Assessing the Sensitivity of Plasmopara halstedii Isolates to Mefenoxam through Host Responses
Abstract
1. Introduction
- (1)
- to study the histopathology of hypocotyl infection in a susceptible sunflower cultivar inoculated with P. halstedii isolates with varying degrees of sensitivity to mefenoxam;
- (2)
- to assess the sensitivity of P. halstedii isolates to mefenoxam through host responses to infection, such as symptoms measured by disease severity and growth reduction, and host tissue reactions, such as hypersensitive reaction and necrosis of invaded cells.
2. Materials and Methods
2.1. Plant Material and Treatment of Seeds with Mefenoxam
2.2. Experimental Design
2.3. Plasmopara halstedii Isolates, Preparation of Inoculum, and Inoculation
2.4. Disease Assessment
2.5. Microscopic Observations
2.6. Statistical Analysis
3. Results
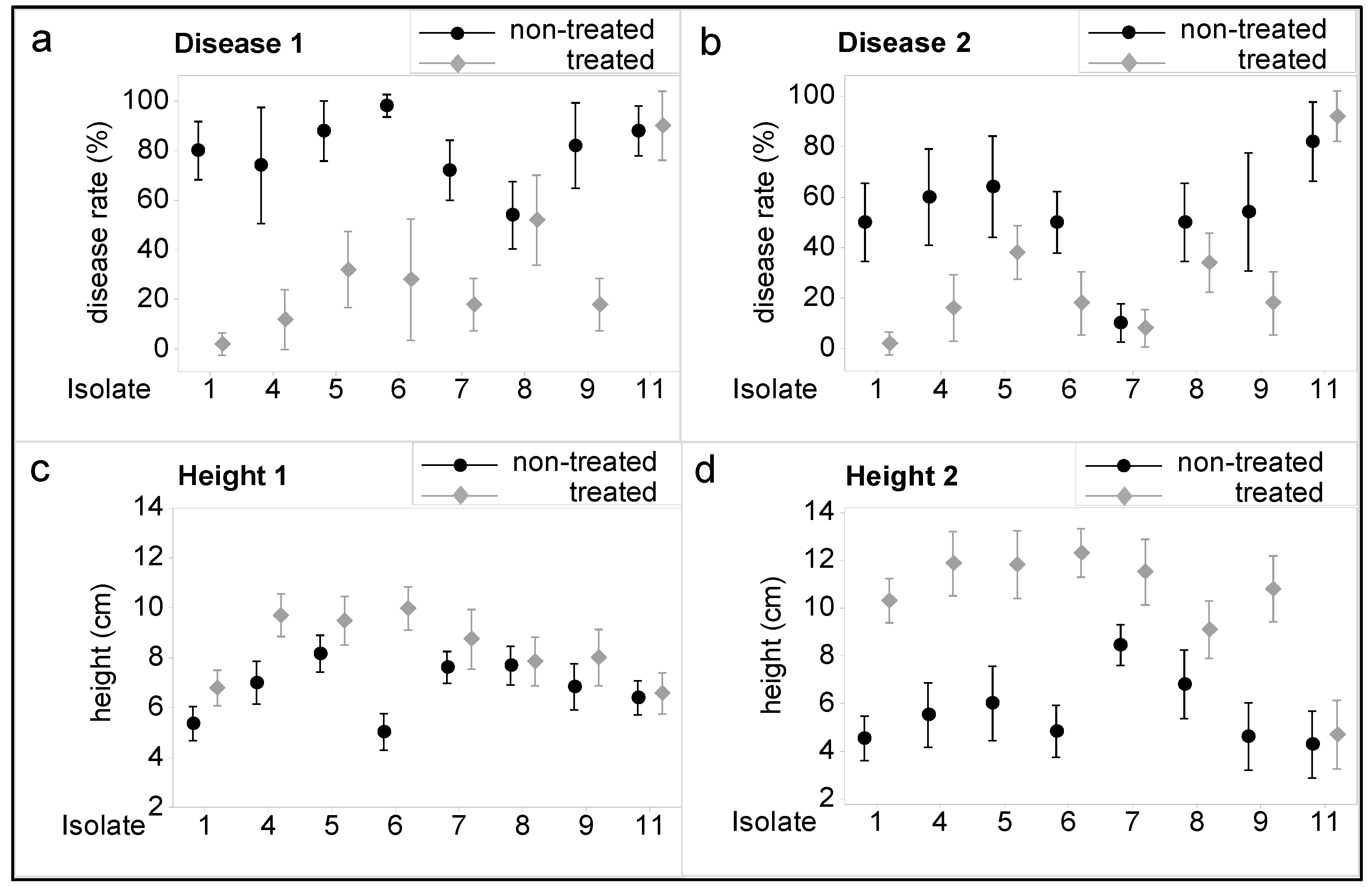
3.1. Disease Rates and Heights
3.2. Microscopic Observations
3.3. Assessing the Sensitivity of Plasmopara halstedii Isolates to Mefenoxam
3.4. Correlations among Macroscopic Parameters
3.5. Correlations among Microscopic Parameters
4. Discussion
Author Contributions
Funding
Data Availability Statement
Acknowledgments
Conflicts of Interest
References
- Statista: Production Volume of Sunflower Seed Oil Worldwide from 2012/13 to 2022/22. Available online: https://www.statista.com/statistics/613490/sunflowerseed-oil-production-volume-worldwide/ (accessed on 1 August 2022).
- Debaeke, P.; Mestries, E.; Desanlis, M.; Seassau, C. Effects of crop management on the incidence and severity of fungal diseases in sunflower. In Sunflowers: Growth and Development, Environmental Influences and Pests/Diseases; Arribas, J.I., Ed.; Botanical Research and Practices; Nova Science Publishers: New York, NY, USA, 2014; pp. 201–226. ISBN 978-1-63117-347-9. [Google Scholar]
- Bán, R.; Kovács, A.; Nisha, N.; Pálinkás, Z.; Zalai, M.; Yousif, A.I.A.; Körösi, K. New and High Virulent Pathotypes of Sunflower Downy Mildew (Plasmopara halstedii) in Seven Countries in Europe. J. Fungi 2021, 7, 549. [Google Scholar] [CrossRef] [PubMed]
- Fawke, S.; Doumane, M.; Schornack, S. Oomycete Interactions with Plants: Infection Strategies and Resistance Principles. Microbiol. Mol. Biol. Rev. 2015, 79, 263–280. [Google Scholar] [CrossRef] [PubMed]
- Viranyi, F.; Spring, O. Advances in sunflower downy mildew research. Eur. J. Plant Pathol. 2011, 129, 207–220. [Google Scholar] [CrossRef]
- Spring, O. Transition of secondary to systemic infection of sunflower with Plasmopara halstedii—An underestimated factor in the epidemiology of the pathogen. Fungal Ecol. 2009, 2, 75–80. [Google Scholar] [CrossRef]
- Spring, O. Non-systemic infections of sunflower with Plasmopara halstedii and their putative role in the distribution of the pathogen. J. Plant Dis. Prot. 2001, 108, 329–336. [Google Scholar]
- Gascuel, Q.; Martinez, Y.; Boniface, M.-C.; Vear, F.; Pichon, M.; Godiard, L. The sunflower downy mildew pathogen Plasmopara halstedii: Plasmopara halstedii, sunflower downy mildew. Mol. Plant Pathol. 2015, 16, 109–122. [Google Scholar] [CrossRef]
- Sakr, N. Variation in aggressiveness of Plasmopara halstedii (sunflower downy mildew). J. Plant Dis. Prot. 2009, 116, 247–251. [Google Scholar] [CrossRef]
- de Labrouhe, D.T.; Pilorge, E.; Nicolas, P.; Vear, F. Le mildiou du tournesol. In CETIOM; INRA: Paris, France, 2000. [Google Scholar]
- Gisi, U.; Sierotzki, H. Fungicide modes of action and resistance in downy mildews. Eur. J. Plant Pathol. 2008, 122, 157–167. [Google Scholar] [CrossRef]
- Gisi, U.; Sierotzki, H. Oomycete Fungicides: Phenylamides, Quinone Outside Inhibitors, and Carboxylic Acid Amides. In Fungicide Resistance in Plant Pathogens; Ishii, H., Hollomon, D.W., Eds.; Springer: Tokyo, Japan, 2015; pp. 145–174. ISBN 978-4-431-55641-1. [Google Scholar]
- Oros, G.; Viranyi, F. Resistance of Plasmopara halstedii to metalaxyl in the greenhouse. Temp. Downy Mildew Newsl. 1984, 3, 22–23. [Google Scholar]
- Delen, N.; Onoğur, E.; Yıldız, M. Sensitivity levels to metalaxyl in six Plasmopara helianthi Novot. isolates. J. Turk. Phytopathol. 1985, 14, 31–36. [Google Scholar]
- Lafon, S.; Penaud, A.; Walser, P.; De Guenin, M.C.; Molinero, V. Le mildiou du tournesol toujours sous surveillance. Phytoma Déf. Vég. 1996, 484, 35–36. [Google Scholar]
- Albourie, J.-M.; Tourvieille, J.; de Labrouhe, D.T. Resistance to metalaxyl in isolates of the sunflower pathogen Plasmopara halstedii. Eur. J. Plant Pathol. 1998, 104, 235–242. [Google Scholar] [CrossRef]
- Gulya, T.J. Metalaxyl resistance in sunflower downy mildew and control through genetics and alternative fungicides. In Proceedings of the 15th International Sunflower Conference, Toulouse, France, 12–16 June 2000; International Sunflower Association: Toulouse, France, 2000; Volume 2, pp. 79–84. [Google Scholar]
- Molinero-Ruiz, M.L.; Melero-Vara, J.M.; Gulya, T.J.; Dominguez, J. First Report of Resistance to Metalaxyl in Downy Mildew of Sunflower Caused by Plasmopara halstedii in Spain. Plant Dis. 2003, 87, 749. [Google Scholar] [CrossRef] [PubMed]
- Körösi, K.; Kovács, A.; Nisha, N.; Bóta, I.; Perczel, M.; Yousif, A.I.A.; Kiss, J.; Bán, R. New data on pathotype distribution and mefenoxam tolerance of Plasmopara halstedii in Hungary. Plant Prot. Sci. 2021, 57, 31–37. [Google Scholar] [CrossRef]
- Iwebor, M.V.; Antonova, T.S.; Araslanova, N.M.; Saukova, S.S.; Pitinova, Y.V.; Eliseeva, K.K. The situation in the population of the sunflower downy mildew pathogen in some regions of the Russian Federation. Agric. Sci. Euro-North-East 2022, 23, 90–97. [Google Scholar] [CrossRef]
- Brent, K.J. Fungicide resistance in crop pathogens: How can it be managed? In FRAC Monograph; GIFAP: Brussels, Belgium, 1995; ISBN 978-90-72398-07-9. [Google Scholar]
- FRAC: FRAC Code List 2022. Available online: https://www.frac.info/docs/default-source/publications/frac-code-list/frac-code-list-2022--final.pdf?sfvrsn=b6024e9a_2 (accessed on 20 December 2022).
- Mouzeyar, S.; Vear, F.; de Labrouhe, D.T. Microscopical studies of the effect of metalaxyl on the interaction between sunflower, Helianthus annuus L. and downy mildew, Plasmopara halstedii. Eur. J. Plant Pathol. 1995, 101, 399–404. [Google Scholar] [CrossRef]
- Trojanová, Z.; Sedlářová, M.; Gulya, T.J.; Lebeda, A. Methodology of virulence screening and race characterization of Plasmopara halstedii, and resistance evaluation in sunflower—A review. Plant Pathol. 2017, 66, 171–185. [Google Scholar] [CrossRef]
- Bán, R.; Viranyi, F.; Komjáti, H. Benzothiadiazole-Induced Resistance to Plasmopara halstedii (Farl.) Berl. et de Toni in Sunflower. In Advances in Downy Mildew Research—Volume 2; Spencer-Phillips, P., Jeger, M., Eds.; Developments in Plant Pathology; Springer: Dordrecht, The Netherlands, 2004; Volume 16, pp. 265–273. ISBN 978-90-481-6697-8. [Google Scholar]
- Viranyi, F.; Oros, G. Developmental stage response to fungicides of Plasmopara halstedii (sunflower downy mildew). Mycol. Res. 1991, 95, 199–205. [Google Scholar] [CrossRef]
- Allard, C. Invasion et colonisation systomique de la plantule de tournesol (Helianthus annus L.) par le Plasmopara halstedii (Farl.) Berl. et de Toni. Ann. Phytopathol. 1978, 10, 197–217. [Google Scholar]
- Wehtje, G.; Littelfield, L.; Zimmer, D.E. Ultrastructure of compatible and incompatible reactions of sunflower to Plasmopara halstedii. Can. J. Bot. 1979, 57, 315–323. [Google Scholar] [CrossRef]
- Gray, A.B.; Sackston, W.E. Early stages of infection of resistant and susceptible sunflower seedlings by three races of Plasmopara halstedii. Can. J. Bot. 1985, 63, 1725–1729. [Google Scholar] [CrossRef]
- Mouzeyar, S.; de Labrouhe, D.T.; Vear, F. Histopathological studies of resistance of sunflower (Helianthus annuus L.) to downy mildew (Plasmopara halstedii). J. Phytopathol. 1993, 139, 289–297. [Google Scholar] [CrossRef]
- Mouzeyar, S.; de Labrouhe, D.T.; Vear, F. Effect of host-race combination on resistance of sunflower (Helianthus annuus L.) to downy mildew (Plasmopara halstedii). J. Phytopathol. 1994, 141, 249–258. [Google Scholar] [CrossRef]
- Radwan, O.; Bouzidi, M.F.; Mouzeyar, S. Molecular Characterization of Two Types of Resistance in Sunflower to Plasmopara halstedii, the Causal Agent of Downy Mildew. Phytopathology 2011, 101, 970–979. [Google Scholar] [CrossRef]
- Ward, E.W.B. Suppression of metalaxyl activity by glyphosate: Evidence that host defence mechanisms contribute to metalaxyl in hibition of Phytophthora megasperma f. sp. glycinea in soybeans. Physiol. Plant Pathol. 1984, 25, 381–386. [Google Scholar] [CrossRef]
- Cahill, D.M.; Morris, P.F.; Ward, E.W.B. Influence of metalaxyl on abscisic acid levels in soybean hypocotyls infected with Phytophthora sojae. Physiol. Mol. Plant Pathol. 1993, 42, 109–121. [Google Scholar] [CrossRef]
- Hickey, E.L.; Coffey, M.D. The effects of Ridomil on Peronospora pisi parasitizing Pisum sativum: An ultrastructural investigation. Physiol. Plant Pathol. 1980, 17, 199–204. [Google Scholar] [CrossRef]
- Ward, E.W.B.; Lazarovits, G.; Stössel, P.; Barrie, S.D.; Unwin, C.H. Glyceollin production associated with control of Phythophthora rot of soybeans by the systemic fungicide, metalaxyl. Phytopathology 1980, 70, 738–740. [Google Scholar] [CrossRef]
- Lazarovits, G.; Ward, E.W.B. Relationship between localized glyceollin accumulation and metalaxyl treatment in the control of Phytophthora rot in soybean hypocotyls. Phytopathology 1982, 72, 1217–1221. [Google Scholar] [CrossRef]
- Stössel, P.; Lazarovits, G.; Ward, E.W.B. Light and electron microscopy of Phytophthora rot in soybeans treated with metalaxyl. Phytopathology 1982, 72, 106–111. [Google Scholar] [CrossRef]
- Cahill, D.M.; Ward, E.W.B. Effects of metalaxyl on elicitor activity, stimulation of glyceollin production and growth of sensitive and tolerant isolates of Phytophthora megasperma f.sp. glycinea. Physiol. Mol. Plant Pathol. 1989, 35, 97–112. [Google Scholar] [CrossRef]
- Heller, A.; Rozynek, B.; Spring, O. Cytological and physiological reasons for the latent type of infection in sunflower caused by Plasmopara halstedii. J. Phytopathol. 1997, 145, 441–445. [Google Scholar] [CrossRef]



| Isolate Code | Locality (County) | Year of Collection | Pathotype (Virulence Phenotype) |
|---|---|---|---|
| 1 | Mezőkovácsháza (Békés) | 2017 | 724 |
| 4 | Kömlő (Heves) | 2014 | 704 |
| 5 | Doboz (Békés) | 2014 | 704 |
| 6 | Körösladány (Békés) | 2014 | 714 |
| 7 | Szeghalom (Békés) | 2017 | 724 |
| 8 | Pély (Heves) | 2017 | 704 |
| 9 | Bonyhád (Tolna) | 2017 | 724 |
| 11 | Rákóczifalva (Jász-Nagykun-Szolnok) | 2012 | 704 |
| Variables | Cluster 1 | Cluster 2 | Cluster 3 | Cluster 4 |
|---|---|---|---|---|
| Disease 1 (%) | 90.2 ± 6.9 d | 72.2 ± 12 c | 20.4 ± 12.3 a | 38.2 ± 13.3 b |
| Disease 2 (%) | 74.5 ± 10.8 c | 29.6 ± 10.4 b | 15.9 ± 8.6 a | 27.3 ± 10.2 ab |
| Height 1 (cm) | 6.0 ± 0.8 a | 7.1 ± 0.4 b | 9.7 ± 0.8 c | 7.4 ± 0.6 b |
| Height 2 (cm) | 4.0 ± 1.0 a | 7.5 ± 0.6 b | 11.7 ± 1.1 d | 9.3 ± 0.9 c |
| Variables | Cluster 1 | Cluster 2 | Cluster 3 |
|---|---|---|---|
| H_Cort | 3.7 ± 0.3 c | 3.0 ± 0.5 b | 0.2 ± 0.2 a |
| HR_Cort | 0.4 ± 0.4 c | 0.2 ± 0.2 b | 0 a |
| NEC_Cort | 0.7 ± 0.5 c | 0.5 ± 0.4 b | 0 a |
| H_Pith | 3.6 ± 0.4 c | 0.5 ± 0.3 b | 0 a |
| HR_Pith | 0.1 ± 0.2 b | 0 a | 0 a |
| NEC_Pith | 0.1 ± 0.2 b | 0 a | 0 a |
| Variable | Disease 1 | Disease 2 | Height 1 | Height 2 |
|---|---|---|---|---|
| Panel A: Non-treated (n = 80) | ||||
| Disease 1 | 1 | 0.346 ** | −0.465 ** | −0.550 ** |
| Disease 2 | 1 | −0.439 ** | −0.713 ** | |
| Height 1 | 1 | 0.737 ** | ||
| Height 2 | 1 | |||
| Panel B: Treated (n = 80) | ||||
| Disease 1 | 1 | 0.701 ** | −0.368 ** | −0.700 ** |
| Disease 2 | 1 | −0.329 ** | −0.722 ** | |
| Height 1 | 1 | 0.741 ** | ||
| Height 2 | 1 | |||
| Variable | H_Cort | HR_Cort | NEC_Cort | H_Pith | HR_Pith | NEC_Pith |
|---|---|---|---|---|---|---|
| Panel A: Non-treated (n = 200) | ||||||
| H_Cort | 1 | 0.211 ** | 0.291 ** | 0.508 ** | 0.158 ** | 0.150 ** |
| HR_Cort | 1 | 0.240 ** | 0.193 ** | 0.375 ** | 0.080 | |
| Nec_Cort | 1 | 0.223 ** | 0.155 ** | 0.172 ** | ||
| H_Pith | 1 | 0.156 ** | 0.248 ** | |||
| HR_Pith | 1 | 0.106 * | ||||
| Nec_Pith | 1 | |||||
| Panel B: Treated (n = 200) | ||||||
| H_Cort | 1 | 0.327 ** | 0.488 ** | 0.759 ** | 0.174 ** | 0.153 ** |
| HR_Cort | 1 | 0.072 | 0.213 ** | 0.241 ** | 0.029 | |
| Nec_Cort | 1 | 0.547 ** | 0.079 | 0.180 ** | ||
| H_Pith | 1 | 0.204 ** | 0.169 ** | |||
| HR_Pith | 1 | 0.129 * | ||||
| Nec_Pith | 1 | |||||
Disclaimer/Publisher’s Note: The statements, opinions and data contained in all publications are solely those of the individual author(s) and contributor(s) and not of MDPI and/or the editor(s). MDPI and/or the editor(s) disclaim responsibility for any injury to people or property resulting from any ideas, methods, instructions or products referred to in the content. |
© 2023 by the authors. Licensee MDPI, Basel, Switzerland. This article is an open access article distributed under the terms and conditions of the Creative Commons Attribution (CC BY) license (https://creativecommons.org/licenses/by/4.0/).
Share and Cite
Nisha, N.; Vinogradov, S.; Körösi, K.; Berisha, A.; Bán, R. Assessing the Sensitivity of Plasmopara halstedii Isolates to Mefenoxam through Host Responses. Microorganisms 2023, 11, 821. https://doi.org/10.3390/microorganisms11040821
Nisha N, Vinogradov S, Körösi K, Berisha A, Bán R. Assessing the Sensitivity of Plasmopara halstedii Isolates to Mefenoxam through Host Responses. Microorganisms. 2023; 11(4):821. https://doi.org/10.3390/microorganisms11040821
Chicago/Turabian StyleNisha, Nisha, Sergey Vinogradov, Katalin Körösi, Arbnora Berisha, and Rita Bán. 2023. "Assessing the Sensitivity of Plasmopara halstedii Isolates to Mefenoxam through Host Responses" Microorganisms 11, no. 4: 821. https://doi.org/10.3390/microorganisms11040821
APA StyleNisha, N., Vinogradov, S., Körösi, K., Berisha, A., & Bán, R. (2023). Assessing the Sensitivity of Plasmopara halstedii Isolates to Mefenoxam through Host Responses. Microorganisms, 11(4), 821. https://doi.org/10.3390/microorganisms11040821

