Cooperation Between Rhodococcus qinshengii and Rhodococcus erythropolis for Carbendazim Degradation
Abstract
1. Introduction
2. Materials and Methods
2.1. Bacterial Strains
2.2. HPLC and LC-MS Metabolic Analysis of Carbendazim Degrader Profiles
2.3. Genomic DNA Extraction
2.4. Detection of the mheI Gene
2.5. Genome Sequencing and Localization of Genes Involved in Carbendazim Degradation
2.6. Phylogenomic Analysis
3. Results
3.1. Preliminary Screening for the mheI Gene
3.2. Genetic Identification of Carbendazim-Degrading Strains
3.3. Kinetic Analysis of the Carbendazim Degradation Process
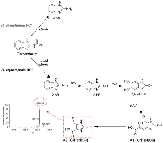
3.4. Metabolic Profiling of Carbendazim Degradation Intermediaries by R. erythropolis RC9
3.5. Genetic Background Related to Carbendazim Degradation
4. Discussion
5. Conclusions
Supplementary Materials
Author Contributions
Funding
Institutional Review Board Statement
Informed Consent Statement
Data Availability Statement
Acknowledgments
Conflicts of Interest
References
- Urana, R.; Jaglan, J.; Rekadwad, B.N. The Effects of Xenobiotics on Soil and Human Health. In Xenobiotics in Urban Ecosystems; Singh, R., Singh, P., Tripathi, S., Chandra, K.K., Bhadouria, R., Eds.; Springer International Publishing: Cham, Switzerland, 2023; pp. 209–223. ISBN 978-3-031-35774-9. [Google Scholar]
- Li, J.; Jia, C.; Lu, Q.; Hungate, B.A.; Dijkstra, P.; Wang, S.; Wu, C.; Chen, S.; Li, D.; Shim, H. Mechanistic Insights into the Success of Xenobiotic Degraders Resolved from Metagenomes of Microbial Enrichment Cultures. J. Hazard. Mater. 2021, 418, 126384. [Google Scholar] [CrossRef] [PubMed]
- Goldford, J.E.; Lu, N.; Bajić, D.; Estrela, S.; Tikhonov, M.; Sanchez-Gorostiaga, A.; Segrè, D.; Mehta, P.; Sanchez, A. Emergent Simplicity in Microbial Community Assembly. Science 2018, 361, 469–474. [Google Scholar] [CrossRef] [PubMed]
- Mas, A.; Jamshidi, S.; Lagadeuc, Y.; Eveillard, D.; Vandenkoornhuyse, P. Beyond the Black Queen Hypothesis. ISME J. 2016, 10, 2085–2091. [Google Scholar] [CrossRef] [PubMed]
- Morris, J.J.; Lenski, R.E.; Zinser, E.R. The Black Queen Hypothesis: Evolution of Dependencies through Adaptive Gene Loss. mBio 2012, 3, e00036-12. [Google Scholar] [CrossRef]
- Agrios, G.N. Control of plant diseases. In Plant Pathology; Elsevier: Amsterdam, The Netherlands, 2005; pp. 293–353. ISBN 978-0-12-044565-3. [Google Scholar]
- Singh, S.; Kumar, V.; Singh, S.; Singh, J. Influence of Humic Acid, Iron and Copper on Microbial Degradation of Fungicide Carbendazim. Biocatal. Agric. Biotechnol. 2019, 20, 101196. [Google Scholar] [CrossRef]
- Zhou, T.; Guo, T.; Wang, Y.; Wang, A.; Zhang, M. Carbendazim: Ecological Risks, Toxicities, Degradation Pathways and Potential Risks to Human Health. Chemosphere 2023, 314, 137723. [Google Scholar] [CrossRef] [PubMed]
- Zikos, C.; Evangelou, A.; Karachaliou, C.-E.; Gourma, G.; Blouchos, P.; Moschopoulou, G.; Yialouris, C.; Griffiths, J.; Johnson, G.; Petrou, P.; et al. Commercially Available Chemicals as Immunizing Haptens for the Development of a Polyclonal Antibody Recognizing Carbendazim and Other Benzimidazole-Type Fungicides. Chemosphere 2015, 119, S16–S20. [Google Scholar] [CrossRef]
- Sun, L.-N.; Zhang, J.; Gong, F.-F.; Wang, X.; Hu, G.; Li, S.-P.; Hong, Q. Nocardioides soli sp. Nov., a Carbendazim-Degrading Bacterium Isolated from Soil under the Long-Term Application of Carbendazim. Int. J. Syst. Evol. Microbiol. 2014, 64, 2047–2052. [Google Scholar] [CrossRef] [PubMed]
- Bai, N.; Wang, S.; Abuduaini, R.; Zhang, M.; Zhu, X.; Zhao, Y. Rhamnolipid-Aided Biodegradation of Carbendazim by Rhodococcus Sp. D-1: Characteristics, Products, and Phytotoxicity. Sci. Total Environ. 2017, 590–591, 343–351. [Google Scholar] [CrossRef]
- Zhang, X.; Huang, Y.; Harvey, P.R.; Li, H.; Ren, Y.; Li, J.; Wang, J.; Yang, H. Isolation and Characterization of Carbendazim-Degrading Rhodococcus erythropolis Djl-11. PLoS ONE 2013, 8, e74810. [Google Scholar] [CrossRef]
- Wang, Z.; Wang, Y.; Gong, F.; Zhang, J.; Hong, Q.; Li, S. Biodegradation of Carbendazim by a Novel Actinobacterium Rhodococcus jialingiae Djl-6-2. Chemosphere 2010, 81, 639–644. [Google Scholar] [CrossRef] [PubMed]
- Abraham, J.; Silambarasan, S. Biodegradation of Carbendazim by Rhodococcus erythropolis and Its Plant Growth-Promoting Traits. Biol. Environ. 2018, 118B, 69–80. [Google Scholar] [CrossRef]
- Zhang, Y.; Wang, H.; Wang, X.; Hu, B.; Zhang, C.; Jin, W.; Zhu, S.; Hu, G.; Hong, Q. Identification of the Key Amino Acid Sites of the Carbendazim Hydrolase (MheI) from a Novel Carbendazim-Degrading Strain Mycobacterium sp. SD-4. J. Hazard. Mater. 2017, 331, 55–62. [Google Scholar] [CrossRef] [PubMed]
- Pandey, G.; Dorrian, S.J.; Russell, R.J.; Brearley, C.; Kotsonis, S.; Oakeshott, J.G. Cloning and Biochemical Characterization of a Novel Carbendazim (Methyl-1H-Benzimidazol-2-Ylcarbamate)-Hydrolyzing Esterase from the Newly Isolated Nocardioides Sp. Strain SG-4G and Its Potential for Use in Enzymatic Bioremediation. Appl. Environ. Microbiol 2010, 76, 2940–2945. [Google Scholar] [CrossRef] [PubMed]
- Zhang, M.; Bai, X.; Li, Q.; Zhang, L.; Zhu, Q.; Gao, S.; Ke, Z.; Jiang, M.; Hu, J.; Qiu, J.; et al. Functional Analysis, Diversity, and Distribution of Carbendazim Hydrolases MheI and CbmA, Responsible for the Initial Step in Carbendazim Degradation. Environ. Microbiol. 2022, 24, 4803–4817. [Google Scholar] [CrossRef]
- Fang, H.; Wang, Y.; Gao, C.; Yan, H.; Dong, B.; Yu, Y. Isolation and Characterization of Pseudomonas sp. CBW Capab. Degrad. Carbendazim. Biodegrad. 2010, 21, 939–946. [Google Scholar] [CrossRef]
- Long, Z.; Wang, X.; Wang, Y.; Dai, H.; Li, C.; Xue, Y.; Deng, Y.; Zhang, H.; Yu, Y.; Fang, H. Characterization of a Novel Carbendazim-Degrading Strain Rhodococcus sp. CX-1 Revealed by Genome and Transcriptome Analyses. Sci. Total Environ. 2021, 754, 142137. [Google Scholar] [CrossRef] [PubMed]
- Baker, G.C.; Smith, J.J.; Cowan, D.A. Review and Re-Analysis of Domain-Specific 16S Primers. J. Microbiol. Methods 2003, 55, 541–555. [Google Scholar] [CrossRef]
- Sørensen, S.R.; Aamand, J. Rapid Mineralisation of the Herbicide Isoproturon in Soil from a Previously Treated Danish Agricultural Field. Pest Manag. Sci. 2003, 59, 1118–1124. [Google Scholar] [CrossRef] [PubMed]
- Brown, J.; Pirrung, M.; McCue, L.A. FQC Dashboard: Integrates FastQC Results into a Web-Based, Interactive, and Extensible FASTQ Quality Control Tool. Bioinformatics 2017, 33, 3137–3139. [Google Scholar] [CrossRef] [PubMed]
- Bolger, A.M.; Lohse, M.; Usadel, B. Trimmomatic: A Flexible Trimmer for Illumina Sequence Data. Bioinformatics 2014, 30, 2114–2120. [Google Scholar] [CrossRef] [PubMed]
- Prjibelski, A.; Antipov, D.; Meleshko, D.; Lapidus, A.; Korobeynikov, A. Using SPAdes De Novo Assembler. Curr. Protoc. Bioinform. 2020, 70, e102. [Google Scholar] [CrossRef] [PubMed]
- Gurevich, A.; Saveliev, V.; Vyahhi, N.; Tesler, G. QUAST: Quality Assessment Tool for Genome Assemblies. Bioinformatics 2013, 29, 1072–1075. [Google Scholar] [CrossRef] [PubMed]
- Darling, A.C.E.; Mau, B.; Blattner, F.R.; Perna, N.T. Mauve: Multiple Alignment of Conserved Genomic Sequence with Rearrangements. Genome Res. 2004, 14, 1394–1403. [Google Scholar] [CrossRef]
- Aziz, R.K.; Bartels, D.; Best, A.A.; DeJongh, M.; Disz, T.; Edwards, R.A.; Formsma, K.; Gerdes, S.; Glass, E.M.; Kubal, M.; et al. The RAST Server: Rapid Annotations Using Subsystems Technology. BMC Genom. 2008, 9, 75. [Google Scholar] [CrossRef]
- Grant, J.R.; Enns, E.; Marinier, E.; Mandal, A.; Herman, E.K.; Chen, C.; Graham, M.; Van Domselaar, G.; Stothard, P. Proksee: In-Depth Characterization and Visualization of Bacterial Genomes. Nucleic Acids Res. 2023, 51, W484–W492. [Google Scholar] [CrossRef]
- Zhang, Z.; Schwartz, S.; Wagner, L.; Miller, W. A Greedy Algorithm for Aligning DNA Sequences. J. Comput. Biol. 2000, 7, 203–214. [Google Scholar] [CrossRef]
- Altschul, S. Gapped BLAST and PSI-BLAST: A New Generation of Protein Database Search Programs. Nucleic Acids Res. 1997, 25, 3389–3402. [Google Scholar] [CrossRef] [PubMed]
- Altschul, S.F.; Wootton, J.C.; Gertz, E.M.; Agarwala, R.; Morgulis, A.; Schäffer, A.A.; Yu, Y. Protein Database Searches Using Compositionally Adjusted Substitution Matrices. FEBS J. 2005, 272, 5101–5109. [Google Scholar] [CrossRef]
- Muñoz-Ramírez, Z.Y.; Mendez-Tenorio, A.; Kato, I.; Bravo, M.M.; Rizzato, C.; Thorell, K.; Torres, R.; Aviles-Jimenez, F.; Camorlinga, M.; Canzian, F.; et al. Whole Genome Sequence and Phylogenetic Analysis Show Helicobacter pylori Strains from Latin America Have Followed a Unique Evolution Pathway. Front. Cell. Infect. Microbiol. 2017, 7, 50. [Google Scholar] [CrossRef]
- Tamura, K.; Peterson, D.; Peterson, N.; Stecher, G.; Nei, M.; Kumar, S. MEGA5: Molecular Evolutionary Genetics Analysis Using Maximum Likelihood, Evolutionary Distance, and Maximum Parsimony Methods. Mol. Biol. Evol. 2011, 28, 2731–2739. [Google Scholar] [CrossRef] [PubMed]
- Telles, G.P.; Araújo, G.S.; Walter, M.E.M.T.; Brigido, M.M.; Almeida, N.F. Live Neighbor-Joining. BMC Bioinform. 2018, 19, 172. [Google Scholar] [CrossRef]
- Auch, A.F.; Von Jan, M.; Klenk, H.-P.; Göker, M. Digital DNA-DNA Hybridization for Microbial Species Delineation by Means of Genome-to-Genome Sequence Comparison. Stand. Genom. Sci. 2010, 2, 117–134. [Google Scholar] [CrossRef] [PubMed]
- Yoon, S.-H.; Ha, S.; Lim, J.; Kwon, S.; Chun, J. A Large-Scale Evaluation of Algorithms to Calculate Average Nucleotide Identity. Antonie Van Leeuwenhoek 2017, 110, 1281–1286. [Google Scholar] [CrossRef]
- Garavito, M.F.; Narváez-Ortiz, H.Y.; Zimmermann, B.H. Pyrimidine Metabolism: Dynamic and Versatile Pathways in Pathogens and Cellular Development. J. Genet. Genom. 2015, 42, 195–205. [Google Scholar] [CrossRef]
- Moffatt, B.A.; Ashihara, H. Purine and Pyrimidine Nucleotide Synthesis and Metabolism. Arab. Book 2002, 1, e0018. [Google Scholar] [CrossRef]
- Alvarado-Gutiérrez, M.L.; Ruiz-Ordaz, N.; Galíndez-Mayer, J.; Santoyo-Tepole, F.; Curiel-Quesada, E.; García-Mena, J.; Ahuatzi-Chacón, D. Kinetics of Carbendazim Degradation in a Horizontal Tubular Biofilm Reactor. Bioprocess Biosyst. Eng. 2017, 40, 519–528. [Google Scholar] [CrossRef] [PubMed]
- De Carvalho, C.C.C.R.; Costa, S.S.; Fernandes, P.; Couto, I.; Viveiros, M. Membrane Transport Systems and the Biodegradation Potential and Pathogenicity of Genus Rhodococcus. Front. Physiol. 2014, 5, 133. [Google Scholar] [CrossRef] [PubMed]
- Kuvichkina, T.N.; Kaparullina, E.N.; Doronina, N.V.; Reshetilov, A.N. Rhodococcus qingshengii GlMm1 as the Basis for a Biosensor for Determination of the Fungicide Carbendazim. Microbiology 2024, 93, 160–162. [Google Scholar] [CrossRef]
- Ivshina, I.; Bazhutin, G.; Tyumina, E. Rhodococcus strains as a Good Biotool for Neutralizing Pharmaceutical Pollutants and Obtaining Therapeutically Valuable Products: Through the Past into the Future. Front. Microbiol. 2022, 13, 967127. [Google Scholar] [CrossRef] [PubMed]
- Pátek, M.; Grulich, M.; Nešvera, J. Stress Response in Rhodococcus strains. Biotechnol. Adv. 2021, 53, 107698. [Google Scholar] [CrossRef]




Disclaimer/Publisher’s Note: The statements, opinions and data contained in all publications are solely those of the individual author(s) and contributor(s) and not of MDPI and/or the editor(s). MDPI and/or the editor(s) disclaim responsibility for any injury to people or property resulting from any ideas, methods, instructions or products referred to in the content. |
© 2024 by the authors. Licensee MDPI, Basel, Switzerland. This article is an open access article distributed under the terms and conditions of the Creative Commons Attribution (CC BY) license (https://creativecommons.org/licenses/by/4.0/).
Share and Cite
Solano-Rodríguez, R.; Santoyo-Tepole, F.; Figueroa, M.; Larios-Serrato, V.; Ruiz-Ordaz, N.; Pérez-Valdespino, A.; Curiel-Quesada, E. Cooperation Between Rhodococcus qinshengii and Rhodococcus erythropolis for Carbendazim Degradation. Microorganisms 2025, 13, 40. https://doi.org/10.3390/microorganisms13010040
Solano-Rodríguez R, Santoyo-Tepole F, Figueroa M, Larios-Serrato V, Ruiz-Ordaz N, Pérez-Valdespino A, Curiel-Quesada E. Cooperation Between Rhodococcus qinshengii and Rhodococcus erythropolis for Carbendazim Degradation. Microorganisms. 2025; 13(1):40. https://doi.org/10.3390/microorganisms13010040
Chicago/Turabian StyleSolano-Rodríguez, Roosivelt, Fortunata Santoyo-Tepole, Mario Figueroa, Voleta Larios-Serrato, Nora Ruiz-Ordaz, Abigail Pérez-Valdespino, and Everardo Curiel-Quesada. 2025. "Cooperation Between Rhodococcus qinshengii and Rhodococcus erythropolis for Carbendazim Degradation" Microorganisms 13, no. 1: 40. https://doi.org/10.3390/microorganisms13010040
APA StyleSolano-Rodríguez, R., Santoyo-Tepole, F., Figueroa, M., Larios-Serrato, V., Ruiz-Ordaz, N., Pérez-Valdespino, A., & Curiel-Quesada, E. (2025). Cooperation Between Rhodococcus qinshengii and Rhodococcus erythropolis for Carbendazim Degradation. Microorganisms, 13(1), 40. https://doi.org/10.3390/microorganisms13010040

