Bacteria, Fungi, and Protists Exhibit Distinct Responses to Managed Vegetation Restoration in the Karst Region
Abstract
1. Introduction
2. Materials and Methods
2.1. Study Area
2.2. Soil Sampling
2.3. Experimental Analysis Methods
2.3.1. Soil Properties Analysis
2.3.2. Soil DNA Extraction
2.3.3. Amplicon Sequencing and Sequence Analysis
2.4. Statistical Analysis
3. Results
3.1. Soil Physicochemical Properties
3.2. The Diversity and Community Compositions of Bacteria, Fungi, and Protist
3.3. Relationships among Bacterial, Fungal, and Protistan Taxa
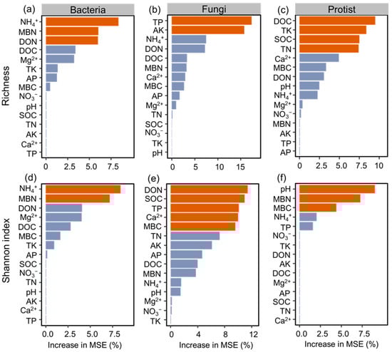
3.4. Key Factors Regulating Microbial Diversity
4. Discussion
4.1. Effects of Vegetation Restoration on the Diversity of Bacteria, Fungi, and Protist
4.2. Effects of Vegetation Restoration on Community Composition
4.3. Key Factors Affecting the Community of Bacteria, Fungi, and Protists
5. Conclusions
Supplementary Materials
Author Contributions
Funding
Data Availability Statement
Conflicts of Interest
References
- Friedman, J.; Higgins, L.M.; Gore, J. Community structure follows simple assembly rules in microbial microcosms. Nat. Ecol. Evol. 2017, 1, 0109. [Google Scholar] [CrossRef]
- Nguyen, B.A.T.; Chen, Q.L.; Yan, Z.Z.; Li, C.; He, J.Z.; Hu, H.W. Distinct factors drive the diversity and composition of protistan consumers and phototrophs in natural soil ecosystems. Soil Boil. Biochem. 2021, 160, 108317. [Google Scholar] [CrossRef]
- Geisen, S.; Mitchell, E.A.D.; Adl, S.; Bonkowski, M.; Dunthorn, M.; Ekelund, F.; Fernandez, L.D.; Jousset, A.; Krashevska, V.; Singer, D.; et al. Soil protists: A fertile frontier in soil biology research. FEMS Microbiol. Rev. 2018, 42, 293–323. [Google Scholar] [CrossRef]
- Chaparro, J.M.; Sheflin, A.M.; Manter, D.K.; Vivanco, J.M. Manipulating the soil microbiome to increase soil health and plant fertility. Biol. Fertil. Soils 2012, 48, 489–499. [Google Scholar] [CrossRef]
- Philippot, L.; Spor, A.; Henault, C.; Bru, D.; Bizouard, F.; Jones, C.M.; Sarr, A.; Maron, P.A. Loss in microbial diversity affects nitrogen cycling in soil. ISME J. 2013, 7, 1609–1619. [Google Scholar] [CrossRef]
- Romdhane, S.; Spor, A.; Banerjee, S.; Breuil, M.C.; Bru, D.; Chabbi, A.; Hallin, S.; van der Heijden, M.G.A.; Saghai, A.; Philippot, L. Land-use intensification differentially affects bacterial, fungal and protist communities and decreases microbiome network complexity. Environ. Microbiome 2022, 17, 1. [Google Scholar] [CrossRef]
- Laganiere, J.; Angers, D.A.; Pare, D. Carbon accumulation in agricultural soils after afforestation: A meta-analysis. Glob. Chang. Biol. 2010, 16, 439–453. [Google Scholar] [CrossRef]
- Deng, L.; Liu, G.B.; Shangguan, Z.P. Land-use conversion and changing soil carbon stocks in China’s ‘Grain-for-Green’ Program: A synthesis. Glob. Chang. Biol. 2014, 20, 3544–3556. [Google Scholar] [CrossRef]
- Xiao, L.; Zhang, W.; Hu, P.; Xiao, D.; Yang, R.; Ye, Y.; Wang, K. The formation of large macroaggregates induces soil organic carbon sequestration in short-term cropland restoration in a typical karst area. Sci. Total Environ. 2021, 801, 14958. [Google Scholar] [CrossRef]
- Hu, N.; Ma, Z.; Lan, J.; Wu, Y.; Fu, W.; Yuan, H.; Lou, L. Impact of vegetation restoration on soil organic carbon stocks and aggregates in a karst rocky desertification area in Southwest China. J. Soils Sediments 2019, 20, 1264–1275. [Google Scholar] [CrossRef]
- Huang, Y.; Li, Q. Karst biogeochemistry in China: Past, present and future. Environ. Earth Sci. 2019, 78, 1–14. [Google Scholar] [CrossRef]
- Li, D.; Niu, S.; Luo, Y. Global patterns of the dynamics of soil carbon and nitrogen stocks following afforestation: A meta-analysis. New Phytol. 2012, 195, 172–181. [Google Scholar] [CrossRef] [PubMed]
- Huang, C.; Zeng, Y.; Wang, L.; Wang, S. Responses of soil nutrients to vegetation restoration in China. Reg. Environ. Chang. 2020, 20, 82. [Google Scholar] [CrossRef]
- Carmo, M.; Garcia-Ruiz, R.; Ferreira, M.I.; Domingos, T. The N-P-K soil nutrient balance of Portuguese cropland in the 1950s: The transition from organic to chemical fertilization. Sci. Rep. 2017, 7, 8111. [Google Scholar] [CrossRef] [PubMed]
- Wu, J.; Yu, S. Effect of root exudates of Eucalyptus urophylla and Acacia mearnsii on soil microbes under simulated warming climate conditions. BMC Microbiol. 2019, 19, 224. [Google Scholar] [CrossRef] [PubMed]
- Haichar, F.e.Z.; Marol, C.; Berge, O.; Rangel-Castro, J.I.; Prosser, J.I.; Balesdent, J.; Heulin, T.; Achouak, W. J Plant host habitat and root exudates shape soil bacterial community structure. ISME J. 2008, 2, 1221–1230. [Google Scholar] [CrossRef] [PubMed]
- Santos, S.S.; Schöler, A.; Nielsen, T.K.; Hansen, L.H.; Schloter, M.; Winding, A.J. Land use as a driver for protist community structure in soils under agricultural use across Europe. Sci. Total Environ. 2020, 717, 137228. [Google Scholar] [CrossRef] [PubMed]
- Xiao, D.; He, X.; Zhang, W.; Hu, P.; Sun, M.; Wang, K. Microbiological mechanism underlying vegetation restoration across climatic gradients in a karst ecosystem. Land Degrad. Dev. 2022, 33, 3245–3259. [Google Scholar] [CrossRef]
- Vittori Antisari, L.; Falsone, G.; Carbone, S.; Vianello, G.J. Short-term effects of forest recovery on soil carbon and nutrient availability in an experimental chestnut stand. Biol. Fertil. Soils 2013, 49, 165–173. [Google Scholar] [CrossRef]
- Fierer, N.; Lauber, C.L.; Ramirez, K.S.; Zaneveld, J.; Bradford, M.A.; Knight, R.J. Comparative metagenomic, phylogenetic and physiological analyses of soil microbial communities across nitrogen gradients. ISME J. 2012, 6, 1007–1017. [Google Scholar] [CrossRef]
- Wang, C.; Liu, D.; Bai, E. Decreasing soil microbial diversity is associated with decreasing microbial biomass under nitrogen addition. Soil Biol. Biochem. 2018, 120, 126–133. [Google Scholar] [CrossRef]
- Nemergut, D.R.; Townsend, A.R.; Sattin, S.R.; Freeman, K.R.; Fierer, N.; Neff, J.C.; Bowman, W.D.; Schadt, C.W.; Weintraub, M.N.; Schmidt, S.K. The effects of chronic nitrogen fertilization on alpine tundra soil microbial communities: Implications for carbon and nitrogen cycling. Environ. Microbiol. 2008, 10, 3093–3105. [Google Scholar] [CrossRef] [PubMed]
- Nilsson, L.O.; Wallander, H.; Gundersen, P. Changes in microbial activities and biomasses over a forest floor gradient in C-to-N ratio. Plant Soil 2012, 355, 75–86. [Google Scholar] [CrossRef]
- Cadisch, G.; Giller, K.E. Driven by Nature: Plant Litter Quality and Decomposition; CAB International: Wallingford, Oxon, UK, 1997. [Google Scholar]
- Poggeler, S. Evolution of multicopper oxidase genes in coprophilous and non-coprophilous members of the order sordariales. Curr. Genom. 2011, 12, 95–103. [Google Scholar] [CrossRef]
- Rousk, J.; Bååth, E. Fungal and bacterial growth in soil with plant materials of different C/N ratios. FEMS Microbiol. Ecol. 2007, 62, 258–267. [Google Scholar] [CrossRef] [PubMed]
- De Vries, F.T.; Hoffland, E.; van Eekeren, N.; Brussaard, L.; Bloem, J. Fungal/bacterial ratios in grasslands with contrasting nitrogen management. Soil Biol. Biochem. 2006, 38, 2092–2103. [Google Scholar] [CrossRef]
- Geisen, S.; Hu, S.; dela Cruz, T.E.E.; Veen, G.F. Protists as catalyzers of microbial litter breakdown and carbon cycling at different temperature regimes. ISME J. 2021, 15, 618–621. [Google Scholar] [CrossRef]
- Grossmann, L.; Jensen, M.; Heider, D.; Jost, S.; Glücksman, E.; Hartikainen, H.; Mahamdallie, S.S.; Gardner, M.; Hoffmann, D.; Boenigk, J. Protistan community analysis: Key findings of a large-scale molecular sampling. ISME J. 2016, 10, 2269–2279. [Google Scholar] [CrossRef]
- Zhao, Z.B.; He, J.Z.; Geisen, S.; Han, L.L.; Wang, J.T.; Shen, J.P.; Wei, W.X.; Fang, Y.T.; Li, P.P.; Zhang, L.M. Protist communities are more sensitive to nitrogen fertilization than other microorganisms in diverse agricultural soils. Microbiome 2019, 7, 33. [Google Scholar] [CrossRef]
- Jiang, Z.; Lian, Y.; Qin, X. Rocky desertification in Southwest China: Impacts, causes, and restoration. Earth-Sci. Rev. 2014, 132, 1–12. [Google Scholar] [CrossRef]
- Canedoli, C.; Ficetola, G.F.; Corengia, D.; Tognini, P.; Ferrario, A.; Padoa-Schioppa, E. Integrating landscape ecology and the assessment of ecosystem services in the study of karst areas. Landsc. Ecol. 2022, 37, 347–365. [Google Scholar] [CrossRef]
- Wang, L.; Lee, D.W.; Zuo, P.; Zhou, Y.; Xu, Y. Karst environment and eco-poverty in south western China: A case study of Guizhou province. Chin. Geogr. Sci. 2004, 14, 21–27. [Google Scholar] [CrossRef]
- Han, H.; Liu, Y.; Gao, H.; Zhang, Y.; Wang, Z.; Chen, X. Tradeoffs and synergies between ecosystem services: A comparison of the karst and non-karst area. J. Mt. Sci. 2020, 17, 1221–1234. [Google Scholar] [CrossRef]
- Hua, F.; Wang, X.; Zheng, X.; Fisher, B.; Wang, L.; Zhu, J.; Tang, Y.; Yu, D.W.; Wilcove, D.S. Opportunities for biodiversity gains under the world’s largest reforestation programme. Nat. Commun. 2016, 7, 1271. [Google Scholar] [CrossRef] [PubMed]
- Cao, S.; Chen, L.; Shankman, D.; Wang, C.; Wang, X.; Zhang, H. Excessive reliance on afforestation in China’s arid and semi-arid regions: Lessons in ecological restoration. Earth-Sci. Rev. 2011, 104, 240–245. [Google Scholar] [CrossRef]
- Wang, S.; Chen, D.; Liu, Q.; Zang, L.; Zhang, G.; Sui, M.; Dai, Y.; Zhou, C.; Li, Y.; Yang, Y.; et al. Dominant influence of plants on soil microbial carbon cycling functions during natural restoration of degraded karst vegetation. J. Environ. Manag. 2023, 345, 11888. [Google Scholar] [CrossRef] [PubMed]
- Wang, H.; He, X.; Zhang, Y.; Xiao, J.; Wang, H.; Ma, M.; Tateno, R.; Shi, W. Variations in litter-soil properties between planted and naturally restored forests drive microbial community structure and function. Appl. Soil Ecol. 2023, 189, 104977. [Google Scholar] [CrossRef]
- Harris, J.A. Measurements of the soil microbial community for estimating the success of restoration. Eur. J. Soil 2003, 54, 801–808. [Google Scholar] [CrossRef]
- Liu, J.; Sui, Y.; Yu, Z.; Shi, Y.; Chu, H.; Jin, J.; Liu, X.; Wang, G. High throughput sequencing analysis of biogeographical distribution of bacterial communities in the black soils of northeast China. Soil Biol. Biochem. 2014, 70, 113–122. [Google Scholar] [CrossRef]
- Chandarana, K.A.; Amaresan, N. Soil protists: An untapped microbial resource of agriculture and environmental importance. Pedosphere 2022, 32, 184–197. [Google Scholar] [CrossRef]
- Zhu, H.; He, X.; Wang, K.; Su, Y.; Wu, J. Interactions of vegetation succession, soil bio-chemical properties and microbial communities in a Karst ecosystem. Eur. J. Soil Biol. 2012, 51, 1–7. [Google Scholar] [CrossRef]
- Xiao, D.; He, X.; Zhang, W.; Hu, P.; Sun, M.; Wang, K. Comparison of bacterial and fungal diversity and network connectivity in karst and non-karst forests in southwest China. Sci. Total Environ. 2022, 822, 153179. [Google Scholar] [CrossRef] [PubMed]
- Manter, D.K.; Vivanco, J.M. Use of the ITS primers, ITS1F and ITS4, to characterize fungal abundance and diversity in mixed-template samples by qPCR and length heterogeneity analysis. J. Microbiol. Methods 2007, 71, 7–14. [Google Scholar] [CrossRef] [PubMed]
- Penna, A.; Casabianca, S.; Guerra, A.F.; Vernesi, C.; Scardi, M. Analysis of phytoplankton assemblage structure in the Mediterranean Sea based on high-throughput sequencing of partial 18S rRNA sequences. Mar. Genom. 2017, 36, 49–55. [Google Scholar] [CrossRef]
- Li, D.J.; Wen, L.; Xiao, K.C.; Song, T.Q.; Wang, K.L. Responses of soil gross nitrogen transformations to three vegetation restoration strategies in a subtropical karst region. Land Degrad. Dev. 2021, 32, 2520–2527. [Google Scholar] [CrossRef]
- Xiao, K.C.; He, T.G.; Chen, H.; Peng, W.X.; Song, T.Q.; Wang, K.L.; Li, D. Impacts of vegetation restoration strategies on soil organic carbon and nitrogen dynamics in a karst area, southwest China. Ecol. Eng. 2017, 101, 247–254. [Google Scholar] [CrossRef]
- Zeng, X.; Zhang, W.; Cao, J.; Liu, X.; Shen, H.; Zhao, X. Changes in soil organic carbon, nitrogen, phosphorus, and bulk density after afforestation of the “Beijing–Tianjin Sandstorm Source Control” program in China. Catena 2014, 118, 186–194. [Google Scholar] [CrossRef]
- Mahnert, A.; Moissl-Eichinger, C.; Berg, G. Microbiome interplay: Plants alter microbial abundance and diversity within the built environment. Front. Microbiol. 2015, 6, 15347. [Google Scholar] [CrossRef]
- Yang, Y.; Li, T.; Wang, Y.; Dou, Y.; Cheng, H.; Liu, L.; An, S. Linkage between soil ectoenzyme stoichiometry ratios and microbial diversity following the conversion of cropland into grassland. Agr. Ecosyst. Environ. 2021, 314, 107418. [Google Scholar] [CrossRef]
- Tao, W.; Wang, Q.; Guo, L.; Lin, H. A new analytical model for predicting soil erosion and nutrient loss during crop growth on the Chinese loess plateau. Soil Tillage Res. 2020, 199, 104585. [Google Scholar] [CrossRef]
- Fontaine, S.; Henault, C.; Aamor, A.; Bdioui, N.; Bloor, J.M.G.; Maire, V.; Mary, B.; Revaillot, S.; Maron, P.A. Fungi mediate long term sequestration of carbon and nitrogen in soil through their priming effect. Soil Biol. Biochem. 2011, 43, 86–96. [Google Scholar] [CrossRef]
- Waldrop, M.P.; Zak, D.R.; Blackwood, C.B.; Curtis, C.D.; Tilman, D. Resource availability controls fungal diversity across a plant diversity gradient. Ecol. Lett. 2006, 9, 1127–1135. [Google Scholar] [CrossRef] [PubMed]
- Chen, Y.; Xu, T.; Veresoglou, S.D.; Hu, H.; Hao, Z.; Hu, Y.; Liu, L.; Deng, Y.; Rillig, M.C.; Chen, B.D. Plant diversity represents the prevalent determinant of soil fungal community structure across temperate grasslands in northern China. Soil Biol. Biochem. 2017, 110, 12–21. [Google Scholar] [CrossRef]
- Cai, Z.-q.; Zhang, Y.-h.; Yang, C.; Wang, S. Land-use type strongly shapes community composition, but not always diversity of soil microbes in tropical China. Catena 2018, 165, 369–380. [Google Scholar] [CrossRef]
- Krashevska, V.; Klarner, B.; Widyastuti, R.; Maraun, M.; Scheu, S. Impact of tropical lowland rainforest conversion into rubber and oil palm plantations on soil microbial communities. Biol. Fertil. Soils 2015, 51, 697–705. [Google Scholar] [CrossRef]
- Chigineva, N.I.; Aleksandrova, A.V.; Tiunov, A.V. The addition of labile carbon alters litter fungal communities and decreases litter decomposition rates. Appl. Soil Ecol. 2009, 42, 264–270. [Google Scholar] [CrossRef]
- Hu, X.; Gu, H.; Liu, J.; Wei, D.; Zhu, P.; Cui, X.; Zhou, B.; Chen, X.; Jin, J.; Wang, G. Different long-term fertilization regimes affect soil protists and their top-down control on bacterial and fungal communities in Mollisols. Sci. Total Environ. 2024, 908, 16804. [Google Scholar] [CrossRef]
- Oliverio, A.M.; Geisen, S.; Delgado-Baquerizo, M.; Maestre, F.T.; Turner, B.L.; Fierer, N. The global-scale distributions of soil protists and their contributions to belowground systems. Sci. Adv. 2020, 6, 878. [Google Scholar] [CrossRef]
- Gast, R.J.; Sanders, R.W.; Caron, D.A. Ecological strategies of protists and their symbiotic relationships with prokaryotic microbes. Trends Microbiol. 2009, 17, 563–569. [Google Scholar] [CrossRef] [PubMed]
- de Araujo, A.S.; Mendes, L.W.; Lemos, L.N.; Antunes, J.E.; Beserra, J.E.; de Lyra, M.; Figueiredo, M.; Lopes, A.C.; Gomes, R.L.; Bezerra, W.M.; et al. Protist species richness and soil microbiome complexity increase towards climax vegetation in the Brazilian Cerrado. Commun. Biol. 2018, 1, 135. [Google Scholar] [CrossRef]
- Seppey, C.V.; Broennimann, O.; Buri, A.; Yashiro, E.; Pinto-Figueroa, E.; Singer, D.; Blandenier, Q.; Mitchell, E.A.; Niculita-Hirzel, H.; Guisan, A.; et al. Soil protist diversity in the Swiss western Alps is better predicted by topo-climatic than by edaphic variables. J. Biogeogr. 2019, 47, 866–878. [Google Scholar] [CrossRef]
- McDaniel, M.D.; Tiemann, L.K.; Grandy, A.S. Does agricultural crop diversity enhance soil microbial biomass and organic matter dynamics? A meta-analysis. Ecol. Appl. 2014, 24, 560–570. [Google Scholar] [CrossRef]
- Singer, D.; Seppey, C.V.; Lentendu, G.; Dunthorn, M.; Bass, D.; Belbahri, L.; Blandenier, Q.; Debroas, D.; de Groot, G.A.; de Vargas, C.; et al. Protist taxonomic and functional diversity in soil, freshwater and marine ecosystems. Environ. Int. 2021, 146, 10626. [Google Scholar] [CrossRef] [PubMed]
- Barros, F.M.; Fracetto, G.G.; Fracetto, F.J.; Mendes Júnior, J.P.; Araújo, V.L.; Lira Junior, M.A. Silvopastoral systems drive the nitrogen-cycling bacterial community in soil. Ciênc. Agrotec. 2018, 42, 281–290. [Google Scholar] [CrossRef]
- Cubillos, A.M.; Vallejo, V.E.; Arbeli, Z.; Terán, W.; Dick, R.P.; Molina, C.H.; Molina, E.; Roldan, F. Effect of the conversion of conventional pasture to intensive silvopastoral systems on edaphic bacterial and ammonia oxidizer communities in Colombia. Eur. J. Soil Biol. 2016, 72, 42–50. [Google Scholar] [CrossRef]
- Ganz, H.H.; Karaoz, U.; Getz, W.M.; Versfeld, W.; Brodie, E.L. Diversity and structure of soil bacterial communities associated with vultures in an African savanna. Ecosphere 2012, 3, 1–18. [Google Scholar] [CrossRef]
- Ding, L.; Shang, Y.; Zhang, W.; Zhang, Y.; Li, S.; Wei, X.; Zhang, Y.; Song, X.; Chen, X.; Liu, J.; et al. Disentangling the effects of driving forces on soil bacterial and fungal communities under shrub encroachment on the Guizhou Plateau of China. Sci. Total Environ. 2020, 709, 13620. [Google Scholar] [CrossRef] [PubMed]
- Khanipour Roshan, S.; Dumack, K.; Bonkowski, M.; Karsten, U.; Glaser, K. Stramenopiles and Cercozoa dominate the heterotrophic protist community of biological soil crusts irrespective of edaphic factors. Pedobiologia 2020, 83, 150673. [Google Scholar] [CrossRef]
- Sherwood, A.R. Green algae (Chlorophyta and Streptophyta) in rivers. In River Algae; Springer: Cham, Switzerland, 2016; pp. 35–63. [Google Scholar]
- Brockmann, D.; Gerand, Y.; Park, C.; Milferstedt, K.; Helias, A.; Hamelin, J. Wastewater treatment using oxygenic photogranule-based process has lower environmental impact than conventional activated sludge process. Bioresour. Technol. 2021, 319, 124204. [Google Scholar] [CrossRef]
- Ji, B.; Zhang, M.; Gu, J.; Ma, Y.; Liu, Y. A self-sustaining synergetic microalgal-bacterial granular sludge process towards energy-efficient and environmentally sustainable municipal wastewater treatment. Water Res. 2020, 179, 115884. [Google Scholar] [CrossRef]
- Ramanan, R.; Kang, Z.; Kim, B.H.; Cho, D.H.; Jin, L.; Oh, H.M.; Kim, H.S. Phycosphere bacterial diversity in green algae reveals an apparent similarity across habitats. Algal Res. 2015, 8, 140–144. [Google Scholar] [CrossRef]
- Hermans, S.M.; Buckley, H.L.; Case, B.S.; Curran-Cournane, F.; Taylor, M.; Lear, G. Bacteria as Emerging Indicators of Soil Condition. Appl. Environ. Microbiol. 2017, 83, e02826-16. [Google Scholar] [CrossRef] [PubMed]
- Sperlea, T.; Kreuder, N.; Beisser, D.; Hattab, G.; Boenigk, J.; Heider, D. Quantification of the covariation of lake microbiomes and environmental variables using a machine learning-based framework. Mol. Ecol. 2021, 30, 2131–2144. [Google Scholar] [CrossRef] [PubMed]
- Hu, P.; Zhang, W.; Xiao, L.; Yang, R.; Xiao, D.; Zhao, J.; Wang, W.; Chen, H.; Wang, K. Moss-dominated biological soil crusts modulate soil nitrogen following vegetation restoration in a subtropical karst region. Geoderma 2019, 352, 70–79. [Google Scholar] [CrossRef]
- Shan, Y.; Chen, D.; Guan, X.; Zheng, S.; Chen, H.; Wang, M.; Bai, Y. Seasonally dependent impacts of grazing on soil nitrogen mineralization and linkages to ecosystem functioning in Inner Mongolia grassland. Soil Biol. Biochem. 2011, 43, 1943–1954. [Google Scholar] [CrossRef]






| Items | Bacteria | Fungi | Protist | ||||||
|---|---|---|---|---|---|---|---|---|---|
| Richness | Shannon Diversity | Composition | Richness | Shannon Diversity | Composition | Richness | Shannon Diversity | Composition | |
| Tree | 0.29 | 0.18 | 3.13 | 11.1 * | 5.05 ** | 5.24 * | 0.02 | 1.69 | 9.19 * |
| Grass | 3.84 | 4.54 * | 2.43 | 1.06 | 0.01 | 6.63 * | 3.72 | 1.57 | 13.3 * |
| Tree × Grass | 3.84 | 2.99 | 5.92 * | 2.47 | 0.83 | 10.9 * | 8.17* | 0.09 | 4.26 * |
Disclaimer/Publisher’s Note: The statements, opinions and data contained in all publications are solely those of the individual author(s) and contributor(s) and not of MDPI and/or the editor(s). MDPI and/or the editor(s) disclaim responsibility for any injury to people or property resulting from any ideas, methods, instructions or products referred to in the content. |
© 2024 by the authors. Licensee MDPI, Basel, Switzerland. This article is an open access article distributed under the terms and conditions of the Creative Commons Attribution (CC BY) license (https://creativecommons.org/licenses/by/4.0/).
Share and Cite
Xiao, C.; Xiao, D.; Sun, M.; Wang, K. Bacteria, Fungi, and Protists Exhibit Distinct Responses to Managed Vegetation Restoration in the Karst Region. Microorganisms 2024, 12, 1074. https://doi.org/10.3390/microorganisms12061074
Xiao C, Xiao D, Sun M, Wang K. Bacteria, Fungi, and Protists Exhibit Distinct Responses to Managed Vegetation Restoration in the Karst Region. Microorganisms. 2024; 12(6):1074. https://doi.org/10.3390/microorganisms12061074
Chicago/Turabian StyleXiao, Can, Dan Xiao, Mingming Sun, and Kelin Wang. 2024. "Bacteria, Fungi, and Protists Exhibit Distinct Responses to Managed Vegetation Restoration in the Karst Region" Microorganisms 12, no. 6: 1074. https://doi.org/10.3390/microorganisms12061074
APA StyleXiao, C., Xiao, D., Sun, M., & Wang, K. (2024). Bacteria, Fungi, and Protists Exhibit Distinct Responses to Managed Vegetation Restoration in the Karst Region. Microorganisms, 12(6), 1074. https://doi.org/10.3390/microorganisms12061074

