Divergent Fungal Community Dynamics of Thuja sutchuenensis in Arid Environments
Abstract
1. Introduction
2. Methods
2.1. Soil Sample Collection
2.2. Soil Physical and Chemical Properties
2.3. DNA Extraction and High-Throughput Sequencing
2.4. Sequence Processing
2.5. Statistical Analysis
3. Results
3.1. Soil Properties in Arid Environments
3.2. Composition of Fungal Community in Arid Environments
3.3. Diversity of Fungal Communities in Arid Environments
3.4. Co-Occurrence Analysis
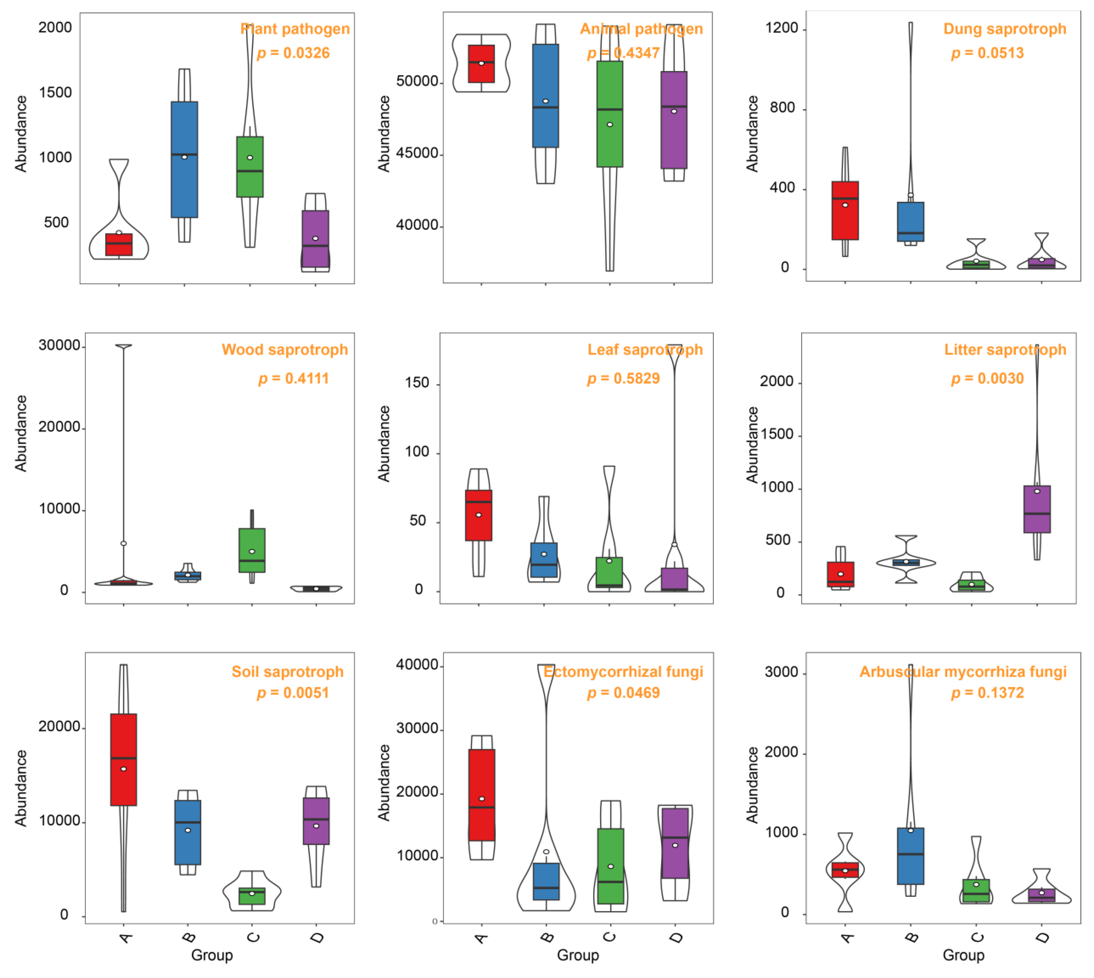
3.5. Contrasting Responses of Functional Fungi
3.6. Evaluation of Relationships and Contributions of Soil Water Content to Fungal Communities
4. Discussion
5. Conclusions
Author Contributions
Funding
Data Availability Statement
Acknowledgments
Conflicts of Interest
References
- Qin, A.; Ding, Y.; Jian, Z.; Ma, F.; Worth, J.R.; Pei, S.; Xu, G.; Guo, Q.; Shi, Z. Low genetic diversity and population differentiation in Thuja sutchuenensis Franch., an extremely endangered rediscovered conifer species in southwestern China. Glob. Ecol. Conserv. 2021, 25, e01430. [Google Scholar] [CrossRef]
 - Tang, C.Q.; Yang, Y.; Ohsawa, M.; Momohara, A.; Yi, S.-R.; Robertson, K.; Song, K.; Zhang, S.-Q.; He, L.-Y. Community structure and survival of tertiary relict Thuja sutchuenensis (Cupressaceae) in the subtropical Daba Mountains, southwestern China. PLoS ONE 2015, 10, e0125307. [Google Scholar] [CrossRef] [PubMed]
 - Yu, T.; Huang, B.-H.; Zhang, Y.; Liao, P.-C.; Li, J.-Q. Chloroplast genome of an extremely endangered conifer Thuja sutchuenensis Franch: Gene organization, comparative and phylogenetic analysis. Physiol. Mol. Biol. Plants 2020, 26, 409–418. [Google Scholar] [CrossRef] [PubMed]
 - Qiaoping, X.; Fajon, A.; Zhenyu, L.; Likuo, F.; Zhengyu, L. Thuja sutchuenensis: A rediscovered species of the Cupressaceae. Bot. J. Linn. Soc. 2002, 139, 305–310. [Google Scholar] [CrossRef]
 - Guo, X.; Wang, M.; Wu, J.; Wu, G.; Zhang, X.; Huo, L.; Liu, H.; Chen, Y.; Xie, G.; Tan, H. Chemical constituents of the trunks and roots of Thuja sutchuenensis. Fitoterapia 2019, 134, 264–269. [Google Scholar] [CrossRef] [PubMed]
 - Jasuja, N.D.; Sharma, S.; Choudhary, J.; Joshi, S.C. Essential oil and important activities of Thuja orientalis and Thuja occidentalis. J. Essent. Oil Bear. Plants 2015, 18, 931–949. [Google Scholar] [CrossRef]
 - Wang, M.; Zhao, L.; Chen, K.; Shang, Y.; Wu, J.; Guo, X.; Chen, Y.; Liu, H.; Tan, H.; Qiu, S.-X. Antibacterial sesquiterpenes from the stems and roots of Thuja sutchuenensis. Bioorganic Chem. 2020, 96, 103645. [Google Scholar] [CrossRef]
 - Guo, Q.; Qin, A.; Ma, F.; Jian, Z.; Pei, S. Research progress on Thuja sutchuenensis: A critically endangered species in the world. World For. Res. 2015, 28, 18–22. [Google Scholar]
 - Wang, X.; Liu, Y.; Li, Y.; Jin, J.; Guo, Q.; Pei, S. Interspecies Association and Community Stability of Plants in the Core Distribution Area of Thuja sutchuenensis. Forests 2023, 14, 762. [Google Scholar] [CrossRef]
 - Zuo, Y.-W.; Zhang, J.-H.; Ning, D.-H.; Zeng, Y.-L.; Li, W.-Q.; Xia, C.-Y.; Zhang, H.; Deng, H.-P. Comparative analyses of rhizosphere bacteria along an elevational gradient of Thuja sutchuenensis. Front. Microbiol. 2022, 13, 881921. [Google Scholar] [CrossRef]
 - Sharma, A.; Kumar, V.; Shahzad, B.; Ramakrishnan, M.; Singh Sidhu, G.P.; Bali, A.S.; Handa, N.; Kapoor, D.; Yadav, P.; Khanna, K. Photosynthetic response of plants under different abiotic stresses: A review. J. Plant Growth Regul. 2020, 39, 509–531. [Google Scholar] [CrossRef]
 - Soussi, A.; Ferjani, R.; Marasco, R.; Guesmi, A.; Cherif, H.; Rolli, E.; Mapelli, F.; Ouzari, H.I.; Daffonchio, D.; Cherif, A. Plant-associated microbiomes in arid lands: Diversity, ecology and biotechnological potential. Plant Soil 2016, 405, 357–370. [Google Scholar] [CrossRef]
 - Jin, J.; Guo, Q.; Zhu, L.; Xu, G.; Liu, J.; Pei, S. Photosynthetic characteristics and water use efficiency of Thuja sutchuenensis Franch. during water stress and recovery. Plant Sci. J. 2012, 30, 599–610. [Google Scholar]
 - Jian, Z.; Ma, F.; Guo, Q.; Pei, S.; Qin, A.; Xiao, W.; Zhao, Z. Responses of survival and growth of Thuja sutchuenensis reintroduction seedlings to altitude gradient. Sci. Silvae Sin. 2017, 53, 1–11. [Google Scholar]
 - Maestre, F.T.; Delgado-Baquerizo, M.; Jeffries, T.C.; Eldridge, D.J.; Ochoa, V.; Gozalo, B.; Quero, J.L.; García-Gómez, M.; Gallardo, A.; Ulrich, W. Increasing aridity reduces soil microbial diversity and abundance in global drylands. Proc. Natl. Acad. Sci. USA 2015, 112, 15684–15689. [Google Scholar] [CrossRef] [PubMed]
 - Wang, S.; Zuo, X.; Awada, T.; Medima-Roldán, E.; Feng, K.; Yue, P.; Lian, J.; Zhao, S.; Cheng, H. Changes of soil bacterial and fungal community structure along a natural aridity gradient in desert grassland ecosystems, Inner Mongolia. CATENA 2021, 205, 105470. [Google Scholar] [CrossRef]
 - Baldrian, P.; Bell-Dereske, L.; Lepinay, C.; Větrovský, T.; Kohout, P. Fungal communities in soils under global change. Stud. Mycol. 2022, 103, 1–24. [Google Scholar] [CrossRef]
 - Bowles, T.M.; Jackson, L.E.; Cavagnaro, T.R. Mycorrhizal fungi enhance plant nutrient acquisition and modulate nitrogen loss with variable water regimes. Glob. Change Biol. 2018, 24, e171–e182. [Google Scholar] [CrossRef]
 - Taylor, D.L.; Bhatnagar, J.M. Fungi in Soil: A Rich Community with Diverse Functions, Soil Microbiology, Ecology and Biochemistry; Elsevier: Amsterdam, The Netherlands, 2024; pp. 75–129. [Google Scholar]
 - Bahadur, A.; Batool, A.; Nasir, F.; Jiang, S.; Mingsen, Q.; Zhang, Q.; Pan, J.; Liu, Y.; Feng, H. Mechanistic insights into arbuscular mycorrhizal fungi-mediated drought stress tolerance in plants. Int. J. Mol. Sci. 2019, 20, 4199. [Google Scholar] [CrossRef]
 - Ortas, I.; Rafique, M.; Çekiç, F. Do Mycorrhizal Fungi enable plants to cope with abiotic stresses by overcoming the detrimental effects of salinity and improving drought tolerance? Symbiotic Soil Microorg. Biol. Appl. 2021, 60, 391–428. [Google Scholar]
 - Begum, N.; Ahanger, M.A.; Su, Y.; Lei, Y.; Mustafa, N.S.A.; Ahmad, P.; Zhang, L. Improved drought tolerance by AMF inoculation in maize (Zea mays) involves physiological and biochemical implications. Plants 2019, 8, 579. [Google Scholar] [CrossRef] [PubMed]
 - Sarwat, M.; Hashem, A.; Ahanger, M.A.; Abd_Allah, E.F.; Alqarawi, A.; Alyemeni, M.N.; Ahmad, P.; Gucel, S. Mitigation of NaCl stress by arbuscular mycorrhizal fungi through the modulation of osmolytes, antioxidants and secondary metabolites in mustard (Brassica juncea L.) plants. Front. Plant Sci. 2016, 7, 869. [Google Scholar] [CrossRef] [PubMed]
 - Harman, G.; Khadka, R.; Doni, F.; Uphoff, N. Benefits to plant health and productivity from enhancing plant microbial symbionts. Front. Plant Sci. 2021, 11, 610065. [Google Scholar] [CrossRef] [PubMed]
 - Singh, A.K.; Kumar, A.; Singh, R.; Saini, R.; Maanju, S.; Leharwan, M.; Sehgal, V.; Kumar, B.; Dixit, P.S. Revolutionary Role of Trichoderma in Sustainable Plant Health Management: A Review. Int. J. Environ. Clim. Change 2023, 13, 4203–4217. [Google Scholar] [CrossRef]
 - Al-Ani, L.K.T. Trichoderma: Beneficial role in sustainable agriculture by plant disease management. Plant Microbiome Stress Response 2018, 5, 105–126. [Google Scholar]
 - Zuo, Y.-W.; He, P.; Zhang, J.-H.; Li, W.-Q.; Ning, D.-H.; Zeng, Y.-L.; Yang, Y.; Xia, C.-Y.; Zhang, H.; Deng, H.-P. Contrasting responses of multispatial soil fungal communities of Thuja sutchuenensis Franch., an extremely endangered conifer in Southwestern China. Microbiol. Spectr. 2022, 10, e00260-00222. [Google Scholar] [CrossRef]
 - Bao, S.D. Soil and Agricultural Chemistry Analysis; Agr Pub: Beijing, China, 2000; pp. 355–356. [Google Scholar]
 - Zuo, Y.; Liu, X.; Ma, T.; Zeng, Y.; Li, W.; Xia, C.; Zhang, H.; Li, Z.; Deng, H. Distinctive patterns of soil microbial community during forest ecosystem restoration in southwestern China. Land Degrad. Dev. 2023, 34, 4181–4194. [Google Scholar] [CrossRef]
 - Bokulich, N.A.; Mills, D.A. Improved selection of internal transcribed spacer-specific primers enables quantitative, ultra-high-throughput profiling of fungal communities. Appl. Environ. Microbiol. 2013, 79, 2519–2526. [Google Scholar] [CrossRef]
 - Edgar, R.C. Search and clustering orders of magnitude faster than BLAST. Bioinformatics 2010, 26, 2460–2461. [Google Scholar] [CrossRef]
 - Dong, L.; Li, M.-X.; Li, S.; Yue, L.-X.; Ali, M.; Han, J.-R.; Lian, W.-H.; Hu, C.-J.; Lin, Z.-L.; Shi, G.-Y. Aridity drives the variability of desert soil microbiomes across north-western China. Sci. Total Environ. 2024, 907, 168048. [Google Scholar] [CrossRef] [PubMed]
 - Jiao, S.; Zhang, B.; Zhang, G.; Chen, W.; Wei, G. Stochastic community assembly decreases soil fungal richness in arid ecosystems. Mol. Ecol. 2021, 30, 4338–4348. [Google Scholar] [CrossRef]
 - Chen, X.; Wang, Y.; Wang, Y.; Zhang, Y.; Shen, Y.; He, X.; Xiao, C. A Natural Moisture Gradient Affects Soil Fungal Communities on the South Shore of Hulun Lake, Inner Mongolia, China. J. Fungi 2023, 9, 549. [Google Scholar] [CrossRef]
 - Chao, L.; Ma, X.; Tsetsegmaa, M.; Zheng, Y.; Qu, H.; Dai, Y.; Li, J.; Bao, Y. Response of Soil Microbial Community Composition and Diversity at Different Gradients of Grassland Degradation in Central Mongolia. Agriculture 2022, 12, 1430. [Google Scholar] [CrossRef]
 - Gorbunova, I. Biota of agaricoid and gasteriod basidiomycetes of dryad tundras of the Altai-Sayan mountain area (Southern Siberia). Contemp. Probl. Ecol. 2014, 7, 39–44. [Google Scholar] [CrossRef]
 - Dighton, J. 16 nutrient cycling by saprotrophic fungi in terrestrial habitats. Environ. Microb. Relat. 2007, 4, 287. [Google Scholar]
 - Watkinson, S.C. Mutualistic Symbiosis between Fungi and Autotrophs, The Fungi; Elsevier: Amsterdam, The Netherlands, 2016; pp. 205–243. [Google Scholar]
 - Mayer, M.; Rewald, B.; Matthews, B.; Sanden, H.; Rosinger, C.; Katzensteiner, K.; Gorfer, M.; Berger, H.; Tallian, C.; Godbold, D.L.; et al. Soil fertility relates to fungal–mediated decomposition and organic matter turnover in a temperate mountain forest. New Phytol. 2021, 231, 777–790. [Google Scholar] [CrossRef] [PubMed]
 - Suberkropp, K. Microorganisms and organic matter decomposition. In River Ecology and Management Lessons from the Pacific Coastal Ecoregion; Spring: Berlin/Heidelberg, Germany, 1998; Chapter 6; pp. 120–143. [Google Scholar]
 - Furtado, B.U.; Gołębiewski, M.; Skorupa, M.; Hulisz, P.; Hrynkiewicz, K. Bacterial and fungal endophytic microbiomes of Salicornia europaea. Appl. Environ. Microbiol. 2019, 85, e00305–e00319. [Google Scholar] [CrossRef] [PubMed]
 - Ljaljević Grbić, M.; Dimkić, I.; Savković, Ž.; Stupar, M.; Knežević, A.; Jelikić, A.; Unković, N. Mycobiome Diversity of the Cave Church of Sts. Peter and Paul in Serbia—Risk Assessment Implication for the Conservation of Rare Cavern Habitat Housing a Peculiar Fresco Painting. J. Fungi 2022, 8, 1263. [Google Scholar] [CrossRef]
 - Harris, R.C.; Ladd, D. New taxa of lichens and lichenicolous fungi from the Ozark Ecoregion. Opusc. Philolichenum 2007, 4, 57–68. [Google Scholar]
 - Cheng, Z.; Wu, S.; Pan, H.; Lu, X.; Liu, Y.; Yang, L. Cortinarius and Tomentella Fungi Become Dominant Taxa in Taiga Soil after Fire Disturbance. J. Fungi 2023, 9, 1113. [Google Scholar] [CrossRef]
 - Pickles, B.J.; Simard, S.W. Mycorrhizal Networks and Forest Resilience to Drought, Mycorrhizal Mediation of Soil; Elsevier: Amsterdam, The Netherlands, 2017; pp. 319–339. [Google Scholar]
 - Quijada, L.; Matočec, N.; Kušan, I.; Tanney, J.B.; Johnston, P.R.; Mešić, A.; Pfister, D.H. Apothecial ancestry, evolution, and re-evolution in Thelebolales (Leotiomycetes, Fungi). Biology 2022, 11, 583. [Google Scholar] [CrossRef] [PubMed]
 - Sánchez, M.G.; Saia, S.; Aranda, E. The Contribution of Fungi and Their Lifestyle in the Nitrogen Cycle, Nitrogen Cycle: Ecology, Biotechnological Applications and Environmental Impacts; CRC Press: Boca Raton, FL, USA, 2021; pp. 82–101. [Google Scholar]
 - Jakucs, E.; Erős-Honti, Z. Morphological-anatomical characterization and identification of Tomentella ectomycorrhizas. Mycorrhiza 2008, 18, 277–285. [Google Scholar] [CrossRef] [PubMed]
 - Rice, A.V.; Tsuneda, A.; Currah, R.S. In vitro decomposition of Sphagnum by some microfungi resembles white rot of wood. FEMS Microbiol. Ecol. 2006, 56, 372–382. [Google Scholar] [CrossRef] [PubMed]
 








Disclaimer/Publisher’s Note: The statements, opinions and data contained in all publications are solely those of the individual author(s) and contributor(s) and not of MDPI and/or the editor(s). MDPI and/or the editor(s) disclaim responsibility for any injury to people or property resulting from any ideas, methods, instructions or products referred to in the content.  | 
© 2024 by the authors. Licensee MDPI, Basel, Switzerland. This article is an open access article distributed under the terms and conditions of the Creative Commons Attribution (CC BY) license (https://creativecommons.org/licenses/by/4.0/).
Share and Cite
Zuo, Y.; Yang, L.; Wang, Q.; Zhu, B.; Xia, C.; Zhang, H.; Li, W.; Zhang, Z.; Deng, H. Divergent Fungal Community Dynamics of Thuja sutchuenensis in Arid Environments. Microorganisms 2024, 12, 446. https://doi.org/10.3390/microorganisms12030446
Zuo Y, Yang L, Wang Q, Zhu B, Xia C, Zhang H, Li W, Zhang Z, Deng H. Divergent Fungal Community Dynamics of Thuja sutchuenensis in Arid Environments. Microorganisms. 2024; 12(3):446. https://doi.org/10.3390/microorganisms12030446
Chicago/Turabian StyleZuo, Youwei, Lingxiang Yang, Qian Wang, Benchao Zhu, Changying Xia, Huan Zhang, Wenqiao Li, Zhe Zhang, and Hongping Deng. 2024. "Divergent Fungal Community Dynamics of Thuja sutchuenensis in Arid Environments" Microorganisms 12, no. 3: 446. https://doi.org/10.3390/microorganisms12030446
APA StyleZuo, Y., Yang, L., Wang, Q., Zhu, B., Xia, C., Zhang, H., Li, W., Zhang, Z., & Deng, H. (2024). Divergent Fungal Community Dynamics of Thuja sutchuenensis in Arid Environments. Microorganisms, 12(3), 446. https://doi.org/10.3390/microorganisms12030446
        
