Microbial Dynamics of a Specialty Italian Raw Ewe’s Milk Cheese Curdled with Extracts from Spontaneous and Cultivated Onopordum tauricum Willd
Abstract
1. Introduction
2. Materials and Methods
2.1. Preparation of Crude Extracts (CE)
2.2. Cheesemaking and Sampling
2.3. Physico-Chemical Measurements
TTA = ----------------------------------- × 100
weight of sample × 1000
2.4. Microbiological Analyses
2.5. DNA Extraction and Sequencing
2.6. Metataxonomic Analyses
2.7. Statistical Analysis
3. Results
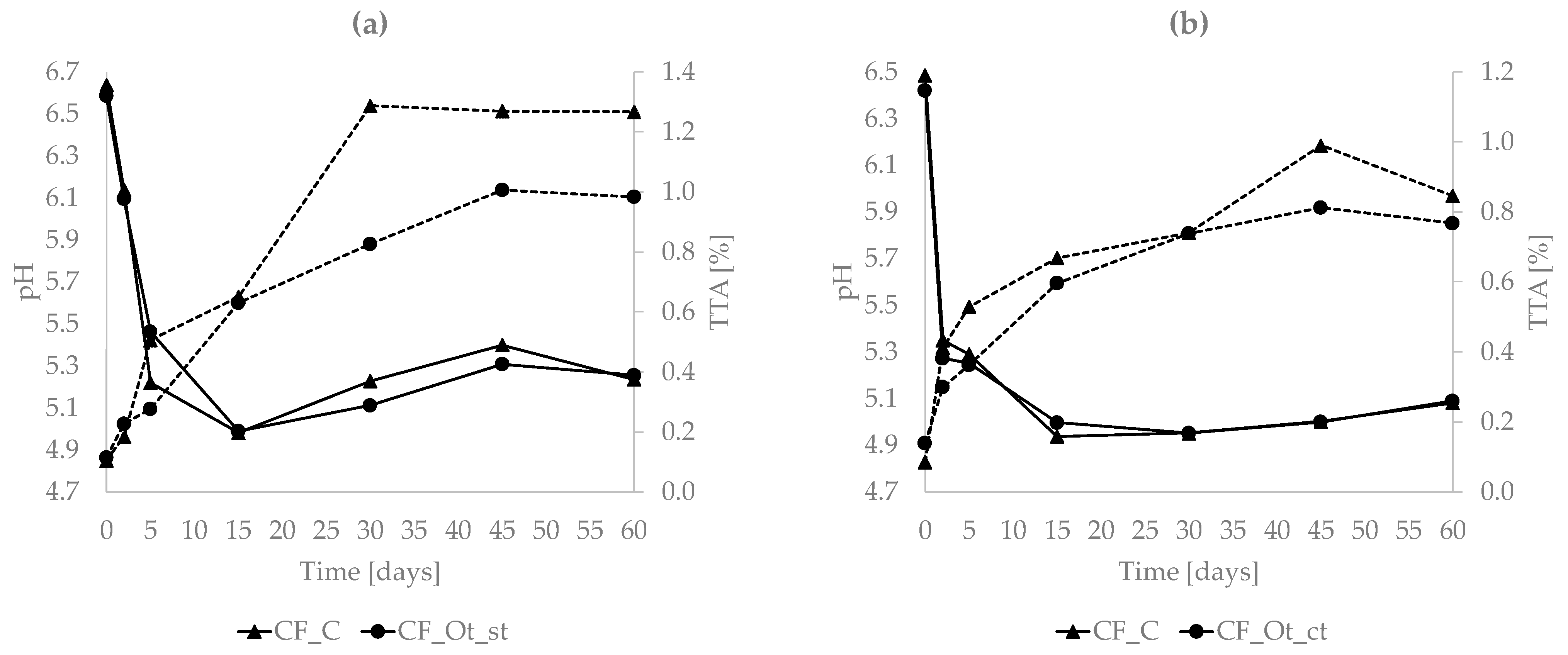
3.1. pH, TTA, and Viable Counting
3.2. Illumina Sequencing
4. Discussion
4.1. Viable Counting
4.2. Illumina Sequencing
5. Conclusions
Supplementary Materials
Author Contributions
Funding
Data Availability Statement
Acknowledgments
Conflicts of Interest
References
- Fox, P.F.; Cogan, T.M.; Guinee, T.P. Chapter 25—Factors That Affect the Quality of Cheese. In Cheese: Chemistry, Physics and Microbiology, 4th ed.; Elsevier Inc.: Amsterdam, The Netherlands, 2017; Volume 1, pp. 617–641. ISBN 9780124170124. [Google Scholar]
- McSweeney, P.L.H. Biochemistry of Cheese Ripening. Int. J. Dairy Technol. 2004, 57, 127–144. [Google Scholar] [CrossRef]
- Chandan, R.C. Cheese: Cheese in the Marketplace. In Encyclopedia of Food Microbiology, 2nd ed.; Elsevier Inc.: Amsterdam, The Netherlands, 2014; pp. 384–394. ISBN 9780123847331. [Google Scholar]
- McSweeney, P.L.H.; Ottogalli, G.; Fox, P.F. Chapter 31—Diversity and Classification of Cheese Varieties: An Overview. In Cheese: Chemistry, Physics and Microbiology, 4th ed.; Elsevier Inc.: Amsterdam, The Netherlands, 2017; Volume 1, pp. 781–808. ISBN 9780124170124. [Google Scholar]
- Garg, S.K.; Johri, B. Rennet: Current Trends and Future Research. Food Rev. Int. 1994, 10, 313–355. [Google Scholar] [CrossRef]
- Uniacke-Lowe, T.; Fox, P.F. Chapter 4—Chymosin, Pepsins and Other Aspartyl Proteinases: Structures, Functions, Catalytic Mechanism and Milk-Clotting Properties. In Cheese: Chemistry, Physics and Microbiology, 4th ed.; Elsevier Inc.: Amsterdam, The Netherlands, 2017; Volume 1, pp. 69–113. ISBN 9780124170124. [Google Scholar]
- Bey, N.; Debbebi, H.; Abidi, F.; Marzouki, M.N.; ben Salah, A. The Non-Edible Parts of Fennel (Fœniculum Vulgare) as a New Milk-Clotting Protease Source. Ind. Crop. Prod. 2018, 112, 181–187. [Google Scholar] [CrossRef]
- Gutiérrez-Méndez, N.; Balderrama-Carmona, A.; García-Sandoval, S.E.; Ramírez-Vigil, P.; Leal-Ramos, M.Y.; García-Triana, A. Proteolysis and Rheological Properties of Cream Cheese Made with a Plant-Derived Coagulant from Solanum Elaeagnifolium. Foods 2019, 8, 44. [Google Scholar] [CrossRef] [PubMed]
- de Farias, V.A.; da Rocha Lima, A.D.; Santos Costa, A.; de Freitas, C.D.T.; da Silva Araújo, I.M.; dos Santos Garruti, D.; de Figueiredo, E.A.T.; de Oliveira, H.D. Noni (Morinda Citrifolia L.) Fruit as a New Source of Milk-Clotting Cysteine Proteases. Food Res. Int. 2020, 127, 108689. [Google Scholar] [CrossRef] [PubMed]
- Tito, F.R.; Pepe, A.; Tonon, C.V.; Daleo, G.R.; Guevara, M.G. Determination and Characterisation of Milk-Clotting Activity of Two Solanum Tuberosum Aspartic Proteases (StAPs). Int. Dairy J. 2020, 104, 104645. [Google Scholar] [CrossRef]
- Rocha, G.F.; Cotabarren, J.; Obregón, W.D.; Fernández, G.; Rosso, A.M.; Parisi, M.G. Milk-Clotting and Hydrolytic Activities of an Aspartic Protease from Salpichroa Origanifolia Fruits on Individual Caseins. Int. J. Biol. Macromol. 2021, 192, 931–938. [Google Scholar] [CrossRef] [PubMed]
- Alavi, F.; Momen, S. Aspartic Proteases from Thistle Flowers: Traditional Coagulants Used in the Modern Cheese Industry. Int. Dairy J. 2020, 107, 104709. [Google Scholar] [CrossRef]
- Cardinali, F.; Ferrocino, I.; Milanović, V.; Belleggia, L.; Corvaglia, M.R.; Garofalo, C.; Foligni, R.; Mannozzi, C.; Mozzon, M.; Cocolin, L.; et al. Microbial Communities and Volatile Profile of Queijo de Azeitão PDO Cheese, a Traditional Mediterranean Thistle-Curdled Cheese from Portugal. Food Res. Int. 2021, 147, 110537. [Google Scholar] [CrossRef]
- Cardinali, F.; Foligni, R.; Ferrocino, I.; Harasym, J.; Orkusz, A.; Milanović, V.; Franciosa, I.; Garofalo, C.; Mannozzi, C.; Mozzon, M.; et al. Microbiological, Morpho-Textural, and Volatile Characterization of Portuguese Queijo de Nisa PDO Cheese. Food Res. Int. 2022, 162, 112011. [Google Scholar] [CrossRef]
- Cardinali, F.; Foligni, R.; Ferrocino, I.; Harasym, J.; Orkusz, A.; Franciosa, I.; Milanović, V.; Garofalo, C.; Mannozzi, C.; Mozzon, M.; et al. Microbial Diversity, Morpho-Textural Characterization, and Volatilome Profile of the Portuguese Thistle-Curdled Cheese Queijo Da Beira Baixa PDO. Food Res. Int. 2022, 157, 111481. [Google Scholar] [CrossRef] [PubMed]
- Reis, P.J.M.; Malcata, F.X. Current State of Portuguese Dairy Products from Ovine and Caprine Milks. Small Rumin. Res. 2011, 101, 122–133. [Google Scholar] [CrossRef]
- Vioque, M.; Gómez, R.; Sánchez, E.; Mata, C.; Tejada, L.; Fernández-Salguero, J. Chemical and Microbiological Characteristics of Ewes’ Milk Cheese Manufactured with Extracts from Flowers of Cynara Cardunculus and Cynara Humilis as Coagulants. J. Agric. Food Chem. 2000, 48, 451–456. [Google Scholar] [CrossRef] [PubMed]
- Galán, E.; Prados, F.; Pino, A.; Tejada, L.; Fernández-Salguero, J. Influence of Different Amounts of Vegetable Coagulant from Cardoon Cynara Cardunculus and Calf Rennet on the Proteolysis and Sensory Characteristics of Cheeses Made with Sheep Milk. Int. Dairy J. 2008, 18, 93–98. [Google Scholar] [CrossRef]
- Ordiales, E.; Martín, A.; Benito, M.J.; Hernández, A.; Ruiz-Moyano, S.; Córdoba, M.D.G. Technological Characterisation by Free Zone Capillary Electrophoresis (FCZE) of the Vegetable Rennet (Cynara Cardunculus) Used in “Torta Del Casar” Cheese-Making. Food Chem. 2012, 133, 227–235. [Google Scholar] [CrossRef]
- Galán, E.; Cabezas, L.; Fernández-Salguero, J. Proteolysis, Microbiology and Sensory Properties of Ewes’ Milk Cheese Produced with Plant Coagulant from Cardoon Cynara Cardunculus, Calf Rennet or a Mixture Thereof. Int. Dairy J. 2012, 25, 92–96. [Google Scholar] [CrossRef]
- Barracosa, P.; Simões, I.; Martins, A.P.; Barros, M.; Pires, E. Biochemical Diversity of Cardoon Flowers (Cynara cardunculus L.): Predicting PDO Mediterranean Cheese Textures. Food Biosci. 2021, 39, 100805. [Google Scholar] [CrossRef]
- Fogeiro, É.; Barracosa, P.; Oliveira, J.; Wessel, D. Influence of Cardoon Flower (Cynara cardunculus L.) and Flock Lactation Stage in PDO Serra Da Estrela Cheese. Foods 2020, 9, 386. [Google Scholar] [CrossRef]
- Roseiro, L.B.; Barbosa, M.; Ames, J.M.; Wilbey, R.A. Cheesemaking with Vegetable Coagulants—The Use of Cynara L. for the Production of Ovine Milk Cheeses. Int. J. Dairy Technol. 2003, 56, 76–85. [Google Scholar] [CrossRef]
- Mozzon, M.; Foligni, R.; Mannozzi, C.; Zamporlini, F.; Raffaelli, N.; Aquilanti, L. Clotting Properties of Onopordum Tauricum (Willd.) Aqueous Extract in Milk of Different Species. Foods 2020, 9, 692. [Google Scholar] [CrossRef]
- Foligni, R.; Mannozzi, C.; Gasparrini, M.; Raffaelli, N.; Zamporlini, F.; Tejada, L.; Bande-De León, C.; Orsini, R.; Manzi, P.; di Costanzo, M.G.; et al. Potentialities of Aqueous Extract from Cultivated Onopordum Tauricum (Willd.) as Milk Clotting Agent for Cheesemaking. Food Res. Int. 2022, 158, 111592. [Google Scholar] [CrossRef]
- Nicolini, G. Enciclopedia Botanica Motta. Vol. Primo Milano Federico Motta Ed. 1960, 198. [Google Scholar]
- Briese, D.T. Natural Enemies of Carduine Thistles in New South Wales. Aust J. Entomol. 1989, 28, 125–134. [Google Scholar] [CrossRef]
- Petkova, N.; Mihaylova, D. Flower Heads of Onopordum Tauricum Willd. and Carduus Acanthoides L—Source of Prebiotics and Antioxidants. Emir. J. Food Agric. 2016, 28, 732–736. [Google Scholar] [CrossRef]
- Rolnik, A.; Olas, B. The Plants of the Asteraceae Family as Agents in the Protection of Human Health. Int. J. Mol. Sci. 2021, 22, 9. [Google Scholar] [CrossRef] [PubMed]
- Ledda, L.; Deligios, P.A.; Farci, R.; Sulas, L. Biomass Supply for Energetic Purposes from Some Cardueae Species Grown in Mediterranean Farming Systems. Ind. Crop. Prod. 2013, 47, 218–226. [Google Scholar] [CrossRef]
- Zenobi, S.; Fiorentini, M.; Aquilanti, L.; Foligni, R.; Mannozzi, C.; Mozzon, M.; Zitti, S.; Casavecchia, S.; Dridi, B.A.M.; Orsini, R. Effect of Planting Density in Two Thistle Species Used for Vegetable Rennet Production in Marginal Mediterranean Areas. Agronomy 2021, 11, 135. [Google Scholar] [CrossRef]
- Zitti, S.; di Cecco, V.; Casavecchia, S.; di Martino, L.; Aquilanti, L. Seed Germination Reports for Onopordum Tauricum (Asteraceae). Flora Mediterr. 2021, 30, 421–423. [Google Scholar] [CrossRef]
- Aquilanti, L.; Babini, V.; Santarelli, S.; Osimani, A.; Petruzzelli, A.; Clementi, F. Bacterial Dynamics in a Raw Cow’s Milk Caciotta Cheese Manufactured with Aqueous Extract of Cynara Cardunculus Dried Flowers. Lett. Appl. Microbiol. 2011, 52, 651–659. [Google Scholar] [CrossRef]
- Cardinali, F.; Osimani, A.; Taccari, M.; Milanović, V.; Garofalo, C.; Clementi, F.; Polverigiani, S.; Zitti, S.; Raffaelli, N.; Mozzon, M.; et al. Impact of Thistle Rennet from Carlina Acanthifolia All. Subsp. Acanthifolia on Bacterial Diversity and Dynamics of a Specialty Italian Raw Ewes’ Milk Cheese. Int. J. Food Microbiol. 2017, 255, 7–16. [Google Scholar] [CrossRef]
- Cardinali, F.; Taccari, M.; Milanović, V.; Osimani, A.; Polverigiani, S.; Garofalo, C.; Foligni, R.; Mozzon, M.; Zitti, S.; Raffaelli, N.; et al. Yeast and Mould Dynamics in Caciofiore Della Sibilla Cheese Coagulated with an Aqueous Extract of Carlina Acanthifolia All. Yeast 2016, 33, 403–414. [Google Scholar] [CrossRef]
- Nionelli, L.; Coda, R.; Curiel, J.A.; Poutanen, K.; Gobbetti, M.; Rizzello, C.G. Manufacture and Characterization of a Yogurt-like Beverage Made with Oat Flakes Fermented by Selected Lactic Acid Bacteria. Int. J. Food Microbiol. 2014, 185, 17–26. [Google Scholar] [CrossRef]
- Osimani, A.; Zannini, E.; Aquilanti, L.; Mannazzu, I.; Comitini, F.; Clementi, F. Lactic acid bacteria and yeasts from wheat sourdoughs of the Marche Region. Ital. J. Food Sci. 2009, 21, 269–286. [Google Scholar]
- Osimani, A.; Ferrocino, I.; Corvaglia, M.R.; Roncolini, A.; Milanović, V.; Garofalo, C.; Aquilanti, L.; Riolo, P.; Ruschioni, S.; Jamshidi, E.; et al. Microbial Dynamics in Rearing Trials of Hermetia Illucens Larvae Fed Coffee Silverskin and Microalgae. Food Res. Int. 2021, 140, 110028. [Google Scholar] [CrossRef]
- Klindworth, A.; Pruesse, E.; Schweer, T.; Peplies, J.; Quast, C.; Horn, M.; Glöckner, F.O. Evaluation of General 16S Ribosomal RNA Gene PCR Primers for Classical and Next-Generation Sequencing-Based Diversity Studies. Nucleic Acids Res. 2013, 41, e1. [Google Scholar] [CrossRef] [PubMed]
- Mota-Gutierrez, J.; Botta, C.; Ferrocino, I.; Giordano, M.; Bertolino, M.; Dolci, P.; Cannoni, M.; Cocolin, L. Dynamics and Biodiversity of Bacterial and Yeast Communities during Fermentation of Cocoa Beans. Appl. Environ. Microbiol. 2018, 84, e01164-18. [Google Scholar] [CrossRef]
- Bolyen, E.; Rideout, J.R.; Dillon, M.R.; Bokulich, N.A.; Abnet, C.C.; Al-Ghalith, G.A.; Alexander, H.; Alm, E.J.; Arumugam, M.; Asnicar, F.; et al. Reproducible, Interactive, Scalable and Extensible Microbiome Data Science Using QIIME 2. Nat. Biotechnol. 2019, 37, 852–857. [Google Scholar] [CrossRef]
- Callahan, B.J.; McMurdie, P.J.; Rosen, M.J.; Han, A.W.; Johnson, A.J.A.; Holmes, S.P. DADA2: High-Resolution Sample Inference from Illumina Amplicon Data. Nat. Methods 2016, 13, 581–583. [Google Scholar] [CrossRef]
- Mota-Gutierrez, J.; Ferrocino, I.; Rantsiou, K.; Cocolin, L. Metataxonomic Comparison between Internal Transcribed Spacer and 26S Ribosomal Large Subunit (LSU) RDNA Gene. Int. J. Food Microbiol. 2019, 290, 132–140. [Google Scholar] [CrossRef] [PubMed]
- Fernández-Salguero, J.; Tejada, L.; Gómez, R. Use of Powdered Vegetable Coagulant in the Manufacture of Ewe’s Milk Cheeses. J. Sci. Food Agric. 2002, 82, 464–468. [Google Scholar] [CrossRef]
- Cernicchiaro, N.; Oliveira, A.R.S.; Hoehn, A.; Cull, C.A.; Noll, L.W.; Shridhar, P.B.; Nagaraja, T.G.; Ives, S.E.; Renter, D.G.; Sanderson, M.W. Quantification of Bacteria Indicative of Fecal and Environmental Contamination from Hides to Carcasses. Foodborne Pathog. Dis. 2019, 16, 844–855. [Google Scholar] [CrossRef]
- Rodrigues, J.G.C.; Nair, H.P.; O’Kane, C.; Walker, C.A. Prevalence of Multidrug Resistance in Pseudomonas Spp. Isolated from Wild Bird Feces in an Urban Aquatic Environment. Ecol. Evol. 2021, 11, 14303–14311. [Google Scholar] [CrossRef]
- Khoiri, A.N.; Cheevadhanarak, S.; Jirakkakul, J.; Dulsawat, S.; Prommeenate, P.; Tachaleat, A.; Kusonmano, K.; Wattanachaisaereekul, S.; Sutheeworapong, S. Comparative Metagenomics Reveals Microbial Signatures of Sugarcane Phyllosphere in Organic Management. Front. Microbiol. 2021, 12, 623799. [Google Scholar] [CrossRef]
- Todaro, M.; Francesca, N.; Reale, S.; Moschetti, G.; Vitale, F.; Settanni, L. Effect of Different Salting Technologies on the Chemical and Microbiological Characteristics of PDO Pecorino Siciliano Cheese. Eur. Food Res. Technol. 2011, 233, 931–940. [Google Scholar] [CrossRef]
- Tavaria, F.K.; Malcata, F.X. On the Microbiology of Serra Da Estrela Cheese: Geographical and Chronological Considerations. Food Microbiol. 2000, 17, 293–304. [Google Scholar] [CrossRef]
- Prodromou, K.; Thasitou, P.; Haritonidou, E.; Tzanetakis, N.; Litopoulou-Tzanetaki, E. Microbiology of “Orinotyri” a Ewe’s Milk Cheese from the Greek Mountains. Food Microbiol. 2001, 18, 319–328. [Google Scholar] [CrossRef]
- Montel, M.C.; Buchin, S.; Mallet, A.; Delbes-Paus, C.; Vuitton, D.A.; Desmasures, N.; Berthier, F. Traditional Cheeses: Rich and Diverse Microbiota with Associated Benefits. Int. J. Food Microbiol. 2014, 177, 136–154. [Google Scholar] [CrossRef] [PubMed]
- Irlinger, F.; In Yung, S.A.Y.; Sarthou, A.S.; Delbès-Paus, C.; Montel, M.C.; Coton, E.; Coton, M.; Helinck, S. Ecological and Aromatic Impact of Two Gram-Negative Bacteria (Psychrobacter Celer and Hafnia Alvei) Inoculated as Part of the Whole Microbial Community of an Experimental Smear Soft Cheese. Int. J. Food Microbiol. 2012, 153, 332–338. [Google Scholar] [CrossRef]
- Metz, M.; Sheehan, J.; Feng, P.C.H. Use of Indicator Bacteria for Monitoring Sanitary Quality of Raw Milk Cheeses—A Literature Review. Food Microbiol. 2020, 85, 103283. [Google Scholar] [CrossRef]
- Cocolin, L.; Dolci, P.; Rantsiou, K. Biodiversity and Dynamics of Meat Fermentations: The Contribution of Molecular Methods for a Better Comprehension of a Complex Ecosystem. Meat Sci. 2011, 89, 296–302. [Google Scholar] [CrossRef]
- Giraffa, G.; Neviani, E. DNA-Based, Culture-Independent Strategies for Evaluating Microbial Communities in Food-Associated Ecosystems. Int. J. Food Microbiol. 2001, 67, 19–34. [Google Scholar] [CrossRef]
- Quigley, L.; O’Sullivan, O.; Beresford, T.P.; Ross, R.P.; Fitzgerald, G.F.; Cotter, P.D. Molecular Approaches to Analysing the Microbial Composition of Raw Milk and Raw Milk Cheese. Int. J. Food Microbiol. 2011, 150, 81–94. [Google Scholar] [CrossRef] [PubMed]
- Boutrou, R.; Guéguen, M. Interests in Geotrichum Candidum for Cheese Technology. Int. J. Food Microbiol. 2005, 102, 1–20. [Google Scholar] [CrossRef] [PubMed]
- Delavenne, E.; Mounier, J.; Asmani, K.; Jany, J.L.; Barbier, G.; le Blay, G. Fungal Diversity in Cow, Goat and Ewe Milk. Int. J. Food Microbiol. 2011, 151, 247–251. [Google Scholar] [CrossRef]
- Šipošová, P.; Koňuchová, M.; Valík, L.; Trebichavská, M.; Medved’ová, A. Quantitative Characterization of Geotrichum Candidum Growth in Milk. Appl. Sci. 2021, 11, 4619. [Google Scholar] [CrossRef]
- Groenewald, M.; Coutinho, T.; Smith, M.T.; van der Walt, J.P. Species Reassignment of Geotrichum Bryndzae, Geotrichum Phurueaensis, Geotrichum Silvicola and Geotrichum Vulgare Based on Phylogenetic Analyses and Mating Compatibility. Int. J. Syst. Evol. Microbiol. 2012, 62, 3072–3080. [Google Scholar] [CrossRef]
- Price, E.J.; Linforth, R.S.T.; Dodd, C.E.R.; Phillips, C.A.; Hewson, L.; Hort, J.; Gkatzionis, K. Study of the Influence of Yeast Inoculum Concentration (Yarrowia Lipolytica and Kluyveromyces Lactis) on Blue Cheese Aroma Development Using Microbiological Models. Food Chem. 2014, 145, 464–472. [Google Scholar] [CrossRef] [PubMed]
- Gkatzionis, K.; Hewson, L.; Hollowood, T.; Hort, J.; Dodd, C.E.R.; Linforth, R.S.T. Effect of Yarrowia Lipolytica on Blue Cheese Odour Development: Flash Profile Sensory Evaluation of Microbiological Models and Cheeses. Int. Dairy J. 2013, 30, 8–13. [Google Scholar] [CrossRef]
- Suzzi, G.; Lanorte, M.T.; Galgano, F.; Andrighetto, C.; Lombardi, A.; Lanciotti, R.; Guerzoni, M.E. Proteolytic, Lipolytic and Molecular Characterisation of Yarrowia Lipolytica Isolated from Cheese. Int. J. Food Microbiol. 2001, 69, 69–77. [Google Scholar] [CrossRef] [PubMed]
- Bintsis, T. Yeasts in Different Types of Cheese. AIMS Microbiol. 2021, 7, 447–470. [Google Scholar] [CrossRef]
- Biolcati, F.; Ferrocino, I.; Bottero, M.T.; Dalmasso, A. Mycobiota Composition of Robiola Di Roccaverano Cheese along the Production Chain. Foods 2021, 10, 1859. [Google Scholar] [CrossRef]
- Cocolin, L.; Aggio, D.; Manzano, M.; Cantoni, C.; Comi, G. An Application of PCR-DGGE Analysis to Profile the Yeast Populations in Raw Milk. Int. Dairy J. 2002, 12, 407–411. [Google Scholar] [CrossRef]
- Spanamberg, A.; Cibele, F.F.; Ferreiro, L.; Scherer Aguinsky, M.; Sanches, E.M.C.; Roehe, C.; Lautert, C.; Santurio, J.M. Yeasts in the Raw Ewe’s Milk. Acta Sci. Vet. 2014, 42, 1236. [Google Scholar]
- Quintana, Á.R.; Perea, J.M.; García-béjar, B.; Jiménez, L.; Garzón, A.; Arias, R. Dominant Yeast Community in Raw Sheep’s Milk and Potential Transfers of Yeast Species in Relation to Farming Practices. Animals 2020, 10, 906. [Google Scholar] [CrossRef]
- Corbo, M.R.; Lanciotti, R.; Albenzio, M.; Sinigaglia, M. Occurrence and Characterization of Yeasts Isolated from Milks and Dairy Products of Apulia Region. Int. J. Food Microbiol. 2001, 69, 147–152. [Google Scholar] [CrossRef] [PubMed]
- Biolcati, F.; Ferrocino, I.; Bottero, M.T.; Dalmasso, A. The Bacterial and Fungal Microbiota of “Robiola Di Roccaverano” Protected Designation of Origin Raw Milk Cheese. Front. Microbiol. 2022, 12, 776862. [Google Scholar] [CrossRef] [PubMed]
- Martini, S.; Bonazzi, M.; Malorgio, I.; Pizzamiglio, V.; Tagliazucchi, D.; Solieri, L. Characterization of Yeasts Isolated from Parmigiano Reggiano Cheese Natural Whey Starter: From Spoilage Agents to Potential Cell Factories for Whey Valorization. Microorganisms 2021, 9, 2288. [Google Scholar] [CrossRef] [PubMed]
- Panelli, S.; Brambati, E.; Bonacina, C.; Feligini, M. Diversity of Fungal Flora in Raw Milk from the Italian Alps in Relation to Pasture Altitude. SpringerPlus 2013, 2, 405. [Google Scholar] [CrossRef]
- Vacheyrou, M.; Normand, A.C.; Guyot, P.; Cassagne, C.; Piarroux, R.; Bouton, Y. Cultivable Microbial Communities in Raw Cow Milk and Potential Transfers from Stables of Sixteen French Farms. Int. J. Food Microbiol. 2011, 146, 253–262. [Google Scholar] [CrossRef]
- Kure, C.F.; Skaar, I. The Fungal Problem in Cheese Industry. Curr. Opin. Food Sci. 2019, 29, 14–19. [Google Scholar] [CrossRef]
- Lavoie, K.; Touchette, M.; St-Gelais, D.; Labrie, S. Characterization of the Fungal Microflora in Raw Milk and Specialty Cheeses of the Province of Quebec. Dairy Sci. Technol. 2012, 92, 455–468. [Google Scholar] [CrossRef]
- Marín, P.; Palmero, D.; Jurado, M. Occurrence of Moulds Associated with Ovine Raw Milk and Cheeses of the Spanish Region of Castilla La Mancha. Int. J. Dairy Technol. 2015, 68, 565–572. [Google Scholar] [CrossRef]
- Panelli, S.; Brambati, E.; Bonacina, C.; Feligini, M. Updating on the Fungal Composition in Sardinian Sheep’s Milk by Culture-Independent Methods. J. Dairy Res. 2014, 81, 233–237. [Google Scholar] [CrossRef]
- Ercole, C.; Centi, V.; Pellegrini, M.; Marotta, F.; del Gallo, M. Effect of Ripening Time and Seasonal Changes on Microbial and Physicochemical Properties of Inland Pecorino Abruzzese Cheese. J. Food Qual. Hazards Control 2020, 7, 60–66. [Google Scholar] [CrossRef]
- Pino, A.; Liotta, L.; Caggia, C.; Chiofalo, V.; de Nardo, F.; Zumbo, A.; Todaro, A.; Randazzo, C.L. Effect of Seasonality on Physico-Chemical and Microbiological Properties of Nicastrese Milk and Artisanal Cheese. FEMS Microbiol. Lett. 2021, 368, fnab055. [Google Scholar] [CrossRef] [PubMed]
- Celano, G.; Calasso, M.; Costantino, G.; Vacca, M.; Ressa, A.; Nikoloudaki, O.; de Palo, P.; Calabrese, F.M.; Gobbetti, M.; de Angelis, M. Effect of Seasonality on Microbiological Variability of Raw Cow Milk from Apulian Dairy Farms in Italy. Microbiol. Spectr. 2022, 10, e0051422. [Google Scholar] [CrossRef] [PubMed]
- Capece, A.; Romano, P. “Pecorino Di Filiano” Cheese as a Selective Habitat for the Yeast Species, Debaryomyces Hansenii. Int. J. Food Microbiol. 2009, 132, 180–184. [Google Scholar] [CrossRef]
- Casalta, E.; Sorba, J.M.; Aigle, M.; Ogier, J.C. Diversity and Dynamics of the Microbial Community during the Manufacture of Calenzana, an Artisanal Corsican Cheese. Int. J. Food Microbiol. 2009, 133, 243–251. [Google Scholar] [CrossRef] [PubMed]
- Cosentino, S.; Fadda, M.E.; Deplano, M.; Mulargia, A.F.; Palmas, F. Yeasts Associated with Sardinian Ewe’s Dairy Products. Int. J. Food Microbiol. 2001, 69, 53–582. [Google Scholar] [CrossRef]
- Fadda, M.E.; Mossa, V.; Pisano, M.B.; Deplano, M.; Cosentino, S. Occurrence and Characterization of Yeasts Isolated from Artisanal Fiore Sardo Cheese. Int. J. Food Microbiol. 2004, 95, 51–59. [Google Scholar] [CrossRef]
- Gardini, F.; Tofalo, R.; Belletti, N.; Iucci, L.; Suzzi, G.; Torriani, S.; Guerzoni, M.E.; Lanciotti, R. Characterization of Yeasts Involved in the Ripening of Pecorino Crotonese Cheese. Food Microbiol. 2006, 23, 641–648. [Google Scholar] [CrossRef]
- Padilla, B.; Manzanares, P.; Belloch, C. Yeast Species and Genetic Heterogeneity within Debaryomyces Hansenii along the Ripening Process of Traditional Ewes’ and Goats’ Cheeses. Food Microbiol. 2014, 38, 160–166. [Google Scholar] [CrossRef]
- Randazzo, C.L.; Vaughan, E.E.; Caggia, C. Artisanal and Experimental Pecorino Siciliano Cheese: Microbial Dynamics during Manufacture Assessed by Culturing and PCR-DGGE Analyses. Int. J. Food Microbiol. 2006, 109, 1–8. [Google Scholar] [CrossRef]
- Fernández, E.; Alegría, Á.; Delgado, S.; Martín, M.C.; Mayo, B. Comparative Phenotypic and Molecular Genetic Profiling of Wild Lactococcus Lactis Subsp. Lactis Strains of the L. Lactis Subsp. Lactis and L. Lactis Subsp. Cremoris Genotypes, Isolated from Starter-Free Cheeses Made of Raw Milk. Appl. Environ. Microbiol. 2011, 77, 5324–5335. [Google Scholar] [CrossRef]
- Banjara, N.; Suhr, M.J.; Hallen-Adams, H.E. Diversity of Yeast and Mold Species from a Variety of Cheese Types. Curr. Microbiol. 2015, 70, 792–800. [Google Scholar] [CrossRef]
- Blaya, J.; Barzideh, Z.; LaPointe, G. Symposium Review: Interaction of Starter Cultures and Nonstarter Lactic Acid Bacteria in the Cheese Environment1. J. Dairy Sci. 2018, 101, 3611–3629. [Google Scholar] [CrossRef] [PubMed]
- Fuka, M.M.; Wallisch, S.; Engel, M.; Welzl, G.; Havranek, J.; Schloter, M. Dynamics of Bacterial Communities during the Ripening Process of Different Croatian Cheese Types Derived from Raw Ewe’s Milk Cheeses. PLoS ONE 2013, 8, e80734. [Google Scholar] [CrossRef]
- Martins, M.C.D.F.; de Freitas, R.; Deuvaux, J.C.; Eller, M.R.; Nero, L.A.; Carvalho, A.F. de Bacterial Diversity of Artisanal Cheese from the Amazonian Region of Brazil during the Dry and Rainy Seasons. Food Res. Int. 2018, 108, 295–300. [Google Scholar] [CrossRef] [PubMed]
- Gerasi, E.; Litopoulou-tzanetaki, E.; Tzanetakis, N. Microbiological study of Manura, a hard cheese made from raw ovine milk in the Greek island Sifnos. Int. J. Dairy Technol. 2003, 56, 117–122. [Google Scholar] [CrossRef]
- Tofalo, R.; Fasoli, G.; Schirone, M.; Perpetuini, G.; Pepe, A.; Corsetti, A.; Suzzi, G. The Predominance, Biodiversity and Biotechnological Properties of Kluyveromyces Marxianus in the Production of Pecorino Di Farindola Cheese. Int. J. Food Microbiol. 2014, 187, 41–49. [Google Scholar] [CrossRef] [PubMed]








| Microbial Group | Cc | CE_st | CE_ct | 
|---|---|---|---|
| Total mesophilic aerobes | <1 c | 4.91 ± 0.03 a | 3.55 ± 0.10 b | 
| Presumptive lactobacilli | <1 a | <1 a | <1 a | 
| Presumptive lactococci | <1 c | 3.96 ± 0.06 a | 2.91 ± 0.14 b | 
| Presumptive thermophilic cocci | <1 c | 3.42 ± 0.04 a | 2.51 ± 0.03 b | 
| Enterobacteriaceae | <1 b | 3.04 ± 0.06 a | <1 b | 
| Coliforms | <1 b | 3.64 ± 0.16 a | <1 b | 
| Escherichia coli | <1 a | <1 a | <1 a | 
| Pseudomonadaceae | <1 b | 3.64 ± 0.11 a | <1 b | 
| Molds | <1 b | 3.33 ± 0.00 a | 3.07 ± 0.00 a | 
| Yeasts | 6.36 ± 0.02 a | 2.90 ± 0.00 b | <1 c | 
| Microbial Group | Sample Code | Milk | Cheese | ||||||
|---|---|---|---|---|---|---|---|---|---|
| t0 | t1 | t2 | t3 | t4 | t5 | t6 | |||
| Total mesophilic aerobes | CF_C | 5.79 ± 0.20 | 6.00 ± 0.83 | 8.68 ± 0.28 | 9.28 ± 0.04 | 9.06 ± 0.07 | 9.00 ± 0.16 | 8.51 ± 0.39 | 8.72 ± 0.61 | 
| CF_Ot_st | 6.18 ± 0.69 | 8.64 ± 0.29 | 9.21 ± 0.11 | 9.06 ± 0.06 | 9.12 ± 0.02 | 8.75 ± 0.21 | 8.63 ± 0.20 | ||
| Presumptive lactobacilli | CF_C | 1.56 ± 1.80 | 1.46 ± 1.47 | 3.42 ± 0.90 | 5.41 ± 0.89 | 7.53 ± 0.91 | 8.94 ± 0.15 | 8.38 ± 0.42 | 8.51 ± 0.39 | 
| CF_Ot_st | 1.54 ± 1.78 | 3.37 ± 1.17 | 5.55 ± 0.69 | 7.28 ± 0.77 | 8.83 ± 0.13 | 8.40 ± 0.36 | 8.27 ± 0.08 | ||
| Presumptive lactococci | CF_C | 4.75 ± 0.17 | 5.04 ± 0.20 | 8.31 ± 0.70 | 9.24 ± 0.03 | 9.02 ± 0.08 | 8.95 ± 0.17 | 8.30 ± 0.53 | 8.64 ± 0.60 | 
| CF_Ot_st | 5.08 ± 0.18 | 8.46 ± 0.68 | 8.57 ± 0.89 | 9.07 ± 0.10 | 8.99 ± 0.05 | 8.56 ± 0.12 | 8.46 ± 0.18 | ||
| Presumptive thermophilic cocci | CF_C | 4.76 ± 0.15 | 5.01 ± 0.08 | 8.53 ± 0.39 | 8.88 ± 0.28 | 8.85 ± 0.20 | 8.59 ± 0.24 | 7.31 ± 0.29 | 6.88 ± 0.23 | 
| CF_Ot_st | 4.98 ± 0.09 | 8.19 ± 0.75 | 8.73 ± 0.36 | 8.78 ± 0.20 | 8.57 ± 0.35 | 7.70 ± 0.16 | 7.00 ± 0.22 | ||
| Enterobacteriaceae | CF_C | 4.12 ± 0.20 | 4.62 ± 0.22 | 7.69 ± 0.58 | 7.95 ± 0.32 | 6.62 ± 0.44 | 5.38 ± 0.66 | 4.36 ± 0.61 | 3.32 ± 1.53 | 
| CF_Ot_st | 4.83 ± 0.35 | 7.71 ± 0.45 | 7.99 ± 0.17 | 6.56 ± 0.49 | 4.76 ± 0.92 | 4.11 ± 0.43 | 3.46 ± 1.11 | ||
| Coliforms | CF_C | 4.26 ± 0.31 | 4.71 ± 0.09 b | 7.69 ± 0.56 | 7.83 ± 0.40 | 7.70 ± 0.09 | 5.48 ± 0.74 | 3.43 ± 1.66 | 3.49 ± 1.38 | 
| CF_Ot_st | 5.26 ± 0.15 a | 7.87 ± 0.37 | 7.97 ± 0.56 | 7.65 ± 0.14 | 4.87 ± 1.08 | 4.04 ± 0.81 | 3.81 ± 1.30 | ||
| Escherichia coli | CF_C | 2.18 ± 0.00 | 2.62 ± 0.06 | 4.18 ± 0.63 | 4.38 ± 0.96 | 4.55 ± 1.17 | 4.15 ± 1.07 | 3.81 ± 0.87 | 3.08 ± 1.43 | 
| CF_Ot_st | 2.47 ± 0.75 | 4.71 ± 0.35 | 4.85 ± 0.26 | 5.06 ± 0.63 | 3.75 ± 1.11 | 4.25 ± 0.53 | 3.38 ± 0.95 | ||
| Pseudomonadaceae | CF_C | 4.77 ± 0.32 | 4.03 ± 0.51 | 6.42 ± 0.42 | 7.09 ± 0.29 | 7.19 ± 0.13 | 6.51 ± 0.20 a | 4.96 ± 0.58 | 4.52 ± 0.70 | 
| CF_Ot_st | 4.29 ± 0.80 | 6.37 ± 0.39 | 7.12 ± 0.21 | 7.38 ± 0.35 | 5.09 ± 0.69 b | 4.73 ± 0.98 | 3.99 ± 0.87 | ||
| Molds | CF_C | 2.10 ± 0.14 | 2.31 ± 0.01 | 2.73 ± 0.09 | 4.13 ± 0.76 | 3.09 ± 0.14 | 2.78 ± 0.11 | 2.16 ± 0.36 b | 2.77 ± 0.68 | 
| CF_Ot_st | 2.88 ± 0.58 | 2.35 ± 0.26 | 3.78 ± 0.38 | 3.74 ± 0.56 | 2.23 ± 0.15 | 3.86 ± 0.49 a | 3.07 ± 0.53 | ||
| Yeasts | CF_C | 3.03 ± 0.57 | 2.99 ± 0.08 | 3.96 ± 0.04 | 5.70 ± 0.60 | 4.14 ± 1.17 | 3.90 ± 1.51 | 3.89 ± 0.67 | 3.54 ± 0.10 b | 
| CF_Ot_st | 3.57 ± 1.22 | 3.35 ± 0.38 | 6.16 ± 0.56 | 4.85 ± 1.69 | 3.15 ± 0.47 | 3.82 ± 0.91 | 4.80 ± 0.79 a | ||
| Microbial Group | Sample Code | Milk | Cheese | ||||||
|---|---|---|---|---|---|---|---|---|---|
| t0 | t1 | t2 | t3 | t4 | t5 | t6 | |||
| Total mesophilic aerobes | CF_C | 5.26 ± 0.45 | 5.41 ± 0.12 | 8.97 ± 0.07 | 9.15 ± 0.29 | 9.05 ± 0.20 | 8.53 ± 0.48 | 8.94 ± 0.23 | 8.42 ± 0.12 | 
| CF_Ot_ct | 5.41 ± 0.16 | 8.83 ± 0.10 | 8.98 ± 0.07 | 8.98 ± 0.05 | 8.60 ± 0.24 | 8.69 ± 0.11 | 8.12 ± 0.13 | ||
| Presumptive lactobacilli | CF_C | 4.76 ± 0.97 | 5.16 ± 0.29 | 8.20 ± 0.07 | 9.15 ± 0.21 | 9.01 ± 0.27 | 8.55 ± 0.53 | 8.57 ± 0.28 | 8.49 ± 0.27 | 
| CF_Ot_ct | 4.89 ± 0.34 | 8.12 ± 0.16 | 8.97 ± 0.05 | 8.85 ± 0.04 | 8.59 ± 0.18 | 8.60 ± 0.06 | 8.26 ± 0.04 | ||
| Presumptive lactococci | CF_C | 5.05 ± 0.71 | 5.27 ± 0.29 | 9.09 ± 0.17 | 9.19 ± 0.15 | 9.06 ± 0.19 | 8.64 ± 0.51 | 8.37 ± 0.24 | 8.19 ± 0.19 | 
| CF_Ot_ct | 5.22 ± 0.30 | 8.79 ± 0.20 | 9.13 ± 0.07 | 8.84 ± 0.06 | 8.07 ± 0.50 | 8.21 ± 0.07 | 7.81 ± 0.17 | ||
| Presumptive thermophilic cocci | CF_C | 4.94 ± 0.94 | 5.29 ± 0.28 | 9.02 ± 0.14 | 9.20 ± 0.18 | 8.87 ± 0.09 | 8.30 ± 0.55 | 8.33 ± 0.36 | 8.16 ± 0.15 | 
| CF_Ot_ct | 5.96 ± 1.30 | 8.83 ± 0.21 | 9.11 ± 0.17 | 8.78 ± 0.22 | 7.98 ± 0.50 | 8.01 ± 0.55 | 7.70 ± 0.15 | ||
| Enterobacteriaceae | CF_C | 3.16 ± 0.47 | 4.31 ± 0.33 | 7.36 ± 0.14 | 7.35 ± 0.16 | 6.90 ± 0.11 | 6.11 ± 0.17 | 6.06 ± 0.54 | 5.53 ± 0.68 | 
| CF_Ot_ct | 3.53 ± 1.38 | 7.64 ± 0.09 | 7.67 ± 0.16 | 7.16 ± 0.09 | 6.52 ± 0.24 | 6.47 ± 0.67 | 5.50 ± 0.42 | ||
| Coliforms | CF_C | 3.41 ± 0.78 | 3.53 ± 1.09 | 7.35 ± 0.23 | 7.23 ± 0.26 | 6.50 ± 0.51 | 5.90 ± 0.10 | 5.62 ± 0.09 | 4.83 ± 0.05 | 
| CF_Ot_ct | 4.28 ± 0.22 | 7.86 ± 0.60 | 7.35 ± 0.46 | 6.52 ± 0.65 | 6.08 ± 0.84 | 5.57 ± 0.11 | 4.48 ± 0.00 | ||
| Escherichia coli | CF_C | 2.53 ± 0.83 | 3.37 ± 0.52 | 6.68 ± 0.20 | 6.75 ± 0.22 | 6.51 ± 0.25 | 6.32 ± 0.30 | 6.17 ± 0.83 | 5.77 ± 0.57 | 
| CF_Ot_ct | 3.61 ± 0.53 | 7.07 ± 0.52 | 7.16 ± 0.21 | 6.70 ± 0.21 | 6.68 ± 0.12 | 6.38 ± 0.33 | 5.79 ± 0.19 | ||
| Pseudomonadaceae | CF_C | 3.85 ± 0.25 | 3.75 ± 0.12 | 6.59 ± 0.36 | 6.13 ± 0.18 | 6.13 ± 0.45 | 3.58 ± 0.50 | 3.29 ± 0.13 | 2.77 ± 0.14 | 
| CF_Ot_ct | 3.82 ± 0.06 | 6.88 ± 0.08 | 6.30 ± 0.12 | 6.23 ± 0.28 | 3.97 ± 1.12 | 3.63 ± 0.83 | 2.11 ± 0.00 | ||
| Molds | CF_C | 3.08 ± 0.47 | 2.81 ± 0.38 | 2.92 ± 0.11 | 5.43 ± 0.73 | 3.51 ± 1.18 | 2.93 ± 1.03 | 2.12 ± 0.49 | 2.50 ± 0.06 | 
| CF_Ot_ct | 2.75 ± 0.32 | 3.03 ± 0.03 | 5.31 ± 0.39 | 4.47 ± 0.11 | 2.89 ± 0.89 | 3.19 ± 0.72 | 2.49 ± 0.13 | ||
| Yeasts | CF_C | 3.63 ± 0.28 | 3.34 ± 0.31 | 4.49 ± 0.02 | 6.72 ± 0.87 | 6.16 ± 0.63 a | 4.77 ± 0.55 | 4.88 ± 0.36 | 4.48 ± 0.35 | 
| CF_Ot_ct | 3.42 ± 0.18 | 4.24 ± 0.31 | 5.84 ± 0.73 | 5.09 ± 0.19 b | 4.55 ± 0.22 | 5.46 ± 0.34 | 4.55 ± 0.37 | 
| Disclaimer/Publisher’s Note: The statements, opinions and data contained in all publications are solely those of the individual author(s) and contributor(s) and not of MDPI and/or the editor(s). MDPI and/or the editor(s) disclaim responsibility for any injury to people or property resulting from any ideas, methods, instructions or products referred to in the content. | 
© 2023 by the authors. Licensee MDPI, Basel, Switzerland. This article is an open access article distributed under the terms and conditions of the Creative Commons Attribution (CC BY) license (https://creativecommons.org/licenses/by/4.0/).
Share and Cite
Rampanti, G.; Belleggia, L.; Cardinali, F.; Milanović, V.; Osimani, A.; Garofalo, C.; Ferrocino, I.; Aquilanti, L. Microbial Dynamics of a Specialty Italian Raw Ewe’s Milk Cheese Curdled with Extracts from Spontaneous and Cultivated Onopordum tauricum Willd. Microorganisms 2023, 11, 219. https://doi.org/10.3390/microorganisms11010219
Rampanti G, Belleggia L, Cardinali F, Milanović V, Osimani A, Garofalo C, Ferrocino I, Aquilanti L. Microbial Dynamics of a Specialty Italian Raw Ewe’s Milk Cheese Curdled with Extracts from Spontaneous and Cultivated Onopordum tauricum Willd. Microorganisms. 2023; 11(1):219. https://doi.org/10.3390/microorganisms11010219
Chicago/Turabian StyleRampanti, Giorgia, Luca Belleggia, Federica Cardinali, Vesna Milanović, Andrea Osimani, Cristiana Garofalo, Ilario Ferrocino, and Lucia Aquilanti. 2023. "Microbial Dynamics of a Specialty Italian Raw Ewe’s Milk Cheese Curdled with Extracts from Spontaneous and Cultivated Onopordum tauricum Willd" Microorganisms 11, no. 1: 219. https://doi.org/10.3390/microorganisms11010219
APA StyleRampanti, G., Belleggia, L., Cardinali, F., Milanović, V., Osimani, A., Garofalo, C., Ferrocino, I., & Aquilanti, L. (2023). Microbial Dynamics of a Specialty Italian Raw Ewe’s Milk Cheese Curdled with Extracts from Spontaneous and Cultivated Onopordum tauricum Willd. Microorganisms, 11(1), 219. https://doi.org/10.3390/microorganisms11010219
 
        


 
       