Bacterial Diversity and Potential Functions in Response to Long-Term Nitrogen Fertilizer on the Semiarid Loess Plateau
Abstract
:1. Introduction
2. Materials and Methods
2.1. Site, Experimental Design
2.2. Samples, Physicochemical and Bioinformatic Analysis
2.3. Data Analysis
3. Results
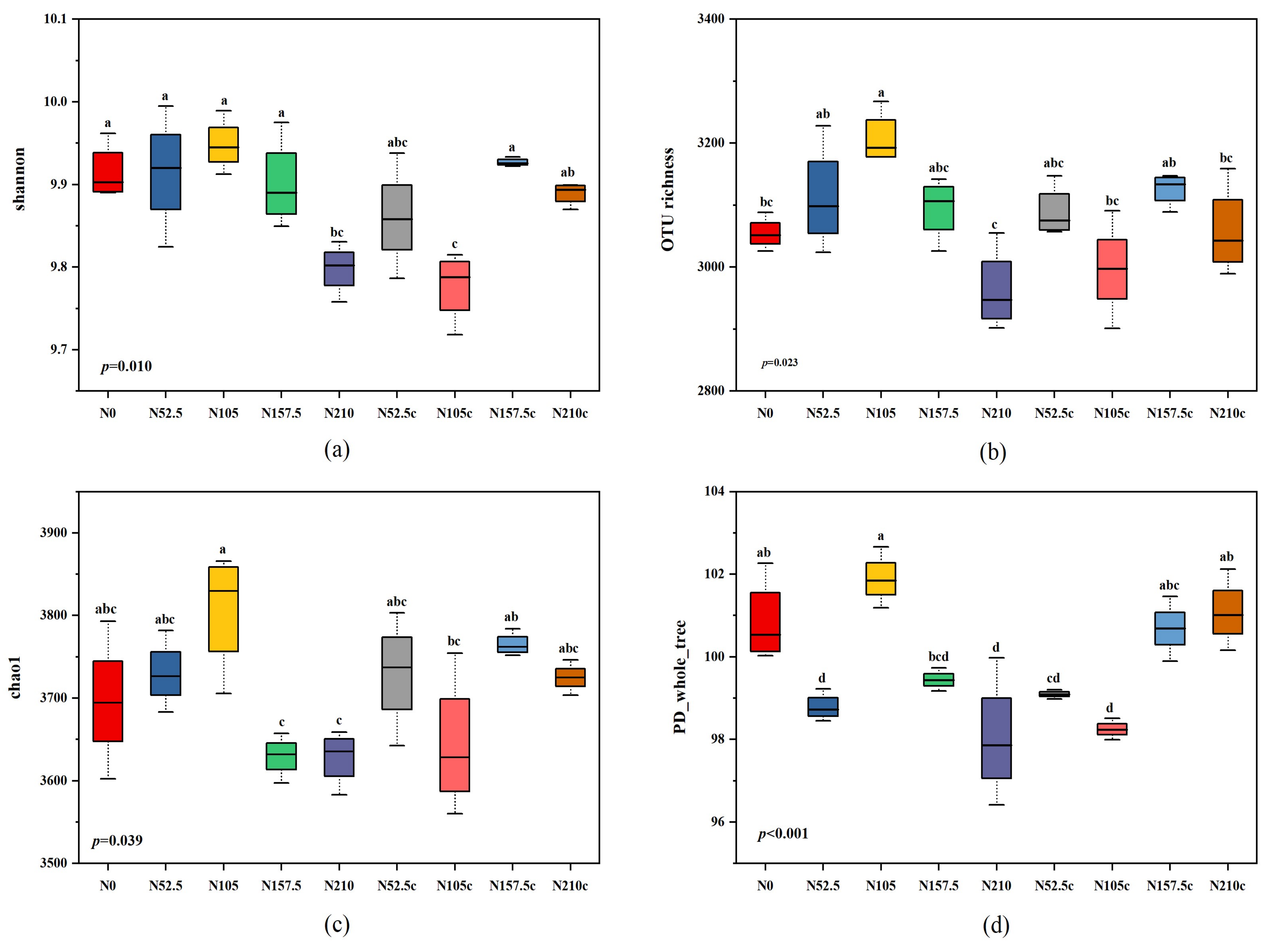
3.1. Soil Bacterial Alpha Diversity
3.2. Soil Bacterial Beta Diversity
3.3. Function Prediction
3.4. Bacterial Co-Occurrence Networks and Prediction Analysis
3.5. Physicochemical Properties and Bacterial Community
4. Discussion
5. Conclusions
Supplementary Materials
Author Contributions
Funding
Institutional Review Board Statement
Informed Consent Statement
Data Availability Statement
Acknowledgments
Conflicts of Interest
References
- Berthrong, S.T.; Buckley, D.H.; Drinkwater, L. Agricultural Management and Labile Carbon Additions Affect Soil Microbial Community Structure and Interact with Carbon and Nitrogen Cycling. Microb. Ecol. 2013, 66, 158–170. [Google Scholar] [CrossRef] [PubMed]
- Nimmo, J.; Lynch, D.H.; Owen, J. Quantification of nitrogen inputs from biological nitrogen fixation to whole farm nitrogen budgets of two dairy farms in Atlantic Canada. Nutr. Cycl. Agroecosyst. 2013, 96, 93–105. [Google Scholar] [CrossRef]
- Fierer, N.; Lauber, C.L.; Ramirez, K.S.; Zaneveld, J.; Bradford, M.A.; Knight, R. Comparative metagenomic, phylogenetic and physiological analyses of soil microbial communities across nitrogen gradients. ISME J. 2012, 6, 1007–1017. [Google Scholar] [CrossRef] [PubMed]
- Garbeva, P.; van Veen, J.; van Elsas, J. Microbial Diversity in Soil: Selection of Microbial Populations by Plant and Soil Type and Implications for Disease Suppressiveness. Annu. Rev. Phytopathol. 2004, 42, 243–270. [Google Scholar] [CrossRef]
- Bhat, A.K. Preserving microbial diversity of soil ecosystem: A key to sustainable productivity. Int. J. Curr. Microbiol. Appl. Sci. 2013, 2, 85–101. [Google Scholar]
- Soman, C.; Li, D.; Wander, M.M.; Kent, A.D. Long-term fertilizer and crop-rotation treatments differentially affect soil bacterial community structure. Plant Soil 2017, 413, 145–159. [Google Scholar] [CrossRef]
- Yin, C.; Jones, K.L.; Peterson, D.E.; Garrett, K.A.; Hulbert, S.H.; Paulitz, T.C. Members of soil bacterial communities sensitive to tillage and crop rotation. Soil Biol. Biochem. 2010, 42, 2111–2118. [Google Scholar] [CrossRef]
- Li, C.; Yan, K.; Tang, L.; Jia, Z.; Li, Y. Change in deep soil microbial communities due to long-term fertilization. Soil Biol. Biochem. 2014, 75, 264–272. [Google Scholar] [CrossRef]
- Kennedy, A.C.; Smith, K.L. Soil microbial diversity and the sustainability of agricultural soils. Plant Soil 1995, 170, 75–86. [Google Scholar] [CrossRef]
- Yang, Y.; Li, X.; Liu, J.; Zhou, Z.; Zhang, T.; Wang, X. Bacterial diversity as affected by application of manure in red soils of subtropical China. Biol. Fertil. Soils 2017, 53, 639–649. [Google Scholar] [CrossRef]
- Ren, C.; Chen, J.; Deng, J.; Zhao, F.; Han, X.; Yang, G.; Tong, X.; Feng, Y.; Shelton, S.; Ren, G. Response of microbial diversity to C:N:P stoichiometry in fine root and microbial biomass following afforestation. Biol. Fertil. Soils 2017, 53, 457–468. [Google Scholar] [CrossRef]
- Janssen, P.H. Identifying the Dominant Soil Bacterial Taxa in Libraries of 16S rRNA and 16S rRNA Genes. Appl. Environ. Microbiol. 2006, 72, 1719–1728. [Google Scholar] [CrossRef]
- Singh, H.; Verma, A.; Ansari, M.W.; Shukla, A. Physiological response of rice (Oryza sativa L.) genotypes to elevated nitrogen applied under field conditions. Plant Signal. Behav. 2014, 9, e29015. [Google Scholar] [CrossRef]
- Geisseler, D.; Horwath, W.R.; Joergensen, R.G.; Ludwig, B. Pathways of nitrogen utilization by soil microorganisms—A review. Soil Biol. Biochem. 2011, 42, 2058–2067. [Google Scholar] [CrossRef]
- Zhong, Y.; Yan, W.; Shangguan, Z. Impact of long-term N additions upon coupling between soil microbial community structure and activity, and nutrient-use efficiencies. Soil Biol. Biochem. 2015, 91, 151–159. [Google Scholar] [CrossRef]
- Tabak, M.; Lepiarczyk, A.; Filipek-Mazur, B.; Lisowska, A. Efficiency of Nitrogen Fertilization of Winter Wheat Depending on Sulfur Fertilization. Agronomy 2020, 10, 1304. [Google Scholar] [CrossRef]
- Caicedo, J.R.; Steen, N.P.V.D.; Arce, O.; Gijzen, H.J. Effect of total ammonia nitrogen concentration and pH on growth rates of duckweed (Spirodela polyrrhiza). Water Res. 2000, 34, 3829–3835. [Google Scholar] [CrossRef]
- Abujabhah, I.S.; Doyle, R.B.; Bound, S.A.; Bowman, J.P. Assessment of bacterial community composition, methanotrophic and nitrogen-cycling bacteria in three soils with different biochar application rates. J. Soils Sediments 2017, 18, 148–158. [Google Scholar] [CrossRef]
- Zhou, J.; Guan, D.; Zhou, B.; Zhao, B.; Ma, M.; Qin, J.; Jiang, X.; Chen, S.; Cao, F.; Shen, D.; et al. Influence of 34-years of fertilization on bacterial communities in an intensively cultivated black soil in northeast China. Soil Biol. Biochem. 2015, 90, 42–51. [Google Scholar] [CrossRef]
- Shrestha, M.; Shrestha, P.M.; Frenzel, P.; Conrad, R. Effect of nitrogen fertilization on methane oxidation, abundance, community structure and gene expression of methanotrophs in the rice rhizosphere. ISME J. 2010, 4, 1545–1556. [Google Scholar] [CrossRef]
- Guo, J.H.; Liu, X.J.; Zhang, Y.; Shen, J.L.; Han, W.X.; Zhang, W.F.; Christie, P.; Goulding, K.W.T.; Vitousek, P.M.; Zhang, F.S. Significant Acidification in Major Chinese Croplands. Science 2010, 327, 1008–1010. [Google Scholar] [CrossRef]
- Mooshammer, M.; Wanek, W.; Hämmerle, I.; Fuchslueger, L.; Hofhansl, F.; Knoltsch, A.; Richter, A. Adjustment of microbial nitrogen use efficiency to carbon: Nitrogen imbalances regulates soil nitrogen cycling. Nat. Commun. 2014, 5, 1–7. [Google Scholar] [CrossRef]
- Zhao, J.; Ni, T.; Li, Y.; Xiong, W.; Ran, W.; Shen, B.; Shen, Q.; Zhang, R. Responses of Bacterial Communities in Arable Soils in a Rice-Wheat Cropping System to Different Fertilizer Regimes and Sampling Times. PLoS ONE 2014, 9, e85301. [Google Scholar] [CrossRef]
- Lauber, C.L.; Hamady, M.; Knight, R.; Fierer, N. Pyrosequencing-Based Assessment of Soil pH as a Predictor of Soil Bacterial Community Structure at the Continental Scale. Appl. Environ. Microbiol. 2009, 75, 5111–5120. [Google Scholar] [CrossRef]
- Wang, C.; Lu, X.; Mori, T.; Mao, Q.; Zhou, K.; Zhou, G.; Nie, Y.; Mo, J. Responses of soil microbial community to continuous experimental nitrogen additions for 13 years in a nitrogen-rich tropical forest. Soil Biol. Biochem. 2018, 121, 103–112. [Google Scholar] [CrossRef]
- Conley, D.J.; Paerl, H.W.; Howarth, R.W.; Boesch, D.F.; Seitzinger, S.P.; Havens, K.E.; Lancelot, C.; Likens, G.E. Controlling Eutrophication: Nitrogen and Phosphorus. Am. Assoc. Adv. Sci. 2009, 323, 1014–1015. [Google Scholar] [CrossRef]
- Wei, X.R.; Hao, M.D.; Xue, X.H.; Shi, P.; Horton, R.; Wang, A.; Zang, Y.F. Nitrous oxide emission from highland winter wheat field after long-term fertilization. Biogeosciences 2010, 7, 3301–3310. [Google Scholar] [CrossRef]
- Detheridge, A.P.; Brand, G.; Fychan, R.; Crotty, F.; Sanderson, R.; Griffith, G.; Marley, C.L. The legacy effect of cover crops on soil fungal populations in a cereal rotation. Agric. Ecosyst. Environ. 2016, 228, 49–61. [Google Scholar] [CrossRef]
- Yuan, X.; Knelman, J.E.; Gasarch, E.; Wang, D.; Nemergut, D.R.; Seastedt, T.R. Plant community and soil chemistry responses to long-term nitrogen inputs drive changes in alpine bacterial communities. Ecology 2016, 97, 1543–1554. [Google Scholar] [CrossRef]
- Food and Agriculture Organization. The State of Food and Agriculture; Food and Agriculture Organization of the United Nations: Rome, Italy, 1990. [Google Scholar]
- Chinese Soil Taxonomy Cooperative Reseach Group. Chinese Soil Taxonomy (Revised Proposal); Institute of Soil Science, Chinese Agricultural Science and Technology Press, Academic Sinica: Beijing, China, 1995. [Google Scholar]
- Bao, S. Analysis of Soil Agro-Chemistry; China Agriculture Press: Beijing, China, 1999. [Google Scholar]
- National Agriculture Technology Extension and Service Center (NATESC). Soil Analysis Technology Specification; China Agriculture Press: Beijing, China, 2006.
- Caporaso, J.G.; Kuczynski, J.; Stombaugh, J.; Bittinger, K.; Bushman, F.D.; Costello, E.K.; Fierer, N.; Gonzalez Peña, A.; Goodrich, J.K.; Gordon, J.I.; et al. QIIME allows analysis of high-throughput community sequencing data. Nat. Methods 2010, 7, 335–336. [Google Scholar] [CrossRef]
- Edgar, R.C.; Haas, B.J.; Clemente, J.C.; Quince, C.; Knight, R. UCHIME improves sensitivity and speed of chimera detection. Bioinformatics 2011, 27, 2194–2200. [Google Scholar] [CrossRef] [PubMed]
- Rognes, T.; Flouri, T.; Nichols, B.; Quince, C.; Mahé, F. VSEARCH: A versatile open source tool for metagenomics. PeerJ 2016, 4, e2584. [Google Scholar] [CrossRef] [PubMed]
- Langille, M.G.I.; Zaneveld, J.; Caporaso, J.G.; McDonald, D.; Knights, D.; Reyes, J.A.; Clemente, J.C.; Burkepile, D.E.; Vega Thurber, R.L.; Knight, R.; et al. Predictive functional profiling of microbial communities using 16S rRNA marker gene sequences. Nat. Biotechnol. 2013, 31, 814–821. [Google Scholar] [CrossRef] [PubMed]
- Ogata, H.; Goto, S.; Sato, K.; Fujibuchi, W.; Bono, H.; Kanehisa, M. KEGG: Kyoto Encyclopedia of Genes and Genomes. Nucleic Acids Res. 2000, 28, 29–34. [Google Scholar] [CrossRef]
- Faust, K.; Raes, J. Microbial interactions: From networks to models. Nat. Rev. Microbiol. 2012, 10, 538–550. [Google Scholar] [CrossRef]
- Bastian, M.; Heymann, S.; Jacomy, M. Gephi: An Open Source Software for Exploring and Manipulating Networks. In Proceedings of the international AAAI Conference on Web and Social Media, San Jose, CA, USA, 19 March 2009; Volume 3, pp. 361–362. [Google Scholar]
- Wakelin, S.A.; Colloff, M.; Harvey, P.R.; Marschner, P.; Gregg, A.L.; Rogers, S.L. The effects of stubble retention and nitrogen application on soil microbial community structure and functional gene abundance under irrigated maize. FEMS Microbiol. Ecol. 2007, 59, 661–670. [Google Scholar] [CrossRef]
- Yuan, H.; Ge, T.; Zhou, P.; Liu, S.; Roberts, P.; Zhu, H.; Zou, Z.; Tong, C.; Wu, J. Soil microbial biomass and bacterial and fungal community structures responses to long-term fertilization in paddy soils. J. Soils Sediments 2013, 13, 877–886. [Google Scholar] [CrossRef]
- Coolon, J.D.; Jones, K.L.; Todd, T.C.; Blair, J.; Herman, M.A.; Martha, T. Long-Term Nitrogen Amendment Alters the Diversity and Assemblage of Soil Bacterial Communities in Tallgrass Prairie. PLoS ONE 2013, 8, e67884. [Google Scholar] [CrossRef]
- Ramirez, K.S.; Lauber, C.L.; Knight, R.; Bradford, M.; Fierer, N. Consistent effects of nitrogen fertilization on soil bacterial communities in contrasting systems. Ecology 2010, 91, 3463–3470. [Google Scholar] [CrossRef]
- Xu, A.; Li, L.; Xie, J.; Wang, X.; Coulter, J.A.; Liu, C.; Wang, L. Effect of Long-Term Nitrogen Addition on Wheat Yield, Nitrogen Use Efficiency, and Residual Soil Nitrate in a Semiarid Area of the Loess Plateau of China. Sustainability 2020, 12, 1735. [Google Scholar] [CrossRef]
- Dai, Z.; Su, W.; Chen, H.; Barberán, A.; Zhao, H.; Yu, M.; Yu, L.; Brookes, P.C.; Schadt, C.W.; Chang, S.X.; et al. Long-term nitrogen fertilization decreases bacterial diversity and favors the growth of Actinobacteria and Proteobacteria in agro-ecosystems across the globe. Glob. Chang. Biol. 2018, 24, 3452–3461. [Google Scholar] [CrossRef]
- Guo, Q.; Yan, L.; Korpelainen, H.; Niinemets, Ü.; Li, C. Plant-plant interactions and N fertilization shape soil bacterial and fungal communities. Soil Biol. Biochem. 2018, 128, 127–138. [Google Scholar] [CrossRef]
- Averill, C.; Waring, B. Nitrogen limitation of decomposition and decay: How can it occur? Glob. Chang. Biol. 2018, 24, 1417–1427. [Google Scholar] [CrossRef]
- Ramirez, K.S.; Craine, J.M.; Fierer, N. Consistent effects of nitrogen amendments on soil microbial communities and processes across biomes. Glob. Chang. Biol. 2012, 18, 1918–1927. [Google Scholar] [CrossRef]
- Zhang, T.; Chen, H.Y.H.; Ruan, H. Global negative effects of nitrogen deposition on soil microbes. ISME J. 2018, 12, 1817–1825. [Google Scholar] [CrossRef]
- Zeng, J.; Liu, X.; Song, L.; Lin, X.; Zhang, H.; Shen, C.; Chu, H. Nitrogen fertilization directly affects soil bacterial diversity and indirectly affects bacterial community composition. Soil Biol. Biochem. 2016, 92, 41–49. [Google Scholar] [CrossRef]
- Jenkins, S.N.; Rushton, S.P.; Lanyon, C.V.; Whiteley, A.S.; Waite, I.S.; Brookes, P.C.; Kemmitt, S.; Evershed, R.P.; O’Donnell, A.G. Taxon-specific responses of soil bacteria to the addition of low level C inputs. Soil Biol. Biochem. 2010, 42, 1624–1631. [Google Scholar] [CrossRef]
- Kielak, A.M.; Barreto, C.C.; Kowalchuk, G.A.; Van Veen, J.A.; Kuramae, E.E. The Ecology of Acidobacteria: Moving beyond Genes and Genomes. Front. Microbiol. 2016, 7, 744. [Google Scholar] [CrossRef]
- Li, H.; Ye, D.; Wang, X.; Settles, M.; Wang, J.; Hao, Z.; Zhou, L.; Dong, P.; Jiang, Y.; Ma, Z. Soil bacterial communities of different natural forest types in Northeast China. Plant Soil 2014, 383, 203–216. [Google Scholar] [CrossRef]
- Dongwei, H.; Zhijian, H.; Shenzheng, Z.; Jian, L.; Dongdong, W.; Xisha, D.; Shaoping, W.; Zhili, H.; Jianguo, H. Environmental Factors Shape Water Microbial Community Structure and Function in Shrimp Cultural Enclosure Ecosystems. Front. Microbiol. 2017, 8, 2359–2370. [Google Scholar]
- Wang, K.; Ye, X.; Zhang, H.; Chen, H.; Zhang, D.; Liu, L. Regional variations in the diversity and predicted metabolic potential of benthic prokaryotes in coastal northern Zhejiang, East China Sea. Sci. Rep. 2016, 6, 38709. [Google Scholar] [CrossRef]
- Liu, C.; Li, L.; Xie, J.; Coulter, J.A.; Zhang, R.; Luo, Z.; Cai, L.; Wang, L.; Gopalakrishnan, S. Soil Bacterial Diversity and Potential Functions Are Regulated by Long-Term Conservation Tillage and Straw Mulching. Microorganisms 2020, 8, 836. [Google Scholar] [CrossRef]
- Huang, X.; Zhou, X.; Zhang, J.; Cai, Z. Highly connected taxa located in the microbial network are prevalent in the rhizosphere soil of healthy plant. Biol. Fertil. Soils 2019, 55, 299–312. [Google Scholar] [CrossRef]
- Gu, Y.; Yingyan, W.; Sheng’e, L.; Quanju, X.; Xiumei, Y.; Ke, Z.; Likou, Z.; Qiang, C.; Shihua, T.; Xiaoping, Z. Long-term Fertilization Structures Bacterial and Archaeal Communities along Soil Depth Gradient in a Paddy Soil. Front. Microbiol. 2017, 8, 1516–1528. [Google Scholar] [CrossRef]
- Jiang, Y.; Liang, Y.; Li, C.; Wang, F.; Sui, Y.; Suvannang, N.; Zhou, J.; Sun, B. Crop rotations alter bacterial and fungal diversity in paddy soils across East Asia. Soil Biol. Biochem. 2016, 95, 250–261. [Google Scholar] [CrossRef]
- Ma, B.; Wang, H.; Dsouza, M.; Lou, J.; He, Y.; Dai, Z.; Brookes, P.C.; Xu, J.; Gilbert, J.A. Geographic patterns of co-occurrence network topological features for soil microbiota at continental scale in eastern China. ISME J. 2016, 10, 1891–1901. [Google Scholar] [CrossRef]
- Ling, N.; Zhu, C.; Xue, C.; Chen, H.; Duan, Y.; Peng, C.; Guo, S.; Shen, Q. Insight into how organic amendments can shape the soil microbiome in long-term field experiments as revealed by network analysis. Soil Biol. Biochem. 2016, 99, 137–149. [Google Scholar] [CrossRef]
- Eilers, K.G.; Debenport, S.; Anderson, S.; Fierer, N. Digging deeper to find unique microbial communities: The strong effect of depth on the structure of bacterial and archaeal communities in soil. Soil Biol. Biochem. 2012, 50, 58–65. [Google Scholar] [CrossRef]
- Kong, Y.; Ling, N.; Xue, C.; Chen, H.; Ruan, Y.; Guo, J.; Zhu, C.; Wang, M.; Shen, Q.; Guo, S. Long-term fertilization regimes change soil nitrification potential by impacting active autotrophic ammonia oxidizers and nitrite oxidizers as assessed by DNA stable isotope probing. Environ. Microbiol. 2019, 21, 1224–1240. [Google Scholar] [CrossRef]
- Zhang, C.; Niu, D.; Hall, S.J.; Wen, H.; Li, X.; Fu, H.; Wan, C.; Elser, J.J. Effects of simulated nitrogen deposition on soil respiration components and their temperature sensitivities in a semiarid grassland. Soil Biol. Biochem. 2014, 75, 113–123. [Google Scholar] [CrossRef]
- Ahn, J.-H.; Lee, S.A.; Kim, J.M.; Kim, M.-S.; Song, J.; Weon, H.-Y. Dynamics of bacterial communities in rice field soils as affected by different long-term fertilization practices. J. Microbiol. 2016, 54, 724–731. [Google Scholar] [CrossRef] [PubMed]
- Treseder, K.K. Nitrogen additions and microbial biomass: A meta-analysis of ecosystem studies. Ecol. Lett. 2010, 11, 1111–1120. [Google Scholar] [CrossRef] [PubMed]
- Rousk, J.; Bååth, E.; Brookes, P.C.; Lauber, C.L.; Lozupone, C.; Caporaso, J.G.; Knight, R.; Fierer, N. Soil bacterial and fungal communities across a pH gradient in an arable soil. ISME J. 2010, 4, 1340–1351. [Google Scholar] [CrossRef] [PubMed]
- Jones, R.T.; Robeson, M.S.; Lauber, C.L.; Hamady, M.; Knight, R.; Fierer, N. Acomprehensive survey of soil acidobacterial diversity using pyrosequencing and clone library analyses. ISME J. 2009, 3, 442–453. [Google Scholar] [CrossRef]
- Song, H.; Che, Z.; Cao, W.; Huang, T.; Wang, J.; Dong, Z. Changing roles of ammonia-oxidizing bacteria and archaea in a continuously acidifying soil caused by over-fertilization with nitrogen. Environ. Sci. Pollut. Res. 2016, 23, 11964–11974. [Google Scholar] [CrossRef]






| Treatment | Cellular Processes | Environmental Information Processing | Genetic Information Processing | Human Diseases | Metabolism | None | Organismal Systems | Unclassified |
|---|---|---|---|---|---|---|---|---|
| N0 | 1.977 ± 0.02 a | 13.644 ± 0.12 a | 18.025 ± 0.043 a | 0.222 ± 0.003b | 42.134 ± 0.019 a | 0.32 ± 0.003bc | 0.765 ± 0.005 a | 22.914 ± 0.046 b |
| N52.5 | 1.962 ± 0.02 a | 13.683 ± 0.174 a | 17.967 ± 0.139 a | 0.225 ± 0.003b | 42.149 ± 0.023 a | 0.323 ± 0.002 abc | 0.762 ± 0.003 ab | 22.929 ± 0.016 b |
| N105 | 1.99 ± 0.034 a | 13.555 ± 0.135 a | 18.023 ± 0.11 a | 0.223 ± 0.003b | 42.166 ± 0.057 a | 0.317 ± 0.003c | 0.765 ± 0.003 a | 22.96 ± 0.034 ab |
| N157.5 | 1.988 ± 0.026 a | 13.634 ± 0.385 a | 17.981 ± 0.133 a | 0.228 ± 0.004b | 42.098 ± 0.038 a | 0.328 ± 0.004 abc | 0.756 ± 0.002 ab | 22.987 ± 0.096 ab |
| N210 | 2.031 ± 0.024 a | 13.473 ± 0.182 a | 17.977 ± 0.057 a | 0.241 ± 0.002 a | 42.099 ± 0.024 a | 0.328 ± 0.003 abc | 0.751 ± 0.003 b | 23.1 ± 0.038 a |
| N52.5c | 2.031 ± 0.023 a | 13.603 ± 0.164 a | 18.007 ± 0.111 a | 0.226 ± 0.003 b | 42.118 ± 0.013 a | 0.322 ± 0.004 abc | 0.768 ± 0.005 a | 22.925 ± 0.052 b |
| N105c | 2.011 ± 0.056 a | 13.668 ± 0.101 a | 17.913 ± 0.123 a | 0.225 ± 0.003 b | 42.136 ± 0.01 a | 0.333 ± 0.005 a | 0.766 ± 0.002 a | 22.948 ± 0.028 ab |
| N157.5c | 1.969 ± 0.043 a | 13.735 ± 0.068 a | 17.843 ± 0.026 a | 0.227 ± 0.003 b | 42.155 ± 0.025 a | 0.331 ± 0.003 ab | 0.767 ± 0.002 a | 22.973 ± 0.059 ab |
| N210c | 2.004 ± 0.01 a | 13.667 ± 0.106 a | 17.911 ± 0.075 a | 0.222 ± 0.004 b | 42.163 ± 0.025 a | 0.326 ± 0.005 abc | 0.766 ± 0.006 a | 22.941 ± 0.033 ab |
| ANOVA (p-value) | 0.726 | 0.991 | 0.919 | 0.013 | 0.626 | 0.11 | 0.073 | 0.315 |
| KEGG Pathway | Treatment a | |||||||||
|---|---|---|---|---|---|---|---|---|---|---|
| p-Value | N0 | N52.5 | N105 | N157.5 | N210 | N52.5c | N105c | N157.5c | N210c | |
| Cellular Processes | ||||||||||
| Cell Growth and Death | 0.025 | 0.31 ± 0 b | 0.32 ± 0 b | 0.32 ± 0.01 b | 0.33 ± 0 ab | 0.34 ± 0 a | 0.32 ± 0 b | 0.32 ± 0 b | 0.33 ± 0 ab | 0.33 ± 0 ab |
| Cell Motility | 0.827 | 1.61 ± 0.02 a | 1.59 ± 0.04 a | 1.62 ± 0.04 a | 1.61 ± 0.03 a | 1.65 ± 0.02 a | 1.67 ± 0.03 a | 1.64 ± 0.05 a | 1.60 ± 0.04 a | 1.63 ± 0.01 a |
| Transport and Catabolism | 0.969 | 0.05 ± 0 a | 0.05 ± 0 a | 0.05 ± 0 a | 0.05 ± 0 a | 0.05 ± 0 a | 0.05 ± 0 a | 0.04 ± 0 a | 0.05 ± 0 a | 0.05 ± 0 a |
| Environmental Information Processing | ||||||||||
| Membrane Transport | 0.065 | 12.22 ± 0.02 a | 12.26 ± 0.01 a | 12.13 ± 0.05 ab | 12.18 ± 0.08 ab | 12.05 ± 0.05 b | 12.21 ± 0.03 a | 12.26 ± 0.05 a | 12.27 ± 0.03 a | 12.24 ± 0.05 a |
| Signal Transduction | 0.409 | 1.25 ± 0.01 a | 1.25 ± 0 a | 1.24 ± 0.02 a | 1.26 ± 0.02 a | 1.22 ± 0.02 a | 1.22 ± 0.03 a | 1.23 ± 0.01 a | 1.27 ± 0.02 a | 1.24 ± 0.01 a |
| Signaling Molecules and Interaction | <0.000 | 0.17 ± 0 c | 0.18 ± 0 b | 0.18 ± 0 b | 0.20 ± 0 a | 0.20 ± 0 a | 0.17 ± 0 c | 0.18 ± 0.01 b | 0.19 ± 0 b | 0.18 ± 0 b |
| Genetic Information Processing | ||||||||||
| Folding Sorting and Degradation | 0.923 | 2.10 ± 0.01 a | 2.09 ± 0.02 a | 2.11 ± 0.02 a | 2.09 ± 0.02 a | 2.10 ± 0 a | 2.11 ± 0.02 a | 2.09 ± 0.03 a | 2.08 ± 0.02 a | 2.11 ± 0 a |
| Replication and Repair | 0.891 | 5.06 ± 0.02 a | 5.07 ± 0.04 a | 5.04 ± 0.03 a | 5.05 ± 0.05 a | 5.08 ± 0.02 a | 5.08 ± 0.03 a | 5.04 ± 0.04 a | 5.02 ± 0.01 a | 5.06 ± 0.02 a |
| Transcription | 0.718 | 10.86 ± 0.01 a | 10.81 ± 0.08 a | 10.87 ± 0.07 a | 10.84 ± 0.06 a | 10.79 ± 0.04 a | 10.82 ± 0.07 a | 10.78 ± 0.06 a | 10.75 ± 0.01 a | 10.74 ± 0.05 a |
| Human Diseases | ||||||||||
| Cancers | 0.177 | 0.06 ± 0ab | 0.06 ± 0 ab | 0.06 ± 0 b | 0.07 ± 0 ab | 0.07 ± 0 a | 0.07 ± 0 ab | 0.07 ± 0 ab | 0.07 ± 0 ab | 0.06 ± 0 b |
| Infectious Diseases | 0.326 | 0.05 ± 0b | 0.06 ± 0 ab | 0.06 ± 0 ab | 0.06 ± 0 ab | 0.06 ± 0 a | 0.05 ± 0 b | 0.05 ± 0 b | 0.06 ± 0 ab | 0.06 ± 0 ab |
| Neurodegenerative Diseases | 0.104 | 0.10 ± 0b | 0.10 ± 0 b | 0.10 ± 0 b | 0.11 ± 0 ab | 0.11 ± 0 a | 0.10 ± 0 b | 0.10 ± 0 b | 0.10 ± 0 b | 0.10 ± 0 b |
| Metabolism | ||||||||||
| Amino Acid Metabolism | 0.887 | 7.64 ± 0.01 a | 7.65 ± 0.01 a | 7.64 ± 0.01 a | 7.64 ± 0.01 a | 7.66 ± 0.02a | 7.65 ± 0.01 a | 7.65 ± 0.02 a | 7.62 ± 0.03 a | 7.63 ± 0.02 a |
| Biosynthesis of Other Secondary Metabolites | 0.223 | 0.57 ± 0.01 a | 0.57 ± 0 a | 0.57 ± 0 a | 0.56 ± 0.01 a | 0.56 ± 0 a | 0.57 ± 0.01 a | 0.56 ± 0.01 a | 0.55 ± 0 a | 0.57 ± 0 a |
| Carbohydrate Metabolism | 0.761 | 8.55 ± 0.08 a | 8.52 ± 0.02 a | 8.51 ± 0.05 a | 8.48 ± 0.05 a | 8.50 ± 0.06 a | 8.54 ± 0 a | 8.48 ± 0.05 a | 8.49 ± 0.01 a | 8.58 ± 0.01 a |
| Energy Metabolism | 0.364 | 3.59 ± 0.01 a | 3.60 ± 0.02 a | 3.62 ± 0.01 a | 3.58 ± 0.02 a | 3.57 ± 0.01 a | 3.59 ± 0.02 a | 3.6 ± 0.01 a | 3.59 ± 0.01 a | 3.57 ± 0.01 a |
| Enzyme Families | 0.927 | 3.25 ± 0.01 a | 3.25 ± 0.02 a | 3.27 ± 0.02 a | 3.26 ± 0.01 a | 3.25 ± 0.01 a | 3.26 ± 0.02 a | 3.26 ± 0.01 a | 3.27 ± 0 a | 3.27 ± 0.01 a |
| Glycan Biosynthesis and Metabolism | 0.027 | 1.74 ± 0.01 a | 1.74 ± 0 a | 1.74 ± 0.01 a | 1.69 ± 0.02 b | 1.69 ± 0.02 b | 1.74 ± 0.02 a | 1.74 ± 0.02 a | 1.75 ± 0.02 a | 1.75 ± 0.01 a |
| Lipid Metabolism | 0.390 | 2.44 ± 0.01 a | 2.44 ± 0.02 a | 2.43 ± 0.02 a | 2.46 ± 0.02 a | 2.44 ± 0.01 a | 2.43 ± 0.02 a | 2.46 ± 0.03 a | 2.48 ± 0.02 a | 2.42 ± 0.01 a |
| Metabolism of Cofactors and Vitamins | 0.799 | 5.88 ± 0 a | 5.89 ± 0.04 a | 5.9 ± 0.01 a | 5.84 ± 0.01 a | 5.87 ± 0.01 a | 5.88 ± 0.03 a | 5.87 ± 0.03 a | 5.85 ± 0.01 a | 5.88 ± 0.04 a |
| Metabolism of Other Amino Acids | 0.596 | 1.00 ± 0 a | 1.01 ± 0.01 a | 1.00 ± 0.01 a | 1.01 ± 0.01 a | 1.01 ± 0.01 a | 1.01 ± 0.02 a | 1.01 ± 0.01 a | 1.02 ± 0 a | 0.99 ± 0 a |
| Metabolism of Terpenoids and Polyketides | 0.431 | 2.40 ± 0.01 a | 2.41 ± 0.03 a | 2.43 ± 0.03 a | 2.45 ± 0.05 a | 2.4 ± 0.02 a | 2.41 ± 0.04 a | 2.47 ± 0.03 a | 2.49 ± 0.03 a | 2.43 ± 0.02 a |
| Nucleotide Metabolism | 0.360 | 3.34 ± 0 a | 3.34 ± 0.02 a | 3.36 ± 0.02 a | 3.34 ± 0.03 a | 3.34 ± 0.02 a | 3.3 ± 0.01 a | 3.3 ± 0.01 a | 3.32 ± 0.02 a | 3.35 ± 0.01 a |
| Xenobiotics Biodegradation and Metabolism | 0.001 | 1.73 ± 0.01 b | 1.74 ± 0.02 b | 1.71 ± 0.01 b | 1.79 ± 0.01 a | 1.81 ± 0.01 a | 1.74 ± 0.02 b | 1.73 ± 0.02 b | 1.73 ± 0.02 b | 1.71 ± 0.01 b |
| Organismal Systems | ||||||||||
| Circulatory System | <0.000 | 0.05 ± 0 b | 0.05 ± 0 b | 0.05 ± 0 b | 0.05 ± 0 b | 0.06 ± 0 a | 0.05 ± 0 b | 0.05 ± 0 b | 0.05 ± 0 b | 0.05 ± 0 b |
| Digestive System | 0.455 | 0.03 ± 0 a | 0.03 ± 0 a | 0.03 ± 0 a | 0.03 ± 0 a | 0.03 ± 0 a | 0.03 ± 0 a | 0.03 ± 0 a | 0.03 ± 0 a | 0.03 ± 0 a |
| Endocrine System | 0.272 | 0.30 ± 0 a | 0.3 ± 0 a | 0.30 ± 0 a | 0.29 ± 0 a | 0.29 ± 0 a | 0.30 ± 0 a | 0.29 ± 0.01 a | 0.30 ± 0 a | 0.29 ± 0 a |
| Environmental Adaptation | 0.020 | 0.18 ± 0 a | 0.18 ± 0 abc | 0.18 ± 0 abc | 0.18 ± 0 bc | 0.18 ± 0 c | 0.18 ± 0 a | 0.18 ± 0 a | 0.18 ± 0 ab | 0.18 ± 0 a |
| Excretory System | 0.222 | 0.08 ± 0 a | 0.08 ± 0 a | 0.08 ± 0 a | 0.08 ± 0 ab | 0.07 ± 0 b | 0.08 ± 0 a | 0.08 ± 0 ab | 0.08 ± 0 ab | 0.08 ± 0 ab |
| Nervous System | 0.854 | 0.13 ± 0 a | 0.13 ± 0 a | 0.13 ± 0 a | 0.13 ± 0.01 a | 0.13 ± 0 a | 0.13 ± 0 a | 0.14 ± 0.01 a | 0.14 ± 0.01 a | 0.13 ± 0.01 a |
| Unclassified | ||||||||||
| Cellular Processes and Signaling | 0.003 | 5.53 ± 0.01 b | 5.53 ± 0.01 b | 5.58 ± 0.01 b | 5.61 ± 0.01 b | 5.7 ± 0.01 a | 5.54 ± 0.03 b | 5.57 ± 0.03 b | 5.58 ± 0.02 b | 5.57 ± 0.05 b |
| Genetic Information Processing | <0.000 | 4.15 ± 0.01 d | 4.21 ± 0.01 a | 4.22 ± 0.01 a | 4.17 ± 0 c | 4.18 ± 0.01 bc | 4.18 ± 0.01 bc | 4.17 ± 0.01 bc | 4.18 ± 0 bc | 4.20 ± 0 ab |
| Metabolism | 0.409 | 4.27 ± 0.00 a | 4.29 ± 0.01 a | 4.27 ± 0.01 a | 4.28 ± 0 a | 4.29 ± 0.01 a | 4.28 ± 0 a | 4.27 ± 0.01 a | 4.27 ± 0.01 a | 4.28 ± 0.01 a |
| Poorly Characterized | 0.363 | 8.95 ± 0.01 a | 8.90 ± 0.02 a | 8.89 ± 0.01 a | 8.93 ± 0.02 a | 8.92 ± 0.02 a | 8.92 ± 0.02 a | 8.93 ± 0.02 a | 8.94 ± 0.01 a | 8.90 ± 0.03 a |
| Treatment | pH | TN (g kg−1) | NH4-N (mg kg−1) | NO3-N (mg kg−1) | TP (g kg−1) | AP (mg kg−1) | SM (%) |
|---|---|---|---|---|---|---|---|
| N0 | 8.09 ± 0.04 a | 0.92 ± 0.05 a | 11.61 ± 0.20 b | 15.74 ± 0.12 f | 0.60 ± 0.03 a | 21.52 ± 1.44 c | 11.63 ± 0.91 a |
| N52.5 | 7.94 ± 0.03 bc | 0.97 ± 0.13 a | 12.05 ± 0.51 b | 19.77 ± 0.55 de | 0.70 ± 0.09 a | 23.74 ± 0.55 b | 11.57 ± 0.46 a |
| N105 | 7.87 ± 0.03 cd | 1.09 ± 0.03 a | 12.68 ± 0.32 b | 26.08 ± 0.63 b | 0.77 ± 0.06 a | 26.66 ± 0.21 a | 11.45 ± 0.27 a |
| N157.5 | 7.81 ± 0.01 d | 1.05 ± 0.04 a | 18.09 ± 0.24 a | 46.58 ± 0.68 a | 0.77 ± 0.08 a | 23.55 ± 0.69 bc | 10.75 ± 0.50 a |
| N210 | 7.83 ± 0.05 d | 0.99 ± 0.01 a | 18.69 ± 0.89 a | 47.35 ± 0.42 a | 0.76 ± 0.07 a | 23.94 ± 0.83 b | 10.55 ± 0.22 a |
| N52.5c | 7.98 ± 0.01 b | 1.00 ± 0.02 a | 11.82 ± 0.12 b | 18.57 ± 0.69 e | 0.75 ± 0.02 a | 23.93 ± 0.72 b | 11.86 ± 0.67 a |
| N105c | 7.93 ± 0.01 bc | 1.02 ± 0.05 a | 11.37 ± 0.31 b | 20.39 ± 0.66 d | 0.71 ± 0.08 a | 23.98 ± 0.56 b | 11.64 ± 0.64 a |
| N157.5c | 7.87 ± 0.03 cd | 0.98 ± 0.02 a | 12.74 ± 0.25 b | 22.72 ± 0.65 c | 0.72 ± 0.16 a | 25.02 ± 0.31 ab | 10.82 ± 0.52 a |
| N210c | 7.82 ± 0.04 d | 1.00 ± 0.02 a | 12.81 ± 0.55 b | 23.26 ± 0.61 c | 0.61 ± 0.11 a | 26.28 ± 0.25 a | 10.73 ± 0.25 a |
| ANOVA p-value | <0.001 | 0.557 | <0.001 | <0.001 | 0.799 | 0.003 | 0.564 |
| Taxonomy | NH4-N | NO3-N | TN | TP | AP | pH | Soil Moisture |
|---|---|---|---|---|---|---|---|
| Proteobacteria | 0.755 ** | 0.752 ** | 0.013 | 0.189 | 0.003 | −0.568 ** | −0.419 * |
| Actinobacteria | −0.392 * | −0.444 * | 0.056 | −0.214 | −0.305 | 0.568 ** | 0.570 ** |
| Acidobacteria | −0.709 ** | −0.724 ** | −0.151 | −0.289 | 0.271 | 0.384 * | 0.402 * |
| Chloroflexi | −0.715 ** | −0.732 ** | −0.239 | −0.246 | −0.116 | 0.464 * | 0.259 |
| Gemmatimonadetes | 0.406 * | 0.519 ** | 0.358 | −0.033 | 0.182 | −0.643 ** | −0.426 * |
| Bacteroidetes | 0.652 ** | 0.646 ** | 0.059 | 0.057 | 0.201 | −0.637 ** | −0.542 ** |
| Nitrospirae | 0.052 | 0.124 | 0.368 | 0.077 | 0.723 ** | −0.558 ** | −0.118 |
| Verrucomicrobia | −0.862 ** | −0.836 ** | −0.059 | −0.078 | 0.187 | 0.388 * | 0.296 |
| Planctomycetes | −0.395 * | −0.454 * | −0.198 | −0.301 | 0.169 | 0.295 | 0.311 |
| Cyanobacteria | −0.120 | −0.096 | −0.003 | 0.036 | 0.113 | 0.167 | −0.182 |
| Armatimonadetes | −0.220 | −0.190 | −0.198 | −0.047 | 0.256 | 0.048 | 0.002 |
| Saccharibacteria | 0.658 ** | 0.712 ** | 0.378 | 0.245 | 0.182 | −0.488 ** | −0.314 |
Publisher’s Note: MDPI stays neutral with regard to jurisdictional claims in published maps and institutional affiliations. |
© 2022 by the authors. Licensee MDPI, Basel, Switzerland. This article is an open access article distributed under the terms and conditions of the Creative Commons Attribution (CC BY) license (https://creativecommons.org/licenses/by/4.0/).
Share and Cite
Xu, A.; Li, L.; Xie, J.; Zhang, R.; Luo, Z.; Cai, L.; Liu, C.; Wang, L.; Anwar, S.; Jiang, Y. Bacterial Diversity and Potential Functions in Response to Long-Term Nitrogen Fertilizer on the Semiarid Loess Plateau. Microorganisms 2022, 10, 1579. https://doi.org/10.3390/microorganisms10081579
Xu A, Li L, Xie J, Zhang R, Luo Z, Cai L, Liu C, Wang L, Anwar S, Jiang Y. Bacterial Diversity and Potential Functions in Response to Long-Term Nitrogen Fertilizer on the Semiarid Loess Plateau. Microorganisms. 2022; 10(8):1579. https://doi.org/10.3390/microorganisms10081579
Chicago/Turabian StyleXu, Aixia, Lingling Li, Junhong Xie, Renzhi Zhang, Zhuzhu Luo, Liqun Cai, Chang Liu, Linlin Wang, Sumera Anwar, and Yuji Jiang. 2022. "Bacterial Diversity and Potential Functions in Response to Long-Term Nitrogen Fertilizer on the Semiarid Loess Plateau" Microorganisms 10, no. 8: 1579. https://doi.org/10.3390/microorganisms10081579
APA StyleXu, A., Li, L., Xie, J., Zhang, R., Luo, Z., Cai, L., Liu, C., Wang, L., Anwar, S., & Jiang, Y. (2022). Bacterial Diversity and Potential Functions in Response to Long-Term Nitrogen Fertilizer on the Semiarid Loess Plateau. Microorganisms, 10(8), 1579. https://doi.org/10.3390/microorganisms10081579

