Infection with Jujube Witches’ Broom Phytoplasma Alters the Expression Pattern of the Argonaute Gene Family in Ziziphus jujuba
Abstract
1. Introduction
2. Materials and Methods
2.1. Identification of AGO Genes in Jujube Genome
2.2. Bioinformatics Analysis of the Jujube AGOs
2.3. Transcriptome Mining of ZjAGOs During Phytoplasma Infection and Elimination
2.4. Plant Materials and Quantitative Real-Time PCR
2.5. Subcellular Localization of ZjAGOs
3. Results
3.1. Identification and Genomic Location of AGO Genes in Jujube
3.2. Characteristics of Jujube AGO Proteins
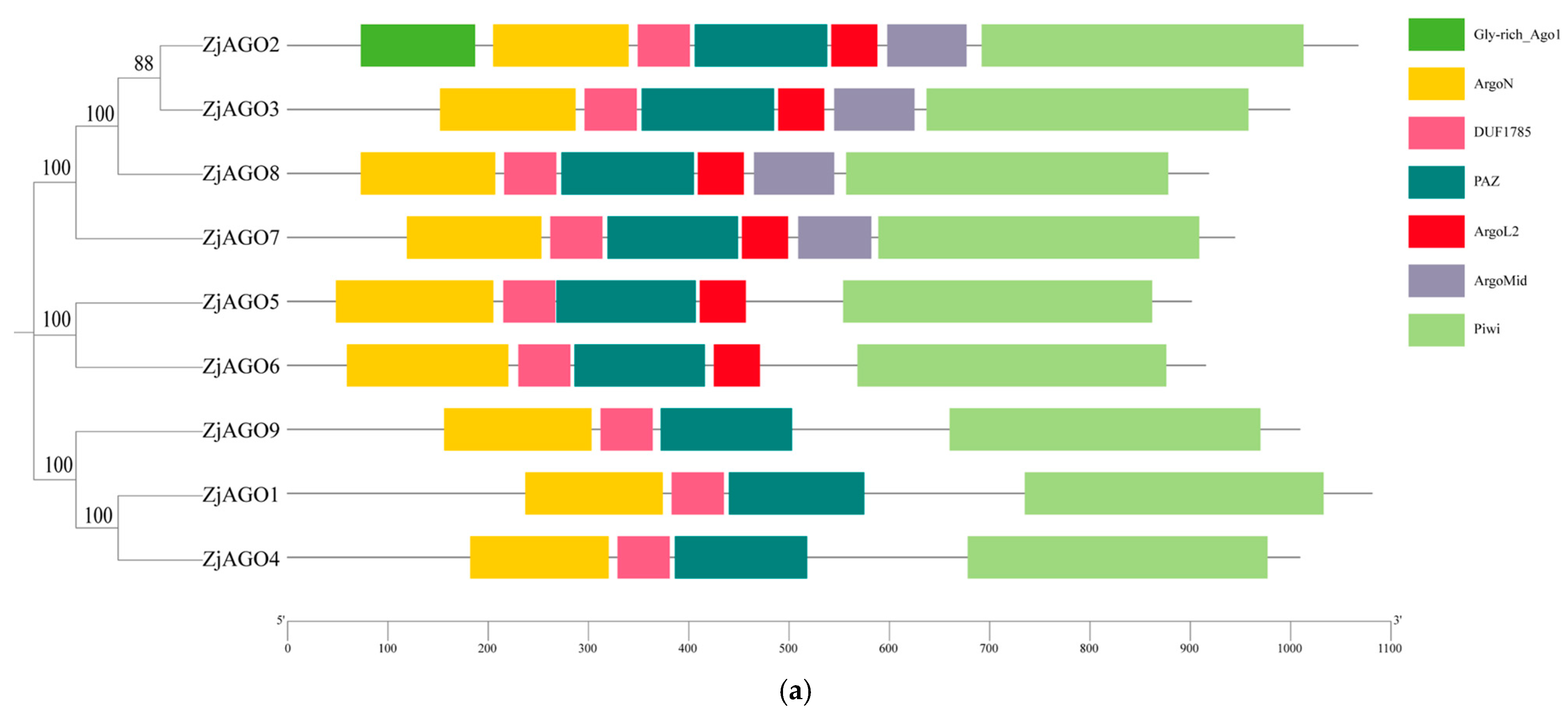
3.3. Structural Analysis of ZjAGO Proteins
3.4. Phylogenetic Analysis of ZjAGOs and AtAGOs
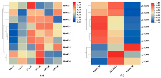
3.5. Transcriptome Analysis of ZjAGO Expression in Response to Phytoplasma Infection and Elimination
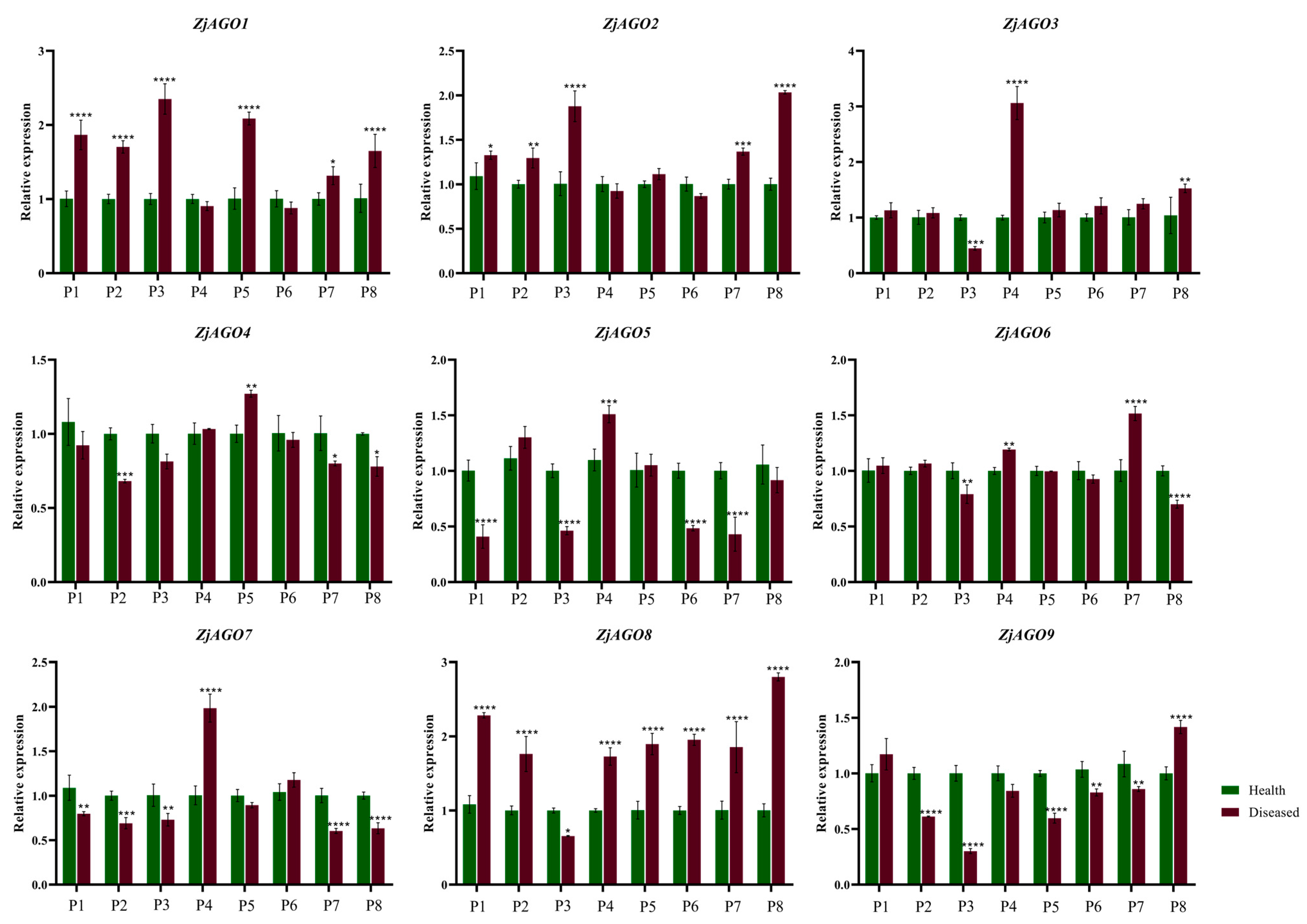
3.6. Quantitative RT-PCR Analysis of ZjAGO Genes in Diseased and Healthy Jujube Trees
3.7. Subcellular Localization of Jujube AGO Proteins
4. Discussion
4.1. Identification of the Jujube AGO Family Members
4.2. Phylogenetic Analysis of Arabidopsis and Jujube AGOs
4.3. AGOs in Jujube–Phytoplasma Interaction
5. Conclusions
Supplementary Materials
Author Contributions
Funding
Institutional Review Board Statement
Informed Consent Statement
Data Availability Statement
Conflicts of Interest
References
- Baulcombe, D. RNA silencing in plants. Nature 2004, 431, 356–363. [Google Scholar] [CrossRef] [PubMed]
- Hutvagner, G.; Simard, M.J. Argonaute proteins: Key player in RNA silencing. Nat. Rev. Mol. Cell Biol. 2008, 9, 22–32. [Google Scholar] [CrossRef]
- Peters, L.; Meister, G. Argonaute proteins: Mediators of RNA silencing. Mol. Cell 2007, 26, 611–623. [Google Scholar] [CrossRef] [PubMed]
- Zhang, X.R.; Yuan, Y.R.; Pei, Y.; Lin, S.S.; Tuschi, T.; Patel, D.J.; Chua, N.H. Cucumber mosaic virus-encoded 2b suppressor inhibits Arabidopsis Argonaute1 cleavage activity to counter plant disease. Genes Dev. 2006, 20, 3255–3268. [Google Scholar] [CrossRef] [PubMed]
- Liu, M.J.; Wang, J.R.; Wang, L.L.; Liu, P.; Zhao, J.; Zhao, Z.H.; Yao, S.R.; Stanica, F.; Liu, Z.G.; Wang, L.X.; et al. The historical and current research progress on jujube—A superfruit for the future. Hortic. Res. 2020, 7, 119. [Google Scholar] [CrossRef]
- Zhang, Y.J.; Cao, D.D.; Yao, J.; Li, M.; Wang, M.L.; Li, J.Y.; Feng, J.C.; Li, J.D. Jujube, nutritious fruit on Chinese traditional diet. Sci. Bull. Ser. F Biotechnol. 2024, 28, 79–86. [Google Scholar]
- Guo, S.C.; Gu, L.Y.; Zhang, Y.J.; Wu, Y.X.; Tan, B.; Zheng, X.B.; Ye, X.; Cheng, J.; Wang, W.; Bi, S.W.; et al. Jujube witches’ broom (‘Zaofeng’) disease: Bacteria that drive the plants crazy. Fruit Res. 2023, 3, 35. [Google Scholar] [CrossRef]
- Ye, X.; Wang, H.Y.; Chen, P.; Fu, B.; Zhang, M.Y.; Li, J.D.; Zheng, X.B.; Tan, B.; Feng, J.C. Combination of iTRAQ proteomics and RNA-seq transcriptomics reveals multiple levels of regulation in phytoplasma–infected Ziziphus jujuba Mill. Hortic. Res. 2017, 4, 17080. [Google Scholar] [CrossRef]
- Wang, H.Y.; Ye, X.; Li, J.D.; Tan, B.; Chen, P.; Cheng, J.; Wang, W.; Zheng, X.B.; Feng, J.C. Transcriptome profiling analysis revealed co-regulation of multiple pathways in jujube during infection by ‘Candidatus Phytoplasma ziziphi’. Gene 2018, 665, 82–95. [Google Scholar] [CrossRef]
- Wang, H.Y.; Ye, X.; Li, J.D.; Tan, B.; Chen, P.; Jiang, Y.J.; Cheng, J.; Wang, W.; Zheng, X.B.; Feng, J.C. Combination of iTRAQ proteomics and RNA–seq transcriptomics reveals jamonate–related–metabolisms central regulation during the process of jujube witches’ broom recovery by tetracycline treatment. Sci. Hortic. 2019, 243, 197–206. [Google Scholar] [CrossRef]
- Zhang, Y.; Gao, W.L.; Li, H.T.; Wang, Y.K.; Li, D.K.; Xue, C.L.; Liu, Z.G.; Liu, M.J.; Zhao, J. Genome–wide analysis of the bZIP gene family in Chinese jujube (Ziziphus jujuba Mill.). BMC Genom. 2020, 21, 483. [Google Scholar] [CrossRef] [PubMed]
- Shao, F.J.; Lu, Q.; Wilson, I.W.; Qiu, D.Y. Genome–wide identification and characterization of the SPL gene family in Ziziphus jujuba. Gene 2017, 627, 315–321. [Google Scholar] [CrossRef]
- Chen, P.; Li, J.D.; Ye, X.; Tan, B.; Zheng, X.B.; Cheng, J.; Wang, W.; Wang, H.Y.; Gu, L.Y.; Feng, J.C. Genome–wide identification of Ziziphus jujuba TCP transcription factors and their expression in response to infection with jujube witches’ broom phytoplasma. Acta Physiol. Plant. 2019, 41, 86. [Google Scholar] [CrossRef]
- Li, J.D.; Chen, L.C.; Chen, P.; Li, Q.C.; Yang, Q.Q.; Zhang, Y.; Tan, B.; Ye, X.; Zheng, X.B.; Feng, J.C. Genome–wide identification and expression of the lipoxygenase gene family in jujube (Ziziphus jujuba) in response to phytoplasma infection. J. Plant Biochem. Biotechnol. 2022, 31, 139–153. [Google Scholar] [CrossRef]
- Lamesch, P.; Berardini, T.Z.; Li, D.H.; Swarbreck, D.; Wilks, C.; Sasidharan, R.; Muller, R.; Dreher, K.; Alexander, D.L.; Garcia-Hernandez, M.; et al. The Arabidopsis Information Resource (TAIR): Improved gene annotation and new tools. Nucleic Acid Res. 2012, 40, D1202–D1210. [Google Scholar] [CrossRef]
- Yang, M.; Han, L.; Zhang, S.F.; Dai, L.; Li, B.; Han, S.K.; Zhao, J.; Liu, P.; Zhao, Z.H.; Liu, M.J. Insights into the evolution and spatial chromosome architecture of jujube from an updated gapless genome assembly. Plant Commun. 2023, 4, 100662. [Google Scholar] [CrossRef]
- Lorenz, K.H.; Schneider, B.; Ahrens, U.; Seemuller, E. Detection of the apple proliferation and pear decline phytoplasmas by PCR amplification of ribosomal and nonribosomal DNA. Phytopathology 1995, 85, 771–776. [Google Scholar] [CrossRef]
- Shi, R.; Wang, P.J.; Lin, Y.C.; Li, Q.Z.; Sun, Y.H.; Chen, H.; Sederoff, R.R.; Chiang, V.L. Tissue and cell-type co-expression networks of transcription factors and wood component genes in Populus trichocarpa. Planta 2017, 245, 927–938. [Google Scholar] [CrossRef]
- Wang, N.; Yang, H.Z.; Yin, Z.Y.; Liu, W.T.; Sun, L.Y.; Wu, Y.F. Phytoplasma effector SWP1 induces witches’ broom symptom by destabilizing the TCP transcription factor BRANCHED1. Mol. Plant Pathol. 2018, 19, 2623–2634. [Google Scholar] [CrossRef]
- Liu, M.J.; Zhao, J.; Cai, Q.L.; Liu, G.C.; Wang, J.R.; Zhao, Z.H.; Liu, P.; Dai, L.; Yan, G.J.; Wang, W.J.; et al. The complex jujube genome provides insights into fruit tree biology. Nat. Commun. 2014, 5, 5315. [Google Scholar] [CrossRef]
- Huang, J.; Zhang, C.M.; Zhao, X.; Fei, Z.J.; Wan, K.K.; Zhang, Z.; Pang, X.M.; Yin, X.; Bai, Y.; Sun, X.Q.; et al. The jujube genome provides insights into genome evolution and the domestication of sweetness/acidity taste in fruit trees. PLoS Genet. 2016, 12, e1006433. [Google Scholar] [CrossRef] [PubMed]
- Li, K.; Chen, R.H.; Abudoukayoumu, A.; Wei, Q.; Ma, Z.Y.; Wang, Z.Y.; Hao, Q.; Huang, J. Haplotype–resolved T2T reference genome for wild and domesticated accessions shed new insights into the domestication of jujube. Hortic. Res. 2024, 11, uhae071. [Google Scholar] [CrossRef] [PubMed]
- Guo, M.X.; Lian, Q.; Mei, Y.; Yang, W.W.; Zhao, S.; Zhang, S.Y.; Xing, X.F.; Zhang, H.X.; Gao, K.Y.; He, W.T.; et al. Analyzes of pan–genome and resequencing atlas unveil the genetic basis of jujube domestication. Nat. Commun. 2024, 15, 9320. [Google Scholar] [CrossRef]
- Shen, L.Y.; Luo, H.; Wang, X.L.; Wang, X.M.; Qiu, X.J.; Liu, H.; Zhou, S.S.; Jia, K.H.; Nie, S.; Bao, Y.T.; et al. Chromosme–scale genome assembly for Chinese sour jujube and insights into its genome evolution and domestication signature. Front. Plant Sci. 2021, 12, 773090. [Google Scholar] [CrossRef]
- Guo, M.X.; Zhang, Z.R.; Cheng, Y.W.; Li, S.N.; Shao, P.Y.; Yu, Q.; Wang, J.J.; Xu, G.; Zhang, X.T.; Liu, J.J.; et al. Comparative population genomics dissects the genetic basis of seven domestication traits in jujube. Hortic. Res. 2020, 7, 89. [Google Scholar] [CrossRef] [PubMed]
- Guo, M.X.; Zhang, Z.R.; Li, S.P.; Lian, Q.; Fu, P.C.; He, Y.L.; Qiao, J.X.; Xu, K.K.; Liu, L.P.; Wu, M.Y.; et al. Genomic analyses of diverse wild and cultivated accessions provide insights into the evolutionary history of jujube. Plant Biotechnol. J. 2021, 19, 517–531. [Google Scholar] [CrossRef]
- Zhang, Z.; Li, X.G. Genome–wide identification of AP2/ERF superfamily genes and their expression during fruit ripening of Chinese jujube. Sci. Rep. 2018, 8, 15612. [Google Scholar] [CrossRef]
- Ma, Y.P.; Han, Y.R.; Feng, X.R.; Gao, H.D.; Cao, B.; Song, L.H. Genome–wide identification of BAM (β–amylase) gene family in jujube (Ziziphus jujuba Mill.) and expression in response to abiotic stress. BMC Genom. 2022, 23, 438. [Google Scholar] [CrossRef]
- Niu, N.Z.; Zhang, Y.; Li, S.J.; Meng, X.R.; Liu, M.J.; Wang, H.B.; Zhao, J. Genome–wide characterization of the cellulose synthase gene family in Ziziphus jujuba reveals its function in cellulose biosynthesis during fruit development. Int. J. Biol. Macromol. 2023, 239, 124360. [Google Scholar] [CrossRef]
- Li, H.T.; Gao, W.L.; Xue, C.L.; Zhang, Y.; Liu, Z.G.; Zhang, Y.; Meng, X.W.; Liu, M.J.; Zhao, J. Genome–wide analysis of the bHLH gene family in Chinese jujube (Ziziphus jujuba Mill.) and wild jujube. BMC Genom. 2019, 20, 568. [Google Scholar] [CrossRef]
- Ji, Q.; Wang, D.W.; Zhou, J.; Xu, Y.L.; Shen, B.Q.; Zhou, F. Genome–wide characterization and expression analyses of the MYB superfamily genes during development stages in Chinese jujube. PeerJ 2019, 7, e6353. [Google Scholar]
- Li, M.; Hou, L.; Liu, S.S.; Zhang, C.X.; Yang, W.C.; Pang, X.M.; Li, Y.Y. Genome–wide identification and expression analysis of NAC transcription factors in Ziziphus jujuba Mill. reveal their putative regulatory effects on tissue senescence and abiotic stress response. Ind. Crops Prod. 2021, 173, 114093. [Google Scholar] [CrossRef]
- Chen, X.; Chen, R.H.; Wang, Y.F.; Wu, C.Y.; Huang, J. Genome–wide identification of WRKY transcription factors in Chinese jujube (Ziziphus jujuba Mill.) and their involvement in fruit developing, ripening, and abiotic stress. Genes 2019, 10, 360. [Google Scholar] [CrossRef] [PubMed]
- Mallory, A.; Vaucheret, H. Form, function, and regulation of argonaute proteins. Plant Cell 2010, 22, 3879–3889. [Google Scholar] [CrossRef] [PubMed]
- Xu, R.R.; Liu, C.Y.; Li, N.; Zhang, S.Z. Global identification and expression analysis of stress–responsive genes of the Argonaute family in apple. Mol. Genet. Genom. 2016, 291, 2015–2030. [Google Scholar] [CrossRef]
- Zhao, H.L.; Zhao, K.; Wang, J.; Chen, X.; Chen, Z.; Cai, R.H.; Xiang, Y. Comprehensive analysis of dicer–like, argonaute, and RNA–dependent RNA polymerase gene families in grapevine (Vitis Vinifera). J. Plant Growth Regul. 2015, 34, 108–121. [Google Scholar] [CrossRef]
- Qian, Y.X.; Cheng, Y.; Cheng, X.; Jiang, H.Y.; Zhu, S.W.; Cheng, B.J. Identification and characterization of dicer–like, argonaute and RNA–dependent RNA polymerase gene families in maize. Plant Cell Rep. 2011, 30, 1347–1363. [Google Scholar] [CrossRef]
- Li, H.Y.; Wang, Z.B.; Gao, Y.W.; Chen, M.D.; Hao, Z.Y.; Chen, X.; Guo, L.L.; Fan, C.J.; Zhao, S.T. Genome–wide identification of the argonaute protein family and its expression analysis under PEG6000, ABA and heat treatments in Populus alba × P. glandulos. Forests 2023, 14, 1015. [Google Scholar] [CrossRef]
- Kapoor, M.; Arora, R.; Lama, T.; Nijhawan, A.; Khurana, J.P.; Tyagi, A.K.; Kapoor, S. Genome–wide identification, organization and phylogenetic analysis of dicer–like, argonaute and RNA–dependent RNA polymerase gene families and their expression analysis during reproductive development and stress in rice. BMC Genom. 2008, 9, 451. [Google Scholar] [CrossRef]
- Fang, Y.P.; Wei, J.M.; Huang, X.; Li, Y.Z.; Pan, X.J. Identification and analysis of protein family associated with RNA interference pathway in Juglandaceae. Front. Biosci.–Landmark 2023, 28, 218. [Google Scholar] [CrossRef]
- Vaucheret, H. Plant ARGONAUTES. Trends Plant Sci. 2008, 13, 350–358. [Google Scholar] [CrossRef] [PubMed]
- Morel, J.B.; Godon, C.; Mourrain, P.; Beclin, C.; Boutet, S.; Feuerbach, F.; Proux, F.; Vaucheret, H. Fertile hypomorphic ARGONAUTE (ago1) mutants impaired in post–transcriptional gene silencing and virus resistance. Plant Cell 2002, 14, 629–639. [Google Scholar] [CrossRef]
- Yang, L.; Huang, W.H.; Wang, H.; Cai, R.; Xu, Y.Q.; Huang, H. Characterizations of a hypomorphic argonaute1 mutant reveal novel AGO1 functions in Arabidopsis lateral organ development. Plant Mol. Biol. 2006, 61, 63–78. [Google Scholar] [CrossRef] [PubMed]
- Zhang, X.M.; Zhao, H.W.; Gao, S.; Wang, W.C.; Katiyar-Agarwal, S.; Huang, H.D.; Raikhel, N.; Jin, H.L. Arabidopsis argonaute 2 regulates innate immunity via miRNA393*–mediated silencing of a golgi–localized SNARE gene, MEMB12. Mol. Cell 2011, 42, 356–366. [Google Scholar] [CrossRef] [PubMed]
- Montgomery, T.A.; Howell, M.D.; Cuperus, J.T.; Li, D.W.; Hansen, J.E.; Alexander, A.L.; Chapman, E.J.; Fahlgren, N.; Allen, E.; Carrington, J.C. Specificity of ARGONAUTE7–miR390 interaction and dual functionality in TAS3 trans–acting siRNA formation. Cell 2008, 133, 128–141. [Google Scholar] [CrossRef]
- Kartiyar-Agarwal, S.; Gao, S.; Vivian-Smith, A.; Jin, H.L. A novel class of bacteria–induced small RNAs in Arabidopsis. Genes Dev. 2007, 21, 3123–3134. [Google Scholar] [CrossRef]
- Havecker, E.R.; Wallbridge, L.M.; Hardcastle, T.J.; Bush, M.S.; Kelly, K.A.; Dunn, R.M.; Schwach, F.; Doonan, J.H.; Baulcombe, D.C. The Arabidopsis RNA–directed DNA methylation argonautes functionally diverge based on their expression and interaction with target loci. Plant Cell 2010, 22, 321–334. [Google Scholar] [CrossRef]
- Shao, F.J.; Zhang, Q.; Liu, H.W.; Lu, S.F.; Qiu, D.Y. Genome–wide identification and analysis of microRNAs involved in witches –broom phytoplasma response in Ziziphus jujuba. PLoS ONE 2016, 11, e0166099. [Google Scholar] [CrossRef]








| Gene Name | Gene Symbol | Length of CDS (bp) | No. of Amino Acids (aa) | Molecular Weight (Da) | Predicted Isoelectric Point (PI) | Chromosome Location | Predicted Subcellular Localization |
|---|---|---|---|---|---|---|---|
| ZjAGO1 | LOC107404403 | 3246 | 1081 | 120,001.37 | 9.07 | Chr1:24679370..24684596 | Nucleus |
| ZjAGO2 | LOC107419730 | 3204 | 1067 | 118,261.55 | 9.24 | Chr2:33914685..33921947 | Nucleus |
| ZjAGO3 | LOC107423077 | 3000 | 999 | 112,063.38 | 9.39 | Chr3:26040251..26050022 | Nucleus |
| ZjAGO4 | LOC107416305 | 3030 | 1009 | 113,335.91 | 9.24 | Chr4:5706781..5712263 | Nucleus |
| ZjAGO5 | LOC107417145 | 2706 | 901 | 100,600.59 | 9.14 | Chr4:22782106..22789558 | Nucleus |
| ZjAGO6 | LOC107410430 | 2748 | 915 | 101,978.57 | 9.62 | Chr10:1951063..1958741 | Nucleus |
| ZjAGO7 | LOC107410576 | 2835 | 944 | 105,216.19 | 9.42 | Chr10:4031365..4037457 | Nucleus |
| ZjAGO8 | LOC107431701 | 2757 | 918 | 104,016.88 | 9.34 | Chr11:6332489..6340927 | Nucleus |
| ZjAGO9 | LOC107428912 | 3030 | 1009 | 114,734.97 | 9.31 | Chr12:14329119..14333120 | Nucleus |
Disclaimer/Publisher’s Note: The statements, opinions and data contained in all publications are solely those of the individual author(s) and contributor(s) and not of MDPI and/or the editor(s). MDPI and/or the editor(s) disclaim responsibility for any injury to people or property resulting from any ideas, methods, instructions or products referred to in the content. |
© 2025 by the authors. Licensee MDPI, Basel, Switzerland. This article is an open access article distributed under the terms and conditions of the Creative Commons Attribution (CC BY) license (https://creativecommons.org/licenses/by/4.0/).
Share and Cite
Yao, J.; Qiao, Z.; Jiang, Z.; Zhao, X.; You, Z.; Zhang, W.; Feng, J.; Gong, C.; Li, J. Infection with Jujube Witches’ Broom Phytoplasma Alters the Expression Pattern of the Argonaute Gene Family in Ziziphus jujuba. Microorganisms 2025, 13, 658. https://doi.org/10.3390/microorganisms13030658
Yao J, Qiao Z, Jiang Z, Zhao X, You Z, Zhang W, Feng J, Gong C, Li J. Infection with Jujube Witches’ Broom Phytoplasma Alters the Expression Pattern of the Argonaute Gene Family in Ziziphus jujuba. Microorganisms. 2025; 13(3):658. https://doi.org/10.3390/microorganisms13030658
Chicago/Turabian StyleYao, Jia, Zesen Qiao, Ziming Jiang, Xueru Zhao, Ziyang You, Wenzhe Zhang, Jiancan Feng, Chenrui Gong, and Jidong Li. 2025. "Infection with Jujube Witches’ Broom Phytoplasma Alters the Expression Pattern of the Argonaute Gene Family in Ziziphus jujuba" Microorganisms 13, no. 3: 658. https://doi.org/10.3390/microorganisms13030658
APA StyleYao, J., Qiao, Z., Jiang, Z., Zhao, X., You, Z., Zhang, W., Feng, J., Gong, C., & Li, J. (2025). Infection with Jujube Witches’ Broom Phytoplasma Alters the Expression Pattern of the Argonaute Gene Family in Ziziphus jujuba. Microorganisms, 13(3), 658. https://doi.org/10.3390/microorganisms13030658

