Limited Effect of Biodiversity on the Multifunctionality of a Revegetated Riparian Ecosystem
Abstract
1. Introduction
2. Materials and Methods
2.1. Site Description
2.2. Soil Properties
2.3. Vegetation Diversity and Biomass
2.4. Microbial Characteristics
2.5. Ecosystem Multifunctionality
2.6. Statistical Analysis
3. Results
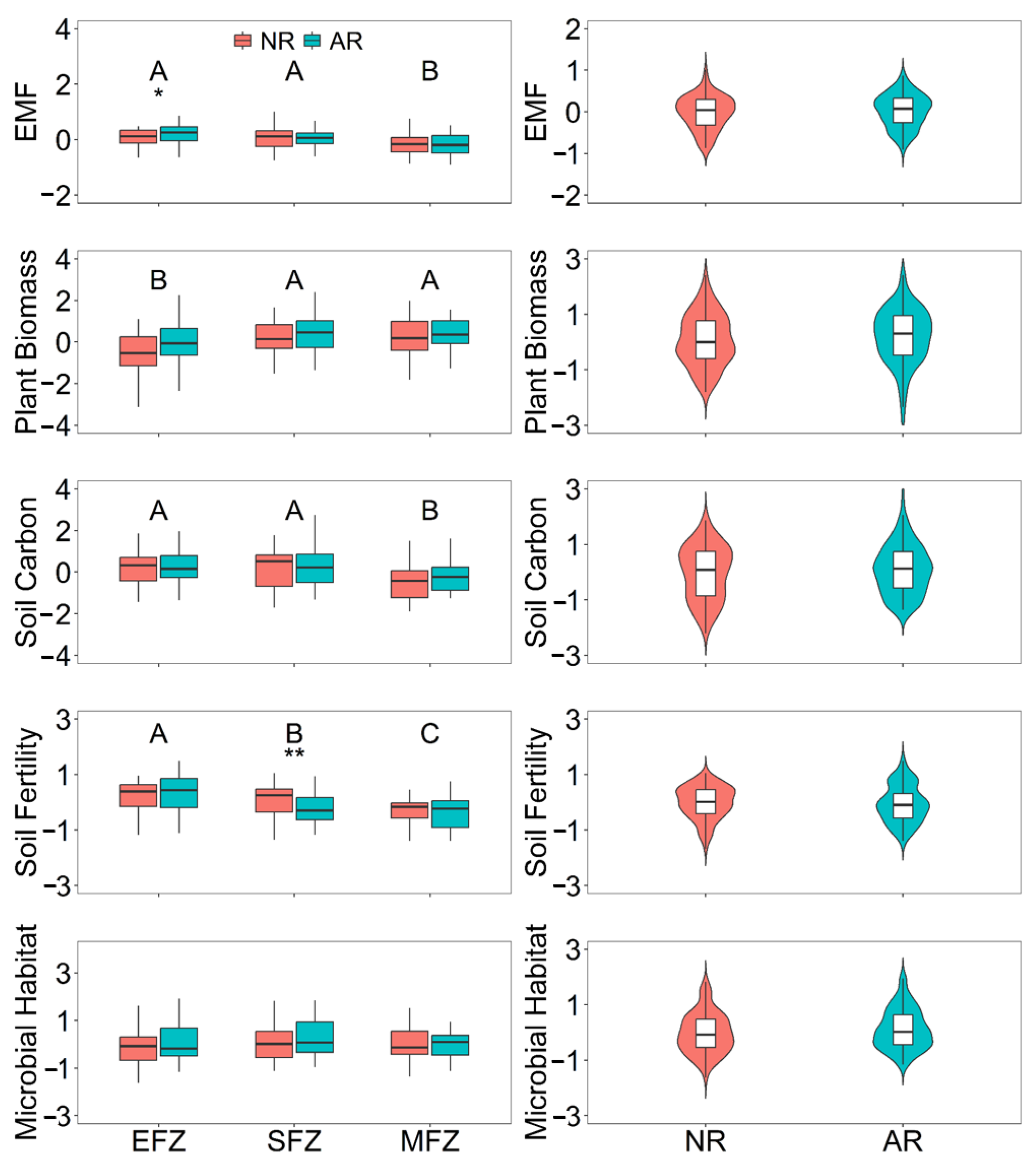
3.1. The Effects of Revegetation and Flooding on Ecosystem Multifunctionality
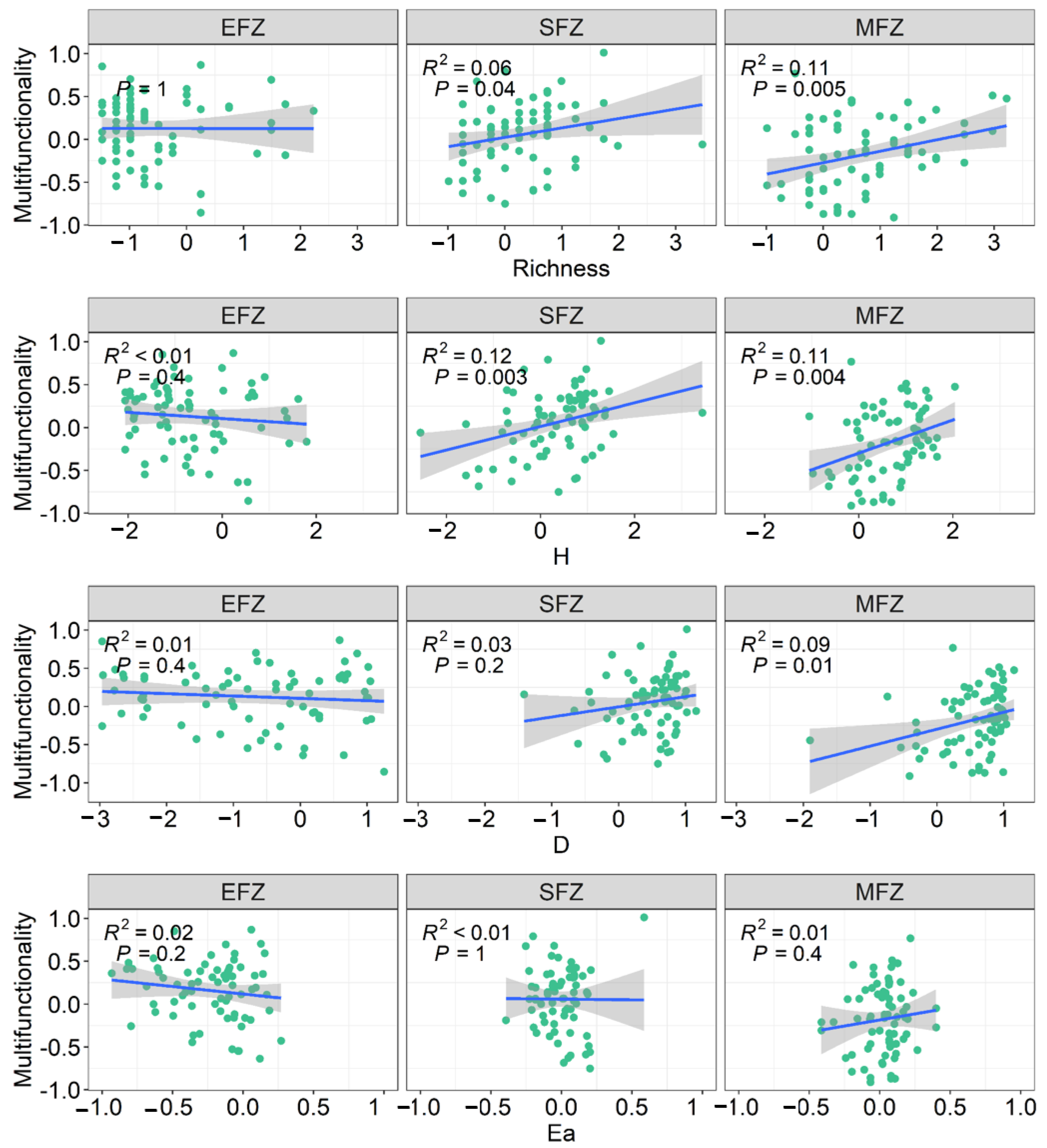
3.2. The Drivers of Ecosystem Multifunctionality
4. Discussion
4.1. The Effects of Active Revegetation and Natural Rewilding on Ecosystem Multifunctionality
4.2. Implications
5. Conclusions
Author Contributions
Funding
Institutional Review Board Statement
Informed Consent Statement
Data Availability Statement
Conflicts of Interest
References
- Bai, J.; Chen, R.; Men, X.; Cheng, X. Divergent linkages of soil phosphorus fractions to edaphic properties following afforestation in the riparian zone of the upper Yangtze river, China. Chemosphere 2023, 313, 137452. [Google Scholar] [CrossRef] [PubMed]
- Gornish, E.S.; Lennox, M.S.; Lewis, D.; Tate, K.W.; Jackson, R.D. Comparing herbaceous plant communities in active and passive riparian restoration. PLoS ONE 2017, 12, e0176338. [Google Scholar] [CrossRef] [PubMed]
- Atkinson, J.; Bonser, S.P. “Active” and “passive” ecological restoration strategies in meta-analysis. Restor. Ecol. 2020, 28, 1032–1035. [Google Scholar] [CrossRef]
- Novais, J.M.P.; Ramos, F.T.; Dores, E.F.G.D.C.; Maia, J.C.D.E.S. Impact of Different Revegetation Techniques on Soil and Plant Attributes in a Riparian Zone1. Rev. Caatinga 2020, 33, 151–159. [Google Scholar] [CrossRef]
- Matzek, V.; Lewis, D.; O’Geen, A.; Lennox, M.; Hogan, S.D.; Feirer, S.T.; Eviner, V.; Tate, K.W. Increases in soil and woody biomass carbon stocks as a result of rangeland riparian restoration. Carbon Balance Manag. 2020, 15, 16. [Google Scholar] [CrossRef]
- Tockner, K.; Stanford, J.A. Riverine flood plains: Present state and future trends. Environ. Conserv. 2002, 29, 308–330. [Google Scholar] [CrossRef]
- Mohan, M.; Chacko, A.; Rameshan, M.; Gopikrishna, V.G.; Kannan, V.M.; Vishnu, N.G.; Sasi, S.A.; Baiju, K.R. Restoring Riparian Ecosystems During the UN-Decade on Ecosystem Restoration: A Global Perspective. Anthr. Sci. 2022, 1, 42–61. [Google Scholar] [CrossRef]
- Omidvar, N.; Xu, Z.; Nguyen, T.T.N.; Salehin, B.; Ogbourne, S.; Ford, R.; Bai, S.H. A global meta-analysis shows soil nitrogen pool increases after revegetation of riparian zones. J. Soils Sediments 2021, 21, 665–677. [Google Scholar] [CrossRef]
- Manning, P.; van der Plas, F.; Soliveres, S.; Allan, E.; Maestre, F.T.; Mace, G.; Whittingham, M.J.; Fischer, M. Redefining ecosystem multifunctionality. Nat. Ecol. Evol. 2018, 2, 427–436. [Google Scholar] [CrossRef]
- Garland, G.; Banerjee, S.; Edlinger, A.; Miranda Oliveira, E.; Herzog, C.; Wittwer, R.; Philippot, L.; Maestre, F.T.; Heijden, M.G.A.; Hector, A. A closer look at the functions behind ecosystem multifunctionality: A review. J. Ecol. 2021, 109, 600–613. [Google Scholar] [CrossRef]
- Zhou, G.; Lucas-Borja, M.E.; Liu, S.; Hu, H.W.; He, J.Z.; Wang, X.; Jiang, Z.; Zhou, X.; Delgado-Baquerizo, M. Plant and soil biodiversity is essential for supporting highly multifunctional forests during Mediterranean rewilding. Funct. Ecol. 2022, 37, 420–431. [Google Scholar] [CrossRef]
- Hautier, Y.; Isbell, F.; Borer, E.T.; Seabloom, E.W.; Harpole, W.S.; Lind, E.M.; MacDougall, A.S.; Stevens, C.J.; Adler, P.B.; Alberti, J.; et al. Local loss and spatial homogenization of plant diversity reduce ecosystem multifunctionality. Nat. Ecol. Evol. 2018, 2, 50–56. [Google Scholar] [CrossRef]
- van der Plas, F. Biodiversity and ecosystem functioning in naturally assembled communities. Biol. Rev. Camb. Philos. Soc. 2019, 94, 1220–1245. [Google Scholar] [CrossRef] [PubMed]
- Soliveres, S.; van der Plas, F.; Manning, P.; Prati, D.; Gossner, M.M.; Renner, S.C.; Alt, F.; Arndt, H.; Baumgartner, V.; Binkenstein, J.; et al. Biodiversity at multiple trophic levels is needed for ecosystem multifunctionality. Nature 2016, 536, 456–459. [Google Scholar] [CrossRef] [PubMed]
- Jing, X.; Sanders, N.J.; Shi, Y.; Chu, H.; Classen, A.T.; Zhao, K.; Chen, L.; Shi, Y.; Jiang, Y.; He, J.S. The links between ecosystem multifunctionality and above- and belowground biodiversity are mediated by climate. Nat. Commun. 2015, 6, 8159. [Google Scholar] [CrossRef]
- Delgado-Baquerizo, M.; Maestre, F.T.; Reich, P.B.; Jeffries, T.C.; Gaitan, J.J.; Encinar, D.; Berdugo, M.; Campbell, C.D.; Singh, B.K. Microbial diversity drives multifunctionality in terrestrial ecosystems. Nat. Commun. 2016, 7, 10541. [Google Scholar] [CrossRef]
- Chen, Z.; Schmidt, B.; Schaffer, A. Uptake and decomposition of the herbicide propanil in the plant Bidens pilosa L. dominating in the Yangtze Three Gorges Reservoir (TGR), China. Environ. Sci. Pollut. Res. Int. 2017, 24, 11141–11153. [Google Scholar] [CrossRef]
- Zhang, A.; Xie, Z. C4 herbs dominate the reservoir flood area of the Three Gorges Reservoir. Sci. Total Environ. 2021, 755, 142479. [Google Scholar] [CrossRef]
- Ye, C.; Butler, O.M.; Chen, C.; Liu, W.; Du, M.; Zhang, Q. Shifts in characteristics of the plant-soil system associated with flooding and revegetation in the riparian zone of Three Gorges Reservoir, China. Geoderma 2020, 361, 114015. [Google Scholar] [CrossRef]
- Zhou, G.; Zhou, X.; Eldridge, D.J.; Han, X.; Song, Y.; Liu, R.; Zhou, L.; He, Y.; Du, Z.; Delgado-Baquerizo, M. Temperature and Rainfall Patterns Constrain the Multidimensional Rewilding of Global Forests. Adv. Sci. (Weinh) 2022, 9, e2201144. [Google Scholar] [CrossRef]
- Delgado-Baquerizo, M.; Reich, P.B.; Trivedi, C.; Eldridge, D.J.; Abades, S.; Alfaro, F.D.; Bastida, F.; Berhe, A.A.; Cutler, N.A.; Gallardo, A.; et al. Multiple elements of soil biodiversity drive ecosystem functions across biomes. Nat. Ecol. Evol. 2020, 4, 210–220. [Google Scholar] [CrossRef] [PubMed]
- Wu, X.J.; Wang, L.; Cao, Q.; Niu, Z.; Dai, X. Regional climate change and possible causes over the Three Gorges Reservoir Area. Sci. Total Environ. 2023, 903, 166263. [Google Scholar] [CrossRef] [PubMed]
- Yao, L.; Gong, Y.; Ye, C.; Shi, W.; Zhang, K.; Du, M.; Zhang, Q. Soil denitrification rates are more sensitive to hydrological changes than restoration approaches in a unique riparian zone. Funct. Ecol. 2022, 36, 2056–2068. [Google Scholar] [CrossRef]
- Davis, K.E.; Joseph, S.J.; Janssen, P.H. Effects of growth medium, inoculum size, and incubation time on culturability and isolation of soil bacteria. Appl. Environ. Microbiol. 2005, 71, 826–834. [Google Scholar] [CrossRef]
- Janssen, P.H.; Yates, P.S.; Grinton, B.E.; Taylor, P.M.; Sait, M. Improved culturability of soil bacteria and isolation in pure culture of novel members of the divisions Acidobacteria, Actinobacteria, Proteobacteria, and Verrucomicrobia. Appl. Environ. Microbiol. 2002, 68, 2391–2396. [Google Scholar] [CrossRef]
- Vance, E.D.; Brookes, P.C.; Jenkinson, D.S. An extraction method for measuring soil microbial biomass C. Soil Biol. Biochem. 1987, 19, 703–707. [Google Scholar] [CrossRef]
- Veen, G.F.; van der Putten, W.H.; Bezemer, T.M. Biodiversity-Ecosystem functioning relationships in a long-term non-weeded field experiment. Ecology 2018, 99, 1836–1846. [Google Scholar] [CrossRef]
- Resch, M.C.; Schutz, M.; Buchmann, N.; Frey, B.; Graf, U.; van der Putten, W.H.; Zimmermann, S.; Risch, A.C. Evaluating long-term success in grassland restoration: An ecosystem multifunctionality approach. Ecol. Appl. 2021, 31, e02271. [Google Scholar] [CrossRef]
- Jing, Z.; Cheng, J.; Jin, J.; Su, J.; Bai, Y. Revegetation as an efficient means of improving the diversity and abundance of soil eukaryotes in the Loess Plateau of China. Ecol. Eng. 2014, 70, 169–174. [Google Scholar] [CrossRef]
- Kireta, D.; Lowe, A.J.; Guerin, G.R.; Leijs, R.; Hogendoorn, K. Bee diversity and pollination services improve with revegetation effort. Austral Ecol. 2024, 49, e13559. [Google Scholar] [CrossRef]
- Su, L.; Yang, Y.; Li, X.; Wang, D.; Liu, Y.; Liu, Y.; Yang, Z.; Li, M. Increasing plant diversity and forb ratio during the revegetation processes of trampled areas and trails enhances soil infiltration. Land Degrad. Dev. 2018, 29, 4025–4034. [Google Scholar] [CrossRef]
- Xu, Z.; Guo, X.; Allen, W.J.; Yu, X.; Hu, Y.; Wang, J.; Li, M.; Guo, W. Plant community diversity alters the response of ecosystem multifunctionality to multiple global change factors. Glob. Change Biol. 2024, 30, e17182. [Google Scholar] [CrossRef] [PubMed]
- Crouzeilles, R.; Ferreira, M.S.; Chazdon, R.L.; Lindenmayer, D.B.; Sansevero, J.B.B.; Monteiro, L.; Iribarrem, A.; Latawiec, A.E.; Strassburg, B.B.N. Ecological restoration success is higher for natural regeneration than for active restoration in tropical forests. Sci. Adv. 2017, 3, e1701345. [Google Scholar] [CrossRef]
- Chazdon, R.L.; Guariguata, M.R. Natural regeneration as a tool for large-scale forest restoration in the tropics: Prospects and challenges. Biotropica 2016, 48, 716–730. [Google Scholar] [CrossRef]
- Ye, C.; Li, S.; Zhang, Y.; Tong, X.; Zhang, Q. Assessing heavy metal pollution in the water level fluctuation zone of China’s Three Gorges Reservoir using geochemical and soil microbial approaches. Environ. Monit. Assess. 2013, 185, 231–240. [Google Scholar] [CrossRef] [PubMed]
- Ma, T.; Deng, X.; Chen, L.; Xiang, W. The soil properties and their effects on plant diversity in different degrees of rocky desertification. Sci. Total Environ. 2020, 736, 139667. [Google Scholar] [CrossRef]
- Van de Broek, M.; Vandendriessche, C.; Poppelmonde, D.; Merckx, R.; Temmerman, S.; Govers, G. Long-Term organic carbon sequestration in tidal marsh sediments is dominated by old-aged allochthonous inputs in a macrotidal estuary. Glob. Change Biol. 2018, 24, 2498–2512. [Google Scholar] [CrossRef]
- Jiang, Y.; Jin, C.; Sun, B. Soil aggregate stratification of nematodes and ammonia oxidizers affects nitrification in an acid soil. Environ. Microbiol. 2014, 16, 3083–3094. [Google Scholar] [CrossRef]
- Brussaard, L. Biodiversity and ecosystem functioning in soil. Ambio 1997, 26, 563–570. [Google Scholar]
- Hemkemeyer, M.; Pronk, G.J.; Heister, K.; Kogel-Knabner, I.; Martens, R.; Tebbe, C.C. Artificial soil studies reveal domain-specific preferences of microorganisms for the colonisation of different soil minerals and particle size fractions. FEMS Microbiol. Ecol. 2014, 90, 770–782. [Google Scholar] [CrossRef]
- Luo, G.; Rensing, C.; Chen, H.; Liu, M.; Wang, M.; Guo, S.; Ling, N.; Shen, Q.; Briones, M. Deciphering the associations between soil microbial diversity and ecosystem multifunctionality driven by long-term fertilization management. Funct. Ecol. 2018, 32, 1103–1116. [Google Scholar] [CrossRef]
- Li, J.; Cui, L.; Delgado-Baquerizo, M.; Wang, J.; Zhu, Y.; Wang, R.; Li, W.; Lei, Y.; Zhai, X.; Zhao, X.; et al. Fungi drive soil multifunctionality in the coastal salt marsh ecosystem. Sci. Total Environ. 2022, 818, 151673. [Google Scholar] [CrossRef]
- Wang, H.; Lv, G.; Cai, Y.; Zhang, X.; Jiang, L.; Yang, X. Determining the effects of biotic and abiotic factors on the ecosystem multifunctionality in a desert-oasis ecotone. Ecol. Indic. 2021, 128, 107830. [Google Scholar] [CrossRef]
- Cui, H.; Wagg, C.; Wang, X.; Liu, Z.; Liu, K.; Chen, S.; Chen, J.; Song, H.; Meng, L.; Wang, J.; et al. The loss of above- and belowground biodiversity in degraded grasslands drives the decline of ecosystem multifunctionality. Appl. Soil Ecol. 2022, 172, 104370. [Google Scholar] [CrossRef]
- Xu, M.; Cui, Y.; Beiyuan, J.; Wang, X.; Duan, C.; Fang, L. Heavy metal pollution increases soil microbial carbon limitation: Evidence from ecological enzyme stoichiometry. Soil Ecol. Lett. 2021, 3, 230–241. [Google Scholar] [CrossRef]
- Brancalion, P.H.S.; Meli, P.; Tymus, J.R.C.; Lenti, F.E.B.; Benini, R.M.; Silva, A.P.M.; Isernhagen, I.; Holl, K.D. What makes ecosystem restoration expensive? A systematic cost assessment of projects in Brazil. Biol. Conserv. 2019, 240, 108274. [Google Scholar] [CrossRef]
- Chenoweth, J.; Bakker, J.D.; Acker, S.A. Planting, seeding, and sediment impact restoration success following dam removal. Ecol. Restor. 2021, 30, e13506. [Google Scholar] [CrossRef]
- Zhang, C.; Xue, S.; Liu, G.-B.; Song, Z.-L. A comparison of soil qualities of different revegetation types in the Loess Plateau, China. Plant Soil 2011, 347, 163–178. [Google Scholar] [CrossRef]
- Zheng, Y.; Dong, L.; Xia, Q.; Liang, C.; Wang, L.; Shao, Y. Effects of revegetation on climate in the Mu Us Sandy Land of China. Sci. Total Environ. 2020, 739, 139958. [Google Scholar] [CrossRef]
- Liu, M.; Jia, Y.; Zhao, J.; Shen, Y.; Pei, H.; Zhang, H.; Li, Y. Revegetation projects significantly improved ecosystem service values in the agro-pastoral ecotone of northern China in recent 20 years. Sci. Total Environ. 2021, 788, 147756. [Google Scholar] [CrossRef]







Disclaimer/Publisher’s Note: The statements, opinions and data contained in all publications are solely those of the individual author(s) and contributor(s) and not of MDPI and/or the editor(s). MDPI and/or the editor(s) disclaim responsibility for any injury to people or property resulting from any ideas, methods, instructions or products referred to in the content. |
© 2025 by the authors. Licensee MDPI, Basel, Switzerland. This article is an open access article distributed under the terms and conditions of the Creative Commons Attribution (CC BY) license (https://creativecommons.org/licenses/by/4.0/).
Share and Cite
Jiang, Y.; Ye, C.; Delgado-Baquerizo, M.; Zhou, G.; Gong, Y.; Zhang, Q. Limited Effect of Biodiversity on the Multifunctionality of a Revegetated Riparian Ecosystem. Microorganisms 2025, 13, 554. https://doi.org/10.3390/microorganisms13030554
Jiang Y, Ye C, Delgado-Baquerizo M, Zhou G, Gong Y, Zhang Q. Limited Effect of Biodiversity on the Multifunctionality of a Revegetated Riparian Ecosystem. Microorganisms. 2025; 13(3):554. https://doi.org/10.3390/microorganisms13030554
Chicago/Turabian StyleJiang, Yueliang, Chen Ye, Manuel Delgado-Baquerizo, Guiyao Zhou, Yu Gong, and Quanfa Zhang. 2025. "Limited Effect of Biodiversity on the Multifunctionality of a Revegetated Riparian Ecosystem" Microorganisms 13, no. 3: 554. https://doi.org/10.3390/microorganisms13030554
APA StyleJiang, Y., Ye, C., Delgado-Baquerizo, M., Zhou, G., Gong, Y., & Zhang, Q. (2025). Limited Effect of Biodiversity on the Multifunctionality of a Revegetated Riparian Ecosystem. Microorganisms, 13(3), 554. https://doi.org/10.3390/microorganisms13030554

