On the Negative Impact of Mycorrhiza Application on Maize Plants (Zea mays) Amended with Mineral and Organic Fertilizer
Abstract
1. Introduction
2. Materials and Methods
2.1. Study Area and Experimental Setup
2.2. Data Sampling and Statistical Analysis
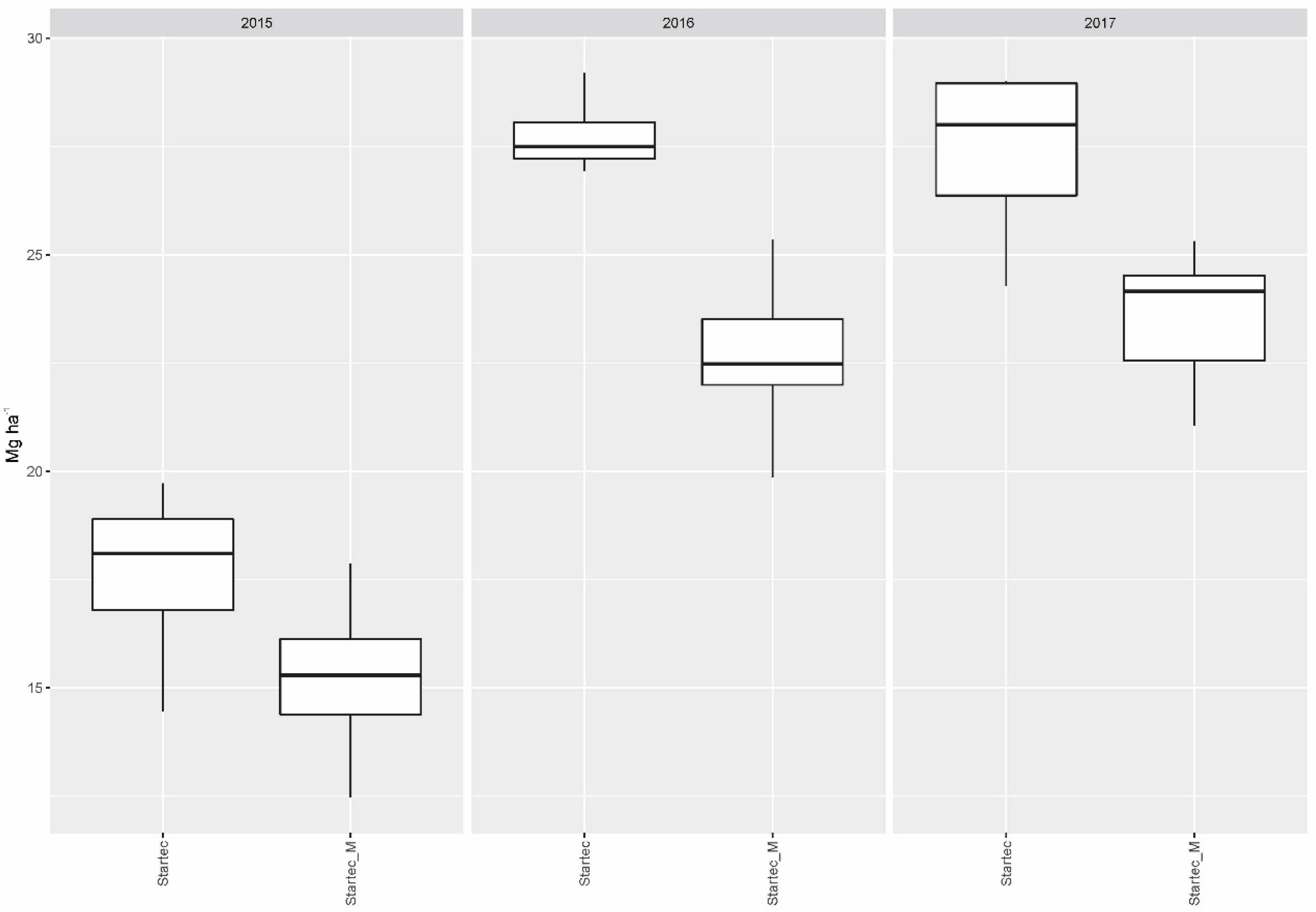
3. Results
Interactions between Applied Mycorrhiza (M) and Bacteria (Bac) Products, and the Influence of Their Application on Different Fertilizers
4. Discussion
4.1. Effect of Mycorrhiza Application
4.2. Interaction between Mycorrhiza and the Application of Bacillus velezensis
5. Conclusions
Author Contributions
Funding
Data Availability Statement
Conflicts of Interest
References
- Ricci, M.; Tilbury, L.; Daridon, B.; Sukalac, K. General principles to justify plant biostimulant claims. Front. Plant Sci. 2019, 10, 494. [Google Scholar] [CrossRef] [PubMed]
- Soppelsa, S.; Kelderer, M.; Casera, C.; Bassi, M.; Robatscher, P.; Andreotti, C. Use of biostimulants for organic apple production: Effects on tree growth, yield, and fruit quality at harvest and during storage. Front. Plant Sci. 2018, 9, 1342. [Google Scholar] [CrossRef] [PubMed]
- Povero, G.; Mejia, J.F.; Di Tommaso, D.; Piaggesi, A.; Warrior, P. A systematic approach to discover and characterize natural plant biostimulants. Front. Plant Sci. 2016, 7, 435. [Google Scholar] [CrossRef] [PubMed]
- Ruiz-Lozano, J.M. Arbuscular mycorrhizal symbiosis and alleviation of osmotic stress. New perspectives for molecular studies. Mycorrhiza 2003, 13, 309–317. [Google Scholar] [CrossRef]
- Santander, C.; Aroca, R.; Ruiz-Lozano, J.M.; Olave, J.; Cartes, P.; Borie, F.; Cornejo, P. Arbuscular mycorrhiza effects on plant performance under osmotic stress. Mycorrhiza 2017, 27, 639–657. [Google Scholar] [CrossRef]
- Eulenstein, F.; Tauschke, M.; Behrendt, A.; Monk, J.; Schindler, U.; Lana, M.A.; Monk, S. The Application of Mycorrhizal Fungi and Organic Fertilisers in Horticultural Potting Soils to Improve Water Use Efficiency of Crops. Horticulturae 2017, 3, 8. [Google Scholar] [CrossRef]
- Pons, C.; Voß, A.C.; Schweiger, R.; Müller, C. Effects of drought and mycorrhiza on wheat and aphid infestation. Ecol. Evol. 2020, 10, 10481–10491. [Google Scholar] [CrossRef]
- Allen, E.B.; Allen, M.F. Water relations of xeric grasses in the field: Interactions of mycorrhizas and competition. New Phytol. 1986, 104, 559–571. [Google Scholar] [CrossRef]
- Egerton-Warburton, L.M.; Allen, M.F. Endo- and ectomycorrhizas in Quercus agrifolia Nee. (Fagaceae): Patterns of root colonization and effects on seedling growth. Mycorrhiza 2001, 11, 283–290. [Google Scholar] [CrossRef]
- Boomsma, C.R.; Vyn, T.J. Maize drought tolerance: Potential improvements through arbuscular mycorrhizal symbiosis? Field Crops Res. 2008, 108, 14–31. [Google Scholar] [CrossRef]
- Jacott, C.N.; Murray, J.D.; Ridout, C.J. Trade-offs in arbuscular mycorrhizal symbiosis: Disease resistance, growth responses and perspectives for crop breeding. Agronomy 2017, 7, 75. [Google Scholar] [CrossRef]
- Ioannidis, J.P. Why most published research findings are false. PLoS Med. 2005, 2, e124. [Google Scholar] [CrossRef]
- Fanelli, D. Negative results are disappearing from most disciplines and countries. Scientometrics 2012, 90, 891–904. [Google Scholar] [CrossRef]
- Mlinarić, A.; Horvat, M.; Šupak Smolčić, V. Dealing with the positive publication bias: Why you should really publish your negative results. Biochem. Med. 2017, 27, 447–452. [Google Scholar] [CrossRef] [PubMed]
- Allen, M.F.; Swenson, W.; Querejeta, J.I.; Egerton-Warburton, L.M.; Treseder, K.K. Ecology of mycorrhizae: A conceptual framework for complex interactions among plants and fungi. Annu. Rev. Phytopathol. 2003, 41, 271–303. [Google Scholar] [CrossRef]
- Frey-Klett, P.; Garbaye, J.; Tarkka, M. The mycorrhiza helper bacteria revisited. New Phytol. 2007, 176, 22–36. [Google Scholar] [CrossRef]
- Allen, B.A.; Cunningham, G.L. Effects of vesicular-arbuscular Mycorrhizzae on Distichlis spicata under three salinity levels. New Phytol. 1982, 93, 227–236. [Google Scholar] [CrossRef]
- Klironomos, J.N. Variation in plant response to native and exotic arbuscular mycorrhizal fungi. Ecology 2003, 84, 2292–2301. [Google Scholar] [CrossRef]
- Jäderlund, L.; Arthurson, V.; Granhall, U.; Jansson, J.K. Specific interactions between arbuscular mycorrhizal fungi and plant growth-promoting bacteria: As revealed by different combinations. FEMS Microbiol. 2008, 287, 174–180. [Google Scholar] [CrossRef] [PubMed]
- Yadav, R.; Ror, P.; Rathore, P.; Ramakrishna, W. Bacteria from native soil in combination with arbuscular mycorrhizal fungi augment wheat yield and biofortification. Plant Physiol. Biochem. 2020, 150, 222–233. [Google Scholar] [CrossRef]
- Rozmoš, M.; Bukovská, P.; Hršelová, H.; Kotianová, M.; Dudáš, M.; Gančarčíková, K.; Jansa, J. Organic nitrogen utilisation by an arbuscular mycorrhizal fungus is mediated by specific soil bacteria and a protist. ISME J. 2021, 16, 676–685. [Google Scholar] [CrossRef] [PubMed]
- Bowen, G.D.; Theodorou, C. Interactions between bacteria and ectomycorrhizal fungi. Soil Biol. Biochem. 1979, 11, 119–126. [Google Scholar] [CrossRef]
- Garbaye, J. Tansley review no. 76 helper bacteria: A new dimension to the mycorrhizal symbiosis. New Phytol. 1994, 128, 197–210. [Google Scholar] [CrossRef]
- Founoune, H.; Duponnois, R.; Ba, A.M.; Sall, S.; Branget, I.; Lorquin, J.; Neyra, M.; Chotte, J.L. Mycorrhiza helper bacteria stimulate ectomycorrhizal symbiosis of Acacia holosericea with Pisolithus alba. New Phytol. 2002, 153, 81–89. [Google Scholar] [CrossRef]
- Bashan, Y.; de-Bashan, L.E.; Prabhu, S.R.; Hernandez, J.P. Advances in plant growth-promoting bacterial inoculant technology: Formulations and practical perspectives (1998–2013). Plant Soil. 2014, 378, 1–33. [Google Scholar] [CrossRef]
- Tinker, P.B.; Durall, D.M.; Jones, M.D. Carbon use efficiency in mycorrhizas theory and sample calculations. New Phytol. 1994, 128, 115–122. [Google Scholar] [CrossRef]
- Aikio, S.; Ruotsalainen, A. The modelled growth of mycorrhizal and non-mycorrhizal plants under constant versus variable soil nutrient concentration. Mycorrhiza 2002, 12, 257–261. [Google Scholar] [CrossRef]
- Sylvia, D.M.; Hammond, L.C.; Bennett, J.M.; Haas, J.H.; Linda, S.B. Field response of maize to a VAM fungus and water management. Agron. J. 1993, 85, 193–198. [Google Scholar] [CrossRef]
- Wu, W.-J.; Zou, Y.-N.; Hashem, A.; Avila-Quezada, G.D.; Abd_Allah, E.F.; Wu, Q.-S. Rhizoglomus intraradices Is More Prominent in Improving Soil Aggregate Distribution and Stability Than in Improving Plant Physiological Activities. Agronomy 2023, 13, 1427. [Google Scholar] [CrossRef]
- Sun, J.; Jia, Q.; Li, Y.; Zhang, T.; Chen, J.; Ren, Y.; Dong, K.; Xu, S.; Shi, N.-N.; Fu, S. Effects of Arbuscular Mycorrhizal Fungi and Biochar on Growth, Nutrient Absorption, and Physiological Properties of Maize (Zea mays L.). J. Fungi 2022, 8, 1275. [Google Scholar] [CrossRef]
- Real-Santillán, R.O.; Del-Val, E.; Cruz-Ortega, R.; Contreras-Cornejo, H.Á.; González-Esquivel, C.E.; Larsen, J. Increased maize growth and P uptake promoted by arbuscular mycorrhizal fungi coincide with higher foliar herbivory and larval biomass of the Fall Armyworm Spodoptera frugiperda. Mycorrhiza 2019, 29, 615–622. [Google Scholar] [CrossRef] [PubMed]
- Liu, A.; Hamel, C.; Hamilton, R.I.; Ma, B.L.; Smith, D.L. Acquisition of Cu, Zn, Mn and Fe by mycorrhizal maize (Zea mays L.) grown in soil at different P and micronutrient levels. Mycorrhiza 2000, 9, 331–336. [Google Scholar] [CrossRef]
- Buzo, F.d.S.; Garcia, N.F.S.; Garé, L.M.; Gato, I.M.B.; Martins, J.T.; Martins, J.O.M.; Morita, P.R.d.S.; Silva, M.S.R.d.A.; Sales, L.Z.d.S.; Nogales, A.; et al. Phosphate Fertilization and Mycorrhizal Inoculation Increase Corn Leaf and Grain Nutrient Contents. Agronomy 2022, 12, 1597. [Google Scholar] [CrossRef]
- Calvo, P.; Nelson, L.; Kloepper, J.W. Agricultural uses of plant biostimulants. Plant Soil. 2014, 383, 3–41. [Google Scholar] [CrossRef]
- Köppen, W.; Geiger, R. Handbuch der Klimatologie, 1. Auflage; Gebrüder Bornträger: Berlin, Germany, 1930. [Google Scholar]
- R Core Team. R: A Language and Environment for Statistical Computing; R Foundation for Statistical Computing: Vienna, Austria, 2017. [Google Scholar]
- Wickham, H.; François, R.; Henry, L.; Müller, K. dplyr: A Grammar of Data Manipulation. R Package Version 0.7.6. 2018. Available online: https://CRAN.R-project.org/package=dplyr (accessed on 17 January 2022).
- Wickham, H. Ggplot2: Elegant Graphics for Data Analysis; Springer: NewYork, NY, USA, 2009. [Google Scholar]
- Koide, R. The nature of growth depressions in sunflower caused by vesicular–arbuscular mycorrhizal infection. New Phytol. 1985, 99, 449–462. [Google Scholar] [CrossRef]
- Arihara, J.; Karasawa, T. Effect of previous crops on arbuscular mycorrhizal formation and growth of succeeding maize. Soil Sci. Plant Nutr. 2000, 46, 43–51. [Google Scholar] [CrossRef]
- Al-Karaki, G.; McMichael, B.Z.A.K.J.; Zak, J. Field response of wheat to arbuscular mycorrhizal fungi and drought stress. Mycorrhiza 2004, 14, 263–269. [Google Scholar] [CrossRef]
- Govarthanan, M.; Park, S.H.; Park, Y.J.; Myung, H.; Krishnamurthy, R.R.; Lee, S.H.; Lovanh, N.; Kamala-Kannan, S.; Oh, B.T. Lead biotransformation potential of allochthonous Bacillus sp. SKK11 with sesame oil cake extract in mine soil. RSC Adv. 2015, 5, 54564–54570. [Google Scholar] [CrossRef]
- Ramachandran, S.; Singh, S.K.; Larroche, C.; Soccol, C.R.; Pandey, A. Oil cakes and their biotechnological applications—A review. Bioresour. Technol. 2007, 98, 2000–2009. [Google Scholar] [CrossRef]
- Mondini, C.; Cayuela, M.L.; Sinicco, T.; Sánchez-Monedero, M.A.; Bertolone, E.; Bardi, L. Soil application of meat and bone meal. Short-term effects on mineralization dynamics and soil biochemical and microbiological properties. Soil Biol. Biochem. 2008, 40, 462–474. [Google Scholar] [CrossRef]
- Liu, X.; Selonen, V.; Steffen, K.; Surakka, M.; Rantalainen, A.L.; Romantschuk, M.; Sinkkonen, A. Meat and bone meal as a novel biostimulation agent in hydrocarbon contaminated soils. Chemosphere 2019, 225, 574–578. [Google Scholar] [CrossRef]
- Gange, A.C.; Ayres, R.L. On the relation between arbuscular mycorrhizal colonization and plant ‘benefit’. Oikos 1999, 87, 615–621. [Google Scholar] [CrossRef]
- Nacoon, S.; Jogloy, S.; Riddech, N.; Mongkolthanaruk, W.; Ekprasert, J.; Cooper, J.; Boonlue, S. Combination of arbuscular mycorrhizal fungi and phosphate solubilizing bacteria on growth and production of Helianthus tuberosus under field condition. Sci. Rep. 2021, 11, 6501. [Google Scholar] [CrossRef]
- Kloepper, J.W.; Leong, J.; Teintze, M.; Schroth, M.N. Enhanced plant growth by siderophores produced by plant growth-promoting rhizobacteria. Nature 1980, 286, 885–886. [Google Scholar] [CrossRef]
- Mao, W.; Lumsden, R.D.; Lewis, J.A.; Hebbar, P.K. Seed treatment using pre-infiltration and biocontrol agents to reduce damping-off of corn caused by species of Pythium and Fusarium. Plant Dis. 1998, 82, 294–299. [Google Scholar] [CrossRef] [PubMed]
- Oberson, A.; Friesen, D.K.; Rao, I.M.; Bühler, S.; Frossard, E. Phosphorus transformations in an Oxisol under contrasting land-use systems: The role of the soil microbial biomass. Plant Soil. 2001, 237, 197–210. [Google Scholar] [CrossRef]
- Bonkowski, M. Protozoa and plant growth: The microbial loop in soil revisited. New Phytol. 2004, 162, 617–631. [Google Scholar] [CrossRef]
- Araújo, F.F.; Henning, A.A.; Hungria, M. Phytohormones and antibiotics produced by Bacillus subtilis and their effects on seed pathogenic fungi and on soybean root development. World J. Microbiol. Biotechnol. 2005, 21, 1639–1645. [Google Scholar] [CrossRef]
- Cavaglieri, L.; Orlando, J.R.M.I.; Rodríguez, M.I.; Chulze, S.; Etcheverry, M. Biocontrol of Bacillus subtilis against Fusarium verticillioides in vitro and at the maize root level. Res. Microbiol. 2005, 156, 748–754. [Google Scholar] [CrossRef]
- Khan, M.S.; Zaidi, A.; Wani, P.A. Role of phosphate-solubilizing microorganisms in sustainable agriculture—A review. Agron. Sustain. Dev. 2007, 27, 29–43. [Google Scholar] [CrossRef]
- Achat, D.L.; Morel, C.; Bakker, M.R.; Augusto, L.; Pellerin, S.; Gallet-Budynek, A.; Gonzalez, M. Assessing turnover of microbial biomass phosphorus: Combination of an isotopic dilution method with a mass balance model. Soil Biol. Biochem. 2010, 42, 2231–2240. [Google Scholar] [CrossRef]
- Fan, B.; Wang, C.; Song, X.; Ding, X.; Wu, L.; Wu, H.; Gao, X.; Borris, R. Bacillus velezensis FZB42 in 2018: The Gram-Positive Model Strain for Plant Growth Promotion and Biocontrol. Front. Microbiol. 2018, 9, 2491. [Google Scholar] [CrossRef] [PubMed]
- Cozzolino, V.; Monda, H.; Savy, D.; Di Meo, V.; Vinci, G.; Smalla, K. Cooperation among phosphate-solubilizing bacteria, humic acids and arbuscular mycorrhizal fungi induces soil microbiome shifts and enhances plant nutrient uptake. Chem. Biol. Technol. Agric. 2021, 8, 31. [Google Scholar] [CrossRef]
- Hansen, V.; Bonnichsen, L.; Nunes, I.; Sexlinger, K.; Lopez, S.R.; van der Bom, F.J.T.; Nybroje, O.; Nicolaisen, M.H.; Jensen, L.S. Seed inoculation with Penicillium bilaiae and Bacillus simplex affects the nutrient status of winter wheat. Biol. Fertil. Soils 2020, 56, 97–109. [Google Scholar] [CrossRef]
- Artursson, V. Bacterial-Fungal Interactions Highlighted Using Microbiomeics. Ph.D. Thesis, Uppsala Universitet, Uppsala, Sweden, 15 December 2005. [Google Scholar]



| Nutrient Type and Input Rate Per Hectare | |||||||||
|---|---|---|---|---|---|---|---|---|---|
| Fertilizer (Type 1) | Application Rate Per Hectare in kg | N | P | K | S | Mg | Fe | Mn | Zn |
| Diammonium Phosphate (mineral fertilizer) | 100 | 18 | 20 | - | - | - | - | - | - |
| Wolf-nutraxP® (mineral microgranular fertilizer) | 100 | 11 | 0.2 | - | 8.8 | 7.5 | - | 0.4 | 0.1 |
| Startec | 25 | 1.75 | 2.4 | 0.8 | 1 | - | 0.125 2 | 0.125 2 | 0.375 2,3 |
| (organomineral microgranular fertilizer) | |||||||||
| Pre-treatment of the soil with pig slurry | 20,000 | 172 | 39 | 98 | 48 | 21.6 | - | - | - |
| Fertilizer Combination | Only Slurry (Null/Control) | Null Bac | Null M | Null Bac_M | DAP | DAP Bac | DAP M | DAP Bac_M |
|---|---|---|---|---|---|---|---|---|
| Year 2015 | 59.3 | 57.0 | 63.5 | 59.3 | 60.4 | 60.5 | 62.3 | 54.0 |
| Year 2016 | 67.0 | 67.5 | 66.8 | 68.0 | 67.5 | 66.8 | 64.5 | 68.0 |
| Year 2017 | 55.8 | 59.0 | 57.5 | 57.8 | 57.4 | 61.5 | 57.5 | 61.0 |
| Fertilizer Combination | WolfNP | WolfNP Bac | WolfNP M | WolfNP Bac_M | Startec | Startec Bac | Startec M | Startec Bac_M |
| Year 2015 | 64.0 | 59.8 | 63.0 | 55.3 | 62.0 | 58.5 | 65.3 | 58.0 |
| Year 2016 | 66.5 | 65.8 | 65.5 | 67.5 | 67.3 | 68.0 | 67.4 | 67.8 |
| Year 2017 | 58.3 | 59.3 | 57.0 | 57.3 | 56.3 | 55.3 | 58.9 | 59.3 |
Disclaimer/Publisher’s Note: The statements, opinions and data contained in all publications are solely those of the individual author(s) and contributor(s) and not of MDPI and/or the editor(s). MDPI and/or the editor(s) disclaim responsibility for any injury to people or property resulting from any ideas, methods, instructions or products referred to in the content. |
© 2023 by the authors. Licensee MDPI, Basel, Switzerland. This article is an open access article distributed under the terms and conditions of the Creative Commons Attribution (CC BY) license (https://creativecommons.org/licenses/by/4.0/).
Share and Cite
Thielicke, M.; Ahlborn, J.; Eichler-Löbermann, B.; Eulenstein, F. On the Negative Impact of Mycorrhiza Application on Maize Plants (Zea mays) Amended with Mineral and Organic Fertilizer. Microorganisms 2023, 11, 1663. https://doi.org/10.3390/microorganisms11071663
Thielicke M, Ahlborn J, Eichler-Löbermann B, Eulenstein F. On the Negative Impact of Mycorrhiza Application on Maize Plants (Zea mays) Amended with Mineral and Organic Fertilizer. Microorganisms. 2023; 11(7):1663. https://doi.org/10.3390/microorganisms11071663
Chicago/Turabian StyleThielicke, Matthias, Julian Ahlborn, Bettina Eichler-Löbermann, and Frank Eulenstein. 2023. "On the Negative Impact of Mycorrhiza Application on Maize Plants (Zea mays) Amended with Mineral and Organic Fertilizer" Microorganisms 11, no. 7: 1663. https://doi.org/10.3390/microorganisms11071663
APA StyleThielicke, M., Ahlborn, J., Eichler-Löbermann, B., & Eulenstein, F. (2023). On the Negative Impact of Mycorrhiza Application on Maize Plants (Zea mays) Amended with Mineral and Organic Fertilizer. Microorganisms, 11(7), 1663. https://doi.org/10.3390/microorganisms11071663

