Abstract
Microalgae may produce a range of high-value bioactive substances, making them a promising resource for various applications. In this study, the antibacterial activity of twelve microalgae species isolated from lagoons in western Greece was examined against four fish pathogenic bacteria (Vibrio anguillarum, Aeromonas veronii, Vibrio alginolyticus, and Vibrio harveyi). Two experimental approaches were used to evaluate the inhibitory effect of microalgae on pathogenic bacteria. The first approach used bacteria-free microalgae cultures, whereas the second approach used filter-sterilized supernatant from centrifuged microalgae cultures. The results demonstrated that all microalgae had inhibitory effects against pathogenic bacteria in the first approach, particularly 4 days after inoculation, where Asteromonas gracilis and Tetraselmis sp. (red var., Pappas) exhibited the highest inhibitory activity, reducing bacterial growth by 1 to 3 log units. In the second approach, Tetraselmis sp. (red var., Pappas) showed significant inhibition against V. alginolyticus between 4 and 25 h after inoculation. Moreover, all tested cyanobacteria exhibited inhibitory activity against V. alginolyticus between 21 and 48 h after inoculation. Statistical analysis was performed using the independent samples t-test. These findings suggested that microalgae produce compounds with antibacterial activity, which could be useful in aquaculture.
1. Introduction
Microalgae are a diverse group of unicellular photosynthetic organisms [1], which can be found in various aquatic habitats, including freshwater, brackish, and marine environments. They form symbiotic relationships with a wide variety of other organisms, ranging from fungi to zooxanthellae [2]. Microalgae have been extensively studied for their potential as a source of bioactive compounds, such as fatty acids, phycobiliproteins, chlorophylls, carotenoids, and vitamins, which have various applications in the food, pharmaceutical, and cosmetic industries [3]. The lagoons of Messolonghi-Etoliko and the adjacent salt pans of Aspri and Tourlida in western Greece are unique ecosystems that support a rich diversity of microalgae. These habitats are characterized by extreme environmental conditions, such as high salinity, temperature, and light intensity in the summer, and low temperature and salinity in the winter. Microalgae species that live in these habitats have adapted to these changing environmental conditions and have developed various strategies to survive and thrive. For example, these microalgae have evolved to live in waters with a high organic and microbial load, so they may produce antioxidant or antimicrobial substances that influence their microenvironment and provide a competitive advantage [4].
In aquaculture rearing systems, fish or invertebrate populations are stocked at population densities much higher than in nature, and the spreading of disease is therefore much easier. Increased stress on the animals may depress the capacity of their immune system and make them more vulnerable to disease. Bacterial infections are a significant problem in aquaculture, as they can lead to high mortality rates in cultured populations of fish and invertebrates [5]. The misuse of antibiotics in aquaculture, such as oxytetracycline, florfenicol, enrofloxacin, and erythromycin [6], has led to the appearance of antibiotic-resistant bacterial strains [7,8]. These resistant strains may have a negative impact on both fish and human health [9] as they reduce the effectiveness of antimicrobial treatments in aquaculture and the development of antibiotic resistance. These resistant strains pose a significant threat to the environment, as they can persist in aquatic ecosystems, transferring their resistance genes to environmental bacteria and eventually to human pathogens [10,11]. Antibiotic-resistant bacteria can also deteriorate the environment by altering the natural balance of microbial communities in aquatic ecosystems. This can lead to a shift in the composition and diversity of these communities, which can have cascading effects on the food web and nutrient cycling [12]. In addition, the use of antibiotics in aquaculture can result in the accumulation of these compounds in the environment, which can have toxic effects on non-target organisms and influence the quality of water resources [13]. Therefore, it is crucial to limit the use of antibiotics in aquaculture and explore alternative strategies for disease control that minimize the development of antibiotic resistance and reduce the impact of aquaculture on the environment. A reduced use of antibiotics in aquaculture will improve consumers’ perception of the aquaculture industry.
Fish pathogens such as Vibrio anguillarum, which cause disease in marine fish, bivalves, and crustaceans, and Aeromonas veronii, which causes disease in freshwater and marine fish worldwide [14,15], result in significant economic losses in the aquaculture industry [16,17]. Other harmful bacteria such as Vibrio alginolyticus and Vibrio harveyi cause eye damage/blindness, gastroenteritis, muscle necrosis, skin ulcers, and tail rot disease [18,19,20,21].
Microalgae have been used in aquaculture as live food for various stages of bivalves, such as oysters, scallops, clams, and mussels, as well as for the rearing of marine fish larvae [22,23]. Microalgae are used for the production and enrichment of rotifers and can be added to fish tanks in the “green water technique” during the rearing of fish larvae. The use of microalgae as a source of antimicrobial compounds has gained increasing attention in recent years due to the emergence of antibiotic-resistant bacteria. The production of antimicrobial compounds by microalgae is a natural defense mechanism against microorganisms in their environment. Antibacterial activity in microalgae cultures can be caused either by bacteria associated with microalgae cultures [24] or by antibacterial substances produced by the microalgae cells [25]. Several studies have reported the antibacterial activity of microalgae against a range of pathogenic bacteria. Both eukaryotic microalgae and cyanobacteria have shown antifungal, antibacterial, and antiviral activity against a wide range of microorganisms. For example, cultures of Tetraselmis sp. have demonstrated antimicrobial activity and are commonly used in aquaculture; the antibacterial activity of Tetraselmis sp. hexane extracts was demonstrated in the case of Staphylococcus aureus [26]. Similarly, Nephroselmis sp. has shown antimicrobial and antioxidant properties due to its high carotenoid content [27,28], and hexane extracts of Dunaliella salina have shown antibacterial activity against Bacillus subtilis (BS), Pectobacterium carotovorum subsp. carotovorum (PCC), and P. syringae pv. tomato [29]. Petroleum ether, hexane, and ethanolic extracts of D. salina have shown antibacterial activity against S. aureus ATCC 25923 and Εscherichia coli ATCC 11775 [30]. Cyanobacteria have also shown antibacterial activity against multidrug-resistant (MDR) pathogenic bacteria and fish pathogens [31], as they produce a variety of secondary metabolites, organic compounds that are produced, and are not directly involved in the growth, development, or reproduction of the organism, that have shown antimicrobial activity against both Gram-positive and Gram-negative bacteria. Some examples of these secondary metabolites include phenazines, cyclic peptides, and lipopeptides [32,33,34,35]. Cyanobacteria in general inhibited fish pathogens such as Gram-negative A. hydrophila [36], and specifically, Anabaena sp. has also inhibited Gram-positive bacteria [37]. Finally, Amphidinium carterae produces a variety of secondary metabolites with potent anticancer, antifungal, and hemolytic activity, making it a potential source of new drugs [38]. Its antibacterial activity has been demonstrated against S. aureus, Enterococcus faecalis, E. coli and Pseudomonas aeruginosa [39], Micrococcus, Aeromonas, and Vibrio species [40]. The antibacterial activity of microalgae is often due to a variety of secondary bioactive metabolites. There are many chemically unique metabolites with different biological activity among microalgae species, and some of the antimicrobial activities of microalgae and cyanobacteria could be related to unsaturated fatty acids, such as eicosapentaenoic acid (EPA), hexadecatrienoic acid, and palmitoleic acid [41]. In addition, microalgae may produce oligopeptides or proteins with antibacterial activity, which bind to both polar and non-polar sites in bacterial cytoplasmic membranes, inhibiting cellular processes and cell division [42]. Antimicrobial peptides have been targeted as potential alternatives to antibiotics due to their broad antibacterial spectrum [43]. Finally, sulfated polysaccharide compounds could be involved in the antimicrobial activity of microalgae [41]. Cyanobacteria’s antibacterial activity has been specifically linked to a range of compounds including alkaloids, fatty acids, indoles, macrolides, peptides, phenols, pigments, and terpenes [44].
Biological control in aquaculture involves the use of live organisms to control the spreading of pathogens in a culture system. Several approaches have been suggested such as probiotic bacteria or yeast, bacteriophages, microalgae or macroalgae [45,46]. In this study, we aimed to investigate the potential of microalgae as a source of antibacterial agents for biological control in aquaculture. To achieve this goal, twelve microalgae species were isolated from the lagoons of Messolonghi-Etoliko and the adjacent salt pans of Aspri and Tourlida in western Greece. These microalgae were identified using a molecular approach, and their chemical composition was described [47]. These species were selected based on their prevalence in the lagoons and their potential for use in biotechnology applications. We then evaluated their antibacterial activity against four Gram-negative fish pathogens: V. anguillarum, A. veronii, V. alginolyticus, and V. harveyi, in two series of in vitro experiments.
2. Materials and Methods
2.1. Microorganisms and Growth Conditions
2.1.1. Microalgae Cultures
The microalgae used for the experiments were isolated from lagoons in western Greece [47]. These microalgae comprised eight chlorophytes: Tetraselmis sp. (red var.), Tetraselmis sp. (Red var., Pappas), Tetraselmis sp. (Red var., Kotichi), Tetraselmis sp. (Palmella), Tetraselmis marina (var. Messolonghi), Nephroselmis sp., D. salina, and Asteromonas gracilis; as well as three cyanobacteria: Phormidium sp., Anabaena sp., and Cyanothece sp.; and one dinoflagellate, A. carterae. The cultures were grown in sterile seawater in which Walne’s growth medium had been added [48] and kept in flasks under continuous light (9.25 × 10−5 mol × m−2 × s−1) at 22 °C.
2.1.2. Fish Pathogens
Four fish pathogenic bacteria were used in this study: V. anguillarum type strain LMG 4437 isolated from Atlantic cod (Gadus morhua L.) by J. Bagge [49]; Vibrio alginolyticus type strain V2 isolated from Dentex dentex, during outbreaks of vibriosis [50]; V. harveyi type strain VH2 isolated from farmed juvenile Seriola dumerili during outbreaks of vibriosis in Crete, Greece [51]; and A. veronii biovar sobria isolated from farmed European seabass in the Mediterranean Sea [21]. The isolates were kindly provided by Dr Pantelis Katharios from the Hellenic Center for Marine Research, Heraklion, Crete, Greece. All bacterial strains were cultured in 5 mL of tryptic soy broth (TSB) added 2% NaCl (w/v) at 25 °C. The culture period was 24 h for V. anguillarum, V. alginolyticus, and A. veronii, and 48 h for V. harveyi.
2.2. Antibacterial Assay by Use of Axenic Cultures
2.2.1. Experiments at 25 PPT Salinity
Initially, bacterium-free microalgae cultures were obtained after treatment with a mixture of antibiotics (oxolinic acid 10 μg/mL, kanamycin 10 μg/mL, penicillin G 150 μg/mL, streptomycin 75 μg/mL) to kill bacteria present in the cultures [52]. This was verified by plating on tryptic soy agar (TSA) dishes with added 2% NaCl (w/v). The antibiotic was removed after successive dilutions over 3–4 weeks. The antimicrobial activity of Tetraselmis sp. (red var.), Tetraselmis sp. (red var., Pappas), Tetraselmis sp. (red var., Kotichi), Tetraselmis sp. (palmella), T. marina (var. Messolonghi), A. gracilis and A. carterae at a salinity of 25 ppt was studied. Chlorella minutissima was used as a reference species, as it has shown antibacterial properties in an earlier study [53]. Three fish pathogenic bacteria were used in this experiment: V. anguillarum, A. veronii, and V. alginolyticus. Sterile seawater at 25 ppt with added Walne’s growth medium was used as a control treatment.
The relationship between the concentration of pathogenic bacteria in terms of colony-forming units (CFU) per unit volume and OD600 was determined in a preliminary experiment. The population density (cells/mL) of microalgae in the axenic cultures was followed using a Neubauer-improved hemocytometer through a light microscope ZEISS Axio Imager.A2. After the algae cultures reached the late exponential phase, aliquots of 5 mL of each of the microalgae cultures were inoculated with different bacterial pathogens in test tubes at a final concentration of 104 CFU/mL in four replicates for each combination of microalgae vs. pathogen. The growth of the added pathogens was followed 0, 1, 2, 4, and 6 days after inoculation by spreading ten-fold dilutions on TSA dishes, and the colonies were counted after incubation for 7 days [54]. The growth of the pathogens without the microalgae cultures was also tested (control). The experiments were performed both in the presence and absence of light.
2.2.2. Experiments at Different Salinities
In a second series of experiments, A. carterae, A. gracilis, Tetraselmis sp. (red var.), Tetraselmis sp. (palmella), and Tetraselmis sp. (red var., Pappas) were selected because in the first series of experiments, these microalgae species were more efficient against the four pathogenic bacteria (V. anguillarum, A. veronii, V. alginolyticus, and V. harveyi). In addition, microalgae D. salina was tested, as it had not been tested in the first series of experiments.
In this series of experiments, the axenic microalgae were cultured with aeration to obtain better growth, and each algae strain was tested at the salinity where it was originally isolated from the lagoons. So, the salinities used were 25, 100, 60, and 40 ppt for A. carterae, A. gracilis, Tetraselmis sp., and D. salina, respectively. At the start, the numbers of microalgae cells in the cultures were counted in a Neubauer-improved hemocytometer using a microscope as well as the concentration of pathogenic bacteria using a spectrophotometer. The numbers of cells in the microalgae cultures were measured also at the end of the experiment (day 6).
The experimental procedure followed was the same as in the first experiment, where the growth of the pathogens in the microalgae cultures was monitored 0, 1, 2, 4, and 6 days after inoculation by spreading serial dilutions in plates with TSA and counting colonies 2–3 days after incubation [54]. The experiments were performed both in the presence and absence of light, in duplicate in each case with the microalgae Chlorella minutissima being used as the reference microalgae [52]. Pathogenic bacteria in 25 ppt sterile seawater added with Walne’s medium were used as a control.
2.3. Extracellular Antimicrobial Assay
In these experiments, the eucaryotic microalgae A. carterae, A. gracilis, Tetraselmis sp. (red var. Pappas), and Nephroselmis sp. and the cyanobacteria Phormidium sp., Anabaena sp. and Cyanothece sp. were used. The fish pathogenic bacteria used were V. anguillarum, A. veronii, V. alginolyticus, and V. harveyi.
At the onset (day 0) of the experiment, the microalgae were counted under a microscope. The concentration of pathogenic bacteria was estimated using a spectrophotometer at 600 nm, and the bacteria were added to the experiment at a final concentration of 104 CFU/mL. The presence of the pathogenic bacteria in the microalgae cultures was then verified by plating ten-fold dilutions of the microalgae cultures on TSA plates.
The algae cells from an axenic culture at the exponential phase of the growing microalgae strains were separated from the culture medium by centrifugation (1 mL of microalgae in Eppendorf tubes), and there, the pellets were removed [55]. Briefly, the supernatants were obtained by centrifugation at 8000× g at 4 °C for 20 min using a SL8R centrifuge (Thermo Fisher Scientific, Osterode am Harz, Germany) and thereafter filter-sterilized (through 0.22 μm pore-size filters) [54].
The inhibitory activity was determined using 96-well ELISA plates. In each well, 150 μL of tryptic soy broth (TSB), 10 μL of each pathogen (diluted in sterile seawater 25 ppt added Walne’s medium), and 50 μL of the culture supernatant of each microalgae species were added. Autoclaved 25 ppt seawater was used as a negative control instead of culture supernatant. Each microalgae species was tested in four replicates where two samples were taken from two different cultures of 2 mL. The extracellular antimicrobial activity of cell-free supernatants was determined by measurement of optical density at 600 nm 0, 2, 4, 6, 21, 23, 25, 48, 72, 96, and 168 h after inoculation. The results were then modified using the following formula to calculate inhibition efficiency (IE):
where IE < 1 means that there was inhibition of pathogenic bacteria, IE = 1 means there was no inhibition, and IE > 1 means that the sample promoted the growth of pathogens [56].
2.4. Statistical Analysis
The statistical analysis included both an independent samples t-test and correlation analysis. For the t-test, we compared the mean values of numbers of CFU between the experimental microalgae cultures and controls. Prior to conducting the t-test, we checked the assumptions of normality and homogeneity variance by use of Kolmogorov–Smirnov and Levene’s test, respectively. Statistical significance was determined at a level of ≥95%, with p < 0.05 considered statistically significant. Additionally, a correlation analysis was conducted to examine the relationship between the presence of microalgae species (independent variable) and the concentration of pathogenic bacteria (dependent variable). The Pearson correlation coefficient (r) was applied to measure the strength and direction of the correlation. All statistical analyses were performed using IBM SPSS Statistics version 28.0.
3. Results
3.1. Antibacterial Assay with Axenic Cultures
3.1.1. Assay at 25 PPT Salinity
The numbers of pathogenic bacteria as determined by CFU counts on TSA dishes showed some instability during the first two days of the experiment but thereafter decreased for all tested pathogenic bacteria in all the microalgae cultures (Figure 1a–f). The microalgae that inhibited most efficiently the pathogens were A. carterae, A. gracilis, Tetraselmis sp. red var., Tetraselmis sp. (palmella), and Tetraselmis sp. (red var., Pappas). In the case of Tetraselmis sp. (red var., Pappas), it was observed that on the first two days of the experiment, it showed no antimicrobial activity against the pathogen A. veronii in either light or dark conditions. However, as the experiment progressed, the inhibition of the pathogen increased, reaching a greater than 75% reduction in the initial pathogen cell concentration. The percentages of reduction were generally higher in the presence of light, with an average of 8% higher effectiveness under light conditions (Figure 1e). Similarly, in the case of Tetraselmis sp. (red var., Pappas), the inhibition of V. alginolyticus was lower during the first two days of the experiment compared with the following days, and pathogen cell concentration showed no statistically significant difference from the control. In the case of Tetraselmis sp. (red var., Pappas) against V. alginolyticus, there was a strong inhibitory activity throughout the experiment, with more than a 93% reduction in the pathogenic cells in the presence of light (Figure 1f). There was no significant difference in the effectiveness of Tetraselmis sp. (red var., Pappas) in light versus dark (Figure 1c). Finally, Tetraselmis sp. (red var., Pappas) showed no antimicrobial activity against V. anguillarum during the first two days of the experiment in either light or dark conditions (Figure 1d). However, on subsequent days, the antimicrobial activity of Tetraselmis sp. (red var., Pappas) increased to more than 80% in both light and dark conditions with no significant difference between them. Overall, on the last experimental day, Tetraselmis sp. (red var., Pappas) showed no antimicrobial activity against the pathogen neither in the dark nor in the light (Figure 1a).

Figure 1.
The graph shows the colony-forming units (CFU) per mL, average ± SE (n = 4) (log scale) of V. anguillarum (a,d), A. veronii (b,e), V. alginolyticus (c,f) in cultures of Tetraselmis sp. (red var.), Tetraselmis sp. (red var., Pappas), Tetraselmis sp. (red var., Kotichi), Tetraselmis sp. (palmella), T. marina (var. Messolonghi), A. gracilis and A. carterae compared with sterile seawater 25 ppt added Walne’s medium (control), over time in light conditions. The microalgae that inhibited the pathogens most efficiently were A. carterae, A. gracilis, Tetraselmis sp. red var., Tetraselmis sp. (palmella), and Tetraselmis sp. (red var., Pappas).
Tetraselmis sp. (palmella) strain showed inhibitory activity against A. veronii on day 1, with similar percentages in light and dark conditions, around 77% (Figure 1e). In the following days, the reduction in A. veronii cells exceeded 90% of the initial concentration, with similar rates in both light and dark conditions. Against V. anguillarum, Tetraselmis sp. (palmella) was efficient from day 2 to day 4, with similar rates in both light and dark conditions (Figure 1e). Against V. alginolyticus, Tetraselmis sp. (palmella) was effective from the beginning of the experiment except for day 2 of the experiment (Figure 1f).
Tetraselmis sp. red var. cultures, in dark conditions, showed inhibitory activity against V. alginolyticus during the first two days of the experiment and again on day 6 of the experiment. In light conditions, the concentration of V. alginolyticus was significantly lower in the cultures of Tetraselmis sp. red var. compared with the control on days 2 and 6 of the experiment (p < 0.05) (Figure 1c). Against V. anguillarum, Tetraselmis sp. red var. had an inhibitory activity of 94% of the initial concentration in the dark and 97% in the light from day 1, and this activity increased as the experiment progressed (Figure 1a). Against A. veronii, the antimicrobial activity appeared on the second experimental day (day 1) and on day 4 (Figure 1b).
A. gracilis cultures showed inhibitory activity against V. anguillarum on day one after inoculation both in light and in dark conditions. In dark conditions, the V. anguillarum concentration was lower than the control on days 2 and 6 after inoculation (p < 0.05), while in light conditions, the V. anguillarum concentration was lower than on days 1, 2, and 6 (p < 0.05) (Figure 1a). Against A. veronii, both in light and dark conditions, A. gracilis showed inhibitory activity on experimental days 1 and 4 (Figure 1b). Against V. alginolyticus, the results were statistically significant on experimental days 1, 2, and 6. The results from A. gracilis are shown in the figures below (Figure 1c).
Finally, A. carterae cultures were effective against all pathogenic bacteria on day 2, with no significant difference in effectiveness between light and dark conditions (p < 0.05) (Figure 1a–c).
3.1.2. Experiments at Different Salinities under Aeration
In the second series of experiments, all microalgae tested—A. carterae, A. gracilis, Tetraselmis species (red var., palmella, red var. Pappas), and D. salina—reduced the growth of bacteria compared with the control treatments, in which the number of bacteria increased exponentially. On the 4th day of the experiment, the biggest differences were noted for all microalgae tested.
In the case of V. anguillarum, the mean density was 3.3 × 107 CFU/mL, while in exposure to light, the microalgae A. gracilis and Tetraselmis species (red var., palmella, red var. Pappas) resulted in a concentration range of 2 × 104–8.9 × 106 CFU/mL. Similarly, in exposure to light, the microalgae A. carterae and D. salina resulted in a concentration range of 6.6 × 105–1.7 × 106 CFU/mL compared to the control treatment of 6.0 × 106 CFU/mL. In the absence of light, the concentration of bacteria in A. gracilis and Tetraselmis species (red var., palmella, red var. Pappas) was 3.0 × 104–7.7 × 106 CFU/mL, while the range for the concentration of bacteria in A. carterae and D. salina was 7.8 × 105–1.9 × 106 CFU/mL.
In the case of A. veronii, the control treatment showed a concentration of bacteria of 3.5 × 107 CFU/mL. In exposure to light, the microalgae A. gracilis and Tetraselmis species (red var., palmella, red var. Pappas) resulted in a concentration range of 4.0 × 104–3.7 × 106 CFU/mL. Similarly, in exposure to light, the microalgae A. carterae and D. salina resulted in a concentration range of 2.5 × 106–4.2 × 106 CFU/mL compared to the control treatment of 8.1 × 106 CFU/mL. In the absence of light, the concentration of bacteria in A. gracilis and Tetraselmis species (red var., palmella, red var. Pappas) was 1.6 × 105–1.1 × 107 CFU/mL, and the concentration range in A. carterae and D. salina was 2.6 × 106–4.6 × 106 CFU/mL. For V. alginolyticus, the control treatment showed a concentration of bacteria of 2.4 × 107 CFU/mL. In exposure to light, the microalgae A. gracilis and Tetraselmis species (red var., palmella, red var. Pappas) resulted in a concentration range of 6.0 × 104–4.0 × 105 CFU/mL. Similarly, exposure to light and the microalgae A. carterae and D. salina resulted in a concentration range of 2.1 × 106–2.8 × 106 CFU/mL, while the control treatment had a concentration of 4.4 × 106 CFU/mL. In the absence of light, the bacterial concentration range for A. gracilis and Tetraselmis species (red var., palmella, red var. Pappas) was 1.4 × 105–1.1 × 107 CFU/mL, and for A. carterae and D. salina, it was 3.0 × 106–3.6 × 106 CFU/mL.
In the case of V. harveyi, the control treatment exhibited a concentration of bacteria of 3.3 × 108 CFU/mL, whereas in the presence of light, the range in A. gracilis and Tetraselmis species (red var., palmella, red var. Pappas) was between 1.0 × 104 and 3.9 × 105 CFU/mL. Similarly, the range of A. carterae and D. salina in the presence of light was between 2.3 × 105 and 2.3 × 106 CFU/mL, while the control treatment yielded 4 × 106 CFU/mL. On the other hand, in the absence of light, the concentration of bacteria range for A. gracilis, and Tetraselmis species (red var., palmella, red var. Pappas) was between 2.1 × 105 and 7.5 × 106 CFU/mL, and the range for A. carterae and D. salina was between 2.1 × 106 and 2.6 × 106 CFU/mL.
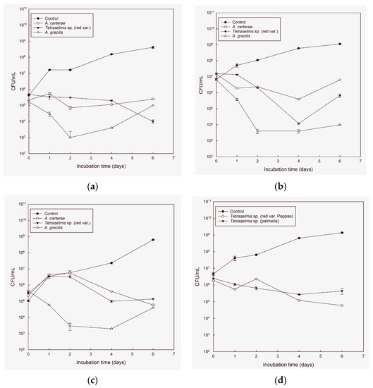
During the entire experiment, A. gracilis exhibited the highest efficiency (Figure 2a,c), demonstrating a strong correlation, r = 0.902, and significantly reducing the concentration of V. anguillarum cells by over 94% (p < 0.05) of the initial concentration. This effect was observed in both light and dark conditions. Tetraselmis red var. Pappas exhibited a significant reduction in the concentration of V. anguillarum cells, particularly in light conditions starting from day 1, r = 0.8403). In dark conditions, except for day 2, Tetraselmis red var. Pappas demonstrated a notable decrease in cell concentration throughout the entire experiment (Figure 2a,c). Tetraselmis red var. and Tetraselmis palmella both reduced the concentration of V. anguillarum cells, with Tetraselmis red var. showing reductions from day 1 in both light and dark conditions and Tetraselmis palmella showing reductions from the beginning of the experiment in light and day 1 in darkness (Figure 2a,c). On days 1, 4, and 6, both in light and dark conditions, D. salina and A. carterae exhibited inhibitory activity, respectively (Figure 2b,d).
Figure 2.
Colony-forming units (CFU) per mL, average ± SE (n = 2) (log scale) of V. anguillarum in cultures of Chlorella minutissima, A. carterae, A. gracilis, Tetraselmis species (red var., palmella, red var. Pappas), D. salina, compared with sterile seawater 25 ppt added Walne’s medium (control), through time in light conditions (a,b) and in the absence of light (c,d).
While the microalgae cultures showed inhibitory effects against V. anguillarum, they were less effective at reducing the concentration of A. veronii in our experiments. A. gracilis and Tetraselmis red var. Pappas showed the highest antimicrobial activity compared with the control. A. gracilis demonstrated a significant reduction in A. veronii cell concentration in both light and dark conditions. The reduction was observed starting on day 2 in light conditions and from the beginning of the experiment in darkness. Furthermore, an additional decrease in cell concentration was observed on day 2 (p < 0.05) (Figure 3a,c), with a correlation of r = 0.7043. Meanwhile, Tetraselmis red var. Pappas exhibited a significant reduction in A. veronii cell concentration, particularly in the light, starting on day 1 (p < 0.05) (Figure 3a,c). This reduction showed a correlation of r = 0.8161. Tetraselmis red var. showed inhibitory activity both in the light and in the dark on day 2 (Figure 3a,c). Tetraselmis palmella exhibited inhibitory activity both in the light and in the dark on day 2 (Figure 3a,c), while D. salina showed inhibitory activity on days 1, 4, and 6, both in the light and in the dark (Figure 3b,d). A. carterae showed inhibitory activity against A. veronii in both light and dark conditions, with a significant reduction in cell concentration observed, in light on day 2, and in the dark on days 1 and 2 of the experiment, respectively (Figure 3b,d).
Figure 3.
Colony-forming units (CFU) per mL, average ± SE (n = 2) (log scale) of A. veronii in cultures of C. minutissima, A. carterae, A. gracilis, Tetraselmis species (red var., palmella, red var. Pappas), D. salina, compared with sterile seawater 25 ppt added Walne’s medium (control), through time in light conditions (a,b) and in the absence of light (c,d).
The results showed that A. gracilis showed a statistically significant difference in reducing the concentration of V. alginolyticus compared with the control. Specifically, in the light, a significant reduction in V. alginolyticus cell concentration was observed during the last two days of the experiment and on day 1 with a correlation of r = 0.863. Similarly, in the dark conditions, a significant reduction was observed during the last two days (p < 0.05) (Figure 4a,c). Regarding Tetraselmis red var., significant differences in reducing V. alginolyticus cell concentration were observed in the dark on days 1, 4, and 6, and in the light on days 4 and 6 of the experiment (p < 0.05) (Figure 4a,c). Tetraselmis palmella displayed inhibitory activity against V. alginolyticus in both light and darkness from day 2 (Figure 4a,c). Tetraselmis red var. Pappas exhibited significant inhibitory activity against V. alginolyticus with statistically significant differences observed in light conditions during the last two days of the experiment, showing a correlation of r = 0.7581. Additionally, in the dark conditions, significant inhibitory activity was observed on days 1, 4, and 6 (Figure 4a,c). A. carterae demonstrated statistically significant differences in inhibiting V. alginolyticus only on day 4 in light and day 6 in darkness, while D. salina showed significant differences in both light and dark conditions during the last two days of the experiment (Figure 4 a,c).
Figure 4.
Colony-forming units (CFU) per mL, average ± SE (n = 2) (log scale) of V. alginolyticus in cultures of C. minutissima, A. carterae, A. gracilis, Tetraselmis species (red var., palmella, red var. Pappas), D. salina, compared with sterile seawater 25 ppt added Walne’s medium (control), through time in light conditions (a,b) and in the absence of light (c,d).
A. gracilis, Tetraselmis palmella, and Tetraselmis red var. were found to be the most effective cultures against V. harveyi throughout the experiment, exhibiting significant reductions in cell concentration in both light and dark conditions compared with the control. However, no clear inhibitory effects were observed on the first day (Figure 5a,c). Tetraselmis red var. Pappas showed inhibitory activity against V. harveyi with significant effects observed in the light conditions starting from day 1 and in the dark conditions starting from day 2 (Figure 5a,c). These results were supported by a correlation r = 0.5952. A. gracilis was effective also against V. harveyi, with a more than 94% reduction in the initial concentration in both light (r = 0.5171) and darkness throughout the duration of the experiment. A. carterae and D. salina had no inhibitory activity against V. harveyi (Figure 5b,d).
Figure 5.
Colony-forming units (CFU) per mL, average ± SE (n = 2) (log scale) of V. harveyi in cultures of C. minutissima, A. carterae, A. gracilis, Tetraselmis species (red var., palmella, red var. Pappas), D. salina, compared with sterile seawater 25 ppt added Walne’s medium (control), through time in light conditions (a,b) and in the absence of light (c,d).
3.2. Extracellular Assay
Seven species of microalgae (Tetraselmis sp. (red var., Pappas), Nephroselmis sp., A. gracilis, Phormidium sp., Anabaena sp., Cyanothece sp., and A. carterae) were examined for extracellular antimicrobial activity using a spectrophotometer at 600 nm.
Our results indicate that Phormidium sp. and Anabaena sp. inhibited the growth of the concentration of V. anguillarum cells only twenty-five hours after inoculation (p < 0.05), but they promoted growth between 48 and 96 h (p < 0.05) compared with the control. After 96 h of inoculation, growth was inhibited again, but the difference was not statistically significant (Figure 6a). Cyanothece sp. did not show inhibition of the growth of V. anguillarum cells. A. carterae demonstrated inhibitory activity between 48 and 72 h. In the experiment with Tetraselmis sp. (red var., Pappas), the growth of the pathogen was inhibited during the period from 6 to 21 h, with a strong correlation of r = 0.9904. A. gracilis exhibited an inhibition of V. anguillarum growth only two hours after inoculation. Nephroselmis sp. showed inhibition six hours after inoculation. Figure 6 shows the Inhibition Efficiency (IE) for Tetraselmis red var. Pappas, Nephroselmis sp., A. gracilis, A. carterae, Phormidium sp, Anabaena sp., and Cyanothece sp., against V. anguillarum. The IE values were calculated using the modified photometric measurements of Equation (1).
Figure 6.
Inhibition efficiency of Tetraselmis sp. (red var., Pappas), Nephroselmis sp., A. gracilis, Phormidium sp., Anabaena sp., Cyanothece sp., A. carterae, against V. anguillarum (a), A. veronii (b), V. alginolyticus (c), V. harveyi (d) through time at 600 nm (OD 600 nm). Average ± SE (n = 4).
In general, our results indicated that A. veronii was more resistant to all the micro-algae strains tested compared with the control other pathogenic bacteria. However, its resistance to inhibition decreased over time. Nonetheless, this reduction in resistance is not notably significant, since there is also a decrease in absorption values in the control samples. The low absorption values at the end of the experiment suggest that the activity of A. veronii gradually weakened regardless of whether an external agent was present. Figure 6b illustrates the inhibition efficiency (IE) for the cultures at OD 600 nm. In general, cyanobacteria did not demonstrate inhibition efficiency against A. veronii. At the onset of the experiment, only A. gracilis and Nephroselmis sp. demonstrated statistically significant inhibition efficiency (p < 0.05). Among them, A. gracilis exhibited a correlation of r = 0.829.
Our experiments with V. alginolyticus yielded promising results compared with the control treatment, particularly for the cyanobacteria strains. The inhibitory effect on Phormidium sp. and Anabaena sp. was observed during the period from 21 to 48 h, and for Cyanothece sp., it was observed during the period from 25 to 48 h (p < 0.05). The samples containing Tetraselmis sp. (red var., Pappas) with V. alginolyticus showed statistically significant inhibition between 4 and 25 h with a strong correlation of r = 0.9946. These results indicate that all the tested cyanobacteria and Tetraselmis sp. (red var., Pappas) produced compounds that accumulated and inhibited the activity of V. alginolyticus over time with inhibition activity peaking at 21 h for Tetraselmis sp. (red var., Pappas). A. gracilis showed inhibition at 72 h, while Nephroselmis sp. had a peak inhibition at 48 h. However, A. carterae did not show statistically significant inhibition efficiency against V. alginolyticus. The results of inhibition efficiency (IE) against V. alginolyticus are illustrated in Figure 6c.
The results of our experiments with V. harveyi revealed a statistically significant inhibition of growth for the Phormidium sp. strain at 96 h (p < 0.05) compared with the control treatment. Anabaena sp. showed inhibition between 23 and 25 h. However, no inhibition was observed for Cyanothece sp. In our experiments with the Tetraselmis sp. (red var., Pappas) strain, inhibition against V. harveyi was observed between 21 and 23 h with a strong correlation of r = 0.981. A. carterae demonstrated inhibition at 48 h, and A. gracilis demonstrated inhibition at 72 h. Nephroselmis sp. exhibited inhibition against V. harveyi between 4 and 6 h. The inhibition efficiency (IE) of the samples against V. harveyi is illustrated in Figure 6d.
4. Discussion
In this study, experiments were conducted to assess the antimicrobial activity of twelve microalgae species isolated from lagoons in western Greece against four fish pathogenic bacteria. The experiments were carried out at first at 25 ppt salinity and under ideal axenic culture conditions with aeration, and then, an extracellular assay was performed.
The results from the first series of experiments showed that all microalgae cultures studied at 25 ppt salinity exhibited inhibitory activity against the three tested pathogens (V. anguillarum, A. veronii, V. alginolyticus) with varying degrees of efficiency. Regarding the effect of light, we observed that the inhibitory activity of most microalgae cultures was generally higher in the presence of light. The average efficiency was approximately 8% higher under light conditions. This finding suggests that light may play a role in enhancing the antimicrobial activity of microalgae cultures. In terms of the vulnerability of the tested pathogens, our results showed that A. carterae, A. gracilis, Tetraselmis sp. red var., Tetraselmis sp. (palmella), and Tetraselmis sp. (red var., Pappas) were the most efficient at inhibiting the pathogens. Among these, Tetraselmis sp. (red var., Pappas) and Tetraselmis sp. (palmella) were effective against all three tested pathogens. However, we also observed some variation in the inhibitory activity of the microalgae cultures against different pathogens.
The second series of experiments at different salinity conditions showed that all microalgae tested, including A. carterae, A. gracilis, Tetraselmis species (red var., palmella, red var. Pappas), and D. salina, reduced the growth of bacteria (V. anguillarum, A. veronii, V. alginolyticus, V. harveyi) compared with the control treatments, in which the number of bacteria increased exponentially. The microalgae were particularly effective in reducing the concentration of V. anguillarum cells with A. gracilis proving to be the most effective treatment, reducing the concentration of V. anguillarum cells by over 94% in both light and dark conditions with a strong correlation of r = 0.902. Tetraselmis red var. Pappas also significantly reduced the concentration of V. anguillarum cells particularly in light conditions from day 1 (r = 0.8403). Additionally, it exhibited a significant reduction in dark conditions from the beginning of the experiment except for day 2. Tetraselmis red var. and Tetraselmis palmella also reduced the concentration of V. anguillarum cells. On days 1, 4, and 6, both in light and dark conditions, D. salina and A. carterae exhibited inhibitory activity. Overall, the microalgae cultures showed inhibitory effects against bacteria, particularly V. anguillarum. A. gracilis was effective also against V. harveyi with more than a 94% reduction in the initial concentration in both light (r = 0.5171) and darkness throughout the duration of the experiment. However, its effectiveness against A. veronii was lower with inhibitory activity beginning in light conditions on day 2 and essentially in darkness on day 2. Tetraselmis sp. red var. was also effective against V. alginolyticus, with a more than 99% reduction in the initial concentration compared with the control in both light and dark conditions, and V. harveyi, but it was less effective against A. veronii. Against A. veronii, it displayed inhibitory activity both in light and dark conditions on day 2. Tetraselmis sp. (palmella) showed strong inhibitory activity against all four pathogenic bacteria with the highest effectiveness against V. harveyi. A. carterae had lower effectiveness compared with the other microalgae species, but it still showed inhibitory activity against V. anguillarum and A. veronii, with activity beginning on day 1. Finally, D. salina showed only slight inhibitory activity against V. anguillarum, A. veronii, and V. alginolyticus.
The differences between the first two experiments that were performed with microalgal cultures were firstly the experimental setup, where aeration was added only in the second experiment. Furthermore, in the first experiment, all cultures were grown in 25 ppt salinity conditions, while in the second experiment, different salinity conditions were used depending on the type of microalgae. Another difference was in the species of microalgae used. In the first experiment, Tetraselmis sp. (red var.), Tetraselmis sp. (red var., Pappas), Tetraselmis sp. (red var., Kotichi), Tetraselmis sp. (palmella), T. marina (var. Messolonghi), A. gracilis, and A. carterae were used. In the second experiment, Tetraselmis sp. (red var.), Tetraselmis sp. (red var. Pappas), Tetraselmis sp. (palmella), Dunaliella salina, A. gracilis, and A. carterae were utilized. Lastly, the type of bacteria used also differed between the two experiments. In the first experiment, V. anguillarum, A. veronii, and Vibrio alginolyticus were added, while in the second experiment, Vibrio harveyi was also included.
In the first series of experiments, all microalgae cultures studied exhibited inhibitory activity against the three tested pathogens, V. anguillarum, A. veronii, and V. alginolyticus, with varying degrees of effectiveness. Interestingly, it was observed that the inhibitory activity of most microalgae cultures was generally higher in the presence of light, which suggests that light may play a role in enhancing the antimicrobial activity of microalgae cultures. Free oxygen radicals were probably produced during the process of photosynthesis, and this may have increased the vulnerability of pathogenic bacteria. Additionally, A. carterae, A. gracilis, Tetraselmis sp. red var., Tetraselmis sp. (palmella), and Tetraselmis sp. (red var., Pappas) were the most efficient in inhibiting the pathogens, with Tetraselmis sp. (red var., Pappas) and Tetraselmis sp. (palmella) being effective against all three tested pathogens. In the second series of experiments conducted at different salinity conditions, all microalgae tested, including A. carterae, A. gracilis, Tetraselmis species (red var., palmella, red var. Pappas), and D. salina, reduced the growth of bacteria compared with the control treatments, in which the number of bacteria increased exponentially. All microalgae tested were particularly effective at reducing the concentration of V. anguillarum cells in both light and dark conditions. In this second experiment, V. harveyi was the most resistant pathogen.
The results of the extracellular assay indicated that several microalgae species showed inhibition of the growth of the pathogenic bacteria (V. anguillarum, A. veronii, V. alginolyticus, V. harveyi), while others promoted the growth or do not show inhibition compared with the control. The species that exhibited the highest inhibition efficiency against these bacteria varied depending on the specific pathogen being tested. Regarding V. anguillarum, Phormidium sp. and Anabaena sp. inhibited the growth of the pathogenic bacteria 25 h after inoculation, while Cyanothece sp. did not show any inhibitory activity. A. carterae exhibited inhibitory activity between 48 and 72 h after inoculation, while A. gracilis and Nephroselmis sp. showed inhibition 2 and 6 h after inoculation, respectively. Tetraselmis sp. (red var., Pappas) was found to inhibit the growth of V. anguillarum during the period from 6 to 21 h after inoculation (r = 0.9904). Concerning A. veronii, our results suggest that it was more resistant to all microalgae strains tested compared to the control. However, its resistance to inhibition decreased over time, suggesting that its activity gradually weakened regardless of whether an external agent was present. Only A. gracilis and Nephroselmis sp. exhibited statistically significant inhibition efficiency against A. veronii at the onset of the experiment. Our experiments with V. alginolyticus yielded promising results compared with the control treatment particularly for the cyanobacteria strains. Phormidium sp. and Anabaena sp. exhibited inhibitory activity during the period from 21 to 48 h, while Cyanothece sp. showed inhibitory activity between 25 and 48 h. The samples containing Tetraselmis sp. (red var., Pappas) with V. alginolyticus showed statistically significant inhibition between 4 and 25 h r = 0.9946). A. gracilis exhibited inhibition 72 h after inoculation, while Nephroselmis sp. had a peak inhibition 48 h after inoculation. However, A. carterae did not show statistically significant inhibition efficiency against V. alginolyticus. In the case of V. harveyi, Phormidium sp. exhibited a statistically significant inhibition of growth at 4 days compared with the control treatment. Anabaena sp. showed inhibition between 23 and 25 h, while Tetraselmis sp. (red var., Pappas) showed inhibition between 21 and 23 h (r = 0.981). A. carterae exhibited inhibition 48 h after inoculation, while A. gracilis exhibited inhibition 72 h after inoculation. Nephroselmis sp. exhibited inhibition against V. harveyi between 4 and 6 h. However, no inhibition was observed for Cyanothece sp.
The extracellular assay experiment and the previous two experiments are different in terms of their methods and results. The extracellular assay measures the effect of microalgae on the growth of pathogenic bacteria outside the cells, while the previous experiments focused on the effect of live microalgal cells on bacterial enzyme activity (proteases) or biofilm formation. In the extracellular assay, some microalgae species were found to inhibit the growth of pathogenic bacteria, while others promoted growth or had no effect. For example, all microalgae tested with the extracellular assay were effective against V. alginolyticus, while A. veronii was more resistant to all microalgae strains tested. In the previous two experiments, V. anguillarum was the most vulnerable pathogen for all microalgae tested, while V. harveyi was the most resistant.
The mechanisms of antimicrobial activity are not fully understood. However, we hypothesize that the inhibition of pathogens at the first experiments at 25 ppt and under ideal salinities was dependent upon the physical presence of the microalgal cells themselves. For example, the microalgal cells may compete with the bacteria for nutrients or resources, or they may physically block the attachment of bacterial cells to surfaces. On the other hand, the inhibition of pathogens at the extracellular assay may be due to secondary metabolites produced by microalgae during their metabolism. The accumulation of these secondary metabolites may be responsible for the observed antibacterial activity, as these compounds can be released into the extracellular environment and could potentially inhibit the growth or attachment of pathogenic bacteria.
Microalgae excrete in their microenvironment a vast spectrum of metabolites that may influence microorganisms. The production of such compounds depends upon the culture conditions [57,58]. Omics, including transcriptomics, proteomics, and metabolomics represent an approach which may lead to the discovery of bioactive compounds produced by microalgae, which could not be detected for the past decades due to limited coverage and resolution of the conventional methods. Transcriptomics focuses on the expression pattern of genomes, proteomics on the protein profile, and the metobolomics on the metabolic pathways that dominate under different culture conditions. Microalgae produced compounds with antimicrobial activity such as peptides, alkaloids, flavonoids, and fatty acids [59].
Previous research supports the findings of this study, demonstrating the presence of bioactive substances in many of the examined microalgae and suggesting their use in fish hatcheries. Tetraselmis sp. (red var.) and A. gracilis, for instance, have been noted for their beneficial properties [60,61,62,63,64,65,66]. The genus Tetraselmis produces a variety of carotenoids, such as β-carotene, lutein, and biolaxanthin [63], while A. gracilis has been suggested for use in fish hatcheries due to the stability of their cultures and the ability to eliminate contaminants through increased salinity [66]. Nephroselmis sp. is a natural source of antioxidants due to its high content of carotenoids (neoxanthin, lycopene, xanthophylls, lutein, β-carotene) and siphonaxanthin [67,68], an unusual dye with potential biotechnological applications [69], as well as lipids. A. carterae produces amphidinols, carotoxins, and fatty acids (EPA and DHA) with nutritional and pharmaceutical applications [70,71]. It has been used as a reference microalgal species for numerous genetic and physiological studies [71,72] and can be mass-cultivated in a photobioreactor [70]. Phormidium sp. produces useful components such as antioxidant carotenoids and phycovilins (large amounts of phycocyanin), which have pharmaceutical uses [70]. Anabaena sp. contains three main biliproteins, two of which (C-phycocyanin and allophycocyanin) are found in all cyanobacteria, while the third (phycoerythrocyanine, λmax~ 568 nm) does not occur in other cyanobacteria [73]. Further studies are needed to identify the specific compounds responsible for the inhibitory activity.
In this study, we found that antimicrobial activity was consistent regardless of whether the experiments were conducted in light or dark conditions. This suggests that antimicrobial activity is related to substances within the microalgae and warrants further investigation to identify these specific substances. Regarding the mechanisms of antimicrobial action in extracellular assay, it is possible that the microalgae species are producing extracellular compounds that inhibit the growth of the pathogenic bacteria. Further research would be necessary to identify the specific compounds responsible for the observed inhibitory activity. Our results also contradict the possibility that the antimicrobial action in the extracellular assay was due to reactive oxygen species (ROS) formed during photosynthesis or oxygen breakdown in the cultures [74,75]. While ROS do exhibit antimicrobial activity by attacking a range of targets in various pathogenic microorganisms, our research suggests that this is not the case for the microalgae studied. This conclusion is supported by the fact that our samples were kept in the dark, which suggests that the observed antibacterial activity was not dependent on light-induced ROS generation.
Overall, our results suggest that microalgae from lagoons in western Greece could potentially be a source of natural antimicrobial compounds with applications in aquaculture and other industries. The inhibitory activity varies depending on the microalgae species and the tested pathogens. Light appears to enhance the antimicrobial activity of microalgae cultures. Further research would be necessary to identify the specific compounds responsible for the observed inhibitory activity and to assess their safety and effectiveness in real-world applications.
5. Conclusions
In the axenic culture experiments, Tetraselmis sp. red var. Tetraselmis sp. (red var., Pappas) and A. gracilis showed antimicrobial activity against all four tested pathogens (V. anguillarum, A. veronii, V. alginolyticus, and V. harveyi). Based on the results of the extracellular antimicrobial assay, it appears that Tetraselmis sp. (red var., Pappas) was the most effective against V. anguillarum and V. alginolyticus, the three cyanobacteria were effective against V. alginolyticus, and Tetraselmis sp. (red var., Pappas), A. gracilis, Phormidium sp., and Anabaena sp., were effective against V. harveyi.
This study presented data on the antimicrobial properties of specific microalgae species isolated from lagoons in western Greece, which could be used in aquaculture. The mass production of microalgae in Greece presents an opportunity for new companies to exploit local species to produce value-added products for aquaculture, such as antioxidants, food additives, pharmaceuticals, and even biofuels [76,77].
One limitation of our study is that we only tested the antimicrobial activity of these microalgae species against three specific pathogenic bacteria. It would be useful to conduct additional studies to assess the antimicrobial activity of these microalgae species against a wider range of pathogenic bacteria as well as determine the mechanisms by which they exert their antimicrobial activity. Additionally, the study did not evaluate the potential toxicity of the microalgae species to fish, which would be important information to consider in the context of aquaculture. Further research is needed to confirm these findings and to determine the optimal conditions for using these microalgae species in aquaculture.
Aquaculture is faced with numerous threats from diseases such as vibriosis [78], making it essential to find environmentally friendly alternatives to prevent fish pathogens [56]. These findings suggest that these microalgae species have the potential to be used as an alternative to antibiotics in aquaculture, which could help to reduce the risk of antibiotic resistance and the negative impacts of antibiotics on fish and human health as well as on the environment.
Author Contributions
Conceptualization, P.M.; methodology, P.M. and C.A.; formal analysis, C.A.; investigation, C.A., writing—original draft preparation, C.A.; writing—review and editing, P.M.; funding acquisition, P.M. All authors have read and agreed to the published version of the manuscript.
Funding
This work was funded by the General Secretariat for Research and Innovation (GSRI) in Greece through the research project titled “Isolation and cultivation of local microalgae species from lagoons with the vision of mass production of antimicrobial substances, fatty acids, pigments and antioxidants (ALGAVISION)”, with grant number MIS 5048496.
Data Availability Statement
The data presented in this study are available on request from the corresponding author.
Acknowledgments
We thank Pantelis Katharios, Institute of Marine Biology, Biotechnology, and Aquaculture (IMBBC), Hellenic Center for Marine Research, Heraklion, Crete, for providing us the four strains of pathogenic strains (V. anguillarum type strain LMG 4437, V. alginolyticus type strain V2, V. harveyi type strain VH2, and A. veronii biovar sobria). We thank Georgios Hotos for providing the microalgae cultures used in this study: Tetraselmis sp. (red var.), Tetraselmis sp. (Red var., Pappas), Tetraselmis sp. (Red var., Kotichi), Tetraselmis sp. (Palmella), T. marina (var. Messolonghi), Nephroselmis sp., D. salina, A. gracilis; Phormidium sp., Anabaena sp., Cyanothece sp., and A. carterae.
Conflicts of Interest
The authors declare no conflict of interest.
References
- Renugadevi, K.; Nachiyar, C.V.; Nellore, J.; Sunkar, S.; Namasivayam, K.R.S. Nutraceutical Compounds from Marine Microalgae. In Handbook of Nutraceuticals and Natural Products; Wiley: Hoboken, NJ, USA, 2022; pp. 245–255. [Google Scholar] [CrossRef]
- Tomaselli, L. Chapter 1: The Microalgal Cell. In Handbook of Microalgal Culture: Biotechnology and Applied Phycology, 1st ed.; Richmond, A., Ed.; Blackwell Publishing Ltd.: Oxford, UK, 2004; pp. 10–17. [Google Scholar]
- De Jesus Raposo, M.F.; De Morais, R.M.S.C.; De Morais, A.M.M.B. Health applications of bioactive compounds from marine microalgae. Life Sci. 2013, 93, 479–486. [Google Scholar] [CrossRef] [PubMed]
- Cardozo, K.H.M.; Guaratini, T.; Barros, M.P.; Falcão, V.R.; Tonon, A.P.; Lopes, N.P.; Campos, S.; Torres, M.A.; Souza, A.O.; Colepicolo, P.; et al. Metabolites from algae with economical impact. Comp. Biochem. Phys. C 2007, 146, 60–78. [Google Scholar] [CrossRef] [PubMed]
- Irshath, A.A.; Rajan, A.P.; Vimal, S.; Prabhakaran, V.S.; Ganesan, R. Bacterial Pathogenesis in Various Fish Diseases: Recent Advances and Specific Challenges in Vaccine Development. Vaccines 2023, 11, 470. [Google Scholar] [CrossRef] [PubMed]
- Food and Agriculture Organization of the United Nations. Responsible Use of Antibiotics in Aquaculture. Available online: Ftp://ftp.fao.org/docrep/fao/009/a0282e/a0282e00.pdf (accessed on 22 June 2022).
- Smith, P.; Hiney, M.P.; Samuelsen, O.B. Bacterial Resistance to antimicrobial agents used in fish farming: A critical evaluation method and meaning. Annu. Rev. Fish Dis. 1994, 4, 273–313. [Google Scholar] [CrossRef]
- Quesada, S.P.; Paschoal, J.A.R.; Reyes, F.G.R. Considerations on the Aquaculture Development and on the Use of Veterinary Drugs: Special Issue for Fluoroquinolones—A Review. J. Food Sci. 2013, 78, 9. [Google Scholar] [CrossRef]
- Kalatzis, P.G.; Bastías, R.; Kokkari, C.; Katharios, P. Isolation and Characterization of Two Lytic Bacteriophages, φSt2 and φGrn1; Phage Therapy Application for Biological Control of Vibrio alginolyticus in Aquaculture Live Feeds. PLoS ONE 2016, 11, e0151101. [Google Scholar] [CrossRef]
- Pepi, M.; Focardi, S. Antibiotic-Resistant Bacteria in Aquaculture and Climate Change: A Challenge for Health in the Mediterranean Area. Int. J. Environ. Res. Public Health 2021, 18, 5723. [Google Scholar] [CrossRef]
- Argudín, M.A.; Deplano, A.; Meghraoui, A.; Dodémont, M.; Heinrichs, A.; Denis, O.; Nonhoff, C.; Roisin, S. Bacteria from Animals as a Pool of Antimicrobial Resistance Genes. Antibiotics 2017, 6, 12. [Google Scholar] [CrossRef]
- Larsson, D.G.J.; Flach, C.-F. Antibiotic resistance in the environment. Nat. Rev. Microbiol. 2022, 20, 257–269. [Google Scholar] [CrossRef]
- Okeke, E.S.; Chukwudozie, K.I.; Nyaruaba, R.; Ita, R.E.; Oladipo, A.; Ejeromedoghene, O.; Atakpa, E.O.; Agu, C.V.; Okoye, C.O. Antibiotic resistance in aquaculture and aquatic organisms: A review of current nanotechnology applications for sustainable management. Environ. Sci. Pollut. Res. 2022, 29, 69241–69274. [Google Scholar] [CrossRef]
- Kahla-Nakbi, B.A.; Besbes, A.; Chaieb, K.; Rouabhia, M.; Bakhrouf, A. Survival of Vibrio alginolyticus in seawater and retention of virulence of its starved cells. Mar. Environ. Res. 2007, 64, 469–478. [Google Scholar] [CrossRef]
- Tekedar, H.C.; Kumru, S.; Blom, J.; Perkins, A.D.; Griffin, M.J.; Abdelhamed, H.; Karsi, A.; Lawrence, M.L. Comparative genomics of Aeromonas veronii: Identification of a pathotype impacting aquaculture globally. PLoS ONE 2019, 14, 8. [Google Scholar] [CrossRef]
- Frans, I.; Michiels, C.W.; Bossier, P.; Willems, K.A.; Lievens, B.; Rediers, H. Vibrio anguillarum as a fish pathogen: Virulence factors, diagnosis and prevention. J. Fish Dis. 2011, 34, 643–661. [Google Scholar] [CrossRef]
- Dong, H.T.; Techatanakitarnan, C.; Jindakittikul, P.; Thaiprayoon, A.; Taengphu, S.; Charoensapsri, W.; Khunrae, P.; Rattanarojpong, T.; Senapin, S. Aeromonas jandaei and Aeromonas veronii caused disease and mortality in Nile tilapia, Oreochromis niloticus (L.). J. Fish Dis. 2017, 40, 1395–1403. [Google Scholar] [CrossRef]
- Snoussi, M.; Chaieb, K.; Mahmoud, R.; Bakhrou, A. Quantitative study, identification, and antibiotics sensitivity of some Vibrionaceae associated to a marine fish hatchery. Ann. Microbiol. 2006, 56, 289–293. [Google Scholar] [CrossRef]
- Snoussi, M.; Noumi, E.; Hajlaoui, H.; Usai, D.; Sechi, L.A.; Zanetti, S.; Bakhrouf, A. High potential of adhesion to abiotic and biotic materials in fish aquaculture facility by Vibrio alginolyticus strains. J. Appl. Microbiol. 2009, 106, 1591–1599. [Google Scholar] [CrossRef]
- Zhang, X.H.; He, X.; Austin, B. Vibrio harveyi: A serious pathogen of fish and invertebrates in mariculture. Mar. Life Sci. Technol. 2020, 2, 231–245. [Google Scholar] [CrossRef]
- Walne, P.R. Experiments in the Large-Scale Culture of the Larvae of Ostrea edulis L.; Her Majesty’s Stationery Office, Fishery Investigations: London, UK, 1966; Series 2; Volume 25. [Google Scholar]
- Haoujar, I.; Haoujar, M.; Altemimi, A.B.; Essafi, A.; Cacciola, F. Nutritional, sustainable source of aqua feed and food from microalgae: A mini review. Int. Aquat. Res. 2022, 14, 157–167. [Google Scholar] [CrossRef]
- Castilla-Gavilán, M.; Buzin, F.; Cognie, B.; Dumay, J.; Turpin, V.; Decottignies, P. Optimising microalgae diets in sea urchin Paracentrotus lividus larviculture to promote aquaculture diversification. Aquaculture 2018, 490, 251–259. [Google Scholar] [CrossRef]
- Kokou, F.; Makridis, P.; Kentouri, M.; Divanach, P. Antibacterial activity in microalgae cultures. Aquacult. Res. 2012, 43, 1520–1527. [Google Scholar] [CrossRef]
- Little, S.M.; Senhorinho, G.N.A.; Saleh, M.; Basiliko, N.; Scott, J.A. Antibacterial compounds in green microalgae from extreme environments: A review. Algae 2021, 36, 61–72. [Google Scholar] [CrossRef]
- Kellam, S.J.; Walker, J.M. Antibacterial activity from marine microalgae in laboratory culture. Brit. Phycol. J. 1989, 24, 191–194. [Google Scholar] [CrossRef]
- Yamaguchi, H.; Suda, S.; Nakayama, T.; Pienaar, R.N.; Chihara, M.; Inouye, I. Taxonomy of Nephroselmis viridis sp. nov. (Nephroselmidophyceae, Chlorophyta), a sister marine species to freshwater N. olivacea. J. Plant Res. 2011, 124, 49–62. [Google Scholar] [CrossRef] [PubMed]
- Coulombier, N.; Nicolau, E.; Déan, L.; Barthelemy, V.; Schreiber, N.; Brun, P.; Lebouvier, N.; Jauffrais, T. Effects of Nitrogen Availability on the Antioxidant Activity and Carotenoid Content of the Microalgae Nephroselmis sp. Mar. Drugs 2020, 18, 453. [Google Scholar] [CrossRef] [PubMed]
- Ambrico, A.; Trupo, M.; Magarelli, R.; Balducchi, R.; Ferraro, A.; Hristoforou, E.; Marino, T.; Musmarra, D.; Casella, P.; Molino, A. Effectiveness of Dunaliella salina Extracts against Bacillus subtilis and Bacterial Plant Pathogens. Pathogens 2020, 9, 613. [Google Scholar] [CrossRef] [PubMed]
- Herrero, M.; Ibáñez, E.; Cifuentes, A.; Reglero, G.; Santoyo, S. Dunaliella salina Microalga Pressurized Liquid Extracts as Potential Antimicrobials. J. Food Protect. 2006, 69, 2471–2477. [Google Scholar] [CrossRef]
- El Semary, N.A.; Bakir, E.M. Multidrug-Resistant Bacterial Pathogens and Public Health: The Antimicrobial Effect of Cyanobacterial-Biosynthesized Silver Nanoparticles. Antibiotics 2022, 11, 1003. [Google Scholar] [CrossRef]
- Mazard, S.; Penesyan, A.; Ostrowski, M.; Paulsen, I.; Egan, S. Tiny microbes with a big impact: The role of cyanobacteria and their metabolites in shaping our future. Mar. Drugs 2016, 14, 97–119. [Google Scholar] [CrossRef]
- Falaise, C.; François, C.; Travers, M.A.; Morga, B.; Haure, J.; Tremblay, R.; Turcotte, F.; Pasetto, P.; Gastineau, R.; Hardivillier, Y.; et al. Antimicrobial compounds from eukaryotic microalgae against human pathogens and diseases in aquaculture. Mar. Drugs 2016, 14, 159. [Google Scholar] [CrossRef]
- Demay, J.; Bernard, C.; Reinhardt, A.; Marie, B. Natural products from cyanobacteria: Focus on beneficial activities. Mar. Drugs 2019, 17, 320. [Google Scholar] [CrossRef]
- Fish, S.A.; Codd, G.A. Bioactive compound production by thermophilic and thermotolerant cyanobacteria (blue-green algae). World J. Microb. Biot. 1994, 10, 338–341. [Google Scholar] [CrossRef]
- Ošstensvik, O.; Skulberg, O.M.; Underdal, B.; Hormazabal, V. Antibacterial properties of extracts from selected planktonic freshwater cyanobacteria—A comparative study of bacterial bioassays. J. Appl. Microbiol. 1998, 84, 1117–1124. [Google Scholar] [CrossRef]
- Najdenski, H.M.; Gigova, L.G.; Iliev, I.I.; Pilarski, P.S.; Lukavský, J.; Tsvetkova, I.V.; Ninova, M.S.; Kussovski, V.K. Antibacterial and antifungal activities of selected microalgae and cyanobacteria. Int. J. Food Sci. Technol. 2013, 48, 1533–1540. [Google Scholar] [CrossRef]
- Kobayashi, J.J.; Kubota, T. Bioactive metabolites from marine dinoflagellates. Environ. Sci. 2010, 2, 263–325. [Google Scholar] [CrossRef]
- Barone, M.E.; Murphy, E.; Parkes, R.; Fleming, G.T.A.; Campanile, F.; Thomas, O.P.; Touzet, N. Antibacterial Activity and Amphidinol Profiling of the Marine Dinoflagellate Amphidinium carterae (Subclade III). Int. J. Mol. Sci. 2021, 22, 12196. [Google Scholar] [CrossRef]
- Nayak, B.B.; Karunasagar, I.; Karunasagar, I. Influence of bacteria on growth and hemolysin production by the marine dinoflagellate Amphidinium carterae. Mar. Biol. 1997, 130, 35–39. [Google Scholar] [CrossRef]
- Alsenani, F.; Tupally, K.R.; Chua, E.T.; Eltanahy, E.; Alsufyani, H.; Parekh, H.S.; Schenk, P.M. Evaluation of microalgae and cyanobacteria as potential sources of antimicrobial compounds. Saudi Pharm. J. 2020, 28, 1834–1841. [Google Scholar] [CrossRef]
- Shannon, E.; Abu-Ghannam, N. Antibacterial derivatives of marine algae: An overview of pharmacological mechanisms and applications. Mar. Drugs 2016, 14, 81. [Google Scholar] [CrossRef]
- Wang, K.; Jiao, X.; Chu, J.; Liu, P.; Han, S.; Hu, Z.; Qin, S.; Cui, Y. Bait microalga harboring antimicrobial peptide for controlling Vibrio infection in Argopecten irradians aquaculture. Aquaculture 2023, 565, 739128. [Google Scholar] [CrossRef]
- Rojas, V.; Rivas, L.; Cárdenas, C.; Guzmán, F. Cyanobacteria and Eukaryotic Microalgae as Emerging Sources of Antibacterial Peptides. Molecules 2020, 25, 5804. [Google Scholar] [CrossRef]
- Bondad-Reantaso, M.G.; MacKinnon, B.; Karunasagar, I.; Fridman, S.; Alday-Sanz, V.; Brun, E.; Le Groumellec, M.; Li, A.; Surachetpong, W.; Karunasagar, I.; et al. Review of alternatives to antibiotic use in aquaculture. Rev. Aquacult. 2023, 1–31. [Google Scholar] [CrossRef]
- Dash, P.; Avunje, S.; Tandel, R.S.; Sandeep, K.P.; Panigrahi, A. Biocontrol of luminous Vibriosis in shrimp aquaculture: A review of current approaches and future perspectives. Rev. Fish. Sci. Aquac. 2017, 25, 245–255. [Google Scholar] [CrossRef]
- Hotos, G.N.; Avramidou, D.; Mastropetros, S.G.; Tsigkou, K.; Kouvara, K.; Makridis, P.; Kornaros, M. Isolation, identification, and chemical composition analysis of nine microalgal and cyanobacterial species isolated in lagoons of Western Greece. Algal Res. 2023, 69, 102935. [Google Scholar] [CrossRef]
- Makridis, P.; Kokou, F.; Bournakas, C.; Papandroulakis, N.; Sarropoulou, E. Isolation of Phaeobacter sp. from Larvae of Atlantic Bonito (Sarda sarda) in a Mesocosmos Unit, and Its Use for the Rearing of European Seabass Larvae (Dicentrarchus labrax L.). Microorganisms 2021, 9, 128. [Google Scholar] [CrossRef]
- Castillo, D.; D’Alvise, P.; Kalatzis, P.G.; Kokkari, C.; Middelboe, M.; Gram, L.; Liu, S.; Katharios, P. Draft genome sequences of Vibrio alginolyticus strains V1 and V2, opportunistic marine pathogens. Genome Announc. 2015, 3, e00729-15. [Google Scholar] [CrossRef]
- Castillo Bermúdez, D.E.; D’Alvise, P.; Middelboe, M.; Gram, L.; Liu, S.; Kalatzis, P.; Kokkari, C.; Katharios, P. Draft genome sequences of the fish pathogen Vibrio harveyi strains VH2 and VH5. Genome Announc. 2015, 3, e01062-15. [Google Scholar] [CrossRef]
- Smyrli, M.; Prapas, A.; Rigos, G.; Kokkari, C.; Pavlidis, M.; Katharios, P. Aeromonas veronii infection associated with high morbility and mortality in farmed European Seabass Dicentrarchus labrax in the Aegean Sea, Greece. Fish Pathol. 2017, 52, 68–81. [Google Scholar] [CrossRef]
- Makridis, P.; Alves, C.R.; Teresa, D.M. Microbial conditions and antimicrobial activity in cultures of two microalgae species, Tetraselmis chuii and Chlorella minutissima, and effect on bacterial load of enriched Artemia metanauplii. Aquaculture 2006, 255, 76–81. [Google Scholar] [CrossRef]
- Munro, P.D.; Barbour, A.; Birkbeck, T.H. Comparison of the Growth and Survival of Larval Turbot in the Absence of Culturable Bacteria with Those in the Presence of Vibrio anguillarum, Vibrio alginolyticus, or a Marine Aeromonas sp. Appl. Environ. Microbiol. 1995, 61, 4425–4428. [Google Scholar] [CrossRef]
- Stanier, R.Y.; Sistrom, W.R.; Hansen, T.A.; Whitton, B.A.; Castenholz, R.W.; Pfennig, N.; Gorlenko, V.N.; Kondratieva, E.N.; Eimhjellen, K.E.; Whittenbury, R.; et al. Proposal to place nomenclature of cyanobacteria (blue-green algae) under the rules of the International Code of Nomenclature of Bacteria. Int. J. Syst. Bacteriol. 1978, 28, 335–336. [Google Scholar] [CrossRef]
- Katircioglu, H.; Beyatli, Y.; Aslim, B.; Yüksekdag, Z.; Atici, T. Screening for Antimicrobial Agent Production of Some Freshwater. Internet J. Microbiol. 2006, 2, 2. [Google Scholar] [CrossRef]
- Jlidi, M.; Akremi, I.; Ibrahim, A.H.; Brabra, W.; Ali, M.B.; Ali, M.B. Probiotic properties of Bacillus strains isolated from the gastrointestinal tract against pathogenic Vibriosis. Front. Mar. Sci. 2022, 9, 884244. [Google Scholar] [CrossRef]
- Maghembe, R.; Damian, D.; Makaranga, A.; Nyandoro, S.S.; Lyantagaye, S.L.; Kusari, S.; Hati-Kaul, R. Omics for bioprospecting and drug discovery from bacteria and microalgae. Antibiotics 2020, 9, 229. [Google Scholar] [CrossRef]
- Lauritano, C.; De Luca, D.; Ferrarini, A.; Avanzato, C.; Minio, A.; Esposito, F.; Ianora, A. De novo transcriptome of the cosmopolitan dinoflagellate Amphidinium carterae to identify enzymes with biotechnological potential. Sci. Rep. 2017, 7, 11701. [Google Scholar] [CrossRef]
- Rudra, A.K.M.; Gothandam, K.M. Role of microalgal metabolites in controlling quorum-sensing-regulated biofilm. Arch. Microbiol. 2022, 204, 163. [Google Scholar] [CrossRef]
- Sansone, C.; Galasso, C.; Orefice, I.; Nuzzo, G.; Luongo, E.; Cutignano, A.; Romano, G.; Brunet, C.; Fontana, A.; Esposito, F.; et al. The green microalga Tetraselmis suecica reduces oxidative stress and induces repairing mechanisms in human cells. Sci. Rep. 2017, 7, 1–12. [Google Scholar] [CrossRef]
- Di Lena, G.; Casini, I.; Lucarini, M.; Lombardi-Boccia, G. Carotenoid profiling of five microalgae species from large-scale production. Food Res. Int. 2019, 120, 810–818. [Google Scholar] [CrossRef]
- Hemaiswarya, S.; Raja, R.; Kumar, R.R.; Ganesan, V.; Anbazhagan, C. Microalgae: A sustainable feed source for aquaculture. World J. Microb. Biot. 2011, 27, 1737–1746. [Google Scholar] [CrossRef]
- Yao, C.H.; Ai, J.N.; Cao, X.P.; Xue, S. Salinity manipulation as an effective method for enhanced starch production in the marine microalga Tetraselmis subcordiformis. Bioresour. Technol. 2013, 146, 663–671. [Google Scholar] [CrossRef]
- Yao, C.H.; Ai, J.N.; Cao, X.P.; Xue, S.; Zhang, W. Enhancing starch production of a marine green microalga Tetraselmis subcor-diformis through nutrient limitation. Bioresour. Technol. 2012, 118, 438–444. [Google Scholar] [CrossRef]
- Dammak, M.; Hadrich, B.; Miladi, R.; Barkallah, M.; Hentati, F.; Hachicha, R.; Laroche, C.; Michaud, P.; Fendri, I.; Ab-delkafi, S. Effects of nutritional conditions on growth and biochemical composition of Tetraselmis sp. Lipids Health Dis. 2017, 16, 41. [Google Scholar] [CrossRef] [PubMed]
- Hotos, G.N. A Short Review on the Halotolerant Green Microalga Asteromonas gracilis Artari with Emphasis on Its Uses. Asian J. Fish. Aquat. Res. 2019, 4, 1–8. [Google Scholar] [CrossRef]
- Yoshii, Y.; Takaichi, S.; Maoka, T.; Suda, S.; Sekiguchi, H.; Nakayama, T.; Inouye, I. Variation of siphonaxanthin series among the genus Nephroselmis (prasinophyceae, Chlorophyta), including a novel primary methoxy carotenoid. J. Phycol. 2005, 41, 827–834. [Google Scholar] [CrossRef]
- Coulombier, N.; Nicolau, E.; Le Déan, L.; Antheaume, C.; Jauffrais, T.; Lebouvier, N. Impact of Light Intensity on Antioxidant Activity of Tropical Microalgae. Mar. Drugs 2020, 18, 122. [Google Scholar] [CrossRef]
- Dambeck, M.; Sandmann, G. Antioxidative activities of algal keto carotenoids acting as antioxidative protectants in the chloroplast. Photochem. Photobiol. 2014, 90, 814–819. [Google Scholar] [CrossRef]
- Hotos, G.N.; Bekiari, V.; Avramidou, D.E. Calibration Curves of Culture Density Assessed by Spectrophotometer for Three Microalgae (Nephroselmis sp., Amphidinium carterae and Phormidium sp). Eur. J. Appl. Biol. Biotechnol. 2020, 1, 6. [Google Scholar] [CrossRef]
- Nash, E.A.; Barbrook, A.C.; Edwards-Stuart, R.K.; Bernhardt, K.; Howe, C.J.; Nisbet, R.E.R. Organization of the mitochondrial genome in the dinoflagellate Amphidinium carterae. Mol. Biol. Evol. 2007, 24, 1528–1536. [Google Scholar] [CrossRef]
- Damjanović, A.; Ritz, T.; Schulten, K. Excitation transfer in the peridin-inchlorophyll-protein of Amphidinium carterae. Biophys. J. 2000, 79, 1695–1705. [Google Scholar] [CrossRef]
- Bryant, D.A.; Glazer, A.N.; Eiserling, F.A. Characterization and Structural Properties of the Major biliproteins of Anabaena sp. Arch. Microbiol. 1976, 110, 61–75. [Google Scholar] [CrossRef]
- Vatansever, F.; Melo, W.C.M.A.; Avci, P.; Vecchio, D.; Sadasivam, M.; Gupta, A.; Chandran, R.; Karimi, M.; Parizotto, N.A.; Yin, R.; et al. Antimicrobial strategies centered around reactive oxygen species -- bactericidal antibiotics, photodynamic therapy and beyond. FEMS Microbiol. Rev. 2013, 37, 955–989. [Google Scholar] [CrossRef]
- Peltier, G.; Tolleter, D.; Billon, E.; Cournac, L. Auxiliary electron transport pathways in chloroplasts of microalgae. Photosynth. Res. 2010, 106, 19–31. [Google Scholar] [CrossRef]
- Dolapsakis, N.P.; Tafas, T.; Abatzopoulos, T.J.; Ziller, S.; Economou, A.A. Abundance and growth response of microalgae at Megalon Embolon solar saltworks in northern Greece: An aquaculture prospect. J. Appl. Phycol. 2005, 17, 39–49. [Google Scholar] [CrossRef]
- Tzovenis, I.; Economou, A.A. Screening for marine nanoplanktic microalgae from Greek coastal lagoons (Ionian Sea) for use in mariculture. J. Appl. Phycol. 2009, 21, 457–469. [Google Scholar] [CrossRef]
- Yilmatz, S.; Yilmatz, E.; Dawood, M.A.O.; Ringø, E.; Ahmadifar, E.; Abdel-Latif, H.M.R. Probiotics, prebiotics, and synbiotics used to control vibriosis in fish: A review. Aquaculture 2022, 547, 737514. [Google Scholar] [CrossRef]
Disclaimer/Publisher’s Note: The statements, opinions and data contained in all publications are solely those of the individual author(s) and contributor(s) and not of MDPI and/or the editor(s). MDPI and/or the editor(s) disclaim responsibility for any injury to people or property resulting from any ideas, methods, instructions or products referred to in the content. |
© 2023 by the authors. Licensee MDPI, Basel, Switzerland. This article is an open access article distributed under the terms and conditions of the Creative Commons Attribution (CC BY) license (https://creativecommons.org/licenses/by/4.0/).