Reforestation Increases the Aggregate Organic Carbon Concentration Induced by Soil Microorganisms in a Degraded Red Soil, Subtropical China
Abstract
1. Introduction
2. Materials and Methods
2.1. Research Sites and Sampling Points
2.2. Soil Sampling Method
2.3. Determination of Soil Physicochemical Properties
2.4. Soil Microbial Biomass and Community Structure
2.5. Method of Calculation
2.5.1. Calculation of Stability Parameters of Soil Water-Stable Aggregates
2.5.2. SOC Storage and Contribution Rate of Aggregate Organic Carbon
2.6. Data Analysis
3. Results
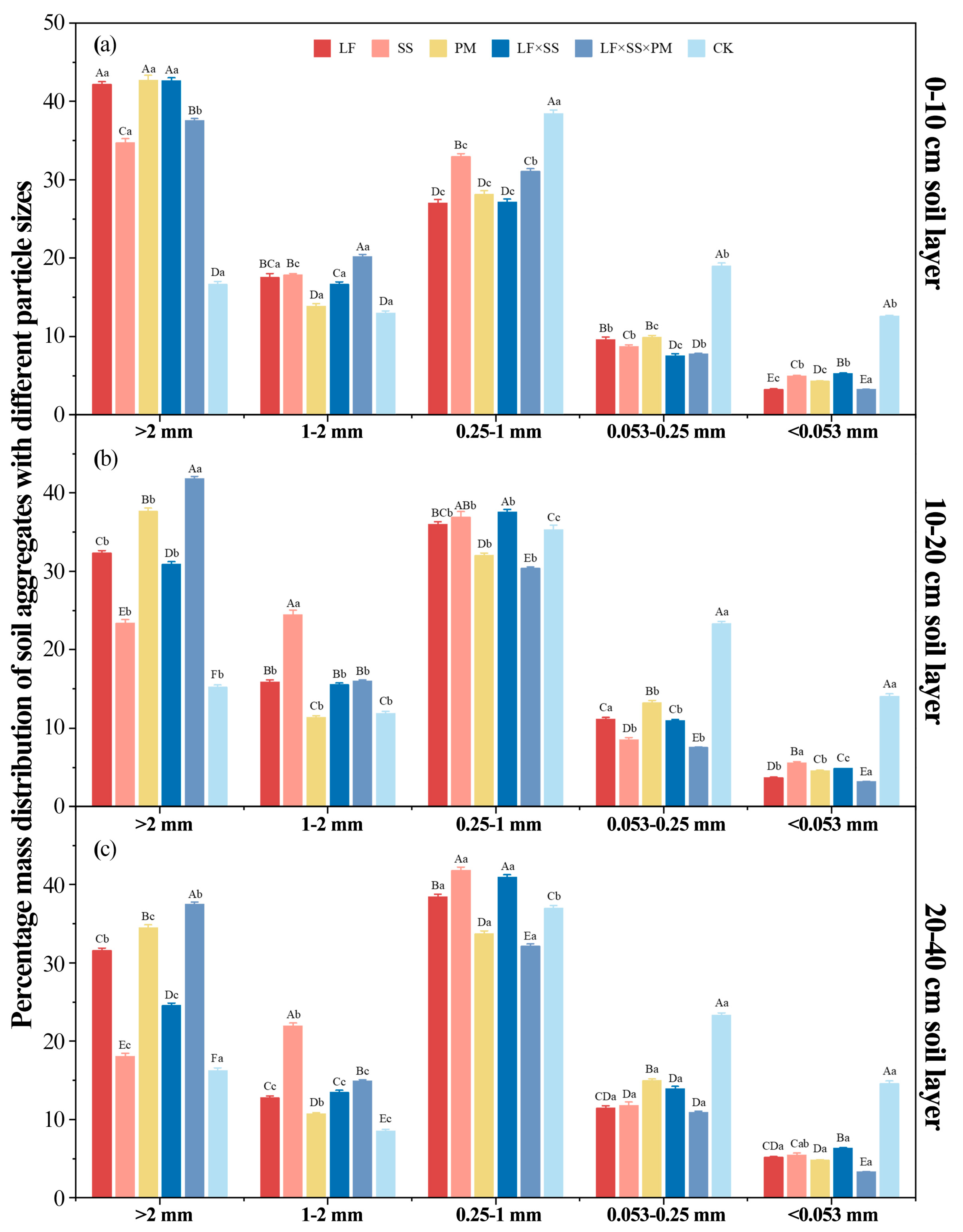
3.1. Effects of Different Reforestation Models on the Mass Distribution and Stability of Soil Aggregates
3.2. Correlation between Soil Aggregates and Physicochemical Properties
3.3. Effects of Different Reforestation Models on the Distribution of the Soil Aggregate Organic C Concentration and Storage
3.4. Effects of Different Reforestation Models on the Soil Microbial Community Biomass
4. Discussion
5. Conclusions
Author Contributions
Funding
Data Availability Statement
Acknowledgments
Conflicts of Interest
References
- Liu, X.; Liu, G.; Xue, J.; Wang, X.; Li, Q. Hydrogen as a carrier of renewable energies toward carbon neutrality: State-of-the-art and challenging issues. Int. J. Miner. Met. Mater. 2022, 29, 1073–1089. [Google Scholar] [CrossRef]
- Huang, M.-T.; Zhai, P.-M. Achieving Paris Agreement temperature goals requires carbon neutrality by middle century with far-reaching transitions in the whole society. Adv. Clim. Chang. Res. 2021, 12, 281–286. [Google Scholar] [CrossRef]
- John, B. Intergovernmental Panel on Climate Change Special Report on Global Warming of 1.5 °C Switzerland: IPCC, 2018. Popul. Dev. Rev. 2019, 45, 251–252. [Google Scholar]
- Zhao, C.; Ju, S.; Xue, Y.; Ren, T.; Ji, Y.; Chen, X. China’s energy transitions for carbon neutrality: Challenges and opportunities. Carbon Neutrality 2022, 1, 7. [Google Scholar] [CrossRef]
- McCarl, B.A.; Metting, F.B.; Rice, C. Soil carbon sequestration. Clim. Chang. 2007, 80, 1–3. [Google Scholar] [CrossRef]
- Blattert, C.; Lemm, R.; Thees, O.; Hansen, J.; Lexer, M.J.; Hanewinkel, M. Segregated versus integrated biodiversity conservation: Value-based ecosystem service assessment under varying forest management strategies in a Swiss case study. Ecol. Indic. 2018, 95, 751–764. [Google Scholar] [CrossRef]
- Vincevica-Gaile, Z.; Teppand, T.; Kriipsalu, M.; Krievans, M.; Jani, Y.; Klavins, M.; Setyobudi, R.H.; Grinfelde, I.; Rudovica, V.; Tamm, T.; et al. Towards Sustainable Soil Stabilization in Peatlands: Secondary Raw Materials as an Alternative. Sustainability 2021, 13, 6726. [Google Scholar] [CrossRef]
- Farrelly, D.J.; Everard, C.D.; Fagan, C.C.; McDonnell, K.P. Carbon sequestration and the role of biological carbon mitigation: A review. Renew. Sustain. Energy Rev. 2013, 21, 712–727. [Google Scholar] [CrossRef]
- Lal, R. Soil carbon sequestration to mitigate climate change. Geoderma 2004, 123, 1–22. [Google Scholar] [CrossRef]
- Korhonen, R.; Pingoud, K.; Savolainen, I.; Matthews, R. The role of carbon sequestration and the tonne-year approach in fulfilling the objective of climate convention. Environ. Sci. Policy 2002, 5, 429–441. [Google Scholar] [CrossRef]
- Liu, Y.; Yu, G.; Wang, Q.; Zhang, Y.; Xu, Z. Carbon carry capacity and carbon sequestration potential in China based on an integrated analysis of mature forest biomass. Sci. China Life Sci. 2014, 57, 1218–1229. [Google Scholar] [CrossRef] [PubMed]
- Wang, Q.; Zheng, H.; Zhu, X.; Yu, G. Primary estimation of Chinese terrestrial carbon sequestration during 2001–2010. Sci. Bull. 2015, 60, 577–590. [Google Scholar] [CrossRef]
- Karjalainen, T.; Pussinen, A.; Liski, J.; Nabuurs, G.-J.; Erhard, M.; Eggers, T.; Sonntag, M.; Mohren, G. An approach towards an estimate of the impact of forest management and climate change on the European forest sector carbon budget: Germany as a case study. For. Ecol. Manag. 2002, 162, 87–103. [Google Scholar] [CrossRef]
- Angst, G.; Pokorn, J.; Mueller, C.W.; Prater, I.; Angst, Á. Soil texture affects the coupling of litter decomposition and soil organic matter formation. Soil Biol. Biochem. 2021, 159, 108302. [Google Scholar] [CrossRef]
- Liang, Y.; Li, D.; Lu, X.; Yang, X.; Pan, X.; Mu, H.; Shi, D.; Zhang, B. Soil erosion changes over the past five decades in the red soil region of Southern China. J. Mt. Sci. 2010, 7, 92–99. [Google Scholar] [CrossRef]
- Zhang, J.; Zhang, M.; Huang, S.; Zha, X. Assessing spatial variability of soil organic carbon and total nitrogen in eroded hilly region of subtropical China. PLoS ONE 2020, 15, e0244322. [Google Scholar] [CrossRef]
- Chen, L.; Gong, J.; Fu, B.; Huang, Z.; Huang, Y.; Gui, L. Effect of land use conversion on soil organic carbon sequestration in the loess hilly area, loess plateau of China. Ecol. Res. 2007, 22, 641–648. [Google Scholar] [CrossRef]
- Korkan, S.Y.; Ahin, H. The Effects of Mulching with Organic Materials on the Soil Nutrient and Carbon Transport by Runoff under Simulated Rainfall Conditions. J. Afr. Earth Sci. 2021, 176, 104152. [Google Scholar] [CrossRef]
- Worrall, F.; Burt, T.P. Flux of dissolved organic carbon from U.K. rivers. Glob. Biogeochem. Cycles 2007, 21. [Google Scholar] [CrossRef]
- Shi, X.; Wang, H.; Yu, D.; Weindorf, D.C.; Cheng, X.; Pan, X.; Sun, W.; Chen, J. Potential for soil carbon sequestration of eroded areas in subtropical China. Soil Tillage Res. 2009, 105, 322–327. [Google Scholar] [CrossRef]
- Richter, D.D.; Markewitz, D.; Trumbore, S.E.; Wells, C.G. Rapid accumulation and turnover of soil carbon in a re-establishing forest. Nature 1999, 400, 56–58. [Google Scholar] [CrossRef]
- Thurner, M.; Beer, C.; Carvalhais, N.; Forkel, M.; Santoro, M.; Tum, M.; Schmullius, C. Large-scale variation in boreal and temperate forest carbon turnover rate related to climate. Geophys. Res. Lett. 2016, 43, 4576–4585. [Google Scholar] [CrossRef]
- Grossiord, C.; Mareschal, L.; Epron, D. Transpiration alters the contribution of autotrophic and heterotrophic components of soil CO2 efflux. New Phytol. 2012, 194, 647–653. [Google Scholar] [CrossRef] [PubMed]
- Lichter, J.; Billings, S.A.; Ziegler, S.E.; Gaindh, D.; Schlesinger, W.H. Soil carbon sequestration in a pine forest after 9 years of atmospheric CO2 enrichment. Glob. Chang. Biol. 2010, 14, 2910–2922. [Google Scholar] [CrossRef]
- Vesterdal, L.; Clarke, N.; Sigurdsson, B.D.; Gundersen, P. Do tree species influence soil carbon stocks in temperate and boreal forests? For. Ecol. Manag. 2013, 309, 4–18. [Google Scholar]
- Su, F.; Xu, S.; Sayer, E.J.; Chen, W.; Du, Y.; Lu, X. Distinct storage mechanisms of soil organic carbon in coniferous forest and evergreen broadleaf forest in tropical China. J. Environ. Manag. 2021, 295, 113142. [Google Scholar] [CrossRef]
- Díaz-Pinés, E.; Rubio, A.; Miegroet, H.V.; Montes, F.; Benito, M. Does tree species composition control soil organic carbon pools in Mediterranean mountain forests? For. Ecol. Manag. 2011, 262, 1895–1904. [Google Scholar] [CrossRef]
- Jandl, R.; Lindner, M.; Vesterdal, L.; Auwens, B.B.; Baritz, R.; Hagedorn, F.; Johnson, D.W.; Minkkinen, K.; Byrne, K.A. How strongly can forest management influence soil carbon sequestration? Geoderma 2007, 137, 253–268. [Google Scholar]
- Li, Y.; Xu, M.; Zou, X.; Shi, P.; Zhang, Y. Comparing soil organic carbon dynamics in plantation and secondary forest in wet tropics in Puerto Rico. Glob. Chang. Biol. 2010, 11, 239–248. [Google Scholar] [CrossRef]
- Spivak, A.C.; Sanderman, J.; Bowen, J.L.; Canuel, E.A.; Hopkinson, C.S. Global-change controls on soil-carbon accumulation and loss in coastal vegetated ecosystems. Nat. Geosci. 2019, 12, 685–692. [Google Scholar] [CrossRef]
- Tian, J.; Zong, N.; Hartley, I.P.; He, N.; Zhang, J.; Powlson, D.; Zhou, J.; Kuzyakov, Y.; Zhang, F.; Yu, G.; et al. Microbial metabolic response to winter warming stabilizes soil carbon. Glob. Chang. Biol. 2021, 27, 2011–2028. [Google Scholar] [CrossRef]
- Hüblová, L.; Frouz, J. Contrasting effect of coniferous and broadleaf trees on soil carbon storage during reforestation of forest soils and afforestation of agricultural and post-mining soils. J. Environ. Manag. 2021, 290, 112567. [Google Scholar] [CrossRef]
- Guo, G.; Li, X.; Zhu, X.; Xu, Y.; Dai, Q.; Zeng, G.; Lin, J. Effect of Forest Management Operations on Aggregate-Associated SOC Dynamics Using a 137Cs Tracing Method. Forests 2021, 12, 859. [Google Scholar] [CrossRef]
- Deb, S.; Bhadoria, P.B.S.; Mandal, B.; Rakshit, A.; Singh, H.B. Soil organic carbon: Towards better soil health, productivity and climate change mitigation. Clim. Chang. Environ. Sustain. 2015, 3, 26–34. [Google Scholar] [CrossRef]
- Wei, X.; Li, Q.; Liu, Y.; Liu, S.; Guo, X.; Zhang, L.; Niu, D.; Zhang, W. Restoring ecosystem carbon sequestration through afforestation: A sub-tropic restoration case study. For. Ecol. Manag. 2013, 300, 60–67. [Google Scholar] [CrossRef]
- An, S.; Mentler, A.; Mayer, H.; Blum, W.E. Soil aggregation, aggregate stability, organic carbon and nitrogen in different soil aggregate fractions under forest and shrub vegetation on the Loess Plateau, China. Catena 2010, 81, 226–233. [Google Scholar] [CrossRef]
- Eller, H.; Denoth, A. A capacitive soil moisture sensor. J. Hydrol. 1996, 185, 137–146. [Google Scholar] [CrossRef]
- Luan, H.-A.; Yuan, S.; Gao, W.; Tang, J.-W.; Li, R.-N.; Zhang, H.-Z.; Huang, S.-W. Changes in organic C stability within soil aggregates under different fertilization patterns in a greenhouse vegetable field. J. Integr. Agric. 2021, 20, 2758–2771. [Google Scholar] [CrossRef]
- Zhang, X.; Zhang, W.; Sai, X.; Chun, F.; Li, X.; Lu, X.; Wang, H. Grazing altered soil aggregates, nutrients and enzyme activities in a Stipa kirschnii steppe of Inner Mongolia. Soil Tillage Res. 2022, 219, 105327. [Google Scholar] [CrossRef]
- Dong, Q.; Yang, Y.; Yu, K.; Feng, H. Effects of straw mulching and plastic film mulching on improving soil organic carbon and nitrogen fractions, crop yield and water use efficiency in the Loess Plateau, China. Agric. Water Manag. 2018, 201, 133–143. [Google Scholar] [CrossRef]
- Del Galdo, I.; Six, J.; Peressotti, A.; Cotrufo, M.F. Assessing the impact of land-use change on soil C sequestration in agricultural soils by means of organic matter fractionation and stable C isotopes. Glob. Chang. Biol. 2003, 9, 1204–1213. [Google Scholar] [CrossRef]
- Xue, S.; Ye, Y.; Zhu, F.; Wang, Q.; Jiang, J.; Hartley, W. Changes in distribution and microstructure of bauxite residue aggregates following amendments addition. J. Environ. Sci. 2018, 78, 276–286. [Google Scholar] [CrossRef]
- Li, P.; Wang, Q.; Endo, T.; Zhao, X.; Kakubari, Y. Soil organic carbon stock is closely related to aboveground vegetation properties in cold-temperate mountainous forests. Geoderma 2010, 154, 407–415. [Google Scholar] [CrossRef]
- Zhong, Z.; Zhang, X.; Wang, X.; Dai, Y.; Chen, Z.; Han, X.; Yang, G.; Ren, C.; Wang, X. C:N:P stoichiometries explain soil organic carbon accumulation during afforestation. Nutr. Cycl. Agroecosyst. 2020, 117, 243–259. [Google Scholar] [CrossRef]
- Li, J.; Yuan, X.; Ge, L.; Li, Q.; Li, Z.; Wang, L.; Liu, Y. Rhizosphere effects promote soil aggregate stability and associated organic carbon sequestration in rocky areas of desertification. Agric. Ecosyst. Environ. 2020, 304, 107126. [Google Scholar] [CrossRef]
- An, S.-S.; Darboux, F.; Cheng, M. Revegetation as an efficient means of increasing soil aggregate stability on the Loess Plateau (China). Geoderma 2013, 209–210, 75–85. [Google Scholar] [CrossRef]
- Zhao, F.; Han, X.; Yang, G.; Feng, Y.; Ren, G. Soil structure and carbon distribution in subsoil affected by vegetation restoration. Plant Soil Environ. 2014, 60, 21–26. [Google Scholar] [CrossRef]
- Chen, C.; Fang, X.; Xiang, W.; Lei, P.; Ouyang, S.; Kuzyakov, Y. Soil-plant co-stimulation during forest vegetation restoration in a subtropical area of southern China. For. Ecosyst. 2020, 7, 1–17. [Google Scholar] [CrossRef]
- Rinnan, R.; Michelsen, A.; Jonasson, S. Effects of litter addition and warming on soil carbon, nutrient pools and microbial communities in a subarctic heath ecosystem. Appl. Soil Ecol. 2008, 39, 271–281. [Google Scholar] [CrossRef]
- Wang, D.; Yi, W.; Zhou, Y.; He, S.; Tang, L.; Yin, X.; Zhao, P.; Long, G. Intercropping and N application enhance soil dissolved organic carbon concentration with complicated chemical composition. Soil Tillage Res. 2021, 210, 104979. [Google Scholar] [CrossRef]
- Du, Z.; Ren, T.; Hu, C.; Zhang, Q. Transition from intensive tillage to no-till enhances carbon sequestration in microaggregates of surface soil in the North China Plain. Soil Tillage Res. 2015, 146, 26–31. [Google Scholar] [CrossRef]
- Cao, S.; Zhou, Y.; Zhou, Y.; Zhou, X.; Zhou, W. Soil organic carbon and soil aggregate stability associated with aggregate fractions in a chronosequence of citrus orchards plantations. J. Environ. Manag. 2021, 293, 112847. [Google Scholar] [CrossRef]
- De Gryze, S.; Six, J.; Brits, C.; Merckx, R. A quantification of short-term macroaggregate dynamics: Influences of wheat residue input and texture. Soil Biol. Biochem. 2005, 37, 55–66. [Google Scholar] [CrossRef]
- Liu, Z.; Zhang, Y.; Sun, Z.; Sun, Y.; Wang, H.; Zhang, R. Effects of the application of different improved materials on reclaimed soil structure and maize yield of Hollow Village in Loess Area. Sci. Rep. 2022, 12, 7431. [Google Scholar] [CrossRef]
- Wei, C.; Wang, Q.; Ren, M.; Pei, Z.; Lu, J.; Wang, H.; Wang, W. Soil aggregation accounts for the mineral soil organic carbon and nitrogen accrual in broadleaved forests as compared to that of coniferous forests in Northeast China: Cross-sites and multiple species comparisons. Land Degrad. Dev. 2020, 32, 296–309. [Google Scholar] [CrossRef]
- Bossuyt, H.; Six, J.; Hendrix, P.F. Protection of soil carbon by microaggregates within earthworm casts. Soil Biol. Biochem. 2005, 37, 251–258. [Google Scholar] [CrossRef]
- Kurmi, B.; Nath, A.J.; Lal, R.; Das, A.K. Water stable aggregates and the associated active and recalcitrant carbon in soil under rubber plantation. Sci. Total. Environ. 2019, 703, 135498. [Google Scholar] [CrossRef] [PubMed]
- Parent, L.E.; de Almeida, C.X.; Hernandes, A.; Egozcue, J.J.; Gülser, C.; Bolinder, M.A.; Kätterer, T.; Andrén, O.; Parent, S.E.; Anctil, F.; et al. Compositional analysis for an unbiased measure of soil aggregation. Geoderma 2012, 179–180, 123–131. [Google Scholar] [CrossRef]
- Pfeiffer, B.; Fender, A.-C.; Lasota, S.; Hertel, D.; Jungkunst, H.F.; Daniel, R. Leaf litter is the main driver for changes in bacterial community structures in the rhizosphere of ash and beech. Appl. Soil Ecol. 2013, 72, 150–160. [Google Scholar] [CrossRef]
- Castellanos-Barliza, J.; León-Peláez, J.D.; Armenta-Martínez, R.; Barranco-Pérez, W.; Caicedo-Ruíz, W. Contributions of organic matter and nutrients via leaf litter in an urban tropical dry forest fragment. Rev. Biol. Trop. 2018, 66, 571–585. [Google Scholar] [CrossRef]
- Le Bissonnais, Y.; Prieto, I.; Roumet, C.; Nespoulous, J.; Metayer, J.; Huon, S.; Villatoro, M.; Stokes, A. Soil aggregate stability in Mediterranean and tropical agro-ecosystems: Effect of plant roots and soil characteristics. Plant Soil 2018, 424, 303–317. [Google Scholar] [CrossRef]
- Xue, B.; Huang, L.; Huang, Y.; Yin, Z.; Li, X.; Lu, J. Effects of organic carbon and iron oxides on soil aggregate stability under different tillage systems in a rice–rape cropping system. Catena 2019, 177, 1–12. [Google Scholar] [CrossRef]
- Chen, X.; Han, X.-Z.; You, M.-Y.; Yan, J.; Lu, X.-C.; Horwath, W.R.; Zou, W.-X. Soil macroaggregates and organic-matter content regulate microbial communities and enzymatic activity in a Chinese Mollisol. J. Integr. Agric. 2019, 18, 2605–2618. [Google Scholar] [CrossRef]
- Baumert, V.L.; Vasilyeva, N.; Vladimirov, A.A.; Meier, I.C.; Kögel-Knabner, I.; Mueller, C.W. Root Exudates Induce Soil Macroaggregation Facilitated by Fungi in Subsoil. Front. Environ. Sci. 2018, 6, 140. [Google Scholar] [CrossRef]
- Xiao, L.; Zhang, W.; Hu, P.; Xiao, D.; Yang, R.; Ye, Y.; Wang, K. The formation of large macroaggregates induces soil organic carbon sequestration in short-term cropland restoration in a typical karst area. Sci. Total. Environ. 2021, 801, 149588. [Google Scholar] [CrossRef]
- Álvaro-Fuentes, J.; Cantero-Martínez, C.; López, M.V.; Paustian, K.; Denef, K.; Stewart, C.E.; Arrúe, J.L. Soil Aggregation and Soil Organic Carbon Stabilization: Effects of Management in Semiarid Mediterranean Agroecosystems. Soil Sci. Soc. Am. J. 2009, 73, 1519–1529. [Google Scholar] [CrossRef]
- Redin, M.; Recous, S.; Aita, C.; Dietrich, G.; Skolaude, A.C.; Ludke, W.H.; Schmatz, R.; Giacomini, S.J. How the chemical composition and heterogeneity of crop residue mixtures decomposing at the soil surface affects C and N mineralization. Soil Biol. Biochem. 2014, 78, 65–75. [Google Scholar] [CrossRef]
- Cao, Z.; Fang, X.; Xiang, W.; Lei, P.; Peng, C. The Vertical Differences in the Change Rates and Controlling Factors of Soil Organic Carbon and Total Nitrogen along Vegetation Restoration in a Subtropical Area of China. Sustainability 2020, 12, 6443. [Google Scholar] [CrossRef]
- Bruckman, V.J.; Yan, S.; Hochbichler, E.; Glatzel, G. Carbon pools and temporal dynamics along a rotation period in Quercus dominated high forest and coppice with standards stands. For. Ecol. Manag. 2011, 262, 1853–1862. [Google Scholar] [CrossRef]
- Xu, J.-W.; Ding, Y.-D.; Li, S.-L.; Mao, R. Amount and biodegradation of dissolved organic matter leached from tree branches and roots in subtropical plantations of China. For. Ecol. Manag. 2021, 484, 118944. [Google Scholar] [CrossRef]
- Xu, X.; Li, K. Biomass carbon sequestration by planted forests in China. Chin. Geogr. Sci. 2010, 20, 289–297. [Google Scholar] [CrossRef]
- Lal, R. Forest soils and carbon sequestration. For. Ecol. Manag. 2005, 220, 242–258. [Google Scholar] [CrossRef]
- Blaško, R.; Forsmark, B.; Gundale, M.J.; Lundmark, T.; Nordin, A. Impacts of tree species identity and species mixing on ecosystem carbon and nitrogen stocks in a boreal forest. For. Ecol. Manag. 2020, 458, 117783. [Google Scholar] [CrossRef]
- Gu, X.; Fang, X.; Xiang, W.; Zeng, Y.; Zhang, S.; Lei, P.; Peng, C.; Kuzyakov, Y. Vegetation restoration stimulates soil carbon sequestration and stabilization in a subtropical area of southern China. Catena 2019, 181, 104098. [Google Scholar] [CrossRef]
- Zhang, F.L. Effect of Vegetation Changes on Soil Erosion on the Loess Plateau. Pedosphere 2006, 16, 420–427. [Google Scholar] [CrossRef]








| Sample Numble | Reforestation Modle | Forest Proportion | Longitude/ Latitude | Elevation (m) | Forest Vegetation | |||||
|---|---|---|---|---|---|---|---|---|---|---|
| Bush | Herb | |||||||||
| Family | Genus | Species | Family | Genus | Species | |||||
| 1-1 | LF | 114°49′19″ N, 26°54′32″ E | 114 | 8 | 10 | 10 | 7 | 8 | 8 | |
| 1-2 | LF | 114°49′5″ N, 26°54′47″ E | 114 | 3 | 3 | 3 | 2 | 2 | 2 | |
| 1-3 | LF | 114°51′4″ N, 26°55′48″ E | 113 | 9 | 11 | 11 | 10 | 11 | 11 | |
| 1-4 | LF | 114°49′5″ N, 26°54′47″ E | 118 | 6 | 7 | 7 | 8 | 10 | 10 | |
| 2-1 | SS | 114°49′23″ N, 26°54′36″ E | 109 | 5 | 5 | 5 | 6 | 6 | 6 | |
| 2-2 | SS | 114°49′16″ N, 26°54′29″ E | 102 | 4 | 4 | 4 | 5 | 5 | 5 | |
| 2-3 | SS | 114°49′8″ N, 26°54′43″ E | 87 | 0 | 0 | 0 | 0 | 0 | 0 | |
| 2-4 | SS | 114°49′30″ N, 26°54′40″ E | 87 | 0 | 0 | 0 | 0 | 0 | 0 | |
| 3-1 | PM | 114°48′58″ N, 26°54′54″ E | 124 | 4 | 6 | 6 | 7 | 7 | 7 | |
| 3-2 | PM | 114°49′5″ N, 26°54′47″ E | 111 | 5 | 6 | 7 | 7 | 7 | 7 | |
| 3-3 | PM | 114°49′19″ N, 26°54′47″ E | 102 | 7 | 7 | 7 | 5 | 5 | 5 | |
| 3-4 | PM | 114°49′1″ N, 26°54′43″ E | 109 | 0 | 0 | 0 | 0 | 0 | 0 | |
| 4-1 | LF × SS | LF:SS = 1:2 | 114°49′12″ N, 26°54′36″ E | 108 | 8 | 8 | 9 | 6 | 6 | 6 |
| 4-2 | LF × SS | LF:SS = 1:1 | 114°49′8″ N, 26°54′36″ E | 113.7 | 7 | 7 | 8 | 5 | 5 | 5 |
| 4-3 | LF × SS | LF:SS = 3:2 | 114°49′8″ N, 26°54′43″ E | 109 | 8 | 10 | 11 | 8 | 9 | 9 |
| 4-4 | LF × SS | LF:SS = 1:1 | 114°49′5″ N, 26°54′43″ E | 102 | 5 | 5 | 5 | 6 | 6 | 6 |
| 5-1 | LF × SS × PM | LF:SS:PM = 3:2:1 | 114°49′8″ N, 26°54′54″ E | 97 | 8 | 8 | 8 | 4 | 6 | 6 |
| 5-2 | LF × SS × PM | LF:SS:PM = 1:2:3 | 114°49′8″ N, 26°54′54″ E | 106 | 5 | 5 | 5 | 2 | 2 | 2 |
| 5-3 | LF × SS × PM | LF:SS:PM = 2:2:1 | 114°49′12″ N, 26°55′12″ E | 80 | 7 | 7 | 7 | 3 | 5 | 5 |
| 5-4 | LF × SS × PM | LF:SS:PM = 2:2:3 | 114°49′1″ N, 26°55′8″ E | 76 | 7 | 7 | 7 | 5 | 6 | 6 |
| 6-1 | CK | 114°55′16″ N, 26°55′17″ E | 82 | 0 | 0 | 0 | 0 | 0 | 0 | |
| 6-2 | CK | 114°49′26″ N, 26°55′12″ E | 81 | 0 | 0 | 0 | 0 | 0 | 0 | |
| 6-3 | CK | 114°49′16″ N, 26°54′40″ E | 109 | 0 | 0 | 0 | 0 | 0 | 0 | |
| 6-4 | CK | 114°49′16″ N, 26°54′40″ E | 108 | 0 | 0 | 0 | 0 | 0 | 0 | |
| Physicochemical Properties | Soil Layers | Moisture (%) | pH | BD (g·cm−3) | TN (g·kg−1) | C:N | SOC (g·kg−1) | SOC-Stock (kg·m−2) |
|---|---|---|---|---|---|---|---|---|
| LF | 0–10 cm | 0.12 ± 0.01 BCa | 4.74 ± 0.02 Aa | 1.19 ± 0.06 Ba | 0.92 ± 0.01 Ba | 22.23 ± 1.16 Ba | 20.38 ± 1.05 ABa | 2.56 ± 0.40 Aa |
| 10–20 cm | 0.12 ± 0.01 Aab | 4.63 ± 0.00 Ba | 1.18 ± 0.04 Bab | 0.67 ± 0.01 Bb | 19.75 ± 0.90 Ab | 13.16 ± 0.71 BCb | 1.45 ± 0.24 Ab | |
| 20–40 cm | 0.13 ± 0.00 Ab | 4.57 ± 0.01 Ca | 1.16 ± 0.05 Bb | 0.57 ± 0.02 Bc | 13.92 ± 0.56 Bc | 7.93 ± 0.32 Bc | 0.82 ± 0.12 Ab | |
| SS | 0–10 cm | 0.15 ± 0.01 ABa | 4.73 ± 0.02 Aa | 1.12 ± 0.03 ABa | 1.05 ± 0.02 Aa | 22.13 ± 0.34 Ba | 23.10 ± 0.87 Aa | 2.48 ± 0.34 Aa |
| 10–20 cm | 0.13 ± 0.00 Ab | 4.71 ± 0.01 Aa | 1.14 ± 0.03 Ba | 0.79 ± 0.01 Ab | 15.24 ± 0.60 BCb | 12.04 ± 0.55 ABb | 1.34 ± 0.23 Ab | |
| 20–40 cm | 0.12 ± 0.00 Ab | 4.71 ± 0.01 Aa | 1.13 ± 0.03 Bb | 0.59 ± 0.02 ABc | 12.95 ± 0.79 BCc | 7.69 ± 0.59 Bc | 0.79 ± 0.12 Ab | |
| PM | 0–10 cm | 0.12 ± 0.01 Ca | 4.57 ± 0.04 Ba | 1.16 ± 0.01 ABa | 0.73 ± 0.02 Ca | 29.54 ± 0.83 Aa | 21.66 ± 0.48 Aa | 2.49 ± 0.32 Aa |
| 10–20 cm | 0.13 ± 0.01 Aa | 4.57 ± 0.02 Ca | 1.17 ± 0.03 Ba | 0.67 ± 0.01 Bb | 16.09 ± 0.66 Ab | 10.72 ± 0.43 ABb | 1.31 ± 0.09 Ab | |
| 20–40 cm | 0.13 ± 0.01 Aa | 4.57 ± 0.01 Ca | 1.15 ± 0.02 Bb | 0.54 ± 0.02 Bc | 17.12 ± 0.61 Ab | 9.26 ± 0.60 Ac | 1.05 ± 0.09 Ab | |
| LF × SS | 0–10 cm | 0.15 ± 0.00 Aa | 4.64 ± 0.01 Ba | 1.16 ± 0.03 ABa | 1.08 ± 0.01 Aa | 20.27 ± 0.52 Ba | 21.83 ± 0.68 ABa | 2.40 ± 0.19 Aa |
| 10–20 cm | 0.13 ± 0.01 Aa | 4.63 ± 0.01 Bb | 1.16 ± 0.02 Bb | 0.75 ± 0.02 Ab | 13.55 ± 0.17 Ca | 10.17 ± 0.33 Cb | 1.20 ± 0.11 Ab | |
| 20–40 cm | 0.13 ± 0.00 Aa | 4.32 ± 0.01 Bc | 1.16 ± 0.01 Bb | 0.59 ± 0.02 ABc | 12.08 ± 0.19 Cb | 7.08 ± 0.10 Bc | 0.86 ± 0.05 Ab | |
| LF × SS × PM | 0–10 cm | 0.11 ± 0.01 Ca | 4.73 ± 0.03 Aa | 1.26 ± 0.06 Aa | 0.73 ± 0.02 Ca | 6.53 ± 0.33 Dc | 4.72 ± 0.11 Ca | 2.55 ± 0.14 Aa |
| 10–20 cm | 0.11 ± 0.01 Aa | 4.73 ± 0.01 Aa | 1.23 ± 0.05 ABb | 0.58 ± 0.01 Ca | 8.05 ± 0.18 Da | 4.69 ± 0.09 Da | 1.42 ± 0.25 Ab | |
| 20–40 cm | 0.11 ± 0.01 Aa | 4.72 ± 0.01 Aa | 1.21 ± 0.05 ABb | 0.63 ± 0.01 Cb | 7.32 ± 0.12 Db | 4.62 ± 0.09 Ca | 0.82 ± 0.17 Ab | |
| CK | 0–10 cm | 0.12 ± 0.01 BCa | 4.74 ± 0.02 Aa | 1.22 ± 0.02 ABa | 0.63 ± 0.02 Db | 9.23 ± 1.05 Ca | 5.89 ± 0.80 Ca | 0.61 ± 0.11 Ba |
| 10–20 cm | 0.11 ± 0.01 Aa | 4.73 ± 0.01 Aa | 1.29 ± 0.03 Aa | 0.45 ± 0.02 Da | 6.40 ± 1.07 Dab | 2.89 ± 0.52 Eb | 0.37 ± 0.09 Ba | |
| 20–40 cm | 0.11 ± 0.01 Aa | 4.73 ± 0.02 Aa | 1.29 ± 0.02 Aa | 0.47 ± 0.02 Db | 3.98 ± 0.59 Eb | 1.85 ± 0.21 Dc | 0.30 ± 0.10 Ba |
| Serial Number | Full Name of Indicator | Abbreviations | Unit |
|---|---|---|---|
| 1 | Soil bulk density | BD | g·cm−3 |
| 2 | Total soil nitrogen | TN | g·kg−1 |
| 3 | Total soil carbon and nitrogen ratio | C:N | |
| 4 | Total soil organic carbon | SOC | g·kg−1 |
| 5 | Soil organic carbon stock | SOC-stock | kg·m−2 |
| 6 | Large macroaggregates | >2 mm aggregates | % |
| 7 | Middle macroaggregates | 1–2 mm aggregates | % |
| 8 | Small macroaggregates | 0.25–1 mm aggregates | % |
| 9 | Microaggregates | 0.053–0.25 mm aggregates | % |
| 10 | Clayey silt aggregates | <0.053 mm aggregates | % |
| 11 | Mean weight diameter | MWD | mm |
| 12 | Geometric mean diameter | GMD | mm |
| 13 | Content of >0.25 mm stable aggregates | DR0.25 | % |
| 14 | Fractal dimension | D | |
| 15 | Large macroaggregate organic carbon | >2 mm aggregate-C | g·kg−1 |
| 16 | Middle macroaggregate organic carbon | 1–2 mm aggregate-C | g·kg−1 |
| 17 | Small macroaggregate organic carbon | 0.25–1 mm aggregate-C | g·kg−1 |
| 18 | Microaggregate organic carbon | 0.053–0.25 mm aggregate-C | g·kg−1 |
| 19 | Clayey silt aggregate organic carbon | <0.053 mm aggregate-C | g·kg−1 |
| 20 | Phospholipid fatty acid | PLFA | |
| 21 | Arbuscular mycorrhizal fungi | AMF |
Disclaimer/Publisher’s Note: The statements, opinions and data contained in all publications are solely those of the individual author(s) and contributor(s) and not of MDPI and/or the editor(s). MDPI and/or the editor(s) disclaim responsibility for any injury to people or property resulting from any ideas, methods, instructions or products referred to in the content. |
© 2023 by the authors. Licensee MDPI, Basel, Switzerland. This article is an open access article distributed under the terms and conditions of the Creative Commons Attribution (CC BY) license (https://creativecommons.org/licenses/by/4.0/).
Share and Cite
Ke, Y.; Li, H.; Luo, T.; Chen, B.; Wang, Q.; Jiang, X.; Liu, W. Reforestation Increases the Aggregate Organic Carbon Concentration Induced by Soil Microorganisms in a Degraded Red Soil, Subtropical China. Microorganisms 2023, 11, 2008. https://doi.org/10.3390/microorganisms11082008
Ke Y, Li H, Luo T, Chen B, Wang Q, Jiang X, Liu W. Reforestation Increases the Aggregate Organic Carbon Concentration Induced by Soil Microorganisms in a Degraded Red Soil, Subtropical China. Microorganisms. 2023; 11(8):2008. https://doi.org/10.3390/microorganisms11082008
Chicago/Turabian StyleKe, Yunfang, Hui Li, Tianyu Luo, Baodong Chen, Qiong Wang, Xueru Jiang, and Wei Liu. 2023. "Reforestation Increases the Aggregate Organic Carbon Concentration Induced by Soil Microorganisms in a Degraded Red Soil, Subtropical China" Microorganisms 11, no. 8: 2008. https://doi.org/10.3390/microorganisms11082008
APA StyleKe, Y., Li, H., Luo, T., Chen, B., Wang, Q., Jiang, X., & Liu, W. (2023). Reforestation Increases the Aggregate Organic Carbon Concentration Induced by Soil Microorganisms in a Degraded Red Soil, Subtropical China. Microorganisms, 11(8), 2008. https://doi.org/10.3390/microorganisms11082008

