The Antimicrobial Efficacy of Amine-Containing Surfactants Against Cysts and Trophozoites of Acanthamoeba spp.
Abstract
1. Introduction
1.1. Amidopropyl Dimethylamine Compounds
1.2. Quaternary Ammonium Compounds
2. Materials and Methods
2.1. Test Organism Strains and Culture
2.2. Synthesis Reagents
2.3. Amidopropyl Dimethylamine Synthesis
2.4. Quaternary Ammonium Synthesis
2.5. Minimum Trophozoite Amoebicidal Concentration (MTAC) Assay
2.6. Minimum Cysticidal Concentration (MCC) Assay
2.7. Acanthamoeba Time–Kill Assay
2.8. Hep-2 Cell Cytotoxicity
2.9. Analysis of Data
3. Results
3.1. Minimum Trophozoite Amoebicidal Concentration (MTAC) and Minimum Cysticidal Concentration (MCC)
3.2. Time–Kill Assays
4. Discussion
4.1. Minimum Trophozoite Amoebicidal Concentration (MTAC) and Minimum Cysticidal Concentration (MCC)
4.2. Time–Kill Assays
4.3. Mechanism of Action
5. Conclusions
Author Contributions
Funding
Institutional Review Board Statement
Informed Consent Statement
Data Availability Statement
Conflicts of Interest
References
- Cope, J.R.; Collier, S.A.; Rao, M.M.; Chalmers, R.; Mitchell, G.L.; Richdale, K.; Wagner, H.; Kinoshita, B.T.; Lam, D.Y.; Sorbara, L.; et al. Contact lens wearer demographics and risk behaviors for contact lens-related eye infections—United States, 2014. MMWR Morb. Mortal. Wkly. Rep. 2015, 64, 865–870. [Google Scholar] [CrossRef] [PubMed]
- Morgan, P.B.; Efron, N. Global contact lens prescribing 2000–2020. Clin. Exp. Optom. 2022, 105, 298–312. [Google Scholar] [CrossRef]
- Konne, N.M. Healthy contact lens behaviors communicated by eye care providers and recalled by patients—United States, 2018. MMWR Morb. Mortal. Wkly. Rep. 2019, 68, 693–697. [Google Scholar] [CrossRef]
- Cope, J.R. Risk behaviors for contact lens–related eye infections among adults and adolescents—United States, 2016. MMWR Morb. Mortal. Wkly. Rep. 2017, 66, 841–845. [Google Scholar] [CrossRef] [PubMed]
- Kerr, C.; Ruston, D. The ACLM Contact Lens Year Book 2012; The Association of Contact Lens Manufacturers: Devizes, UK, 2012. [Google Scholar]
- Zhang, Y.; Xu, X.; Wei, Z.; Cao, K.; Zhang, Z.; Liang, Q. The global epidemiology and clinical diagnosis of Acanthamoeba keratitis. J. Infect. Public Health 2023, 16, 841–852. [Google Scholar] [CrossRef] [PubMed]
- Stapleton, F.; Shrestha, G.S.; Vijay, A.K.; Carnt, N. Epidemiology, microbiology, and genetics of contact lens–related and non–contact lens-related infectious keratitis. Eye Contact Lens 2022, 48, 127–133. [Google Scholar] [CrossRef]
- Varacalli, G.; Di Zazzo, A.; Mori, T.; Dohlman, T.H.; Spelta, S.; Coassin, M.; Bonini, S. Challenges in Acanthamoeba keratitis: A review. J. Clin. Med. 2021, 10, 942. [Google Scholar] [CrossRef]
- Scruggs, B.A.; Quist, T.S.; Zimmerman, M.B.; Salinas, J.L.; Greiner, M.A. Risk factors, management, and outcomes of Acanthamoeba keratitis: A retrospective analysis of 110 cases. Am. J. Ophthalmol. Case Rep. 2022, 25, 101372. [Google Scholar] [CrossRef]
- Moledina, M.; Roberts, H.W.; Mukherjee, A.; Spokes, D.; Pimenides, D.; Stephenson, C.; Bassily, R.; Rajan, M.S.; Myerscough, J. Analysis of microbial keratitis incidence, isolates and in-vitro antimicrobial susceptibility in the East of England: A 6-year study. Eye 2023, 37, 2716–2722. [Google Scholar] [CrossRef]
- Shareef, O.; Shareef, S.; Saeed, H.N. New Frontiers in Acanthamoeba keratitis Diagnosis and Management. Biology 2023, 12, 1489. [Google Scholar] [CrossRef]
- Sahoo, S.; Alluri, H.; Mitra, S.; Priyadarshini, S.; Sahu, S.K.; Mohanty, A.; Das, S. Multidrug-resistant keratitis: Challenging yet manageable. Br. J. Ophthalmol. 2023, 107, 769–773. [Google Scholar] [CrossRef] [PubMed]
- Heaselgrave, W.; Hamad, A.; Coles, S.; Hau, S. In vitro evaluation of the inhibitory effect of topical ophthalmic agents on Acanthamoeba viability. Transl. Vis. Sci. Technol. 2019, 8, 17. [Google Scholar] [CrossRef]
- Burnett, C.L.; Boyer, I.; Bergfeld, W.F.; Belsito, D.V.; Hill, R.A.; Klaassen, C.D.; Liebler, D.C.; Marks, J.G., Jr.; Shank, R.C.; Slaga, T.J.; et al. Safety assessment of fatty acid amidopropyl dimethylamines as used in cosmetics. Int. J. Toxicol. 2019, 38 (Suppl. S1), 39S–69S. [Google Scholar] [CrossRef]
- Kilvington, S.; Hughes, R.; Byas, J.; Dart, J. Activities of therapeutic agents and myristamidopropyl dimethylamine against Acanthamoeba isolates. Antimicrob. Agents Chemother. 2002, 46, 2007–2009. [Google Scholar] [CrossRef] [PubMed]
- Hughes, R.; Dart, J.; Kilvington, S. Activity of the amidoamine myristamidopropyl dimethylamine against keratitis pathogens. J. Antimicrob. Chemother. 2003, 51, 1415–1418. [Google Scholar] [CrossRef] [PubMed]
- Arnold, W.A.; Blum, A.; Branyan, J.; Bruton, T.A.; Carignan, C.C.; Cortopassi, G.; Datta, S.; De Witt, J.; Doherty, A.C.; Halden, R.U.; et al. Quaternary ammonium compounds: A chemical class of emerging concern. Environ. Sci. Technol. 2023, 57, 7645–7665. [Google Scholar] [CrossRef]
- Boyce, J.M. Quaternary ammonium disinfectants and antiseptics: Tolerance, resistance and potential impact on antibiotic resistance. Antimicrob. Resist. Infect. Control 2023, 12, 32. [Google Scholar] [CrossRef]
- Fedorowicz, J.; Sączewski, J. Advances in the Synthesis of Biologically Active Quaternary Ammonium Compounds. Int. J. Mol. Sci. 2024, 25, 4649. [Google Scholar] [CrossRef]
- Vereshchagin, A.N.; Frolov, N.A.; Egorova, K.S.; Seitkalieva, M.M.; Ananikov, V.P. Quaternary ammonium compounds (QACs) and ionic liquids (ILs) as biocides: From simple antiseptics to tunable antimicrobials. Int. J. Mol. Sci. 2021, 22, 6793. [Google Scholar] [CrossRef]
- Muzyczko, T.M.; Shore, S.; Loboda, J.A. Fatty amidoamine derivatives: N, N-dimethyl-N-(3-alkylamidopropyl) amines and their salts. J. Am. Oil Chem. Soc. 1968, 45, 720–725. [Google Scholar] [CrossRef]
- Hamilton, M.A.; Russo, R.C.; Thurston, R.V. Trimmed Spearman-Karber method for estimating median lethal concentrations in bioassays. Environ. Sci. Technol. 1978, 12, 417. [Google Scholar] [CrossRef]
- Denyer, S.P.; Stewart, G.S.A.B. Mechanisms of action of disinfectants. Int. Biodeterior. Biodegrad. 1998, 41, 261–268. [Google Scholar] [CrossRef]
- Balgavý, P.; Devínsky, F. Cut-off effects in biological activities of surfactants. Adv. Colloid Interface Sci. 1996, 66, 23–63. [Google Scholar] [CrossRef] [PubMed]
- Devínsky, F.; Kopecka-Leitmanová, A.; Šeršeň, F.; Balgavý, P. Cut-off effect in antimicrobial activity and in membrane perturbation efficiency of the homologous series of N, N-dimethylalkylamine oxides. J. Pharm. Pharmacol. 1990, 42, 790–794. [Google Scholar] [CrossRef]
- Birnie, C.R.; Malamud, D.; Schnaare, R.L. Antimicrobial evaluation of N-alkyl betaines and N-alkyl-N, N-dimethylamine oxides with variations in chain length. Antimicrob. Agents Chemother. 2000, 44, 2514–2517. [Google Scholar] [CrossRef]


| Compound | Abb. | Alkyl Chain Length | mM | ||||
|---|---|---|---|---|---|---|---|
| A. castellanii ATCC 50370 | A. polyphaga ATCC 304610 | Hep 2 | |||||
| MTAC | MCC | MTAC | MCC | MCT | |||
| Capramidopropyl dimethylamine | CAPD | (C10) | 0.244 | 0.975 | 0.244 | 0.975 | 0.061 |
| Lauramidopropyl dimethylamine | DoDAPD | (C12) | 0.055 | 0.110 | 0.055 | 0.220 | 0.110 |
| Myristamidopropyl dimethylamine | MAPD | (C14) | 0.025 | 0.050 | 0.025 | 0.100 | 0.200 |
| Palmitamidopropyl dimethylamine | PAPD | (C16) | 0.023 | 0.367 | 0.011 | 0.367 | 0.046 |
| Stearamidopropyl dimethylamine | SAPD | (C18) | 0.678 | 1.356 | 1.356 | 1.356 | 0.011 |
| Linoleamidopropyl dimethylamine | LAPD | (C18:2) | 0.171 | 0.686 | 0.171 | 0.686 | 0.343 |
| Linolenamidopropyl dimethylamine | LiAPD | (C18:3) | 0.011 | 0.086 | 0.005 | 0.086 | 0.086 |
| Elaidamidopropyl dimethylamine | EAPD | (C18:1) (trans) | 0.011 | 0.085 | 0.011 | 0.085 | 0.021 |
| Oleamidopropyl dimethylamine | OAPD | (C18:1) (cis) | 0.011 | 0.085 | 0.043 | 0.085 | 0.021 |
| Compound | Abb. | Alkyl Chain Length | mM | ||||
|---|---|---|---|---|---|---|---|
| ATCC 50370 | ATCC 30461 | Hep 2 | |||||
| MTAC | MCC | MTAC | MCC | MCT | |||
| Myristamidopropyl trimethylammonium | MAPT | C14 QUAT | 0.095 | 0.191 | 0.191 | 0.382 | 0.048 |
| Elaidamidopropyl trimethylammonium | EAPT | C18:1 trans QUAT | 0.005 | 0.020 | 0.005 | 0.020 | 0.041 |
| Oleamidopropyl trimethylammonium | OAPT | C18:1 cis QUAT | 0.003 | 0.010 | 0.003 | 0.005 | 0.041 |
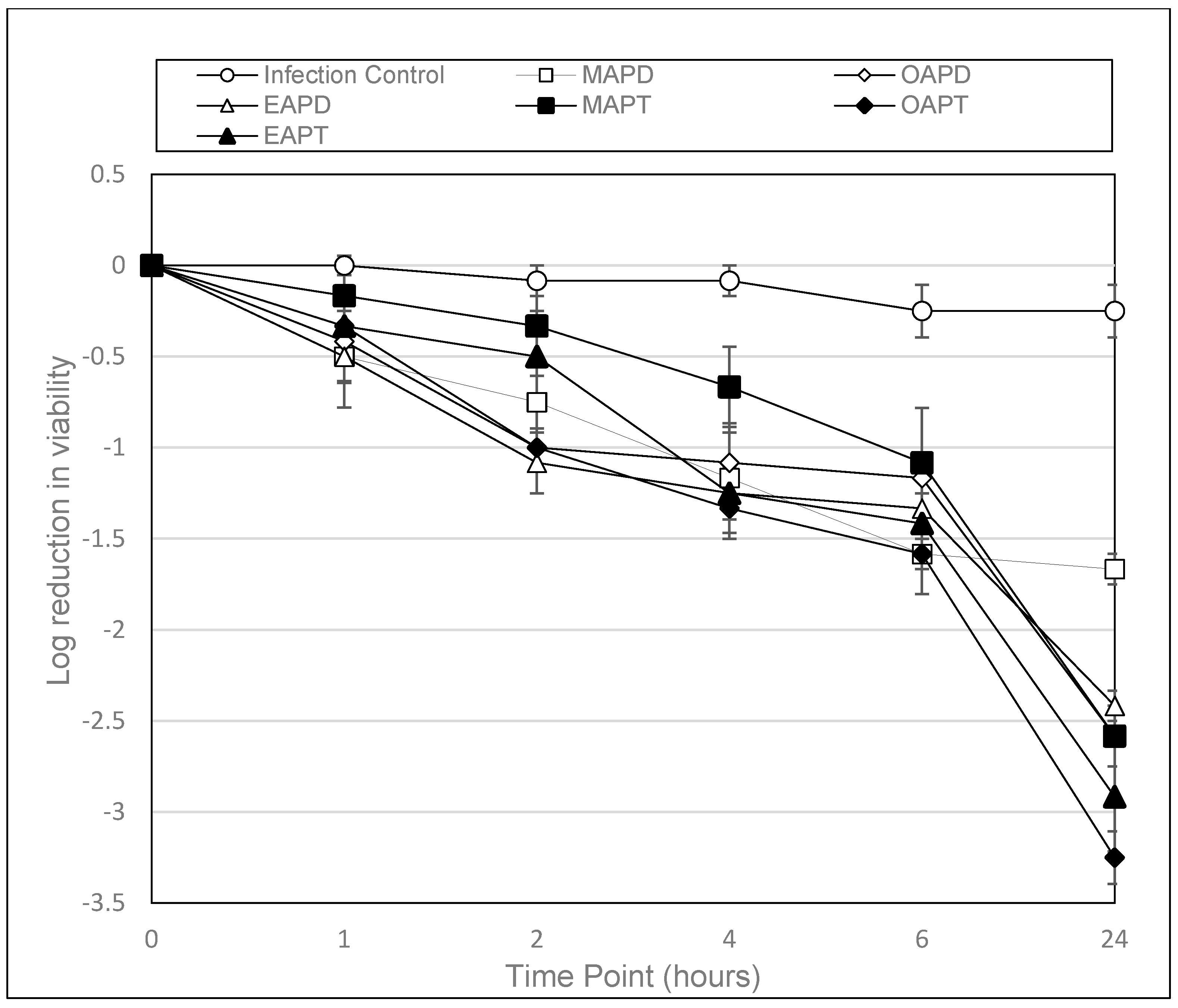
| A. castellanii (ATCC 50370) | ||||||
|---|---|---|---|---|---|---|
| Amidopropyl Dimethylamines (APDs) (0.025 mM) | ||||||
| Test Compound | Average Log10 Reduction in Viability with Exposure (Hours) | |||||
| 0 | 1 | 2 | 4 | 6 | 24 | |
| PAPD | 0.00 | 0.08 | 0.08 | 0.08 | 0.17 | 0.58 |
| CAPD | 0.00 | 0.08 | 0.08 | 0.25 | 0.42 | 0.50 |
| LAPD | 0.00 | 0.00 | 0.08 | 0.08 | 0.58 | 0.75 |
| SAPD | 0.00 | 0.08 | 0.00 | 0.08 | 0.42 | 0.67 |
| LaAPD | 0.00 | 0.17 | 0.33 | 0.42 | 0.67 | 1.33 |
| LnAPD | 0.00 | 0.17 | 0.25 | 0.25 | 0.58 | 1.42 |
| MAPD | 0.00 | 0.50 | 0.75 | 1.17 | 1.58 | 1.67 |
| OAPD | 0.00 | 0.42 | 1.00 | 1.08 | 1.17 | 2.58 |
| EAPD | 0.00 | 0.50 | 1.08 | 1.25 | 1.33 | 2.42 |
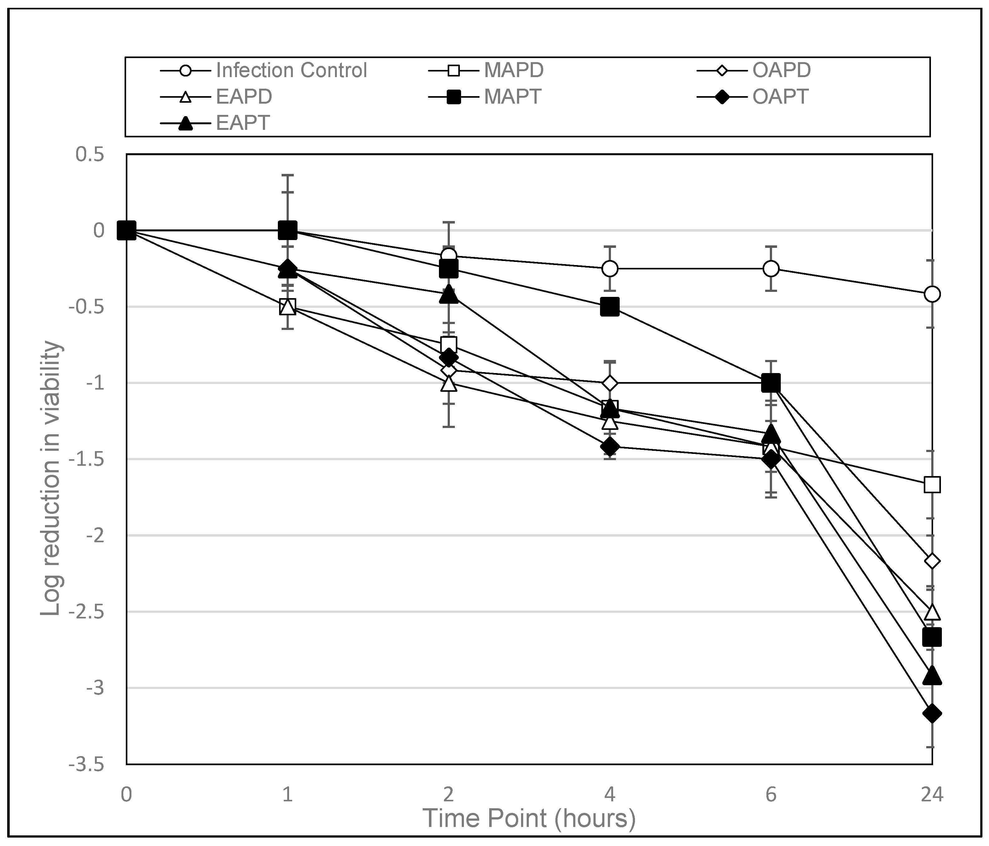
| A. polyphaga (ATCC 30461) | ||||||
|---|---|---|---|---|---|---|
| Amidopropyl Dimethylamines (APDs) (0.025 mM) | ||||||
| Test Compound | Average Log10 Reduction in Viability with Exposure (Hours) | |||||
| 0 | 1 | 2 | 4 | 6 | 24 | |
| PAPD | 0.00 | 0.25 | 0.42 | 0.50 | 0.75 | 1.33 |
| CAPD | 0.00 | 0.00 | 0.25 | 0.42 | 0.58 | 0.58 |
| LAPD | 0.00 | 0.08 | 0.00 | 0.25 | 0.50 | 1.67 |
| SAPD | 0.00 | 0.08 | 0.08 | 0.08 | 0.42 | 1.00 |
| LaAPD | 0.00 | 0.08 | 0.00 | 0.08 | 0.17 | 1.17 |
| LnAPD | 0.00 | 0.17 | 0.17 | 0.25 | 0.33 | 0.92 |
| MAPD | 0.00 | 0.50 | 0.75 | 1.17 | 1.42 | 1.67 |
| OAPD | 0.00 | 0.25 | 0.92 | 1.00 | 1.00 | 2.17 |
| EAPD | 0.00 | 0.50 | 1.00 | 1.25 | 1.42 | 2.50 |
| A. castellanii (ATCC 50370) | ||||||
|---|---|---|---|---|---|---|
| Amidopropyl Trimethylammoniums (APTs) (0.025 mM) | ||||||
| Test Compound | Average Log10 Reduction in Viability with Exposure (Hours) | |||||
| 0 | 1 | 2 | 4 | 6 | 24 | |
| MAPT | 0.00 | 0.17 | 0.33 | 0.67 | 1.08 | 2.58 |
| OAPT | 0.00 | 0.33 | 1.00 | 1.33 | 1.58 | 3.25 |
| EAPT | 0.00 | 0.33 | 0.50 | 1.25 | 1.42 | 2.92 |
| A. polyphaga (ATCC 30461) | ||||||
|---|---|---|---|---|---|---|
| Amidopropyl Trimethylammoniums (APTs) (0.025 mM) | ||||||
| Test Compound | Average Log10 Reduction in Viability with Exposure (Hours) | |||||
| 0 | 1 | 2 | 4 | 6 | 24 | |
| MAPT | 0.00 | 0.00 | 0.25 | 0.50 | 1.00 | 2.67 |
| OAPT | 0.00 | 0.25 | 0.83 | 1.42 | 1.50 | 3.17 |
| EAPT | 0.00 | 0.25 | 0.42 | 1.17 | 1.33 | 2.92 |
Disclaimer/Publisher’s Note: The statements, opinions and data contained in all publications are solely those of the individual author(s) and contributor(s) and not of MDPI and/or the editor(s). MDPI and/or the editor(s) disclaim responsibility for any injury to people or property resulting from any ideas, methods, instructions or products referred to in the content. |
© 2025 by the authors. Licensee MDPI, Basel, Switzerland. This article is an open access article distributed under the terms and conditions of the Creative Commons Attribution (CC BY) license (https://creativecommons.org/licenses/by/4.0/).
Share and Cite
Ratnayake, D.; Ansah, M.; Batham, B.; Keddie, D.; McNee, G.; Heaselgrave, W. The Antimicrobial Efficacy of Amine-Containing Surfactants Against Cysts and Trophozoites of Acanthamoeba spp. Microorganisms 2025, 13, 665. https://doi.org/10.3390/microorganisms13030665
Ratnayake D, Ansah M, Batham B, Keddie D, McNee G, Heaselgrave W. The Antimicrobial Efficacy of Amine-Containing Surfactants Against Cysts and Trophozoites of Acanthamoeba spp. Microorganisms. 2025; 13(3):665. https://doi.org/10.3390/microorganisms13030665
Chicago/Turabian StyleRatnayake, Dharanga, Michael Ansah, Brian Batham, Daniel Keddie, Gavin McNee, and Wayne Heaselgrave. 2025. "The Antimicrobial Efficacy of Amine-Containing Surfactants Against Cysts and Trophozoites of Acanthamoeba spp." Microorganisms 13, no. 3: 665. https://doi.org/10.3390/microorganisms13030665
APA StyleRatnayake, D., Ansah, M., Batham, B., Keddie, D., McNee, G., & Heaselgrave, W. (2025). The Antimicrobial Efficacy of Amine-Containing Surfactants Against Cysts and Trophozoites of Acanthamoeba spp. Microorganisms, 13(3), 665. https://doi.org/10.3390/microorganisms13030665

