahid, M.; Khan, M.S.; Singh, U.B. Pesticide-tolerant microbial consortia: Potential candidates for remediation/clean-up of pesticide-contaminated agricultural soil. Environ. Res. 2023, 236, 116724. [Google Scholar] [CrossRef]
- Wu, Y.; Sun, Z.; Liu, R.; Cai, B. Funneliformis mosseae Enhances the Function of C, N and P Cycling Bacteria in Continuous Soybean Rhizosphere Soil. J. Soil. Sci. Plant Nutr. 2024, 24, 8263–8279. [Google Scholar] [CrossRef]
- Tian, R.; Ning, D.; He, Z.; Zhang, P.; Spencer, S.J.; Gao, S.; Shi, W.; Wu, L.; Zhang, Y.; Yang, Y.; et al. Small and mighty: Adaptation of superphylum Patescibacteria to groundwater environment drives their genome simplicity. Microbiome 2020, 8, 51. [Google Scholar] [CrossRef]
- Bottery, M.J.; van Rhijn, N.; Chown, H.; Rhodes, J.L.; Celia-Sanchez, B.N.; Brewer, M.T.; Momany, M.; Fisher, M.C.; Knight, C.G.; Bromley, M.J. Elevated mutation rates in multi-azole resistant Aspergillus fumigatus drive rapid evolution of antifungal resistance. Nat. Commun. 2024, 15, 10654. [Google Scholar] [CrossRef]
- Manici, L.M.; Caputo, F.; De Sabata, D.; Fornasier, F. The enzyme patterns of Ascomycota and Basidiomycota fungi reveal their different functions in soil. Appl. Soil. Ecol. 2024, 196, 105323. [Google Scholar] [CrossRef]
- Tláskal, V.; Brabcová, V.; Větrovský, T.; Jomura, M.; López-Mondéjar, R.; Oliveira, M.L.M.; Saraiva, J.P.; Human, Z.R.; Cajthaml, T.; Nunes, D.R.U.; et al. Complementary Roles of Wood-Inhabiting Fungi and Bacteria Facilitate Deadwood Decomposition. Msystems 2021, 6, 10–1128. [Google Scholar] [CrossRef]
- Kang, B.R.; Kim, S.B.; Hong, J.; Ahn, S.H.; Kim, J.; Lee, N.; Lee, T.K. Assessing the health of climate-sensitive trees in a subalpine ecosystem through microbial community dynamics. Sci. Total Environ. 2024, 957, 177724. [Google Scholar] [CrossRef]
- Yang, H.; Zhang, S.; Meng, H.; Zhao, Y.; Wei, Z.; Zheng, G.; Wang, X. Predicting the humification degree of multiple organic solid waste during composting using a designated bacterial community. Waste Manag. 2022, 150, 257–266. [Google Scholar] [CrossRef]
- Bhatti, A.A.; Haq, S.; Bhat, R.A. Actinomycetes benefaction role in soil and plant health. Microb. Pathog. 2017, 111, 458–467. [Google Scholar] [CrossRef]
- Schniete, J.K.; Fernández-Martínez, L.T. Natural product discovery in soil actinomycetes: Unlocking their potential within an ecological context. Curr. Opin. Microbiol. 2024, 79, 102487. [Google Scholar] [CrossRef]
- Peng, Q.; Xiao, Y.; Zhang, S.; Zhou, C.; Xie, A.; Li, Z.; Tan, A.; Zhou, L.; Xie, Y.; Zhao, J.; et al. Mutation breeding of Aspergillus niger by atmospheric room temperature plasma to enhance phosphorus solubilization ability. Peerj 2022, 10, e13076. [Google Scholar] [CrossRef]
- Büttner, H.; Niehs, S.P.; Vandelannoote, K.; Cseresnyés, Z.; Dose, B.; Richter, I.; Gerst, R.; Figge, M.T.; Stinear, T.P.; Pidot, S.J.; et al. Bacterial endosymbionts protect beneficial soil fungus from nematode attack. Proc. Natl. Acad. Sci. USA 2021, 118, e2110669118. [Google Scholar] [CrossRef]
- Ozimek, E.; Hanaka, A. Mortierella Species as the Plant Growth-Promoting Fungi Present in the Agricultural Soils. Agriculture 2021, 11, 7. [Google Scholar]
- Huang, W.; Zhou, Y.; Zheng, Z.; Xue, X.; Wang, J.; Lin, H.; Zhang, Q. Comparison of diversities, network patterns and potential functions of microbial communities in different soil type oolong tea growing areas. Environ. Technol. Innov. 2025, 37, 104039. [Google Scholar] [CrossRef]
- Zhang, J.; Zhou, D.; Yuan, X.; Xu, Y.; Chen, C.; Zhao, L. Soil microbiome and metabolome analysis reveals beneficial effects of ginseng–celandine rotation on the rhizosphere soil of ginseng-used fields. Rhizosphere 2022, 23, 100559. [Google Scholar] [CrossRef]
- Yang, Q.; Cui, W.; Guan, Z.; Wang, Z.; Jahan, I.; Li, P.; Qin, F.; Qiao, X.; Liu, B.; Yan, J. Influence of Mikania micrantha Kunth Flavonoids on Composition of Soil Microbial Community. Int. J. Mol. Sci. 2025, 26, 64. [Google Scholar] [CrossRef] [PubMed]
- Ma, S.; Qiao, L.; Liu, X.; Zhang, S.; Zhang, L.; Qiu, Z.; Yu, C. Microbial community succession in soils under long-term heavy metal stress from community diversity-structure to KEGG function pathways. Environ. Res. 2022, 214, 113822. [Google Scholar] [CrossRef]
- Chen, J.; Xie, J. Role and regulation of bacterial LuxR-like regulators. J. Cell Biochem. 2011, 112, 2694–2702. [Google Scholar] [CrossRef]
Experimental Plot | Seed-Coating Agent | Dosage | Active Ingredient (a.i.) Dosage |
---|---|---|---|
(mL/100 kg Seed) | (g a.i./kg Seed) | ||
D1 | Difenoconazole | 60 | 0.18 |
D1.5 | Difenoconazole | 90 | 0.12 |
I1 | Imidacloprid | 260 | 1.56 |
I1.5 | Imidacloprid | 390 | 2.34 |
CK | / | / | / |
KEGG Pathway Level 2 | Abundance | ||||
---|---|---|---|---|---|
CK | D1 | D1.5 | I1 | I1.5 | |
Amino acid metabolism | 7256673 a | 7118615 b | 7360564 a | 7163082 b | 7159583 b |
Biosynthesis of other secondary metabolites | 1375167 bc | 1357852 c | 1407757 a | 1369062 bc | 1379274 b |
Carbohydrate metabolism | 8135689 b | 8011875 c | 8317365 a | 8082431 bc | 8101170 bc |
Cell growth and death | 783259 a | 772631 a | 785538 a | 773148 a | 780951 a |
Cell motility | 805601 c | 804390 c | 964865 a | 876328 b | 909981 b |
Cellular community—prokaryotes | 2049325 bc | 2005040 c | 2156635 a | 2066601 b | 2093590 b |
Energy metabolism | 3943684 a | 3894438 b | 3982746 a | 3912713 b | 3931347 b |
Folding, sorting, and degradation | 1210742 a | 1198926 b | 1212036 a | 1198948 b | 1199623 b |
Glycan biosynthesis and metabolism | 1055889 a | 1039489 b | 1060784 a | 1037137 b | 1047892 a |
Lipid metabolism | 2055865 b | 2015625 b | 2111053 a | 2040242 b | 2047598 b |
Membrane transport | 2519541 bc | 2435665 c | 2659484 a | 2507161 bc | 2531247 b |
Metabolism of cofactors and vitamins | 3734868 b | 3687917 b | 3823488 a | 3724570 b | 3742783 b |
Metabolism of other amino acids | 1422787 b | 1401232 b | 1458655 a | 1408848 b | 1419205 b |
Metabolism of terpenoids and polyketides | 1005282 a | 986736 a | 1007847 a | 986904 a | 984575 a |
Nucleotide metabolism | 2080751 b | 2051574 c | 2123792 a | 2063628 bc | 2065391 bc |
Replication and repair | 2151339 b | 2135638 b | 2205677 a | 2149832 b | 2145251 b |
Signal transduction | 2191250 cd | 2158910 d | 2364970 a | 2233998 bc | 2267418 b |
Signaling molecules and interaction | 415 a | 370 ab | 316 b | 340 b | 310 b |
Transcription | 117598 bc | 117113 c | 121995 a | 118851 b | 118796 b |
Translation | 2472324 a | 2453725 b | 2450675 b | 2443311 b | 2438333 b |
Transport and catabolism | 266919 b | 256475 c | 278956 a | 261494 bc | 263378 bc |
Xenobiotic biodegradation and metabolism | 1750479 b | 1716149 b | 1835164 a | 1746310 b | 1770457 ab |
Disclaimer/Publisher’s Note: The statements, opinions and data contained in all publications are solely those of the individual author(s) and contributor(s) and not of MDPI and/or the editor(s). MDPI and/or the editor(s) disclaim responsibility for any injury to people or property resulting from any ideas, methods, instructions or products referred to in the content. |
© 2025 by the authors. Licensee MDPI, Basel, Switzerland. This article is an open access article distributed under the terms and conditions of the Creative Commons Attribution (CC BY) license (https://creativecommons.org/licenses/by/4.0/).
Share and Cite
Feng, D.; Chen, J.; Li, G.; Yang, X.; Xiong, Y.; Lao, A.; Huang, S.; Zheng, Z. Effects of Difenoconazole and Imidacloprid Seed Coatings on Soil Microbial Community Diversity and Ecological Function. Microorganisms 2025, 13, 806. https://doi.org/10.3390/microorganisms13040806
Feng D, Chen J, Li G, Yang X, Xiong Y, Lao A, Huang S, Zheng Z. Effects of Difenoconazole and Imidacloprid Seed Coatings on Soil Microbial Community Diversity and Ecological Function. Microorganisms. 2025; 13(4):806. https://doi.org/10.3390/microorganisms13040806
Chicago/Turabian StyleFeng, Dunfeng, Jiabin Chen, Guo Li, Xiaoying Yang, Yujie Xiong, An Lao, Suzhen Huang, and Zheng Zheng. 2025. "Effects of Difenoconazole and Imidacloprid Seed Coatings on Soil Microbial Community Diversity and Ecological Function" Microorganisms 13, no. 4: 806. https://doi.org/10.3390/microorganisms13040806
APA StyleFeng, D., Chen, J., Li, G., Yang, X., Xiong, Y., Lao, A., Huang, S., & Zheng, Z. (2025). Effects of Difenoconazole and Imidacloprid Seed Coatings on Soil Microbial Community Diversity and Ecological Function. Microorganisms, 13(4), 806. https://doi.org/10.3390/microorganisms13040806