Evaluating Antimicrobial Resistance Trends in Commensal Escherichia coli Isolated from Cecal Samples of Swine at Slaughter in the United States, 2013–2019
Abstract
1. Introduction
2. Materials and Methods
2.1. Study Design
2.2. Bacterial Isolation and Antimicrobial Susceptibility Testing
2.3. Statistical Analyses
3. Results
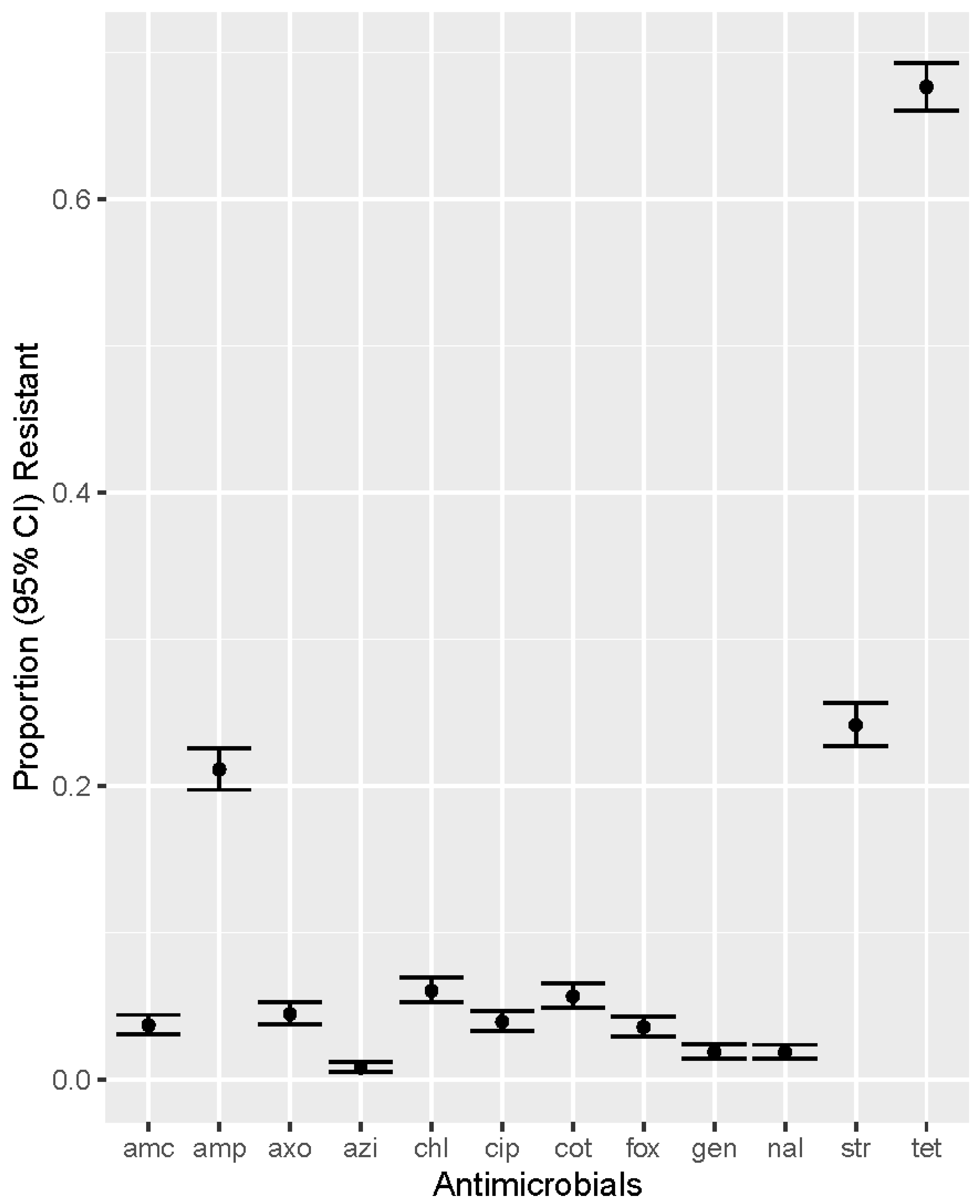
3.1. Prevalence of Antimicrobial Resistance
3.2. Antimicrobial Resistance Trends over Time
3.3. Antimicrobial Resistance Patterns and Clustering
3.3.1. Clustering Dendrogram
3.3.2. Correlation among Antimicrobial Resistances
3.3.3. Antimicrobial Resistance Patterns
3.4. Poisson Regression Analysis
4. Discussion
5. Conclusions
Supplementary Materials
Author Contributions
Funding
Data Availability Statement
Conflicts of Interest
References
- McEwen, S.A.; Collignon, P.J. Antimicrobial Resistance: A One Health Perspective. Antimicrob. Resist. Bact. Livest. Companion Anim. 2018, 521–547. [Google Scholar] [CrossRef]
- Meemken, D.; Cuny, C.; Witte, W.; Eichler, U.; Staudt, R.; Blaha, T. Occurrence of MRSA in pigs and in humans involved in pig production—Preliminary results of a study in the northwest of Germany. DTW Dtsch. Tierarztl. Wochenschr. 2008, 115, 132–139. [Google Scholar] [PubMed]
- Chantziaras, I.; Boyen, F.; Callens, B.; Dewulf, J. Correlation between veterinary antimicrobial use and antimicrobial resistance in food-producing animals: A report on seven countries. J. Antimicrob. Chemother. 2014, 69, 827–834. [Google Scholar] [CrossRef] [PubMed]
- Centers for Disease Control and Prevention; U.S. Department of Health and Human Services. Antibiotic Resistance Threats in the United States, 2019; Centers for Disease Control and Prevention: Atlanta, GA, USA, 2019. Available online: https://ndc.services.cdc.gov/wp-content/uploads/Antibiotic-Resistance-Threats-in-the-United-States-2019.pdf (accessed on 21 March 2023).
- Food and Drug Administration. NARMS 2017 Integrated Report: Executive Summary. U.S. Department of Health and Human Services, Food and Drug Administration. 2018. Available online: https://www.fda.gov/animal-veterinary/national-antimicrobial-resistance-monitoring-system/2018-narms-update-integrated-report-summary (accessed on 21 March 2023).
- Peng, Z.; Hu, Z.; Li, Z.; Zhang, X.; Jia, C.; Li, T.; Dai, M.; Tan, C.; Xu, Z.; Wu, B.; et al. Antimicrobial Resistance and Population Genomics of Multidrug-Resistant Escherichia coli in Pig Farms in Mainland China. Nat. Commun. 2022, 13, 1116. [Google Scholar] [CrossRef]
- Varga, C.; Rajić, A.; McFall, M.E.; Reid-Smith, R.J.; Deckert, A.E.; Checkley, S.L.; McEwen, S.A. Associations between reported on-farm antimicrobial use practices and observed antimicrobial resistance in generic fecal Escherichia coli isolated from Alberta finishing swine farms. Prev. Vet. Med. 2009, 88, 185–192. [Google Scholar] [CrossRef]
- Food and Drug Administration. 2021 Summary Report on Antimicrobials Sold or Distributed for Use in Food-Producing Animals. Available online: https://www.fda.gov/media/163739/download (accessed on 21 March 2023).
- Food and Drug Administration. Guidance for Industry #209: The Judicious Use of Medically Important Antimicrobial Drugs in Food-Producing Animals; Docket No. FDA-2010-D-0094; Food and Drug Administration: Rockville, MD, USA, 2012. Available online: https://www.fda.gov/regulatory-information/search-fda-guidance-documents/cvm-gfi-209-judicious-use-medically-important-antimicrobial-drugs-food-producing-animals (accessed on 21 March 2023).
- Food and Drug Administration. Veterinary Feed Directive (VFD). 2015. Available online: https://www.fda.gov/animal-veterinary/development-approval-process/veterinary-feed-directive-vfd (accessed on 21 March 2023).
- Skockova, A.; Kolackova, I.; Bogdanovicova, K.; Karpiskova, R. Characteristic and Antimicrobial Resistance in Escherichia coli from Retail Meats Purchased in the Czech Republic. Food Control 2015, 47, 401–406. [Google Scholar] [CrossRef]
- United States Department of Agriculture (USDA) Foreign Agricultural Service. Available online: https://apps.fas.usda.gov/psdonline/app/index.html#/app/advQuery (accessed on 21 March 2023).
- Gibbons, J.F.; Boland, F.; Egan, J.; Fanning, S.; Markey, B.K.; Leonard, F.C. Antimicrobial Resistance of Faecal Escherichia coli Isolates from Pig Farms with Different Durations of In-Feed Antimicrobial Use. Zoonoses Public Health 2016, 63, 241–250. [Google Scholar] [CrossRef]
- Bonardi, S.; Cabassi, C.S.; Manfreda, G.; Parisi, A.; Fiaccadori, E.; Sabatino, A.; Cavirani, S.; Bacci, C.; Rega, M.; Spadini, C.; et al. Survey on Carbapenem-Resistant Bacteria in Pigs at Slaughter and Comparison with Human Clinical Isolates in Italy. Antibiotics 2022, 11, 777. [Google Scholar] [CrossRef]
- Wasyl, D.; Hoszowski, A.; Zając, M.; Szulowski, K. Antimicrobial Resistance in Commensal Escherichia coli Isolated from Animals at Slaughter. Front. Microbiol. 2013, 4, 221. [Google Scholar] [CrossRef]
- Song, H.J.; Kim, S.J.; Moon, D.C.; Mechesso, A.F.; Choi, J.H.; Kang, H.Y.; Boby, N.; Yoon, S.S.; Lim, S.K. Antimicrobial Resistance in Escherichia coli Isolates from Healthy Food Animals in South Korea, 2010–2020. Microorganisms 2022, 10, 524. [Google Scholar] [CrossRef]
- Zhang, R.Q.; Ying, G.G.; Su, H.C.; Zhou, L.J.; Liu, Y.S. Antibiotic Resistance and Genetic Diversity of Escherichia coli Isolates from Traditional and Integrated Aquaculture in South China. J. Environ. Sci. Health B 2013, 48, 999–1013. [Google Scholar] [CrossRef]
- Khan, F.M.; Gupta, R. Escherichia coli (E. coli) as an Indicator of Fecal Contamination in Groundwater: A Review. In Proceedings of the ICSDWE2020, Incheon, Republic of Korea, 13–14 January 2020; pp. 225–235. Available online: https://link.springer.com/chapter/10.1007/978-3-030-45263-6_21 (accessed on 21 March 2023).
- Alvarez-Fernandez, E.; Cancelo, A.; Diaz-Vega, C.; Capita, R.; Alonso-Calleja, C. Antimicrobial resistance in E. coli isolates from conventionally and organically reared poultry: A comparison of agar disc diffusion and sensi test gram-negative methods. Food Control 2013, 30, 227–234. [Google Scholar] [CrossRef]
- Burow, E.; Rostalski, A.; Harlizius, J.; Gangl, A.; Simoneit, C.; Grobbel, M.; Kollas, C.; Tenhagen, B.A.; Käsbohrer, A. Antibiotic Resistance in Escherichia coli from Pigs from Birth to Slaughter and Its Association with Antibiotic Treatment. Prev. Vet. Med. 2019, 165, 52–62. [Google Scholar] [CrossRef]
- Stubberfield, E.; AbuOun, M.; Sayers, E.; O’Connor, H.M.; Card, R.M.; Anjum, M.F. Use of whole genome sequencing of commensal Escherichia coli in pigs for antimicrobial resistance surveillance, United Kingdom, 2018. Eurosurveillance 2019, 24, 1900136. [Google Scholar] [CrossRef]
- McEwen, S.A.; Fedorka-Cray, P.J. Antimicrobial Use and Resistance in Animals. Clin. Infect. Dis. 2002, 34, S93–S106. [Google Scholar] [CrossRef]
- Anjum, M.F.; Schmitt, H.; Börjesson, S.; Berendonk, T.U.; WAWES Network. The Potential of Using E. coli as an Indicator for the Surveillance of Antimicrobial Resistance (AMR) in the Environment. Curr. Opin. Microbiol. 2021, 64, 152–158. [Google Scholar] [CrossRef]
- Diallo, O.O.; Baron, S.A.; Abat, C.; Colson, P.; Chaudet, H.; Rolain, J.M. Antibiotic Resistance Surveillance Systems: A Review. J. Glob. Antimicrob. Resist. 2020, 23, 430–438. [Google Scholar] [CrossRef]
- Hesp, A.; Veldman, K.; van der Goot, J.; Mevius, D.; van Schaik, G. Monitoring Antimicrobial Resistance Trends in Commensal Escherichia coli from Livestock, the Netherlands, 1998 to 2016. Eurosurveillance 2019, 24, 1800438. [Google Scholar] [CrossRef]
- Hanon, J.B.; Jaspers, S.; Butaye, P.; Wattiau, P.; Méroc, E.; Aerts, M.; Imberechts, H.; Vermeersch, K.; Van der Stede, Y. A Trend Analysis of Antimicrobial Resistance in Commensal Escherichia coli from Several Livestock Species in Belgium (2011–2014). Prev. Vet. Med. 2015, 122, 443–452. [Google Scholar] [CrossRef]
- Mader, R.; Muñoz Madero, C.; Aasmäe, B.; Bourély, C.; Broens, E.M.; Busani, L.; Callens, B.; Collineau, L.; Crespo-Robledo, P.; Damborg, P.; et al. Review and Analysis of National Monitoring Systems for Antimicrobial Resistance in Animal Bacterial Pathogens in Europe: A Basis for the Development of the European Antimicrobial Resistance Surveillance Network in Veterinary Medicine (EARS-Vet). Front. Microbiol. 2022, 13, 838490. [Google Scholar] [CrossRef]
- Food and Drug Administration. NARMS Now; U.S. Department of Health and Human Services: Rockville, MD, USA, 2021. Available online: https://www.fda.gov/animal-veterinary/national-antimicrobial-resistance-monitoring-system/narms-now-integrated-data (accessed on 18 March 2023).
- DANMAP. Use of Antimicrobial Agents and Occurrence of Antimicrobial Resistance in Bacteria from Food Animals, Food and Humans in Denmark. 2020. Available online: https://www.danmap.org/Reports/2020.aspx (accessed on 18 March 2023).
- Government of Canada. Canadian Integrated Program for Antimicrobial Resistance Surveillance (CIPARS) 2018 Annual Report. 2018. Available online: https://www.canada.ca/en/public-health/services/publications/drugs-health-products/canadian-integrated-program-antimicrobial-resistance-surveillance-2018-annual-report.html (accessed on 18 March 2023).
- Hayer, S.S.; Rovira, A.; Olsen, K.; Johnson, T.J.; Vannucci, F.; Rendahl, A.; Perez, A.; Alvarez, J. Prevalence and trend analysis of antimicrobial resistance in clinical Escherichia coli isolates collected from diseased pigs in the USA between 2006 and 2016. Transbound. Emerg. Dis. 2020, 67, 1930–1941. [Google Scholar] [CrossRef]
- Food and Drug Administration. The National Antimicrobial Resistance Monitoring System Manual of Laboratory Methods; Food and Drug Administration: Rockville, MD, USA, 2020. Available online: https://www.fda.gov/media/101423/download (accessed on 22 March 2023).
- European Food Safety Authority. The European Union Summary Report on Antimicrobial Resistance in zoonotic and indicator bacteria from humans, animals and food in 2018/2019. EFSA J. 2021, 19, 6498. [Google Scholar] [CrossRef]
- R Core Team. R: A Language and Environment for Statistical Computing; R Foundation for Statistical Computing: Vienna, Austria, 2020; Available online: http://www.r-project.org/index.html (accessed on 22 March 2023).
- Tadesse, D.A.; Zhao, S.; Tong, E.; Ayers, S.; Singh, A.; Bartholomew, M.J.; McDermott, P.F. Antimicrobial Drug Resistance in Escherichia coli from Humans and Food Animals, United States, 1950–2002. Emerg. Infect. Dis. 2012, 18, 741. [Google Scholar] [CrossRef] [PubMed]
- Gong, J.; Xu, M.; Zhu, C.; Miao, J.; Liu, X.; Xu, B.; Zhang, J.; Yu, Y.; Jia, X. Antimicrobial resistance, presence of integrons and biofilm formation of Salmonella Pullorum isolates from Eastern China (1962–2010). Avian Pathol. 2013, 42, 290–294. [Google Scholar] [CrossRef] [PubMed]
- Chen, X.; Zhang, W.; Yin, J.; Zhang, N.; Geng, S.; Zhou, X.; Wang, Y.; Gao, S.; Jiao, X. Escherichia coli isolates from sick chickens in China: Changes in antimicrobial resistance between 1993 and 2013. Vet. J. 2014, 202, 112–115. [Google Scholar] [CrossRef]
- Yassin, A.K.; Gong, J.; Kelly, P.; Lu, G.; Guardabassi, L.; Wei, L.; Han, X.; Qiu, H.; Price, S.; Cheng, D.; et al. Antimicrobial resistance in clinical Escherichia coli isolates from poultry and livestock, China. PLoS ONE 2017, 12, e0185326. [Google Scholar] [CrossRef]
- Zhang, P.; Shen, Z.; Zhang, C.; Song, L.; Wang, B.; Shang, J.; Yue, X.; Qu, Z.; Li, X.; Wu, L.; et al. Surveillance of antimicrobial resistance among Escherichia coli from chicken and swine, China, 2008–2015. Vet. Microbiol. 2017, 203, 49–55. [Google Scholar] [CrossRef]
- De Jong, A.; El Garch, F.; Hocquet, D.; Prenger-Berninghoff, E.; Dewulf, J.; Migura-Garcia, L.; Perrin-Guyomard, A.; Veldman, K.T.; Janosi, S.; Skarzynska, M.; et al. European-Wide Antimicrobial Resistance Monitoring in Commensal Escherichia coli Isolated from Healthy Food Animals between 2004 and 2018. J. Antimicrob. Chemother. 2022, 77, 3301–3311. [Google Scholar] [CrossRef]
- Sunde, M.; Sørum, H. Self-Transmissible Multidrug Resistance Plasmids in Escherichia coli of the Normal Intestinal Flora of Healthy Swine. Microb. Drug Resist. 2001, 7, 191–196. [Google Scholar] [CrossRef]
- Misumi, W.; Funamori, T.; Hamada, K.; Iwamoto, J.; Fujisono, S.; Chitose, K.; Kusumoto, M. Association between Antimicrobial Treatment and Resistance of Pathogenic Escherichia coli Isolated from Diseased Swine in Kagoshima Prefecture, Japan. J. Vet. Med. Sci. 2021, 83, 358–369. [Google Scholar] [CrossRef]
- Bevan, E.R.; Jones, A.M.; Hawkey, P.M. Global Epidemiology of CTX-M β-Lactamases: Temporal and Geographical Shifts in Genotype. J. Antimicrob. Chemother. 2017, 72, 2145–2155. [Google Scholar] [CrossRef]
- Wittum, T.E.; Mollenkopf, D.F.; Erdman, M.M. Detection of Salmonella enterica Isolates Producing CTX-M Cephalosporinase in U.S. Livestock Populations. Appl. Environ. Microbiol. 2012, 78, 7487–7491. [Google Scholar] [CrossRef]
- Guo, Y.-F.; Zhang, W.-H.; Ren, S.-Q.; Yang, L.; Lü, D.-H.; Zeng, Z.-L.; Liu, Y.-H.; Jiang, H.-X. IncA/C Plasmid-Mediated Spread of CMY-2 in Multidrugresistant Escherichia coli from Food Animals in China. PLoS ONE 2014, 9, e96738. [Google Scholar] [CrossRef]
- Ferreira, J.C.; Penha Filho, R.A.C.; Andrade, L.N.; Berchieri Junior, A.; Darini, A.L.C. Diversity of Plasmids Harboring blaCMY-2 in Multidrug-Resistant Escherichia coli Isolated from Poultry in Brazil. Diagn. Microbiol. Infect. Dis. 2017, 88, 361–364. [Google Scholar] [CrossRef]
- Castellanos, L.R.; Donado-Godoy, P.; León, M.; Clavijo, V.; Arevalo, A.; Bernal, J.F.; Timmerman, A.J.; Mevius, D.J.; Wagenaar, J.A.; Hordijk, J. High Heterogeneity of Escherichia coli Sequence Types Harbouring ESBL/ AmpC Genes on IncI1 Plasmids in the Colombian Poultry Chain. PLoS ONE 2017, 12, e0170777. [Google Scholar] [CrossRef]
- Castellanos, L.R.; van der Graaf-van Bloois, L.; Donado-Godoy, P.; Mevius, D.J.; Wagenaar, J.A.; Hordijk, J.; Zomer, A.L. Phylogenomic Investigation of IncI1-I Plasmids Harboring blaCMY-2 and blaSHV-12 in Salmonella enterica and Escherichia coli in Multiple Countries. Antimicrob. Agents Chemother. 2019, 63, e02546-18. [Google Scholar] [CrossRef]
- Holmes, A.H.; Moore, L.S.P.; Sundsfjord, A.; Steinbakk, M.; Regmi, S.; Karkey, A.; Guerin, P.J.; Piddock, L.J.V. Understanding the Mechanisms and Drivers of Antimicrobial Resistance. Lancet 2016, 387, 176–187. [Google Scholar] [CrossRef]
- Berge, A.C.; Atwill, E.R.; Sischo, W.M. Animal and Farm Influences on the Dynamics of Antibiotic Resistance in Faecal E. coli in Young Dairy Calves. Prev. Vet. Med. 2005, 69, 25–38. [Google Scholar] [CrossRef]
- Bosman, A.B.; Wagenaar, J.A.; Stegeman, J.A.; Vernooij, J.C.; Mevius, D.J. Antimicrobial Resistance in Commensal E. coli in Veal Calves Is Associated with Antimicrobial Drug Use. Epidemiol. Infect. 2014, 142, 1893–1904. [Google Scholar] [CrossRef]
- Burow, E.; Simoneit, C.; Tenhagen, B.A.; Käsbohrer, A. Oral Antimicrobials Increase Antimicrobial Resistance in Porcine E. coli—A Systematic Review. Prev. Vet. Med. 2014, 113, 364–375. [Google Scholar] [CrossRef]
- Li, P.; Wu, D.; Liu, K.; Suolang, S.; He, T.; Liu, X.; Wu, C.; Wang, Y.; Lin, D. Investigation of antimicrobial resistance in E. coli and Enterococci isolated from Tibetan pigs. PLoS ONE 2014, 4, e95623. [Google Scholar] [CrossRef]
- Simoneit, C.; Burow, E.; Tenhagen, B.A.; Käsbohrer, A. Oral administration ofantimicrobials increase antimicrobial resistance in E. coli from chicken-asystematic review. Prev. Vet. Med. 2015, 118, 1–7. [Google Scholar] [CrossRef]
- Callens, B.; Cargnel, M.; Sarrazin, S.; Dewulf, J.; Hoet, B.; Vermeersch, K.; Wattiau, P.; Welby, S. Associations between a Decreased Veterinary Antimicrobial Use and Resistance in Commensal Escherichia coli from Belgian Livestock Species (2011–2015). Prev. Vet. Med. 2018, 157, 50–58. [Google Scholar] [CrossRef] [PubMed]
- Shrestha, R.D.; Agunos, A.; Gow, S.P.; Deckert, A.E.; Varga, C. Associations between Antimicrobial Resistance in Fecal Escherichia coli Isolates and Antimicrobial Use in Canadian Turkey Flocks. Front. Microbiol. 2022, 13, 954123. [Google Scholar] [CrossRef] [PubMed]
- Gens, K.D.; Singer, R.S.; Dilworth, T.J.; Heil, E.L.; Beaudoin, A.L. Antimicrobials in Animal Agriculture in the United States: A Multidisciplinary Overview of Regulation and Utilization to Foster Collaboration: On Behalf of the Society of Infectious Diseases Pharmacists. Open Forum Infect. Dis. 2022, 9, ofac542. [Google Scholar] [CrossRef]
- Sharma, P.; Haycocks, J.R.J.; Middlemiss, A.D.; Kettles, R.A.; Sellars, L.E.; Ricci, V.; Piddock, L.J.V. The multiple antibiotic resistance operon of enteric bacteria controls DNA repair and outer membrane integrity. Nat. Commun. 2017, 8, 1444. [Google Scholar] [CrossRef]
- Partridge, S.R.; Kwong, S.M.; Firth, N.; Jensen, S.O. Mobile Genetic Elements Associated with Antimicrobial Resistance. Clin. Microbiol. Rev. 2018, 31, e00088-17. [Google Scholar] [CrossRef]
- WOAH (World Organisation for Animal Health). OIE Annual Report on Antimicrobial Agents Intended for Use in Animals. 2021. Available online: https://www.oie.int/en/what-we-do/monitoring/antimicrobial-resistance/annual-report-on-antimicrobial-agents/ (accessed on 21 March 2023).
- Postma, M.; Vanderhaeghen, W.; Sarrazin, S.; Maes, D.; Dewulf, J. Reducing Antimicrobial Usage in Pig Production without Jeopardizing Production Parameters. Zoonoses Public Health 2017, 64, 63–74. [Google Scholar] [CrossRef]
- Bush, K.; Jacoby, G.A.; Medeiros, A.A. A functional classification scheme for beta-lactamases and its correlation with molecular structure. Antimicrob. Agents Chemother. 1995, 39, 1211–1233. [Google Scholar] [CrossRef]
- Livermore, D.M. Beta-lactamases in laboratory and clinical resistance. Clin. Microbiol. Rev. 1995, 8, 557–584. [Google Scholar] [CrossRef]
- de Oliveira, D.V.; Nunes, L.S.; Barth, A.L.; Van Der Sand, S.T. Genetic background of β-lactamases in Enterobacteriaceae isolates from environmental samples. Microb. Ecol. 2017, 74, 599–607. [Google Scholar] [CrossRef]
- Pires, J.; Huisman, J.S.; Bonhoeffer, S.; Van Boeckel, T.P. Increase in Antimicrobial Resistance in Escherichia coli in Food Animals between 1980 and 2018 Assessed Using Genomes from Public Databases. J. Antimicrob. Chemother. 2022, 77, 646–655. [Google Scholar] [CrossRef]





| Antimicrobial Resistance Pattern a | N (%) | Number of Classes | MDR b (Yes/No) |
|---|---|---|---|
| Susceptible | 905 (27.95) | - | - |
| TET | 1109 (34.26) | 1 | N |
| STR | 30 (0.92) | 1 | N |
| AMP | 33 (1.02) | 1 | N |
| AMP-TET | 180 (5.56) | 2 | N |
| CHL-TET | 27 (0.83) | 2 | N |
| COT-TET | 19 (0.58) | 2 | N |
| CIP-TET | 22 (0.68) | 2 | N |
| STR-TET | 307 (9.48) | 2 | N |
| AMP-CHL-TET | 9 (0.28) | 3 | Y |
| AMP-COT-STR | 13 (0.4) | 3 | Y |
| AMP-STR-TET | 165 (5.09) | 3 | Y |
| GEN-STR-TET | 9 (0.28) | 2 | N |
| COT-STR-TET | 17 (0.52) | 3 | Y |
| CIP-STR-TET | 9 (0.28) | 3 | Y |
| CHL-STR-TET | 31 (0.95) | 3 | Y |
| AMP-CHL-STR-TET | 20 (0.62) | 4 | Y |
| AMP-COT-STR-TET | 16 (0.49) | 4 | Y |
| AMC-AMP-AXO-FOX | 16 (0.49) | 1 | N |
| AMC-AMP-AXO-FOX-TET | 34 (1.05) | 2 | N |
| AMP-CHL-COT-STR-TET | 12 (0.37) | 5 | Y |
| AMC-AMP-AXO-FOX-STR-TET | 15 (0.46) | 3 | Y |
| AMC-AMP-AXO-COT-FOX-STR-TET | 9 (0.27) | 4 | Y |
| Year | Incidence Rate Ratio | p-Value | 95% CI a Low | 95% CI High |
|---|---|---|---|---|
| 2013 | Referent | - | - | |
| 2014 | 1.07 | 0.383 | 0.92 | 1.25 |
| 2015 | 0.97 | 0.642 | 0.84 | 1.12 |
| 2016 | 1.05 | 0.494 | 0.92 | 1.20 |
| 2017 | 1.24 | 0.002 | 1.08 | 1.41 |
| 2018 | 1.42 | <0.001 | 1.25 | 1.62 |
| 2019 | 1.34 | <0.001 | 1.17 | 1.53 |
Disclaimer/Publisher’s Note: The statements, opinions and data contained in all publications are solely those of the individual author(s) and contributor(s) and not of MDPI and/or the editor(s). MDPI and/or the editor(s) disclaim responsibility for any injury to people or property resulting from any ideas, methods, instructions or products referred to in the content. |
© 2023 by the authors. Licensee MDPI, Basel, Switzerland. This article is an open access article distributed under the terms and conditions of the Creative Commons Attribution (CC BY) license (https://creativecommons.org/licenses/by/4.0/).
Share and Cite
Sodagari, H.R.; Varga, C. Evaluating Antimicrobial Resistance Trends in Commensal Escherichia coli Isolated from Cecal Samples of Swine at Slaughter in the United States, 2013–2019. Microorganisms 2023, 11, 1033. https://doi.org/10.3390/microorganisms11041033
Sodagari HR, Varga C. Evaluating Antimicrobial Resistance Trends in Commensal Escherichia coli Isolated from Cecal Samples of Swine at Slaughter in the United States, 2013–2019. Microorganisms. 2023; 11(4):1033. https://doi.org/10.3390/microorganisms11041033
Chicago/Turabian StyleSodagari, Hamid Reza, and Csaba Varga. 2023. "Evaluating Antimicrobial Resistance Trends in Commensal Escherichia coli Isolated from Cecal Samples of Swine at Slaughter in the United States, 2013–2019" Microorganisms 11, no. 4: 1033. https://doi.org/10.3390/microorganisms11041033
APA StyleSodagari, H. R., & Varga, C. (2023). Evaluating Antimicrobial Resistance Trends in Commensal Escherichia coli Isolated from Cecal Samples of Swine at Slaughter in the United States, 2013–2019. Microorganisms, 11(4), 1033. https://doi.org/10.3390/microorganisms11041033

