Genome-Wide and 16S rRNA Sequencing-Based Analysis on the Health Effects of Lacticaseibacillus paracasei XLK401 on Chicks
Abstract
1. Introduction
2. Materials and Methods
2.1. Bacterial Strains
2.2. Whole Genome Sequencing and Genome Annotation
2.3. In Vitro Tolerance Test of L. paracasei XLK401
2.4. Birds, Diet, and Experimental Design
2.5. Growth Performance Evaluation
2.6. Sample Collection
2.7. Measurement of Physiological Indicators
2.8. DNA Extraction and 16S rRNA Gene Sequencing Analysis
2.9. Statistical Analysis
3. Results
3.1. Draft Genome Sequencing, Assembly, and Mapping
3.2. Analysis of Carbohydrate Transport and Metabolism Genes
3.3. Analysis of Antimicrobial Compound Genes
3.4. Genomic Characterization of Probiotic Traits
3.5. In Vitro Simulated Gastrointestinal Experiment
3.6. Effect of Supplementation with L. paracasei XLK401 on the Growth and Digestive Enzymes in Chickens
3.7. Effect of L. Paracasei XLK401 on Liver Antioxidant Capacity and Serum Immune Factors
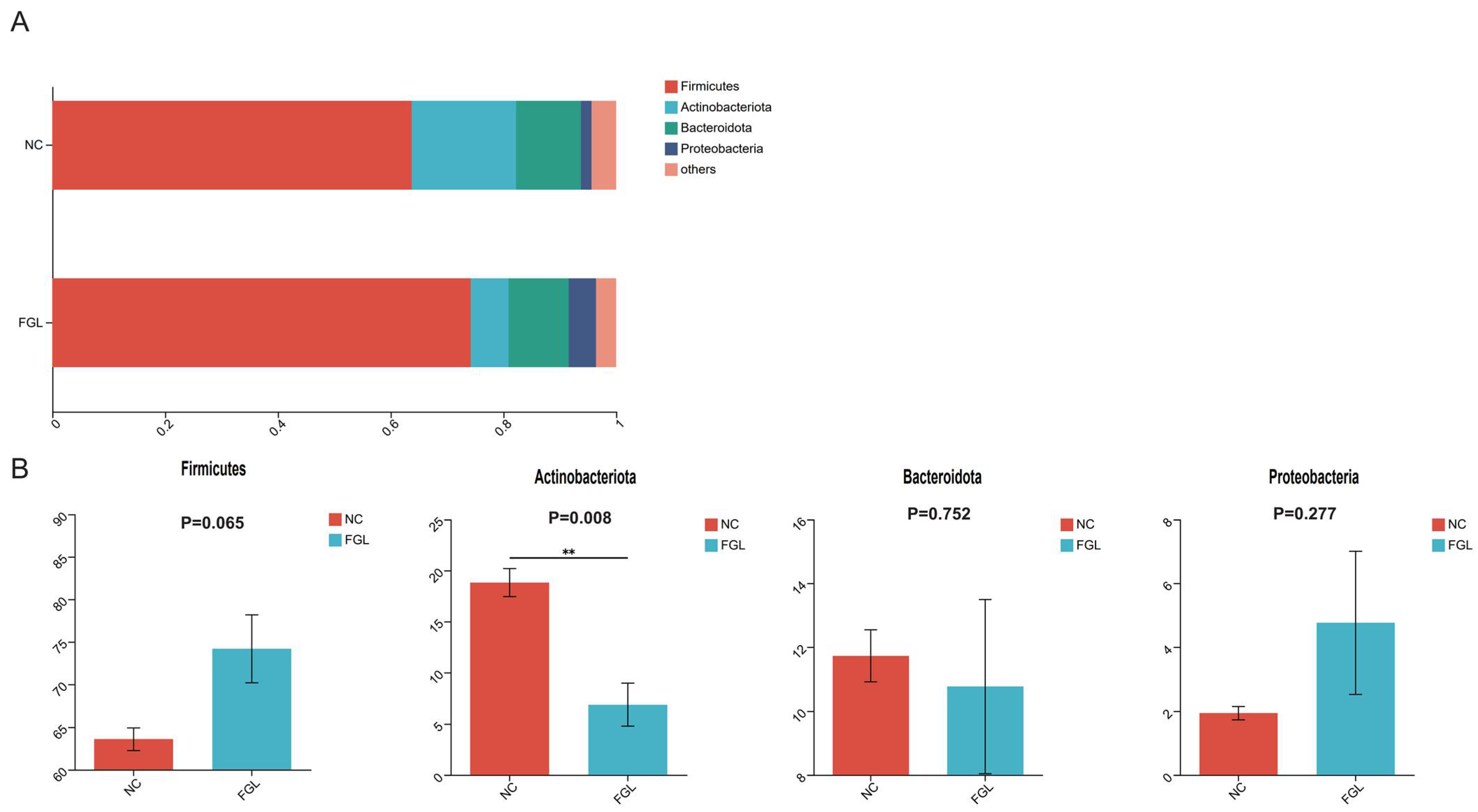
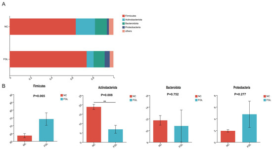
3.8. Effects of L. paracasei XLK401 on Chicken Gut Microbiota
3.9. Correlation of Physiological Indicators with Cecal Microbiota
3.10. Functional Prediction of Bacterial Communities
4. Discussion
5. Conclusions
Supplementary Materials
Author Contributions
Funding
Data Availability Statement
Conflicts of Interest
References
- Serratosa, J.; Blass, A.; Rigau, B.; Mongrell, B.; Rigau, T.; Tortades, M.; Tolosa, E.; Aguilar, C.; Ribo, O.; Balague, J. Residues from veterinary medicinal prodects, growth promoters and performance enhancers in food-producing animals: A European Union perspective. Rev. Sci. Tech. Off. Int. Epizoot 2006, 25, 637–653. [Google Scholar] [CrossRef]
- Van Immerseel, F.; Rood, J.I.; Moore, R.J.; Titball, R.W. Rethinking our understanding of the pathogenesis of necrotic enteritis in chickens. Trends Microbiol. 2009, 17, 32–36. [Google Scholar] [CrossRef] [PubMed]
- Sopkova, D.; Hertelyova, Z.; Andrejcakova, Z.; Vlckova, R.; Gancarcikova, S.; Petrilla, V.; Ondrasovicova, S.; Kresakova, L. The application of probiotics and flaxseed promotes metabolism of n-3 polyunsaturated fatty acids in pigs. J. Appl. Anim. Res 2017, 45, 93–98. [Google Scholar] [CrossRef]
- Gaggìa, F.; Mattarelli, P.; Biavati, B. Probiotics and prebiotics in animal feeding for safe food production. Int. J. Food Microbiol. 2010, 141 (Suppl. S1), S15–S28. [Google Scholar] [CrossRef] [PubMed]
- Ke, X.L.; Liu, Z.G.; Zhang, M.Y.; Zhu, W.J.; Yi, M.M.; Cao, J.M.; Gao, F.Y.; Wang, M.; Lu, M.X. A bacillus cereus NY5 strain from tilapia intestine antagonizes pathogenic streptococcus agalactiae growth and adhesion in vitro and in vivo. Aquaculture 2022, 561, 738729. [Google Scholar] [CrossRef]
- Rocha-Ramírez, L.M.; Pérez-Solano, R.A.; Castañón-Alonso, S.L.; Moreno Guerrero, S.S.; Ramírez Pacheco, A.; García Garibay, M.; Eslava, C. Probiotic Lactobacillus strains stimulate the inflammatory response and activate human macrophages. J. Immunol. Res. 2017, 2017, 4607491. [Google Scholar] [CrossRef]
- Suvorov, A.; Zhao, S.; Leontieva, G.; Alekhina, G.; Yang, J.; Tsapieva, A.; Karaseva, A.; Smelova, V.; Guo, D.; Chen, L. Evaluation of the efficacy of enterococcus faecium L3 as a feed probiotic additive in chicken. Probiotics Antimicrob. Proteins 2022. [Google Scholar] [CrossRef]
- Saroj, D.B.; Gupta, A.K. Genome based safety assessment for bacillus coagulans strain LBSC (DSM 17654) for probiotic application. Int. J. Food Microbiol. 2020, 318, 108523. [Google Scholar] [CrossRef]
- Bengoa, A.A.; Dardis, C.; Garrote, G.L.; Abraham, A.G. Health-Promoting Properties of lacticaseibacillus paracasei: A focus on kefir isolates and exopolysaccharide-producing strains. Foods 2021, 10, 2239. [Google Scholar] [CrossRef]
- Belkacem, N.; Serafini, N.; Wheeler, R.; Derrien, M.; Boucinha, L.; Couesnon, A.; Cerf-Bensussan, N.; Gomperts Boneca, I.; Di Santo, J.P.; Taha, M.-K.; et al. Lactobacillus paracasei feeding improves immune control of influenza infection in mice. PLoS ONE 2017, 12, e0184976. [Google Scholar] [CrossRef]
- Bengoa, A.A.; Errea, A.J.; Rumbo, M.; Abraham, A.G.; Garrote, G.L. Modulatory properties of Lactobacillus paracasei fermented milks on gastric inflammatory conditions. Int. Dairy J. 2020, 111, 104839. [Google Scholar] [CrossRef]
- Romero-Luna, H.E.; Peredo-Lovillo, A.; Hernández-Mendoza, A.; Hernández-Sánchez, H.; Cauich-Sánchez, P.I.; Ribas-Aparicio, R.M.; Dávila-Ortiz, G. Probiotic potential of Lactobacillus paracasei CT12 isolated from water kefir grains (Tibicos). Curr. Microbiol. 2020, 77, 2584–2592. [Google Scholar] [CrossRef] [PubMed]
- Kim, W.K.; Jang, Y.J.; Seo, B.; Han, D.H.; Park, S.; Ko, G. Administration of Lactobacillus paracasei strains improves immunomodulation and changes the composition of gut microbiota leading to improvement of colitis in mice. J. Funct. Foods 2019, 52, 565–575. [Google Scholar] [CrossRef]
- Wick, R.R.; Judd, L.M.; Gorrie, C.L.; Holt, K.E. Unicycler: Resolving bacterial genome assemblies from short and long sequencing reads. PLoS. Comput. Biol. 2017, 13, e1005595. [Google Scholar] [CrossRef] [PubMed]
- Seemann, T. Prokka: Rapid prokaryotic genome annotation. Bioinformatics 2014, 30, 2068–2069. [Google Scholar] [CrossRef]
- Blin, K.; Shaw, S.; Steinke, K.; Villebro, R.; Ziemert, N.; Lee, S.Y.; Medema, M.H.; Weber, T. antiSMASH 5.0: Updates to the secondary metabolite genome mining pipeline. Nucleic Acids Res. 2019, 47, W81–W87. [Google Scholar] [CrossRef] [PubMed]
- Li, X.Y.; Li, L.X.; Li, Y.; Zhou, R.C.; Li, B.; Gu, X.; Fu, S.C.; Jin, B.Y.; Zuo, X.L.; Li, Y.Q. Complete genome sequencing of peyer’s patches-derived Lactobacillus taiwanensis CLG01, a potential probiotic with antibacterial and immunomodulatory activity. BMC Microbiol. 2021, 21, 68. [Google Scholar] [CrossRef]
- Council, N.R. Nutrient Requirements of Poultry: 1994; National Academies Press: Washington, DC, USA, 1994. [Google Scholar] [CrossRef]
- Edgar, R.C. UPARSE: Highly accurate OTU sequences from microbial amplicon reads. Nat. Methods 2013, 10, 996. [Google Scholar] [CrossRef]
- Wang, J.; Ishfaq, M.; Guo, Y.; Chen, C.; Li, J. Assessment of Probiotic Properties of Lactobacillus salivarius Isolated from Chickens as Feed Additives. Front. Vet. Sci. 2020, 7, 415. [Google Scholar] [CrossRef]
- Li, M.; Wang, Y.; Cui, H.; Li, Y.; Sun, Y.; Qiu, H.J. Characterization of lactic acid bacteria isolated from the gastrointestinal tract of a wild boar as potential probiotics. Front. Vet. Sci. 2020, 7, 49. [Google Scholar] [CrossRef]
- Fontana, L.; Bermudez-Brito, M.; Plaza-Diaz, J.; Muñoz-Quezada, S.; Gil, A. Sources, isolation, characterisation and evaluation of probiotics. Br. J. Nutr. 2013, 109, S35–S50. [Google Scholar] [CrossRef] [PubMed]
- Ouwehand, A.C.; Kirjavainen, P.V.; Shortt, C.; Salminen, S. Probiotics: Mechanisms and established effects. Int. Dairy J. 1999, 9, 43–52. [Google Scholar] [CrossRef]
- Wang, J.; Ji, H.F.; Zhang, D.Y.; Liu, H.; Wang, S.X.; Shan, D.C.; Wang, Y.M. Assessment of probiotic properties of Lactobacillus plantarum ZLP001 isolated from gastrointestinal tract of weaning pigs. Afr. J. Biotechnol. 2011, 10, 11303–11308. [Google Scholar]
- Taheri, H.R.; Moravej, H.; Tabandeh, F.; Zaghari, M.; Shivazad, M. Screening of lactic acid bacteria toward their selection as a source of chicken probiotic. Poult. Sci. 2009, 88, 1586–1593. [Google Scholar] [CrossRef] [PubMed]
- Phujumpa, P.; Muangham, S.; Jatuponwiphat, T.; Koffas, M.; Nakphaichit, M.; Vongsangnak, W. Comparative genomics-based probiotic relevance of Limosilactobacillus fermentum KUB-D18. Gene 2022, 840, 146747. [Google Scholar] [CrossRef]
- Mazmanian, S.K.; Round, J.L.; Kasper, D.L. A microbial symbiosis factor prevents intestinal inflammatory disease. Nature 2008, 453, 620–625. [Google Scholar] [CrossRef]
- Grosu-Tudor, S.-S.; Stancu, M.-M.; Pelinescu, D.; Zamfir, M. Characterization of some bacteriocins produced by lactic acid bacteria isolated from fermented foods. World J. Microbiol. Biotechnol. 2014, 30, 2459–2469. [Google Scholar] [CrossRef]
- Li, H.B.; Guo, L.D.; Zhang, X.Y.; Mu, H.Q.; Sha, S.F.; Lin, Y.; Hou, H.W.; Wang, L.P. Whole-genome sequencing combined with mass spectrometry to identify bacteriocin and mine silent genes. LWT-Food Sci. Technol. 2022, 169, 113975. [Google Scholar] [CrossRef]
- Ward, D.J.; Somkuti, G.A. Characterization of a bacteriocin produced by Streptococcus thermophilus ST134. Appl. Microbiol. Biotechnol. 1995, 43, 330–335. [Google Scholar] [CrossRef]
- Wang, Y.; Gu, Q. Effect of probiotic on growth performance and digestive enzyme activity of arbor acres broilers. Res. Vet. Sci. 2010, 89, 163–167. [Google Scholar] [CrossRef]
- Sweeney, T.E.; Morton, J.M. The Human Gut Microbiome: A review of the effect of obesity and surgically induced weight loss. Jama Surg. 2013, 148, 563–569. [Google Scholar] [CrossRef] [PubMed]
- Kohut, M.L.; Boehm, G.W.; Moynihan, J.A. Moderate exercise is associated with enhanced antigen-specific cytokine, but not IgM antibody production in aged mice. Mech. Ageing. Dev. 2001, 122, 1135–1150. [Google Scholar] [CrossRef] [PubMed]
- Yang, Y.; Millán, J.L.; Mecsas, J.; Guillemin, K. Intestinal alkaline phosphatase deficiency leads to lipopolysaccharide desensitization and faster weight gain. Infect. Immun. 2015, 83, 247–258. [Google Scholar] [CrossRef] [PubMed][Green Version]
- Li, A.; Wang, M.; Zhang, Y.; Lin, Z.; Xu, M.; Wang, L.; Kulyar, M.F.; Li, J. Complete genome analysis of Bacillus subtilis derived from yaks and its probiotic characteristics. Front. Vet. Sci. 2022, 9, 1099150. [Google Scholar] [CrossRef]
- Xu, R.; Aruhan; Xiu, L.; Sheng, S.; Liang, Y.; Zhang, H.; Liu, Y.; Tong, H.; Du, R.; Wang, X. Exopolysaccharides from Lactobacillus buchneri TCP016 attenuate LPS- and d-galN-induced liver injury by modulating the gut microbiota. J. Agric. Food Chem. 2019, 67, 11627–11637. [Google Scholar] [CrossRef]
- Silambarasan, S.; Logeswari, P.; Cornejo, P.; Abraham, J.; Valentine, A. Simultaneous mitigation of aluminum, salinity and drought stress in lactuca sativa growth via formulated plant growth promoting rhodotorula mucilaginosa CAM4. Ecotoxicol. Environ. Saf. 2019, 180, 63–72. [Google Scholar] [CrossRef]
- Xin, W.G.; Li, X.D.; Lin, Y.C.; Jiang, Y.H.; Xu, M.Y.; Zhang, Q.L.; Wang, F.; Lin, L.B. Whole genome analysis of host-associated Lactobacillus salivarius and the effects on hepatic antioxidant enzymes and gut microorganisms of Sinocyclocheilus grahami. Front. Microbiol. 2022, 13, 1014970. [Google Scholar] [CrossRef]
- Allen, H.K.; Trachsel, J.; Looft, T.; Casey, T.A. Finding alternatives to antibiotics. Ann. N. Y. Acad. Sci. 2014, 1323, 91–100. [Google Scholar] [CrossRef]
- Metzler-Zebeli, B.U.; Siegerstetter, S.C.; Magowan, E.; Lawlor, P.G.; NE, O.C.; Zebeli, Q. Fecal microbiota transplant from highly feed efficient donors affects cecal physiology and microbiota in low- and high-feed efficient chickens. Front. Microbiol. 2019, 10, 1576. [Google Scholar] [CrossRef]
- Chouayekh, H.; Farhat-Khemakhem, A.; Karray, F.; Boubaker, I.; Mhiri, N.; Abdallah, M.B.; Alghamdi, O.A.; Guerbej, H. Effects of dietary supplementation with bacillus amyloliquefaciens US573 on intestinal morphology and gut microbiota of european sea bass. Probiotics Antimicrob. Proteins 2023, 15, 30–43. [Google Scholar] [CrossRef]
- Nakphaichit, M.; Thanomwongwattana, S.; Phraephaisarn, C.; Sakamoto, N.; Keawsompong, S.; Nakayama, J.; Nitisinprasert, S. The effect of including Lactobacillus reuteri KUB-AC5 during post-hatch feeding on the growth and ileum microbiota of broiler chickens. Poult. Sci. 2011, 90, 2753–2765. [Google Scholar] [CrossRef] [PubMed]
- Zhang, Q.; Shan, B.; Xu, X.; Mao, B.; Tang, X.; Zhao, J.; Zhang, H.; Cui, S.; Chen, W. Lactiplantibacillus Plantarum CCFM8724 reduces the amounts of oral pathogens and alters the oral microbiota in children with dental caries: A randomized, double-blind, placebo-controlled trial. J. Am. Nutr. Assoc. 2023, 42, 361–370. [Google Scholar] [CrossRef]
- Nam, B.; Kim, S.A.; Park, S.D.; Kim, H.J.; Kim, J.S.; Bae, C.H.; Kim, J.Y.; Nam, W.; Lee, J.L.; Sim, J.H. Regulatory effects of Lactobacillus plantarum HY7714 on skin health by improving intestinal condition. PLoS ONE 2020, 15, e0231268. [Google Scholar] [CrossRef] [PubMed]
- Polansky, O.; Sekelova, Z.; Faldynova, M.; Sebkova, A.; Sisak, F.; Rychlik, I. Important Metabolic Pathways and Biological Processes Expressed by Chicken Cecal Microbiota. Appl. Environ. Microbiol. 2016, 82, 1569–1576. [Google Scholar] [CrossRef] [PubMed]
- Lin, H.; Guo, Q.Q.; Ran, Y.; Lin, L.J.; Chen, P.C.; He, J.Q.; Chen, Y.; Wen, J.B. Multiomics study reveals enterococcus and subdoligranulum are beneficial to necrotizing enterocolitis. Front. Microbiol. 2021, 12, 752102. [Google Scholar] [CrossRef]
- Gupta, A.; Bansal, M.; Wagle, B.; Sun, X.L.; Rath, N.; Donoghue, A.; Upadhyay, A. Sodium butyrate reduces salmonella enteritidis infection of chicken enterocytes and expression of inflammatory host genesin vitro. Front. Microbiol. 2020, 11, 553670. [Google Scholar] [CrossRef]
- Karimi, P.; Bakhtiarizadeh, M.R.; Salehi, A.; Izadnia, H.R. Transcriptome analysis reveals the potential roles of long non-coding RNAs in feed efficiency of chicken. Sci. Rep. 2022, 12, 2558. [Google Scholar] [CrossRef]







| Ingredients, % | 1–21 d | 
|---|---|
| Corn | 55.41 | 
| Soybean meal | 31.50 | 
| Palm oil | 5.00 | 
| Phosphorus | 3.60 | 
| Calcium | 1.30 | 
| Salt | 0.34 | 
| Lysine HCL | 1.40 | 
| Methionine | 0.22 | 
| Arginine | 0.03 | 
| Vitamin–mineral premix | 0.50 | 
| Limestone | 0.60 | 
| Sodium carbonate | 0.10 | 
| Metabolizable energy (MJ·kg−1) | 14.01 | 
| Crude protein | 20.0 | 
| Calcium | 1.00 | 
| Total phosphorus | 0.55 | 
| Lysine total | 1.41 | 
| Methionine | 0.50 | 
| Gene | Putative Function | Locus Tag | 
|---|---|---|
| Oxidative stress resistance | ||
| trxA | NADPH-dependent oxidoreductase activity | NCY29_04240 | 
| trxB | NADPH-dependent oxidoreductase activity | NCY29_04995 | 
| tpx | Thiol peroxidase | NCY29_04015 | 
| pH stress resistance | ||
| Asp23 | Alkaline shock protein (Asp23) family | NCY29_08625 | 
| atpD | F0F1 ATP synthase subunit beta | NCY29_06455 | 
| atpA | F0F1 ATP synthase subunit alpha | NCY29_06445 | 
| atpH | F0F1 ATP synthase subunit delta | NCY29_06440 | 
| atpF | F0F1 ATP synthase subunit B | NCY29_06435 | 
| DNA and protein protection and repair | ||
| clpb | Persistence capacity in vivo | NCY29_07365 | 
| clpP | Persistence capacity in vivo | NCY29_05065 | 
| msrB | Persistence capacity in vivo | NCY29_08150 | 
| rfbB | Low pH tolerance | NCY29_10470 | 
| Adhesion ability | ||
| dnaK | Mucin binding | NCY29_08360 | 
| gndA | Promotes adherence to epithelial cells | NCY29_08930 | 
| Treatment | Time(h) | Survival Rate | 
|---|---|---|
| Gastric juice (pH 2) | 5 | 70.49 ± 2.42% | 
| Gastric juice (pH 3) | 5 | 82.95 ± 2.00% | 
| Gastric juice (pH 4) | 5 | 89.21 ± 0.24% | 
| 0.3% Bile salt | 4 | 94.75 ± 0.62% | 
| 0.6% Bile salt | 4 | 87.46 ± 0.46% | 
| 0.9% Bile salt | 4 | 76.10 ± 1.62% | 
| Disclaimer/Publisher’s Note: The statements, opinions and data contained in all publications are solely those of the individual author(s) and contributor(s) and not of MDPI and/or the editor(s). MDPI and/or the editor(s) disclaim responsibility for any injury to people or property resulting from any ideas, methods, instructions or products referred to in the content. | 
© 2023 by the authors. Licensee MDPI, Basel, Switzerland. This article is an open access article distributed under the terms and conditions of the Creative Commons Attribution (CC BY) license (https://creativecommons.org/licenses/by/4.0/).
Share and Cite
Kang, X.; Li, X.-D.; Zhou, H.-Y.; Wang, F.; Lin, L.-B. Genome-Wide and 16S rRNA Sequencing-Based Analysis on the Health Effects of Lacticaseibacillus paracasei XLK401 on Chicks. Microorganisms 2023, 11, 2140. https://doi.org/10.3390/microorganisms11092140
Kang X, Li X-D, Zhou H-Y, Wang F, Lin L-B. Genome-Wide and 16S rRNA Sequencing-Based Analysis on the Health Effects of Lacticaseibacillus paracasei XLK401 on Chicks. Microorganisms. 2023; 11(9):2140. https://doi.org/10.3390/microorganisms11092140
Chicago/Turabian StyleKang, Xin, Xin-Dong Li, Huan-Yu Zhou, Feng Wang, and Lian-Bing Lin. 2023. "Genome-Wide and 16S rRNA Sequencing-Based Analysis on the Health Effects of Lacticaseibacillus paracasei XLK401 on Chicks" Microorganisms 11, no. 9: 2140. https://doi.org/10.3390/microorganisms11092140
APA StyleKang, X., Li, X.-D., Zhou, H.-Y., Wang, F., & Lin, L.-B. (2023). Genome-Wide and 16S rRNA Sequencing-Based Analysis on the Health Effects of Lacticaseibacillus paracasei XLK401 on Chicks. Microorganisms, 11(9), 2140. https://doi.org/10.3390/microorganisms11092140
 
        

 
       