Immune and Oxidative Response against Sonicated Antigen of Mycoplasma capricolum subspecies capripneumonia—A Causative Agent of Contagious Caprine Pleuropneumonia
Abstract
1. Introduction
2. Materials and Methods
2.1. Preparation and Adjuvanation of Mycoplasma Antigen
2.2. Experimental Trial
2.3. Evaluation of Immune Indices
2.4. Evaluation of Oxidative Indices
2.5. Hematological Evaluation
2.6. Statistical Analysis
3. Results
3.1. Effect on Immune Response
3.1.1. Cellular Immune Response
Effect of Adjuvanted, Sonicated Antigens on Total Leucocyte Count (TLC) and Differential Leucocyte Count (DLC)
Effect of Adjuvanted, Sonicated Antigens on Proinflammatory Cytokines (TNF-α)
Effect of Adjuvanted, Sonicated Antigens on Anti-Inflammatory Cytokines (IL-10)
Effect of Adjuvanted, Sonicated Antigens on Delayed Type of Hypersensitivity (Ear Thickness)
3.2. Effect on Humoral Immune Response
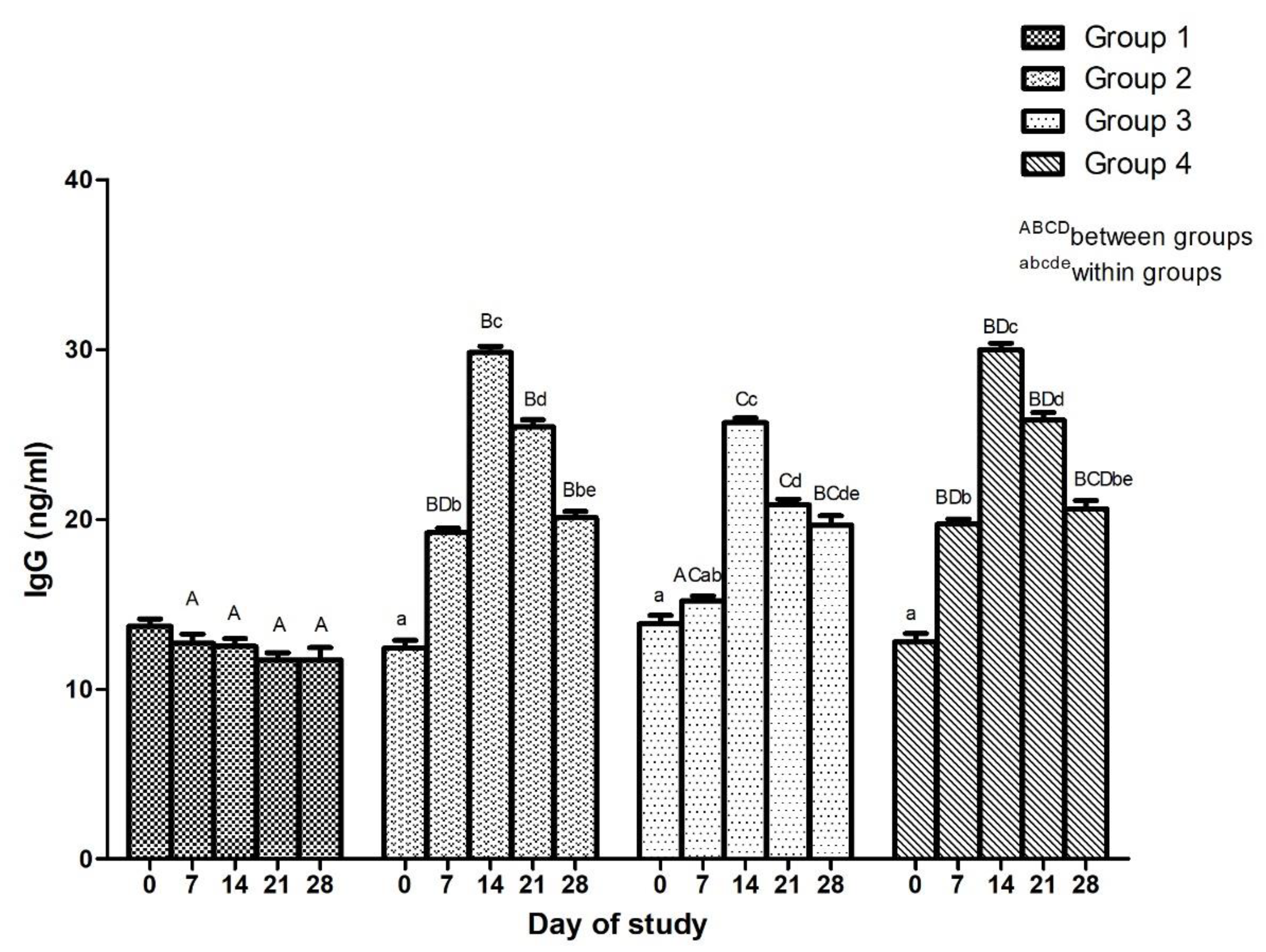
3.2.1. Effect of Adjuvanted, Sonicated Antigens on IgG Levels
3.2.2. Effect of Adjuvanted, Sonicated Antigens on Antibody Titer
3.2.3. Effect of Adjuvanted, Sonicated Antigens on Oxidative Indices
Effect of Adjuvanted, Sonicated Antigens on Total Oxidative Status (TOS)
Effect of Adjuvanted, Sonicated Antigens on Total Antioxidant Status (TAS)
3.3. Effect on Hematological Parameters
3.3.1. Effect of Adjuvanted, Sonicated Antigens on Total Erythrocyte Count (TEC)
3.3.2. Effect of Adjuvanted, Sonicated Antigens on Hemoglobin (Hb)
4. Discussion
4.1. Effect on Immune Response
4.2. Effect on Oxidative Stress
4.3. Effect on Haematological Parameters
5. Conclusions
Institutional Review Board Statement:
Author Contributions
Funding
Acknowledgments
Conflicts of Interest
References
- Ernø, H. Mycoplasmosis of ruminants: A general introduction. Rev. Sci. Tech. 1987, 6, 553–563. [Google Scholar] [CrossRef] [PubMed]
- Thiaucourt, F.; Bolske, G. Contagious caprine pleuropneumonia and other pulmonary mycoplasmoses of sheep and goats. Rev. Sci. Tech. 1996, 15, 1397–1414. [Google Scholar] [CrossRef] [PubMed]
- WOAH. World Organization for Animal Health. Manual of Diagnostic Tests and Vaccines for Terrestrial Animals. 2022. Available online: https://www.woah.org/fileadmin/Home/eng/Health_standards/tahm/3.07.04_CCPP.pdf (accessed on 14 July 2022).
- Yatoo, M.I.; Parray, O.R.; Mir, M.S.; Qureshi, S.; Kashoo, Z.A.; Nadeem, M.; Bhat, R.A.; Fazili, M.R.; Tufani, N.A.; Kanwar, M.S.; et al. Mycoplasmoses in small ruminants in India: A review. J. Exp. Agri. Sci. Biol. 2018, 6, 264–281. [Google Scholar] [CrossRef]
- Razin, S.; Yogve, D.; Naot, Y. Molecular biology and pathogenicity of mycoplasma. Microbiol. Mol. Biol. Rev. 1998, 62, 1094–1196. [Google Scholar] [CrossRef] [PubMed]
- Yatoo, M.I.; Parray, O.R.; Bhat, R.A.; Muheet, M.; Gopalakrishnan, A.; Saxena, A.; Chakraborty, S.; Tiwari, R.; Khurana, S.K.; Singh, S.V.; et al. Emerging antibiotic resistance in mycoplasma microorganism. Desining effective and noval drugs/therapeutic targets; current knowledge and Futuristic Prospects. J. Pure Appl. Microbiol. 2019, 13, 27–44. [Google Scholar] [CrossRef]
- Thiaucourt, F.; Guérin, C.; Mady, V.; Lefèvre, P.C. Diagnosis of caprine contagious pleuropneumonia: Recent improvements. Rev. Sci. Tech. 1992, 11, 859–865. [Google Scholar] [CrossRef]
- Nicholas, R.; Churchward, C. Contagious caprine pleuropneumonia new aspects of an old disease. Trans. Emer. Dis. 2012, 59, 189–196. [Google Scholar] [CrossRef] [PubMed]
- Yatoo, M.I.; Parray, O.R.; Bashir, S.T.; Muheet Bhat, R.A.; Gopalakrishnan, A.; Karthik, K.; Dhama, K.; Vir Singh, S. Contagious caprine pleuropneumonia—A comprehensive review. Vet. Q. 2019, 39, 1–25. [Google Scholar] [CrossRef] [PubMed]
- Parray, O.R.; Yatoo, M.I.; Bhat, R.A.; Malik, H.U.; Bashir, S.T.; Magray, S.N. Seroepidemiology and risk factor analysis of contagious caprine pleuropneumonia in Himalayan Pashmina goats. Small Rum. Res. 2019, 171, 23–36. [Google Scholar] [CrossRef]
- Loire, E.; Ibrahim, A.I.; Manso-Silván, L.; Lignereux, L.; Thiaucourt, F.A. Whole-genome worldwide molecular epidemiology approach for contagious caprine pleuropneumonia. Heliyon 2020, 6, e05146. [Google Scholar] [CrossRef] [PubMed]
- Nicholas, R.A.J. Improvements in the diagnosis and control of diseases of small ruminants caused by mycoplasmas. Small Rum. Res. 2002, 45, 145–149. [Google Scholar] [CrossRef]
- Yatoo, M.I.; Parray, O.R.; Mir, M. Comparative evaluation of different therapeutic protocols for contagious caprine pleuropneumonia in Himalayan Pashmina goats. Trop. Anim. Health Prod. 2019, 51, 2127–2137. [Google Scholar] [CrossRef] [PubMed]
- Thiaucourt, F.; Bolske, G.; Leneguersh, B.; Smith, D.; Wesonga, H. Diagnosis and control of caprine contagious pleuropneumonia. Rev. Sci. Tech. 1996, 15, 1415–1429. [Google Scholar] [CrossRef] [PubMed]
- Yatoo, M.I.; Parray, O.R.; Muheet Bhat, R.A.; Nazir, Q.U.; Haq, A.U.; Malik, H.U.; Fazilli, M.U.R.; Gopalakrishnan, A.; Bashir, S.T.; Tiwari, R.; et al. Novel candidates for vaccine development against Mycoplasma capricolumSubspecies capripneumoniae (Mccp)-current knowledge and future prospects. Vaccines 2019, 23, 71. [Google Scholar] [CrossRef] [PubMed]
- Rurangirwa, F.R.; McGuire, T.C.; Kibor, A.; Chema, S. An inactivated vaccine for contagious caprine pleuropneumonia. Vet. Rec. 1987, 121, 397–400. [Google Scholar] [CrossRef]
- Ayelet, G.; Laekaemariam, Y.; Aschalew, Z.; Esayas, G.; Kassahun, A. Validation of immunity induced by inactivated contagious caprine pleuropnemonia vaccine with different adjuvants. Small Rum. Res. 2007, 73, 200–205. [Google Scholar] [CrossRef]
- Rurangirwa, F.R.; Masiga, W.N.; Muthomi, E.K. Immunisation of goats against contagious caprine pleuropneumonia using sonicated antigens of F-38 strain of mycoplasma. Res. Vet. Sci. 1984, 36, 174–176. [Google Scholar] [CrossRef]
- WOAH. World Organization for Animal Health—Contagious caprine pleuropneumonia. In Manual of Diagnostic Tests and Vaccines for Terrestrial Animals, Chapter 3.4.8; OIE: Paris, France, 2022; Available online: https://www.woah.org/en/what-we-do/standards/codes-and-manuals/terrestrial-manual-online-access/ (accessed on 14 July 2022).
- Jain, J.; Loh, C.; Rao, A. Transcriptional regulation of IL-2 gene. Curr. Opin. Immunol. 1995, 7, 333–342. [Google Scholar] [CrossRef]
- Roberts, K.L. Hypersensitivity. Lamp 1973, 30, 35–37. [Google Scholar] [PubMed]
- Yatoo, M.I.; Dimri, U.; Gopalakrishnan, A.; Saxena, A.; Wani, S.A.; Dhama, K. In vitro and in vivo immunomodulatory potential of Pedicularislongiflora and Allium carolinianum in alloxan-induced diabetes in rats. Biomed. Pharmacother. 2018, 97, 375–384. [Google Scholar] [CrossRef]
- Erel, O. A novel automated direct measurement method for measuring total oxidant status. Clin. Biochem. 2004, 38, 1103–1111. [Google Scholar] [CrossRef] [PubMed]
- Erel, O. A new automated calorimetric method for total antioxidant capacity using a new generation, more stable ABTS radical cation. Clin. Biochem. 2005, 37, 277–285. [Google Scholar] [CrossRef] [PubMed]
- Benjamin, M.M. Outline of Veterinary Clinical Pathology, 3rd ed.; Kalyani Publications: New Delhi, India, 1985; pp. 233–254. [Google Scholar]
- Salt, J.; Jores, J.; Labroussaa, F.; Wako, D.D.; Kairu-Wanyoike, S.W.; Nene, V.; Sirand-Pugnet, P. Vaccination against CCPP in East Africa. Vet. Rec. 2019, 185, 272. [Google Scholar] [CrossRef] [PubMed]
- Dobbs, N.A.; Odeh, A.N.; Sun, X.; Simecka, J.W. The multifaceted role of t cell-mediated immunity in pathogenesis and resistance to mycoplasma respiratory disease. Curr. Trends Immunol. 2009, 10, 1–19. [Google Scholar] [PubMed]
- Benedetti, F.; Curreli, S.; Zella, D. Mycoplasmas–host interaction: Mechanisms of inflammation and association with cellular transformation. Microorganisms 2020, 8, 1351. [Google Scholar] [CrossRef]
- Oda, K.; Matsuda, H.; Murakami, T.; Katayama, S.; Ohgitani, T.; Yoshikawa, M. Adjuvant and haemolytic activities of 47 saponins derived from medicinal and food plants. Biol. Chem. 2000, 381, 67–74. [Google Scholar] [CrossRef]
- Rajput, Z.I.; Hu, S.H.; Xiao, C.W.; Arijo, A.G. Adjuvant effects of saponins on animal immune responses. J. Zhejiang Univ. Sci. B 2007, 8, 153–161. [Google Scholar] [CrossRef]
- Chambaud, I.; Wroblewski, H.; Blanchard, A. Interactions between Mycoplasma lipoproteins and the host immune system. Trends Microbiol. 1999, 7, 493–499. [Google Scholar] [CrossRef]
- Maritim, N.; Ngeiywa, M.; Siamba, D.; Mining, S.; Wesonga, H. Influence of worm infection on immunopathological effect of Mycoplasma capricolumcapripneumoniae pathogen in goats. Adv. Anim. Vet. Sci. 2018, 6, 234–241. [Google Scholar] [CrossRef][Green Version]
- Ma, W.T.; Gu, K.; Yang, R.; Tang, X.D.; Qi, Y.X.; Liu, M.J.; Chen, D.K. Interleukin-17 mediates lung injury by promoting neutrophil accumulation during the development of contagious caprine pleuropneumonia. Vet. Microbiol. 2020, 243, 108651. [Google Scholar] [CrossRef]
- Abdelsalam, E.B.; Goraish, I.A.; Tartour, G. Clinico-pathology aspect of naturally occurring contagious caprine pleuropneumonia in Sudan. Rev. d’Elevage Med. Vet. Trop. 1988, 41, 52–54. [Google Scholar]
- Darzi, M.M.; Sood, N.; Gupta, P.P.; Banga, H.S. The pathogenicity and pathogenesis of Mycoplasma capricolum subsp. capripneumoniae (F38) in the caprine mammary gland. Vet. Res. Comm. 1998, 22, 155–165. [Google Scholar] [CrossRef] [PubMed]
- Kensil, C.R. Saponins as vaccine adjuvants. Crit. Rev. Ther. Drug Carr. Syst. 1996, 13, 1–55. [Google Scholar]
- Smolina, T.P.; Solov’eva, T.F.; Besednova, N.N. Immunotropic activity of panaxans–bioglycans isolated from ginseng. Antibiot. Khimioter. 2001, 46, 19–22. [Google Scholar] [PubMed]
- El-Deeb, W.; Fayez, M.; Elsohaby, I.; Salem, M.; Alhaider, A.; Kandeel, M. Investigation of acute-phase proteins and cytokines response in goats with contagious caprine pleuropneumonia with special reference to their diagnostic accuracy. PeerJ 2020, 8, e10394. [Google Scholar] [CrossRef]
- Rosendal, S.; Levisohn, S.; Gallily, R. Cytokines induced in vitro by Mycoplasma mycoides ssp. mycoides, large colony type. Vet. Immunol. Immunopath. 1995, 44, 269–278. [Google Scholar] [CrossRef]
- Jungi, T.W.; Krampe, M.; Sileghem, M.; Griot, C.; Nicolet, J. Differential and strain-specific triggering of bovine alveolar macrophage effector functions by mycoplasmas. Microb. Pathog. 1996, 21, 487–498. [Google Scholar] [CrossRef]
- Rivera, E.; Pettersson, F.E.; Inganäs, M.; Paulie, S.; Grönvik, K.O. The Rb1 fraction of ginseng elicits a balanced Th1 and Th2 immune response. Vaccine 2005, 23, 5411–5419. [Google Scholar] [CrossRef]
- Rodríguez, F.; Castro, P. Differential cytokine expression in natural and experimental mastitis induced by Mycoplasma agalactiae in dairy goats. Reprod. Domest. Anim. 2015, 50, 159–163. [Google Scholar] [CrossRef]
- Fernández, S.; Galapero, J.; Rey, J.; Pérez, C.J.; Ramos, A. Cytokines study in lungs infected with Pasteurellaceae and Mycoplasma spp. from fattening lambs. J. Med. Microbiol. Immunol. Res. 2018, 2, 1. [Google Scholar]
- Hlatshwayo, M.; Szabo, M.J.P.; Bechara, G.H.; Mbati, P.A. Cutaneous hypersensitivity induced in rabbits by extracts of the tick Amblyommacajennense (Acari: Ixodidae). J. S. Afr. Vet. Assoc. 2004, 75, 37–39. [Google Scholar] [CrossRef] [PubMed]
- Turner, R.J.; Held, S.D.E.; Hirst, J.E.; Billinghurst, G.; Wootton, R.J. An immunological assessment of group-housed rabbits. Lab. Anim. 1997, 31, 362–372. [Google Scholar] [CrossRef] [PubMed]
- Rharbaoui, F.; Westendorf, A.; Link, C.; Felk, S.; Buer, J.; Gunzer, M.; Guzmán, C.A. The Mycoplasma-derived macrophage-activating 2-kilodalton lipopeptide triggers global immune activation on nasal mucosa-associated lymphoid tissues. Infect. Immun. 2004, 72, 6978–6986. [Google Scholar] [CrossRef]
- McCullough, K.C.; Summerfield, A. Basic Concepts of Immune Response and Defense Development. ILAR J. 2005, 46, 230–240. [Google Scholar] [CrossRef] [PubMed]
- Sunder, J.A.I.; Srivastava, N.C.; Singh, V.P.; Kumar, M.; Kumar, A. Humoral immune response in rabbits against killed mycoplasma vaccine. Ind. J. Anim. Sci. 2001, 71, 231–232. [Google Scholar]
- March, J.B.; Harrison, J.C.; Borich, S.M. Humoral immune responses following experimental infection of goats with Mycoplasma capricolum subsp. capripneumoniae. Vet. Microbiol. 2002, 84, 29–45. [Google Scholar] [CrossRef]
- Rurangirwa, F.R.; Mcguire, T.C.; Musoke, J.; Kibor, A. Differentiation of F38 mycoplasmas causing contagious caprine pleuropneumonia with a growth-inhibiting monoclonal antibody. Infect. Immun. 1987, 55, 3219–3220. [Google Scholar] [CrossRef] [PubMed]
- Baziki, J.D.D.; Charles, B.S.; Nwankpa, N.; Maina, N.; Chitsungo, E.; Boukary, C.R.M.; Mwangi, N. Development and evaluation of an Immuno-Capture Enzyme-Linked Immunosorbent Assay to quantify the Mycoplasma capricolum subsp. capripneumoniae (Mccp) protein in contagious caprine Pleuropneumonia (CCPP) vaccine. Vet. Med. Int. 2020, 2020, 4236807. [Google Scholar] [CrossRef]
- Tarekegn, S.; Temesgen, W.; Sefinew, A.; Ayelet, G. An experimental live vaccine trial against contagious caprine pleuropneumonia. Afr. J. Microbiol. Res. 2012, 6, 3085–3087. [Google Scholar]
- Peyraud, A.; Poumarat, F.; Thiacourt, F. An international collaborative study to determine the prevalence of contagious caprine pleuropneumonia by monoclonal antibody based cELISA. Vet. Res. 2014, 10, 48. [Google Scholar] [CrossRef]
- Tesgera, T.; Sori, H.; Yami, M.; Mamo, B. Evaluation of safety and immunogenicity of inactivated whole culture contagious caprine pleuropneumonia trial vaccine in National Veterinary Institute, Ethiopia. Afr. J. Microbiol. Res. 2017, 11, 466–473. [Google Scholar] [CrossRef]
- Litamoi, J.K.; Lijodi, F.K.; Nandokha, E. Contagious caprine pleuropneumonia some observation in a field vaccination trial using inactivating mycoplasma strain F38. Trop. Anim. Health Prod. 1989, 21, 146–150. [Google Scholar] [CrossRef] [PubMed]
- Rana, R.; Srivastava, N.C. Monitoring of serological response in goats and rabbits immunized with Mycoplasma mycoides sub sp. capri. Ind. Vet. J. 1996, 73, 379–383. [Google Scholar]
- Srivastava, N.C.; Srivastava, S.K.; Uppal, P.K.; Sikdar, A. Detection of antibody against M. mycoides subsp. capri using slide agglutination test. Ind. J. Comp. Microbiol. Immunol. Infect. Dis. 1991, 12, 44–49. [Google Scholar]
- Celi, P. The role of oxidative stress in small ruminants’ health and production. Rev. Bras. Zootec. 2010, 39, 348–363. [Google Scholar] [CrossRef]
- Lykkesfeldt, J.; Svendsen, O. Oxidants and antioxidants in disease: Oxidative stress in farm animals. Vet. J. 2007, 173, 502–511. [Google Scholar] [CrossRef] [PubMed]
- Kizil, O.; Ozdemir, H.; Karahan, M.; Kizil, M. Oxidative stress and antioxidant status in goat naturally infected with Mycoplasma agalactiae. Rev. Med. Vet. 2007, 158, 326–330. [Google Scholar]
- Li, Y.; Jiang, Z.; Xue, D.; Deng, G.; Li, M.; Liu, X.; Wang, Y. Mycoplasma ovipneumoniae induces sheep airway epithelial cell apoptosis through an ERK signalling-mediated mitochondria pathway. BMC Microbiol. 2016, 16, 1–13. [Google Scholar] [CrossRef]
- Hu, S.; Concha, C.; Cooray, R.; Holmberg, O. Ginseng enhanced oxidative and phagocytic activities of polymorphonulear leukocytes from bovine peripheral blood and stripping milk. Vet. Res. 1995, 26, 155–161. [Google Scholar] [PubMed]
- Atakisi, O.; Oral, H.; Atakisi, E.; Merhan, O.; Pancarci, S.M.; Ozcan, A.; Kaya, S. Subclinical mastitis causes alterations in nitric oxide, total oxidant and antioxidant capacity in cow milk. Res. Vet. Sci. 2010, 89, 10–13. [Google Scholar] [CrossRef]
- Gong, J.; Xiao, M. Selenium and antioxidant status in dairy cows at different stages of lactation. Biol. Trace Elem. Res. 2016, 171, 89–93. [Google Scholar] [CrossRef] [PubMed]
- Yatoo, M.I.; Dimri, U.; Mashooq, M.; Saxena, A.; Gopalakrishnan, A.; Bashir, S.T. Redox disequilibrium vis-a-vis inflammatory cascade mediation of lymphocyte dysfunction, apoptosis, cytokine expression and activation of NF-κB in subclinical diabetic goats. Ind. J. Anim. Sci. 2019, 89, 40–45. [Google Scholar]
- Ji, Y.; Karbaschi, M.; Cooke, M.S. Mycoplasma infection of cultured cells induces oxidative stress and attenuates cellular base excision repair activity. Mutat. Res./Genet. Toxicol. Environ. Mutagenesis 2019, 845, 403054. [Google Scholar] [CrossRef] [PubMed]
- Sun, G.; Xu, X.; Wang, Y.; Shen, X.; Chen, Z.; Yang, J. Mycoplasma pneumoniae infection induces reactive oxygen species and DNA damage in A549 human lung carcinoma cells. Infect. Immun. 2008, 76, 4405–4413. [Google Scholar] [CrossRef] [PubMed]
- Liu, Y.; Zhou, M.; Xu, S.; Khan, M.A.; Shi, Y.; Qu, W.; Gao, J.; Liu, G.; Kastelic, J.P.; Han, B. Mycoplasma bovis-generated reactive oxygen species and induced apoptosis in bovine mammary epithelial cell cultures. J. Dairy Sci. 2020, 103, 10429–10445. [Google Scholar] [CrossRef] [PubMed]
- Stancu, C.A.; Cărpinișan, L.; Ghișe, A.; Marcu, A.; Pentea, M.C.; Dumitrescu, E.; Cristina, R.T. Clinical chemistry, haematology, immune response and histological evaluation of rabbits after immunisation and challenge with rabbit haemorrhagic disease (RHD) virus. World Rabbit. Sci. 2017, 25, 357–365. [Google Scholar] [CrossRef]







| Day of Study | Group 1 | Group 2 | Group 3 | Group 4 | 
|---|---|---|---|---|
| 0 day | 3.16 ± 0.17 | 3.62 ± 0.13 a | 3.67 ± 0.14 a | 3.78 ± 0.02 a | 
| 7 day | 3.58 ± 0.34 A | 40.31 ± 0.71 Bb | 28.12 ± 0.44 CBb | 40.08 ± 0.65 BDb | 
| 14 day | 3.82 ± 0.40 A | 31.37 ± 0.33 Bc | 15.31 ± 0.55 Cc | 28.80 ± 0.23 Dc | 
| 21 day | 4.23 ± 0.35 A | 10.44 ± 0.33 Bd | 5.25 ± 0.17 Cd | 8.24 ± 0.19 Dd | 
| 28 day | 4.09 ± 0.31 A | 5.45 ± 0.20 Bae | 4.31 ± 0.10 ACade | 4.10 ± 0.03 ACDae | 
| Day of Study | Group 1 | Group 2 | Group 3 | Group 4 | 
|---|---|---|---|---|
| 0 day | 0.59 ± 0.07 | 0.4589 ± 0.08 a | 0.44 ± 0.09 a | 0.36 ± 0.05 a | 
| 7 day | 0.42 ± 0.07 A | 0.12 ± 0.00 Bb | 0.27 ± 0.01 ACab | 0.13 ± 0.01 BCDb | 
| 14 day | 0.59 ± 0.07 A | 0.1376 ± 0.01 Bbc | 0.2485 ± 0.01 BCbc | 0.12 ± 0.00 BCDbc | 
| 21 day | 0.67 ± 0.07 A | 0.13 ± 0.01 Bbcd | 0.24 ± 0.01 BCbcd | 0.21 ± 0.02 BCDbcd | 
| 28 day | 0.59±0.07 A | 0.24±0.00 Bbcde | 0.32±0.00 BCabcde | 0.33±0.01 BCDae | 
| Day of Study | Group 1 | Group 2 | Group 3 | Group 4 | 
|---|---|---|---|---|
| 0 day | 6.13 ± 6.13 | 5.88 ± 0.12 a | 6.53 ± 0.33 a | 5.91 ± 0.33 a | 
| 7 day | 6.11 ± 0.41 A | 4.43 ± 0.13 Bb | 5.68 ± 0.10 ACb | 4.68 ± 0.11 BDb | 
| 14 day | 5.98 ± 0.37 A | 4.96 ± 0.06 Bc | 5.35 ± 0.12 ABCbc | 5.20 ± 0.10 BCDc | 
| 21 day | 6.08 ± 0.28 A | 5.83 ± 0.08 ABad | 6.25 ± 0.11 ABCad | 5.78 ± 0.07 ABDad | 
| 28 day | 6.13 ± 0.33 A | 6.43 ± 0.12 ABe | 6.85 ± 0.09 BCae | 6.48 ± 0.11 ABCDe | 
| Day of Study | Group 1 | Group 2 | Group 3 | Group 4 | 
|---|---|---|---|---|
| day 0 | 12.50 ± 0.67 | 13.00 ± 0.57 a | 13.00 ± 0.96 a | 12.83 ± 0.79 a | 
| day 7 | 11.50 ± 0.84 | 9.25 ± 0.21 b | 10.50 ± 0.42 b | 9.66 ± 0.35 b | 
| day 14 | 11.66 ± 0.66 A | 9.00 ± 0.22 Bbc | 10.41 ± 0.52 ABCbc | 9.16 ± 0.21 BCDbc | 
| day 21 | 12.50 ± 0.76 A | 9.33 ± 0.21 Bbcd | 11.16 ± 0.54 ABCabcd | 9.66 ± 0.33 BCDbcd | 
| day 28 | 12.66 ± 0.88 | 10.66 ± 0.33 bde | 12.50 ± 0.34 abcde | 10.58 ± 0.37 bcde | 
| Publisher’s Note: MDPI stays neutral with regard to jurisdictional claims in published maps and institutional affiliations. | 
© 2022 by the authors. Licensee MDPI, Basel, Switzerland. This article is an open access article distributed under the terms and conditions of the Creative Commons Attribution (CC BY) license (https://creativecommons.org/licenses/by/4.0/).
Share and Cite
Haq, R.I.U.; Parray, O.R.; Nazir, Q.U.A.; Bhat, R.A.; Shah, S.A.; Kawoosa, M.S.; Rabaan, A.A.; Aljeldah, M.; Al Shammari, B.R.; Almogbel, M.S.; et al. Immune and Oxidative Response against Sonicated Antigen of Mycoplasma capricolum subspecies capripneumonia—A Causative Agent of Contagious Caprine Pleuropneumonia. Microorganisms 2022, 10, 1634. https://doi.org/10.3390/microorganisms10081634
Haq RIU, Parray OR, Nazir QUA, Bhat RA, Shah SA, Kawoosa MS, Rabaan AA, Aljeldah M, Al Shammari BR, Almogbel MS, et al. Immune and Oxidative Response against Sonicated Antigen of Mycoplasma capricolum subspecies capripneumonia—A Causative Agent of Contagious Caprine Pleuropneumonia. Microorganisms. 2022; 10(8):1634. https://doi.org/10.3390/microorganisms10081634
Chicago/Turabian StyleHaq, Rather Izhar Ul, Oveas Rafiq Parray, Qurat Ul Ain Nazir, Riyaz Ahmed Bhat, Showkat Ahmad Shah, Majid Shafi Kawoosa, Ali A. Rabaan, Mohammed Aljeldah, Basim R. Al Shammari, Mohammed S. Almogbel, and et al. 2022. "Immune and Oxidative Response against Sonicated Antigen of Mycoplasma capricolum subspecies capripneumonia—A Causative Agent of Contagious Caprine Pleuropneumonia" Microorganisms 10, no. 8: 1634. https://doi.org/10.3390/microorganisms10081634
APA StyleHaq, R. I. U., Parray, O. R., Nazir, Q. U. A., Bhat, R. A., Shah, S. A., Kawoosa, M. S., Rabaan, A. A., Aljeldah, M., Al Shammari, B. R., Almogbel, M. S., Alharbi, N., Alrashoudi, R., Sabour, A. A., Alaeq, R. A., Alshiekheid, M. A., Alshamrani, S. A., Albutti, A., Alwashmi, A. S. S., Dhama, K., & Yatoo, M. I. (2022). Immune and Oxidative Response against Sonicated Antigen of Mycoplasma capricolum subspecies capripneumonia—A Causative Agent of Contagious Caprine Pleuropneumonia. Microorganisms, 10(8), 1634. https://doi.org/10.3390/microorganisms10081634
 
        


 
       