Oral Administration of the Probiotic Lacticaseibacillus rhamnosus CA15 in a Large Cohort of Women with Bacterial Vaginosis and Mixed Vaginitis: Clinical Evidence from a Randomized, Double-Blind, Placebo-Controlled Study
Abstract
1. Introduction
2. Materials and Methods
2.1. Trial Population
2.2. Trial Design and Treatment
2.3. Visits and Assessment
2.3.1. Clinical Signs and Symptoms
2.3.2. Microbiological Analysis of Vaginal Samples
2.3.3. Quality of Life
2.4. Statistical Analysis
3. Results
3.1. Participant Flow
3.2. Demographic and Baseline Clinical Characteristics
3.3. Effect of Probiotic and Placebo Treatment on Diagnostic Parameters
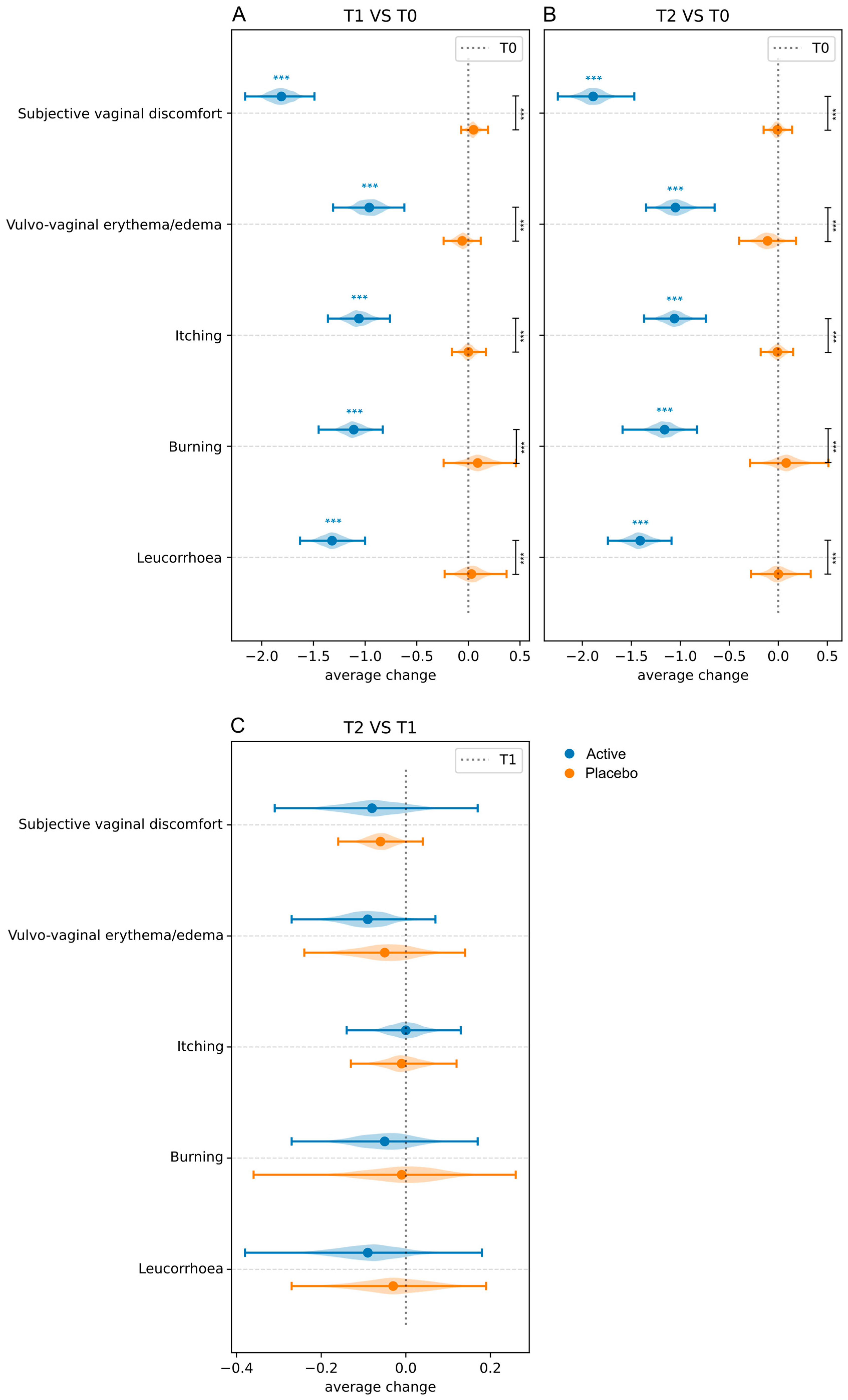
3.3.1. Clinical Signs and Symptoms
3.3.2. Amsel Criteria
3.3.3. Nugent Score and Lactobacillary Grade
3.3.4. Effect of Probiotic and Placebo Treatment on the Vaginal Microbiota Composition
3.4. Effect of Probiotic and Placebo Treatment on the Perceived Quality of Life
4. Discussion
5. Conclusions
Supplementary Materials
Author Contributions
Funding
Institutional Review Board Statement
Informed Consent Statement
Data Availability Statement
Acknowledgments
Conflicts of Interest
Abbreviations
| ANCOVA | Analysis of Covariance |
| AV | Aerobic vaginitis |
| BV | Bacterial vaginosis |
| cfu | Colony-forming units |
| COSORT | CONsolidated Standards Of Reporting Trials |
| EPS | Exopolysaccharide |
| HIV | Human immunodeficiency virus |
| HPV | Human papillomavirus |
| HSV-2 | Herpes simplex virus 2 |
| LBG | Lactobacillary grade |
| MV | Mixed vaginitis |
| PID | Pelvic inflammatory disease |
| QoL | Quality of life |
| SPIRIT | Standard Protocol Items: Recommendation for Interventional Trials |
| STIs | Sexually transmitted infections |
| TLRs | Toll-like receptors |
| VSQ | Vulvovaginal symptom questionnaire |
| VVC | Vulvovaginal candidiasis |
| WHOQL-BREF | World Health Organization Quality of Life–BREF |
| WMA | World Medical Association |
References
- Mei, Z.; Li, D. The role of probiotics in vaginal health. Front. Cell. Infect. Microbiol. 2022, 12, 963868. [Google Scholar] [CrossRef]
- Cappello, C.; Acin-Albiac, M.; Pinto, D.; Polo, A.; Filannino, P.; Rinaldi, F.; Gobbetti, M.; Di Cagno, R. Do nomadic lactobacilli fit as potential vaginal probiotics? The answer lies in a successful selective multi-step and scoring approach. Microb. Cell Fact. 2023, 22, 27. [Google Scholar] [CrossRef]
- Shen, X.; Xu, L.; Zhang, Z.; Yang, Y.; Li, P.; Ma, T.; Guo, S.; Kwok, L.Y.; Sun, Z. Postbiotic gel relieves clinical symptoms of bacterial vaginitis by regulating the vaginal microbiota. Front. Cell. Infect. Microbiol. 2023, 13, 1114364. [Google Scholar] [CrossRef] [PubMed]
- Pino, A.; Hiippala, K.; Ronkainen, A.; Vaccalluzzo, A.; Caggia, C.; Satokari, R.; Randazzo, C.L. Adhesion Properties and Pathogen Inhibition of Vaginal-Derived Lactobacilli. Probiotics Antimicrob. Proteins. 2024, 17, 4607–4618. [Google Scholar] [CrossRef]
- Das, S.; Bhattacharjee, M.J.; Mukherjee, A.K.; Khan, M.R. Recent advances in understanding of multifaceted changes in the vaginal microenvironment: Implications in vaginal health and therapeutics. Crit. Rev. Microbiol. 2023, 49, 256–282. [Google Scholar] [CrossRef] [PubMed]
- Chee, W.J.Y.; Chew, S.Y.; Than, L.T.L. Vaginal microbiota and the potential of Lactobacillus derivatives in maintaining vaginal health. Microb. Cell Fact. 2020, 19, 203. [Google Scholar] [CrossRef]
- Tachedjian, G.; Aldunate, M.; Bradshaw, C.S.; Cone, R.A. The role of lactic acid production by probiotic Lactobacillus species in vaginal health. Res. Microbiol. 2017, 168, 782–792. [Google Scholar] [CrossRef]
- Han, Y.; Liu, Z.; Chen, T. Role of vaginal microbiota dysbiosis in gynecological diseases and the potential interventions. Front. Microbiol. 2021, 12, 643422. [Google Scholar] [CrossRef]
- Paladine, H.L.; Desai, U.A. Vaginitis: Diagnosis and Treatment. Am. Fam. Physician 2018, 97, 321–329. [Google Scholar] [PubMed]
- Qi, W.; Li, H.; Wang, C.; Li, H.; Zhang, B.; Dong, M.; Fan, A.; Han, C.; Xue, F. Recent Advances in Presentation, Diagnosis and Treatment for Mixed Vaginitis. Front. Cell. Infect. Microbiol. 2021, 11, 759795. [Google Scholar] [CrossRef]
- Zuñiga Vinueza, A.M. Probiotics for the Prevention of Vaginal Infections: A Systematic Review. Cureus 2024, 16, e64473. [Google Scholar] [CrossRef] [PubMed]
- Abavisani, M.; Sahebi, S.; Dadgar, F.; Peikfalak, F.; Keikha, M. The role of probiotics as adjunct treatment in the prevention and management of gynecological infections: An updated meta-analysis of 35 RCT studies. Taiwan J. Obstet. Gynecol. 2024, 63, 357–368. [Google Scholar] [CrossRef] [PubMed]
- Stavropoulou, E.; Bezirtzoglou, E. Probiotics in Medicine: A Long Debate. Front. Immunol. 2020, 11, 2192. [Google Scholar] [CrossRef]
- Magalhães, C.; Lima, M.; Trieu-Cuot, P.; Ferreira, P. To give or not to give antibiotics is not the only question. Lancet Infect. Dis. 2021, 21, e191–e201. [Google Scholar] [CrossRef]
- Pino, A.; Vaccalluzzo, A.; Caggia, C.; Balzaretti, S.; Vanella, L.; Sorrenti, V.; Ronkainen, A.; Satokari, R.; Randazzo, C.L. Lacticaseibacillus rhamnosus CA15 (DSM 33960) as a Candidate Probiotic Strain for Human Health. Nutrients 2022, 14, 4902. [Google Scholar] [CrossRef]
- Rapisarda, A.M.C.; Pino, A.; Grimaldi, R.L.; Caggia, C.; Randazzo, C.L.; Cianci, A. Lacticaseibacillus rhamnosus CA15 (DSM 33960) strain as a new driver in restoring the normal vaginal microbiota: A randomized, double-blind, placebo-controlled clinical trial. Front. Surg. 2023, 9, 1075612. [Google Scholar] [CrossRef] [PubMed]
- Hopewell, S.; Chan, A.W.; Collins, G.S.; Hróbjartsson, A.; Moher, D.; Schulz, K.F.; Tunn, R.; Aggarwal, R.; Berkwits, M.; Berlin, J.A.; et al. CONSORT 2025 statement: Updated guideline for reporting randomized trials. Nat. Med. 2025, 31, 1776–1783. [Google Scholar] [CrossRef]
- Chan, A.W.; Boutron, I.; Hopewell, S.; Moher, D.; Schulz, K.F.; Collins, G.S.; Tunn, R.; Aggarwal, R.; Berkwits, M.; Berlin, J.A.; et al. SPIRIT 2025 statement: Updated guideline for protocols of randomized trials. Nat. Med. 2025, 31, 1784–1792. [Google Scholar] [CrossRef]
- Amsel, R.; Totten, P.A.; Spiegel, C.A.; Chen, K.C.; Eschenbach, D.; Holmes, K.K. Nonspecific vaginitis. Diagnostic criteria and microbial and epidemiologic associations. Am. J. Med. 1983, 74, 14–22. [Google Scholar] [CrossRef]
- Nugent, R.P.; Krohn, M.A.; Hillier, S.L. Reliability of diagnosing bacterial vaginosis is improved by a standardized method of gram stain interpretation. J. Clin. Microbiol. 1991, 29, 297–301. [Google Scholar] [CrossRef]
- Donders, G.G. Definition and classification of abnormal vaginal flora. Best Pract. Res. Clin. Obstet. Gynaecol. 2007, 21, 355–373. [Google Scholar] [CrossRef] [PubMed]
- ISO 7218:2024-12; Microbiology of Food and Animal Feed—General Requirements and Principles of Microbiological Testing. ISO: Geneva, Switzerland, 2024. Available online: https://sklep.pkn.pl/pn-en-iso-7218-2024-12e.html (accessed on 11 November 2025).
- The WHOQOL Group. Development of the World Health Organization WHOQOL-BREF quality of life assessment. Psychol. Med. 1998, 28, 551–558. [Google Scholar] [CrossRef]
- Sobel, J.D.; Vempati, Y.S. Bacterial Vaginosis and Vulvovaginal Candidiasis Pathophysiologic Interrelationship. Microorganisms 2024, 12, 108. [Google Scholar] [CrossRef]
- López-Moreno, A.; Aguilera, M. Vaginal Probiotics for Reproductive Health and Related Dysbiosis: Systematic Review and Meta-Analysis. J. Clin. Med. 2021, 10, 1461. [Google Scholar] [CrossRef]
- Liu, P.; Lu, Y.; Li, R.; Chen, X. Use of probiotic lactobacilli in the treatment of vaginal infections: In vitro and in vivo investigations. Front. Cell. Infect. Microbiol. 2023, 13, 1153894. [Google Scholar] [CrossRef]
- Takada, K.; Melnikov, V.G.; Kobayashi, R.; Komine-Aizawa, S.; Tsuji, N.M.; Hayakawa, S. Female reproductive tract-organ axes. Front. Immunol. 2023, 14, 1110001. [Google Scholar] [CrossRef] [PubMed]
- McDonald, B.D.; Jabri, B.; Bendelac, A. Diverse developmental pathways of intestinal intraepithelial lymphocytes. Nat. Rev. Immunol. 2018, 18, 514–525. [Google Scholar] [CrossRef] [PubMed]
- Salazar, A.M.; Neugent, M.L.; De Nisco, N.J.; Mysorekar, I.U. Gut-bladder axis enters the stage: Implication for recurrent urinary tract infections. Cell Host Microbe 2022, 30, 1066–1069. [Google Scholar] [CrossRef]
- Xiao, B.; A, D.; Qin, H.; Mi, L.; Zhang, D. Correlation analysis of vaginal microbiome changes and bacterial vaginosis plus vulvovaginal candidiasis mixed vaginitis prognosis. Front. Cell. Infect. Microbiol. 2022, 12, 860589. [Google Scholar] [CrossRef]
- Vaccalluzzo, A.; Pino, A.; Grimaldi, R.L.; Caggia, C.; Cianci, S.; Randazzo, C.L. Lacticaseibacillus rhamnosus TOM 22.8 (DSM 33500) is an effective strategy for managing vaginal dysbiosis, rising the lactobacilli population. J. Appl. Microbiol. 2024, 135, lxae110. [Google Scholar] [CrossRef]
- Pino, A.; Rapisarda, A.M.C.; Vaccalluzzo, A.; Sanfilippo, R.R.; Coman, M.M.; Grimaldi, R.L.; Caggia, C.; Randazzo, C.L.; Russo, N.; Panella, M.M.; et al. Oral Intake of the Commercial Probiotic Blend Synbio® for the Management of Vaginal Dysbiosis. J. Clin. Med. 2022, 12, 27. [Google Scholar] [CrossRef]
- Chen, C.; Hao, L.; Zhang, Z.; Tian, L.; Zhang, X.; Zhu, J.; Jie, Z.; Tong, X.; Xiao, L.; Zhang, T.; et al. Cervicovaginal microbiome dynamics after taking oral probiotics. J. Genet. Genom. 2021, 48, 716–726. [Google Scholar] [CrossRef]
- Zhang, Y.; Lyu, J.; Ge, L.; Huang, L.; Peng, Z.; Liang, Y.; Zhang, X.; Fan, S. Probiotic Lacticaseibacillus rhamnosus GR-1 and Limosilactobacillus reuteri RC-14 as an Adjunctive Treatment for Bacterial Vaginosis Do Not Increase the Cure Rate in a Chinese Cohort: A Prospective, Parallel-Group, Randomized, Controlled Study. Front. Cell. Infect. Microbiol. 2021, 11, 669901. [Google Scholar] [CrossRef]
- Husain, S.; Allotey, J.; Drymoussi, Z.; Wilks, M.; Fernandez-Felix, B.M.; Whiley, A.; Dodds, J.; Thangaratinam, S.; McCourt, C.; Prosdocimi, E.M.; et al. Effects of oral probiotic supplements on vaginal microbiota during pregnancy: A randomised, double-blind, placebo-controlled trial with microbiome analysis. BJOG 2020, 127, 275–284. [Google Scholar] [CrossRef]
- Yang, S.; Reid, G.; Challis, J.R.G.; Gloor, G.B.; Asztalos, E.; Money, D.; Seney, S.; Bocking, A.D. Effect of Oral Probiotic Lactobacillus rhamnosus GR-1 and Lactobacillus reuteri RC-14 on the Vaginal Microbiota, Cytokines and Chemokines in Pregnant Women. Nutrients 2020, 12, 368. [Google Scholar] [CrossRef] [PubMed]
- Anukam, K.; Osazuwa, E.; Ahonkhai, I.; Ngwu, M.; Osemene, G.; Bruce, A.W.; Reid, G. Augmentation of antimicrobial metronidazole therapy of bacterial vaginosis with oral probiotic Lactobacillus rhamnosus GR-1 and Lactobacillus reuteri RC-14: Randomized, double-blind, placebo controlled trial. Microbes Infect. 2006, 8, 1450–1454. [Google Scholar] [CrossRef] [PubMed]
- Martinez, R.C.; Franceschini, S.A.; Patta, M.C.; Quintana, S.M.; Gomes, B.C.; De Martinis, E.C.; Reid, G. Improved cure of bacterial vaginosis with single dose of tinidazole (2 g), Lactobacillus rhamnosus GR-1, and Lactobacillus reuteri RC-14: A randomized, double-blind, placebo-controlled trial. Can. J. Microbiol. 2009, 55, 133–138. [Google Scholar] [CrossRef] [PubMed]
- De Alberti, D.; Russo, R.; Terruzzi, F.; Nobile, V.; Ouwehand, A.C. Lactobacilli vaginal colonisation after oral consumption of Respecta® complex: A randomised controlled pilot study. Arch. Gynecol. Obstet. 2015, 292, 861–867. [Google Scholar] [CrossRef]
- Russo, R.; Edu, A.; De Seta, F. Study on the effects of an oral lactobacilli and lactoferrin complex in women with intermediate vaginal microbiota. Arch. Gynecol. Obstet. 2018, 298, 139–145. [Google Scholar] [CrossRef]
- Russo, R.; Superti, F.; Karadja, E.; De Seta, F. Randomised clinical trial in women with Recurrent Vulvovaginal Candidiasis: Efficacy of probiotics and lactoferrin as maintenance treatment. Mycoses 2019, 62, 328–335. [Google Scholar] [CrossRef]
- Russo, R.; Karadja, E.; De Seta, F. Evidence-based mixture containing Lactobacillus strains and lactoferrin to prevent recurrent bacterial vaginosis: A double blind, placebo controlled, randomised clinical trial. Benef. Microbes 2019, 10, 19–26. [Google Scholar] [CrossRef]
- Lyra, A.; Ala-Jaakkola, R.; Yeung, N.; Datta, N.; Evans, K.; Hibberd, A.; Lehtinen, M.J.; Forssten, S.D.; Ibarra, A.; Pesonen, T.; et al. A Healthy Vaginal Microbiota Remains Stable during Oral Probiotic Supplementation: A Randomised Controlled Trial. Microorganisms 2023, 11, 499. [Google Scholar] [CrossRef] [PubMed]
- Chapple, A. Vaginal thrush: Perceptions and experiences of women of south Asian descent. Health Educ. Res. 2001, 16, 9–19. [Google Scholar] [CrossRef]
- Aballéa, S.; Guelfucci, F.; Wagner, J.; Khemiri, A.; Dietz, J.P.; Sobel, J.; Toumi, M. Subjective health status and health-related quality of life among women with Recurrent Vulvovaginal Candidosis (RVVC) in Europe and the USA. Health Qual. Life Outcomes 2013, 11, 169. [Google Scholar] [CrossRef]
- Zhu, Y.X.; Li, T.; Fan, S.R.; Liu, X.P.; Liang, Y.H.; Liu, P. Health-related quality of life as measured with the Short-Form 36 (SF-36) questionnaire in patients with recurrent vulvovaginal candidiasis. Health Qual. Life Outcomes 2016, 14, 65. [Google Scholar] [CrossRef]
- Nguyen, Y.; Lee, A.; Fischer, G. Quality of life in patients with chronic vulvovaginal candidiasis: A before and after study on the impact of oral fluconazole therapy. Australas. J. Dermatol. 2017, 58, e176–e181. [Google Scholar] [CrossRef] [PubMed]
- Thomas-White, K.; Navarro, P.; Wever, F.; King, L.; Dillard, L.R.; Krapf, J. Psychosocial impact of recurrent urogenital infections: A review. Womens Health 2023, 19, 17455057231216537. [Google Scholar] [CrossRef]
- Ang, X.Y.; Chung, F.Y.; Lee, B.K.; Azhar, S.N.A.; Sany, S.; Roslan, N.S.; Ahmad, N.; Yusof, S.M.; Abdullah, N.; Nik Ab Rahman, N.N.; et al. Lactobacilli reduce recurrences of vaginal candidiasis in pregnant women: A randomized, double-blind, placebo-controlled study. J. Appl. Microbiol. 2022, 132, 3168–3180. [Google Scholar] [CrossRef] [PubMed]







| Demographic Characteristics | Active Group (n = 100) | Placebo Group (n = 100) | p-Value |
|---|---|---|---|
| Age | 32.58 ± 5.74 | 32.13 ± 6.52 | 0.7727 |
| Body mass index | |||
| <18.5 | 4 | 5 | 0.7369 |
| 18.5–24.9 | 81 | 81 | |
| 25–29.9 | 8 | 8 | |
| ≥30 | 7 | 6 | |
| Smoking habits | 24 | 22 | 0.8667 |
| Contraceptive use | |||
| Oral | 12 | 15 | 0.6796 |
| Barrier | 28 | 30 | 0.8762 |
| Others | 36 | 34 | 0.8822 |
| History of vaginal dysbiosis | 61 | 58 | 0.7733 |
| Sexual activity | 68 | 71 | 0.7588 |
| Clinical Characteristics | Active Group (n = 100) | Placebo Group (n = 100) | p-Value | |
|---|---|---|---|---|
| Signs and symptoms | Leucorrhea | 95 | 97 | 0.7209 |
| Burning | 92 | 89 | 0.6306 | |
| Itching | 79 | 82 | 0.7214 | |
| Vulvovaginal erythema/edema | 90 | 88 | 0.8217 | |
| Subjective vaginal discomfort | 95 | 97 | 0.7209 | |
| Amsel criteria | Homogenous vaginal discharge | 78 | 80 | 0.8623 |
| Clue cell presence | 67 | 70 | 0.7609 | |
| Positive amine test | 68 | 70 | 0.8785 | |
| Vaginal pH > 4.5 | 86 | 87 | 1.0000 | |
| Nugent score | 0–3 | 0 | 0 | 0.4738 |
| 4–6 | 3 | 5 | ||
| 7–10 | 97 | 95 | ||
| Lactobacillary grade | I | 0 | 0 | 0.4719 |
| II | 8 | 11 | ||
| III | 92 | 89 | ||
| Microbial Groups | Active Group (n = 100) | Placebo Group (n = 100) | ||||||||||
|---|---|---|---|---|---|---|---|---|---|---|---|---|
| T0 | T1 | T2 | p-Value T0 vs. T1 | p-Value T0 vs. T2 | p-Value T1 vs. T2 | T0 | T1 | T2 | p-Value T0 vs. T1 | p-Value T0 vs. T2 | p-Value T1 vs. T2 | |
| Lactobacillus spp. | 3.49 ± 0.08 | 7.19 ± 0.71 | 7.21 ± 0.76 | 3.89 × 10−18 * | 3.89 × 10−18 * | 0.0033 * | 3.51 ± 0.12 | 3.52 ± 0.14 | 3.53 ± 0.34 | 0.1760 | 0.0039 * | 0.0216 * |
| Enterococcus spp. | 4.93 ± 0.57 | 2.17 ± 0.99 | 2.14 ± 0.86 | 3.89 × 10−18 * | 3.89 × 10−18 * | 0.0026 * | 4.90 ± 0.59 | 4.99 ± 0.57 | 4.98 ± 0.58 | 0.0001 * | 0.0000 * | 0.7258 |
| Staphylococcus spp. | 3.70 ± 0.36 | 1.83 ± 0.22 | 1.76 ± 0.24 | 3.89 × 10−18 * | 3.89 × 10−18 * | 0.0023 * | 3.69 ± 0.29 | 3.78 ± 0.32 | 3.79 ± 0.33 | 0.0000 * | 0.0000 * | 0.0237 * |
| Gardnerella spp. | 4.41 ± 0.50 | 1.93 ± 0.47 | 1.92 ± 0.21 | 3.89 × 10−18 * | 3.89 × 10−18 * | 0.0005 * | 4.43 ± 0.44 | 4.53 ± 0.36 | 4.44 ± 0.43 | 0.0007 * | 0.9014 | 0.0098 * |
| Candida spp. | 3.83 ± 0.29 | 1.32 ± 0.81 | 1.34 ± 0.78 | 3.89 × 10−18 * | 3.89 × 10−18 * | 0.6996 | 3.87 ± 0.42 | 3.95 ± 0.41 | 3.92 ± 0.43 | 0.0006 * | 0.0510 | 0.8231 |
| Escherichia coli | 4.02 ± 0.68 | 1.11 ± 0.82 | 1.09 ± 0.81 | 3.89 × 10−18 * | 3.89 × 10−18 * | 0.1492 | 4.17 ± 0.48 | 4.05 ± 0.52 | 4.11 ± 0.54 | 0.0000 * | 0.0890 | 0.0078 * |
| Microbial Group | Sampling Time | ANCOVA | |
|---|---|---|---|
| Effect † | p-Value | ||
| Lactobacillus spp. | T1 | 3.6978 | 6.23 × 10−117 * |
| T2 | 3.6905 | 8.40 × 10−105 * | |
| Enterococcus spp. | T1 | −2.8436 | 1.87 × 10−72 * |
| T2 | −2.8546 | 5.31 × 10−78 * | |
| Staphylococcus spp. | T1 | −1.9538 | 6.66 × 10−118 * |
| T2 | −2.0379 | 4.44 × 10−118 * | |
| Gardnerella spp. | T1 | −2.5927 | 1.09 × 10−116 * |
| T2 | −2.5226 | 5.11 × 10−123 * | |
| Candida spp. | T1 | −2.6082 | 1.58 × 10−75 * |
| T2 | −2.5624 | 2.95 × 10−74 * | |
| Escherichia coli | T1 | −2.8240 | 8.47 × 10−95 * |
| T2 | −2.9056 | 9.29 × 10−93 * | |
Disclaimer/Publisher’s Note: The statements, opinions and data contained in all publications are solely those of the individual author(s) and contributor(s) and not of MDPI and/or the editor(s). MDPI and/or the editor(s) disclaim responsibility for any injury to people or property resulting from any ideas, methods, instructions or products referred to in the content. |
© 2025 by the authors. Licensee MDPI, Basel, Switzerland. This article is an open access article distributed under the terms and conditions of the Creative Commons Attribution (CC BY) license (https://creativecommons.org/licenses/by/4.0/).
Share and Cite
Pino, A.; Vaccalluzzo, A.; Cianci, S.; Palumbo, M.; Caruso, G.; Caggia, C.; Randazzo, C.L. Oral Administration of the Probiotic Lacticaseibacillus rhamnosus CA15 in a Large Cohort of Women with Bacterial Vaginosis and Mixed Vaginitis: Clinical Evidence from a Randomized, Double-Blind, Placebo-Controlled Study. Microorganisms 2025, 13, 2651. https://doi.org/10.3390/microorganisms13122651
Pino A, Vaccalluzzo A, Cianci S, Palumbo M, Caruso G, Caggia C, Randazzo CL. Oral Administration of the Probiotic Lacticaseibacillus rhamnosus CA15 in a Large Cohort of Women with Bacterial Vaginosis and Mixed Vaginitis: Clinical Evidence from a Randomized, Double-Blind, Placebo-Controlled Study. Microorganisms. 2025; 13(12):2651. https://doi.org/10.3390/microorganisms13122651
Chicago/Turabian StylePino, Alessandra, Amanda Vaccalluzzo, Stefano Cianci, Marco Palumbo, Giuseppe Caruso, Cinzia Caggia, and Cinzia L. Randazzo. 2025. "Oral Administration of the Probiotic Lacticaseibacillus rhamnosus CA15 in a Large Cohort of Women with Bacterial Vaginosis and Mixed Vaginitis: Clinical Evidence from a Randomized, Double-Blind, Placebo-Controlled Study" Microorganisms 13, no. 12: 2651. https://doi.org/10.3390/microorganisms13122651
APA StylePino, A., Vaccalluzzo, A., Cianci, S., Palumbo, M., Caruso, G., Caggia, C., & Randazzo, C. L. (2025). Oral Administration of the Probiotic Lacticaseibacillus rhamnosus CA15 in a Large Cohort of Women with Bacterial Vaginosis and Mixed Vaginitis: Clinical Evidence from a Randomized, Double-Blind, Placebo-Controlled Study. Microorganisms, 13(12), 2651. https://doi.org/10.3390/microorganisms13122651

