A Novel Antimicrobial Metabolite Produced by Paenibacillus apiarius Isolated from Brackish Water of Lake Balkhash in Kazakhstan
Abstract
1. Introduction
2. Materials and Methods
2.1. Sampling
2.2. Microorganisms
2.3. Preparation of Bacteriolysis and Bacterivory Test Media
2.4. Preparation of the Co-Culture Media
2.5. Experimental Design
2.5.1. Isolation
2.5.2. Identification Methods
2.5.3. Screening of the Isolates for Bacteriolytic and Bacterivorous Capability on Solid Lysis Media
2.5.4. Analysis of Bacterivorous Capability in Co-Culture
2.5.5. Analysis of Bacterivorous Capability in Co-Culture of P. apiarius SBUG 1947 for Enrichment of the Novel Antimicrobial Substance
2.6. Lyophilization of Culture Supernatant
2.7. Solid Phase Extraction of Culture Supernatant
2.8. Isolation of a Bacteriolytic Substance via Preparative High-Performance Liquid Chromatography
2.9. Analytical Methods for the Detection and Structural Characterization of Active Substances
2.9.1. Coupling of Liquid Chromatography with Tandem Mass Spectrometry
2.9.2. Coupling of Liquid Chromatography, Mass Spectrometry and Ultraviolet–Visible Spectroscopy
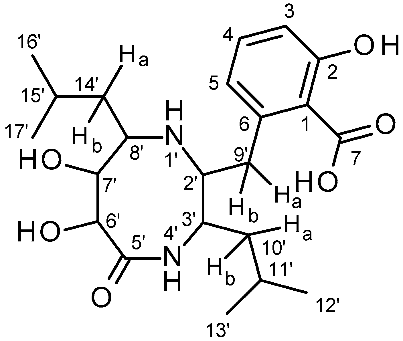
2.9.3. Structure Elucidation by Nuclear Magnetic Resonance Spectroscopy
2.10. Testing the Antimicrobial Activity of Freeze-Dried Culture Supernatants on Double-Layer Agar Plates
2.11. Testing the Antimicrobial Activity of Fractions #1 to #8 and of the Isolated Antimicrobial Substance on Double-Layer Agar Plates
2.12. Electron Microscopy
3. Results
3.1. Isolation and Identification of Bacteriolytic Strains
3.2. Bacteriolysis Activity and Bacterivory of Isolated Strain
3.3. Bacteriolysis against Arthrobacter Citreus in Co-Culture
3.3.1. Co-Culture of P. veronii SBUG 1927 and A. citreus
3.3.2. Co-Culture of P. apiarius SBUG 1947 and A. citreus
3.4. Antimicrobial Activity of Different Culture Supernatants of P. apiarius SBUG 1947
3.4.1. Agar Diffusion Tests of Different Culture Supernatants of P. apiarius SBUG 1947 on Double Layer Agar Plates with A. citreus
3.4.2. Agar Diffusion Tests of Culture Supernatants of P. apiarius SBUG 1947 on Double Layer Agar Plates with Different Test Strains
3.5. Detection, Isolation, Characterization and Structure Elucidation of an Antimicrobially Active Substance in Culture Supernatants of P. apiarius SBUG 1947
3.6. Agar Diffusion Tests of Fractionated Culture Supernatants of P. apiarius SBUG 1947
4. Discussion
4.1. Bacteriolysis on Solid Agar Media
4.2. Bacteriolysis in Liquid Co-Culture with A. citreus
4.2.1. Bacteriolysis of A. citreus by P. veronii SBUG 1927
4.2.2. Bacteriolysis of A. citreus by P. apiarius SBUG 1947
4.3. Antimicrobial Activity of Culture Supernatants of P. apiarius SBUG 1947
4.4. Characterization of the Antimicrobial Active Substance PP1 of Culture Supernatants of P. apiarius SBUG 1947
5. Conclusions
Supplementary Materials
Author Contributions
Funding
Institutional Review Board Statement
Informed Consent Statement
Acknowledgments
Conflicts of Interest
References
- Davey, M.E.; O’toole, G.A. Microbial biofilms: From ecology to molecular genetics. Microbiol. Mol. Biol. Rev. 2000, 64, 847–867. [Google Scholar] [CrossRef] [PubMed]
- Crespi, B.J. The evolution of social behavior in microorganisms. Trends Ecol. Evol. 2001, 16, 178–183. [Google Scholar] [CrossRef]
- Brack, C.; Mikolasch, A.; Pukall, R.; Schumann, P.; Köster, M.; Schauer, F. Bacteriolytic Bacillus Species Isolated from Brackish Waters of the Southern Baltic Sea. Mar. Biol. 2013, 160, 2699–2709. [Google Scholar] [CrossRef]
- Jurkevitch, E.; Davidov, Y. Phylogenetic Diversity and Evolution of Predatory Prokaryotes. In Predatory Prokaryotes Microbiology Monographs; Jurkevitch, E., Ed.; Springer: Berlin/Heidelberg Germany, 2006; Volume 4, pp. 11–56. [Google Scholar] [CrossRef]
- Petters, S.; Groß, V.; Söllinger, A.; Pichler, M.; Reinhard, A.; Bengtsson, M.M.; Urich, T. The soil microbial food web revisited: Predatory myxobacteria as keystone taxa? ISME J. 2021, 15, 2665–2675. [Google Scholar] [CrossRef]
- Leisner, J.J.; Haaber, J. Intraguild predation provides a selection mechanism for bacterial antagonistic compounds. Proc. R. Soc. B 2012, 279, 4513–4521. [Google Scholar] [CrossRef]
- Welsch, M. Bacteriolytic enzymes from Streptomycetes: A Review. J. Gen. Physiol. 1962, 45, 115–124. [Google Scholar] [CrossRef]
- Martin, M.O. Predatory prokaryotes: An emerging research opportunity. J. Mol. Microbiol. Biotechnol. 2002, 4, 467–477. [Google Scholar]
- Sockett, R.E.; Lambert, C. Bdellovibrio as therapeutic agents: A predatory renaissance? Nat. Rev. Microbiol. 2004, 2, 669–675. [Google Scholar] [CrossRef]
- Li, S.; Jochum, C.C.; Yu, F.; Zaleta-Rivera, K.; Du, L.; Harris, S.D.; Yuen, G.Y. An antibiotic complex from Lysobacter enzymogenes strain C3: Antimicrobial activity and role in plant disease control. Phytopathology 2008, 6, 695–701. [Google Scholar] [CrossRef]
- Xiao, Y.; Wei, X.M.; Ebright, R.; Wall, D. Antibiotic production by myxobacteria plays a role in predation. J. Bacteriol. 2011, 193, 4626–4633. [Google Scholar] [CrossRef]
- Long, R.A.; Azam, F. Antagonistic interactions among marine pelagic bacteria. Appl. Environ. Microbiol. 2001, 67, 4975–4983. [Google Scholar] [CrossRef] [PubMed]
- Radjasa, O.; Martens, T.; Grossart, H.P.; Brinkhoff, T.; Sabdono, A.; Simon, M. Antagonistic activity of a marine bacterium Pseudoalteromonas luteoviolacea TAB4.2 associated with coral Acrospora sp. J. Biol. Sci. 2007, 7, 239–246. [Google Scholar] [CrossRef]
- Engel, S.; Jensen, P.R.; Fenical, W. Chemical ecology of marine microbial defense. J. Chem. Ecol. 2002, 28, 1971–1985. [Google Scholar] [CrossRef]
- Dupont, S.; Wilson, K.; Obst, M.; Skold, H.; Nakano, H.; Thorndyke, M.C. Marine ecological genomics: When genomics meets marine ecology. Mar. Ecol. Prog. Ser. 2007, 332, 257–273. [Google Scholar] [CrossRef]
- van Wezel, G.P.; Krabben, P.; Traag, B.A.; Keijser, B.J.F.; Kerste, R.; Vijgenboom, E.; Heijnen, J.J.; Kraal, B. Unlocking Streptomyces spp. for use as sustainable industrial production platforms by morphological engineering. Appl. Environ. Microbiol. 2006, 72, 5283–5288. [Google Scholar] [CrossRef] [PubMed]
- Burgess, J.G.; Jordan, E.M.; Bregu, M.; Mearns-Spragg, A.; Boyd, K.G. Microbial antagonism: A neglected avenue of natural products research. J. Biotechnol. 1999, 70, 27–32. [Google Scholar] [CrossRef]
- Than, P.P.; Del Castillo, C.S.; Yoshikawa, T.; Sakata, T. Extracellular protease production of bacteriolytic bacteria isolated from marine environments. Fish. Sci. 2004, 70, 659–666. [Google Scholar] [CrossRef]
- Blunt, J.W.; Copp, B.R.; Hu, W.P.; Munro, M.H.G.; Northcote, P.T.; Prinsep, M.R. Marine natural products. Nat. Prod. Rep. 2008, 25, 35–94. [Google Scholar] [CrossRef]
- Carroll, A.R.; Copp, B.R.; Davis, R.A.; Keyzers, R.A.; Prinsep, M.R. Marine natural products. Nat. Prod. Rep. 2021, 38, 362–413. [Google Scholar] [CrossRef]
- Egan, S.; Thomas, T.; Kjelleberg, S. Unlocking the diversity and biotechnological potential of marine surface associated microbial communities. Curr. Opin. Microbiol. 2008, 11, 219–225. [Google Scholar] [CrossRef]
- Christie-Oleza, J.A.; Armengaud, J. In-depth analysis of exoproteomes from marine bacteria by shotgun liquid chromatography-tandem mass spectrometry: The Ruegeria pomeroyi DSS-3 case-study. Mar. Drugs. 2010, 8, 2223–2239. [Google Scholar] [CrossRef]
- Imentai, A.; Thevs, N.; Schmidt, S.; Nurtazin, S.; Salmurzauli, R. Vegetation, fauna, and biodiversity of the Ile Delta and southern Lake Balkhash: A review. J. Great Lakes Res. 2015, 41, 688–696. [Google Scholar] [CrossRef]
- Petr, T. Lake Balkhash, Kazakhstan. Int. J. Salt Lake Res. 1992, 1, 21–46. [Google Scholar] [CrossRef]
- Deng, M.J.; Wang, Z.J.; Wang, J.Y. Analysis of Balkhash Lake ecological water level evolvement and its regulation strategy. Shuili Xuebao/J. Hydraul. Eng. 2011, 42, 403–413. [Google Scholar]
- Thevs, N.; Nurtazin, S.; Beckmann, V.; Salmurzauli, R.; Khalil, A. Water consumption of agriculture and natural ecosystems along the Ili River in China and Kazakhstan. Water 2017, 9, 207. [Google Scholar] [CrossRef]
- Christensen, P.; Cook, F.D. Lysobacter, a new genus of nonfruiting, gliding bacteria with a high base ratio. Int. J. Syst. Bacteriol. 1978, 28, 367–393. [Google Scholar] [CrossRef]
- Suslow, T.V. Application of a rapid method for gram differentiation of plant pathogenic and saprophytic bacteria without staining. Phytopathology 1982, 72, 917–918. [Google Scholar] [CrossRef]
- Gordon, R.E.; Haynes, W.C.; Pang, C.H.N. The Genus Bacillus; Agriculture Handbook 427; Agricultural Research Service, U.S. Department of Agriculture: Washington, DC, USA, 1973.
- Tóth, E.M.; Schumann, P.; Borsodi, A.K.; Kéki, Z.; Kovács, A.L.; Márialigeti, K. Wohlfahrtiimonas chitiniclastica gen. nov., sp. nov., a new gammaproteobacterium isolated from Wohlfahrtia magnifica (Diptera: Sarcophagidae). Int. J. Syst. Evol. Microbiol. 2008, 58, 976–981. [Google Scholar] [CrossRef] [PubMed]
- Schumann, P.; Pukall, R. The discriminatory power of ribotyping as automatable technique for differentiation of bacteria. Syst. Appl. Microbiol. 2013, 36, 369–375. [Google Scholar] [CrossRef]
- Rainey, F.A.; Ward-Rainey, N.; Kroppenstedt, R.M.; Stackebrandt, E. The genus Nocardiopsis represents a phylogenetically coherent taxon and a distinct actinomycete lineage; proposal of Nocardiopsaceae fam. nov. Int. J. Syst. Bacteriol. 1996, 46, 1088–1092. [Google Scholar] [CrossRef]
- Kim, O.S.; Cho, Y.J.; Lee, K.; Yoon, S.H.; Kim, M.; Na, H.; Park, S.C.; Jeon, Y.S.; Lee, J.H.; Yi, H.; et al. Introducing EzTaxon-e: A prokaryotic 16S rRNA gene sequence database with phylotypes that represent uncultured species. Int. J. Syst. Evol. Microbiol. 2012, 62, 716–721. [Google Scholar] [CrossRef] [PubMed]
- Yoon, S.H.; Ha, S.M.; Kwon, S.; Lim, J.; Kim, Y.; Seo, H.; Chun, J. Introducing EzBioCloud: A taxonomically united database of 16S rRNA gene sequence and whole-genome assemblies. Int. J. Syst. Evol. Microbiol. 2017, 67, 1613–1617. [Google Scholar] [CrossRef] [PubMed]
- Kumar, S.; Stecher, G.; Tamura, K. MEGA7: Molecular evolutionary genetics analysis version 7.0 for bigger datasets. Mol. Biol. Evol. 2016, 33, 1870–1874. [Google Scholar] [CrossRef] [PubMed]
- Brack, C.; Mikolasch, A.; Schauer, F. 2,5-Diketopiperazines produced by Bacillus pumilus during bacteriolysis of Arthrobacter citreus. Mar. Biotechnol. 2014, 16, 385–395. [Google Scholar] [CrossRef]
- Brack, C.; Mikolasch, A.; Schlueter, R.; Otto, A.; Becher, D.; Wegner, U.; Albrecht, D.; Riedel, K.; Schauer, F. Antibacterial metabolites and bacteriolytic enzymes produced by Bacillus pumilus during bacteriolysis of Arthrobacter citreus. Mar. Biotechnol. 2015, 17, 290–304. [Google Scholar] [CrossRef]
- Elomari, M.; Coroler, L.; Hoste, B.; Gillis, M.; Izard, D.; Leclerc, H. DNA relatedness among Pseudomonas strains isolated from natural mineral waters and proposal of Pseudomonas veronii sp nov. Int. J. Syst. Bacteriol. 1996, 46, 1138–1144. [Google Scholar] [CrossRef]
- Casida, L.E. Competitive ability and survival in soil of Pseudomonas strain 679-2, a dominant, nonobligate bacterial predator of bacteria. Appl. Environ. Microbiol. 1992, 58, 32–37. [Google Scholar] [CrossRef]
- Raaijmakers, J.M.; de Bruijn, I.; Nybroe, O.; Ongena, M. Natural functions of lipopeptides from Bacillus and Pseudomonas: More than surfactants and antibiotics. FEMS Microbiol. Rev. 2010, 34, 1037–1062. [Google Scholar] [CrossRef]
- Vollmer, W.; Joris, B.; Charlier, P.; Foster, S. Bacterial peptidoglycan (murein) hydrolases. FEMS Microbiol. Rev. 2008, 32, 259–286. [Google Scholar] [CrossRef]
- Kadurugamuwa, J.L.; Beveridge, T.J. Bacteriolytic effect of membrane vesicles from Pseudomonas aeruginosa on other bacteria including pathogens: Conceptually new antibiotics. J. Bacteriol. 1996, 178, 2767–2774. [Google Scholar] [CrossRef]
- Li, L.; Zhang, W.; Liu, Q.; Gao, Y.; Gao, Y.; Wang, Y.; Wang, D.Z.; Li, Z.; Wang, T. Structural insights on the bacteriolytic and self-protection mechanism of muramidase effector Tse3 in Pseudomonas aeruginosa. J. Biol. Chem. 2013, 288, 30607–30613. [Google Scholar] [CrossRef] [PubMed]
- Katznelson, H. Bacillus apiarius, n. sp., an aerobic spore-forming organism isolated from honeybee larvae. J. Bacteriol. 1955, 70, 635–636. [Google Scholar] [CrossRef] [PubMed]
- Nakamura, L.K. Paenibacillus apiarius sp. nov. Int. J. Syst. Bacteriol. 1996, 46, 688–693. [Google Scholar] [CrossRef] [PubMed]
- Anandaraj, B.; Vellaichamy, A.; Kachman, M.; Selvamanikandan, A.; Pegu, S.; Murugan, V. Co-production of two new peptide antibiotics by a bacterial isolate Paenibacillus alvei NP75. Biochem. Biophys. Res. Commun. 2009, 379, 179–185. [Google Scholar] [CrossRef]
- Qian, C.D.; Wu, X.C.; Teng, Y.; Zhao, W.P.; Li, O.; Fang, S.G.; Huang, Z.H.; Gao, H.C. Battacin (Octapeptin B5), a new cyclic lipopeptide antibiotic from Paenibacillus tianmuensis active against multidrug-resistant Gram-negative bacteria. Antimicrob. Agents Chemother. 2012, 56, 1458–1465. [Google Scholar] [CrossRef]
- He, Z.; Kisla, D.; Zhang, L.; Yuan, C.; Green-Church, K.B.; Yousef, A.E. Isolation and identification of a Paenibacillus polymyxa strain that coproduces a novel lantibiotic and polymyxin. Appl. Environ. Microbiol. 2007, 73, 168–178. [Google Scholar] [CrossRef]
- Huang, E.; Yousef, A.E. Biosynthesis of paenibacillin, a lantibiotic with N-terminal acetylation, by Paenibacillus polymyxa. Microbiol. Res. 2015, 181, 15–21. [Google Scholar] [CrossRef]
- Alkotaini, B.; Anuar, N.; Kadhum, A.A.H.; Sani, A.A.A. Detection of secreted antimicrobial peptides isolated from cell-free culture supernatant of Paenibacillus alvei AN5. J. Ind. Microbiol. Biotechnol. 2013, 40, 571–579. [Google Scholar] [CrossRef]
- Wu, X.C.; Shen, X.B.; Ding, R.; Qian, C.D.; Fang, H.H.; Li, O. Isolation and partial characterization of antibiotics produced by Paenibacillus elgii B69. FEMS Microbiol. Lett. 2010, 310, 32–38. [Google Scholar] [CrossRef][Green Version]
- Raskin, I. Role of salicylic acid in plants. Annu. Rev. Plant Physiol. Plant Mol. Biol. 1992, 43, 439–463. [Google Scholar] [CrossRef]
- Hartmann, A.A. The influence of various factors on the human resident skin flora. Semin. Dermatol. 1990, 9, 305–308. [Google Scholar] [PubMed]
- Gershon, H.; Parmegiani, R. Antimicrobial activity of 8-quinolinols, salicylic acids, hydroxynaphthoic acids, and salts of selected quinolinols with selected hydroxy-acids. Appl. Microbiol. 1962, 10, 348–353. [Google Scholar] [CrossRef] [PubMed]
- Muroi, H.; Kubo, I. Antibacterial activity of anacardic acid and totarol, alone and in combination with methicillin, against methicillin-resistant Staphylococcus aureus. J. Appl. Bacteriol. 1996, 80, 387–394. [Google Scholar] [CrossRef]
- Fischer, P.M. Diketopiperazines in peptide and combinatorial chemistry. J. Pept. Sci. 2003, 9, 9–35. [Google Scholar] [CrossRef] [PubMed]
- Rhee, K.H. Isolation and characterization of Streptomyces sp. KH-614 producing anti-VRE (vancomycin-resistant enterococci) antibiotics. J. Gen. Appl. Microbiol. 2002, 48, 321–327. [Google Scholar] [CrossRef]
- Qi, S.H.; Xu, Y.; Gao, J.; Qian, P.Y.; Zhang, S. Antibacterial and antilarval compounds from marine bacterium Pseudomonas rhizosphaerae. Ann. Microbiol. 2009, 59, 229–233. [Google Scholar] [CrossRef]
- de Carvalho, M.P.; Abraham, W.R. Antimicrobial and biofilm inhibiting diketopiperazines. Curr. Med. Chem. 2012, 19, 3564–3577. [Google Scholar] [CrossRef]
- Wang, J.H.; Quan, C.S.; Qi, X.H.; Li, X.; Fan, S.D. Determination of diketopiperazines of Burkholderia cepacia CF-66 by gas chromatography-mass spectrometry. Anal. Bioanal. Chem. 2010, 396, 1773–1779. [Google Scholar] [CrossRef]
- Kumar, N.; Mohandas, C.; Nambisan, B.; Kumar, D.R.S.; Lankalapalli, R.S. Isolation of proline-based cyclic dipeptides from Bacillus sp. N strain associated with rhabditid entomopathogenic nematode and its antimicrobial properties. World J. Microbiol. Biotechnol. 2013, 29, 355–364. [Google Scholar] [CrossRef]
- Naruse, N.; Tenmyo, O.; Kobaru, S.; Kamei, H.; Miyaki, T.; Konishi, M.; Oki, T. Pumilacidin, a complex of new antiviral antibiotics—production, isolation, chemical properties, structure and biological activity. J. Antibiot. 1990, 43, 267–280. [Google Scholar] [CrossRef]
- Kalinovskaya, N.I.; Kuznetsova, T.A.; Ivanova, E.P.; Romanenko, L.A.; Voinov, V.G.; Huth, F.; Laatsch, H. Characterization of surfactin-like cyclic depsipeptides synthesized by Bacillus pumilus from ascidian Halocynthia aurantium. Mar. Biotechnol. 2002, 4, 179–188. [Google Scholar] [CrossRef] [PubMed]
- Melo, F.M.P.; Fiore, M.F.; Moraes, L.A.B.; Silva-Stenico, M.E.; Scramin, S.; Teixeira, M.D.; Melo, I.S. Antifungal compound produced by the cassava endophyte Bacillus pumilus MAIIIM4A. Sci. Agric. 2009, 66, 583–592. [Google Scholar] [CrossRef]
- Saggese, A.; Culurciello, R.; Casillo, A.; Corsaro, M.M.; Ricca, E.; Baccigalupi, L. A marine isolate of Bacillus pumilus secretes a pumilacidin active against Staphylococcus aureus. Mar. Drugs 2018, 16, 180. [Google Scholar] [CrossRef] [PubMed]
- Koumoutsi, A.; Chen, X.H.; Henne, A.; Liesegang, H.; Hitzeroth, G.; Franke, P.; Vater, J.; Borriss, R. Structural and functional characterization of gene clusters directing nonribosomal synthesis of bioactive cyclic lipopeptides in Bacillus amyloliquefaciens strain FZB42. J. Bacteriol. 2004, 186, 1084–1096. [Google Scholar] [CrossRef]
- Zhi, Y.; Wu, Q.; Xu, Y. Genome and transcriptome analysis of surfactin biosynthesis in Bacillus amyloliquefaciens MT45. Sci. Rep. 2017, 7, 40976. [Google Scholar] [CrossRef] [PubMed]
- Chen, H.; Wang, L.; Su, C.X.; Gong, G.H.; Wang, P.; Yu, Z.L. Isolation and characterization of lipopeptide antibiotics produced by Bacillus subtilis. Lett. Appl. Microbiol. 2008, 47, 180–186. [Google Scholar] [CrossRef]
- Malfanova, N.; Franzil, L.; Lugtenberg, B.; Chebotar, V.; Ongena, M. Cyclic lipopeptide profile of the plant-beneficial endophytic bacterium Bacillus subtilis HC8. Arch. Microbiol. 2012, 194, 893–899. [Google Scholar] [CrossRef]
- Moran, S.; Robertson, K.; Paradisi, F.; Rai, D.K.; Murphy, C.D. Production of lipopeptides in Bacillus sp. CS93 isolated from Pozol. FEMS Microbiol. Lett. 2010, 304, 69–73. [Google Scholar] [CrossRef]
- Théatre, A.; Cano-Prieto, C.; Bartolini, M.; Laurin, Y.; Deleu, M.; Niehren, J.; Fida, T.; Gerbinet, S.; Alanjary, M.; Medema, M.H.; et al. The surfactin-like lipopeptides from Bacillus spp.: Natural biodiversity and synthetic biology for a broader application range. Front. Bioeng. Biotechnol. 2021, 9, 623701. [Google Scholar] [CrossRef]
- Prokof’eva, N.G.; Kalinovskaya, N.I.; Luk’yanov, P.A.; Shentsova, E.B.; Kuznetsova, T.A. The membranotropic activity of cyclic acyldepsipeptides from bacterium Bacillus pumilus, associated with the marine sponge Ircinia sp. Toxicon 1999, 37, 801–813. [Google Scholar] [CrossRef]
- Zhang, Q.Y.; Yan, Z.B.; Meng, Y.M. Antimicrobial peptides: Mechanism of action, activity and clinical potential. Military. Med. Res. 2021, 8, 48. [Google Scholar] [CrossRef] [PubMed]
- Mokoena, M.P. Lactic acid bacteria and their bacteriocins: Classification, biosynthesis and applications against uropathogens: A mini-review. Molecules 2017, 22, 1255. [Google Scholar] [CrossRef] [PubMed]
- Kurpe, S.R.; Grishin, S.Y.; Surin, A.K.; Selivanova, O.M.; Fadeev, R.S.; Dzhus, U.F.; Gorbunova, E.Y.; Mustaeva, L.G.; Azev, V.N.; Galzitskaya, O.V. Antimicrobial and amyloidogenic activity of peptides synthesized on the basis of the ribosomal S1 protein from thermophilus. Int. J. Mol. Sci. 2020, 21, 6382. [Google Scholar] [CrossRef]
- Wang, S.; Fang, Q.; Lu, Z.; Gao, Y.; Trembleau, L.; Ebel, R. Discovery and biosynthetic investigation of a new antibacterial dehydrated nonribosomal tripeptide. Angew. Chem. Int. Ed. 2021, 60, 3229–3237. [Google Scholar] [CrossRef] [PubMed]





| Sample | A | B | C | D | E |
|---|---|---|---|---|---|
| Region | Lake Balkhash, Strait Uzynaral, North Coast | ||||
| Location | 100 m in front of the reed belt | 100 m from A (east) | 100 m from A (west) | 100 m in front of A (south) | 100 m in front of B (south) |
| Sampling date | 11 November 2012 | 11 November 2012 | 11 November 2012 | 11 November 2012 | 11 November 2012 |
| Temperature water surface (°C) | 6 | 6 | 6 | 6 | 6 |
| Salinity (%) | 0.153 | 0.154 | 0.145 | 0.171 | 0.156 |
| pH | 8.7 | 8.5 | 8.8 | 8.9 | 8.8 |
| Sample amount (mL) | 10 | 10 | 10 | 10 | 10 |
| Sampling Site | Strain | Lysis Zones (mm) on A. citreus | Colonial Characteristics | |||
|---|---|---|---|---|---|---|
| Form | Color | Surface | Elevation | |||
| B | SBUG 1926 | 1.2 | ±circular | cream | smooth | raised |
| C | SBUG 1927 | 1.0 | ±circular | cream | smooth | raised |
| D | SBUG 1941 | 0.7 | circular | cream | smooth | raised |
| D | SBUG 1947 | 1.3 | irregular | white | smooth | raised |
| Bacteriolysis Activity | ||||||||
|---|---|---|---|---|---|---|---|---|
| P. veronii SBUG 1926 | P. veronii SBUG 1927 | P. veronii SBUG 1941 | P. apiarius SBUG 1947 | |||||
| A | L | A | L | A | L | A | L | |
| Proteobacteria | ||||||||
| Pseudomonas putida | +++ | ++ | +++ | + | − | − | +++ (a) | ++ |
| Escherichia coli | +++ | ++ | +++ | ++ | − | + | +++ | ++ (b) |
| Actinobacteria | ||||||||
| Micrococcus luteus | − | ++ | − | ++ | − | + | ++ | ++ |
| Arthrobacter citreus | − | ++ (c) | − | ++ (d) | − | ++ | − | ++ (e) |
| Parameter | Control | Co-Culture with P. veronii | Co-Culture with P. apiarius | |
|---|---|---|---|---|
| Growth Phase (0–8 h) | Lysis Phase (8–16 h) | |||
| Initial cell number (cfu mL−1) | 8.50 × 107 | 1.00 × 108 | 2.55 × 108 | 1.20 × 108 |
| Achieved cell number (cfu mL−1) | 3.25 × 108 | 2.55 × 108 | 5.50 × 106 | 2.53 × 106 |
| Generation time tgen (h:min) | 4:10 | 6:15 | −1:27 | −1:27 |
| Type of Culture Supernatant | Number of Image in Supplementary Materials | Inhibition Zone Radius (mm) | |
|---|---|---|---|
| A (dH2O) | B (MeOH) | ||
| PaC (24 h) | - | 7.2 ± 1.1 | 5.1 ± 0.4 |
| AcC (24 h) (control) | Figure S10 | 0 ± 0 | 0 ± 0 |
| DNBC (control) | Figure S11 | 0 ± 0 | 0 ± 0 |
| PaAcCoCu (12 h) | Figure S12 | 0 ± 0 | 0 ± 0 |
| PaAcCoCu (24 h) | Figure S13 | 4.4 ± 0.8 | 3.2 ± 0.6 |
| PaAcCoCu (36 h) | Figure S14 | 8.6 ± 0.7 | 6.5 ± 0.6 |
| PaAcCoCu (48 h) | Figure S15 | 8.5 ± 0.5 | 7.8 ± 0.4 |
| Type of Culture Supernatant | Inhibition Zone Radius (mm) | ||||
| Strains of the Risk Group 1 | |||||
| A. citreus | M. luteus | B. subtilis | E. coli | Pseudomonas putida | |
| PaC (48 h) | 5.2 (±1) | 10.5 (±1) | 6.3 (±0.7) | 0 (±0) | 0 (±0) |
| DNBC (control) | 0 (±0) | 0 (±0) | 0 (±0) | 0 (±0) | 0 (±0) |
| Strains of the risk Group 2 | |||||
| S. aureus | B. cereus | L. mono-cytogenes | E. faecalis | Pseudomonas aeruginosa | |
| PaC (48 h) | 8.0 (±0.5) | 2.6 (±0.5) | ng | ng | 0 (±0) |
| DNBC (control) | 0 (±0) | 0 (±0) | ng | ng | 0 (±0) |
| 1H Assignments | HSQC Correlations | HMBC Correlations | 1H1H COSY Correlations |
|---|---|---|---|
| 7.92 (s(broad), NH, H-1′) (a) | - | - | - |
| 7.75 (d, J = 9.4 Hz, 1H, NH, H-4′) | - | (39.3 (C-10′)) (b), 47.9 (C-3′), 173.2 (C-5′) | 4.20 (H-3′) |
| 7.47 (dd, J = 7.8 Hz, 1H, H-4) | 136.2 (C-4) | (108.3 (C-1)), (115.3 (C-3)), 140.7 (C-6), 160.8 (C-2) | 6.82 (H-5), 6.85 (H-3) |
| 6.85 (d, J = 8.1 Hz, 1H, H-3) | 115.3 (C-3) | 108.3 (C-1), 118.4 (C-5), (140.7 (C-6)), (160.8 (C-2)), (169.0 (C-7)) | 6.82 (H-5), 7.47 (H-4) |
| 6.81 (d, J = 7.0 Hz, 1H, H-5) | 118.4 (C-5) | 29.1 (C-9′), 108.3 (C-1), 115.3 (C-3), (136.2 (C-4)), (140.7 (C-6)), | (3.04 (Ha-9′)), 6.85 (H-3), 7.48 (H-4) |
| 4.69 (d, J = 12.8 Hz, 1H, H-2′) | 81.1 (C-2′) | (29.1 (C-9′)), (39.3 (C-10′)), 140.7 (C-6) | (2.86 (Hb-9′)), 3.04 (Ha-9′), (4.20 (H-3′)) |
| 4.20 (t, J = 9.4 Hz, 1H, H-3′) | 47.9 (C-3′) | (23.6 (C-11′)), (29.1 (C-9′)), 39.3 (C-10′), (173.2 (C-5′)) | (1.33 (H-10′)), 1.67 (H-11′), (4.69 (H-2′)), 7.75 (NH, H-4′) |
| 4.01 (d, J = 4.9 Hz, 1H, H-6′) | 73.4 (C-6′) | 51.4 (C-8′), 74.6 (C-7′), 173.2 (C-5′) | 3.46 (H-7′) |
| 3.46 (s(broad), 1H, H-7′) | 74.6 (C-7′) | (173.2 (C-5′)) | 2.82 (H-8′), 4.01 (H- H-6′) |
| 3.04 (d, J = 16.0 Hz, 1H, Ha-9′) | 29.1 (C-9′) | (47.9 (C-3′)), 81.1 (C-2′), (108.3 (C-1)), (118.4 (C-5)), 140.7 (C6), | (4.69 (H-2′)), 2.86 (Hb-9′) |
| 2.86 (d, J = 16.0 Hz, 1H, Hb-9′) | 29.1 (C-9′) | (47.9 (C-3′)), 108.3 (C-1), 118.4 (C-5), 140.7 (C-6), | (4.69 (H-2′)), 3.03 (Ha-9′) |
| 2.82 (m, 1H, H-8′) | 51.4 (C-8′) | - | 3.46 (H-7′) |
| 1.70 (m, J = 10.9 Hz, 1H, Ha-10′) | 39.3 (C-10′) | 21.3 (C-12′/C-13′), 47.9 (C-3′) | 1.33 (Hb-10′) |
| 1.74 (m, 1H, H-15′) | 23.4 (C-15′) | - | 0.86 (H-16′/H-17′) |
| 1.67 (d, J = 8.8 Hz, 1H, H-11′) | 23.6 (C-11′) | 21.3 (C-12′/C-13′), (39.3 (C-10′)), 47.9 (C-3′), (81.1 (C-2′)) | 4.20 (H-3′),1.33 (Hb-10′), 0.89 (H-12′/H-13′) |
| 1.37 (m, J = 10.9 Hz, 1H, Ha-14′) | 40.9 (C-14′) | 23.4 (C-15′) | 1.17 (Hb-14′) |
| 1.33 (m, J = 10.9 Hz, 1H, Hb-10′) | 39.3 (C-10′) | (21.3 (C-12′/C-13′),), 23.6 (C-11′), (47.9 (C3′)) | 4.20 (H-3′), 1.70 (Ha-10′)0.89 (H-12′/H-13′) |
| 1.17 (m, J = 10.9 Hz, 1H, Hb-14′) | 40.9 (C-14′) | 21.5 (C-16′/C-17′), (23.4 (C-15′)), 51.4 (C-8′) | 1.37 (Ha-14′), 1.74 (H-15′), 2.82 (H-8′), |
| 0.89 (d, J = 6.2 Hz, H-12′/H-13′) | 24.3 (C-12′/C-13′) | 21.3 (C-12′/C-13′) | 1.33 (H-11′) |
| 0.86 (m(t), J = 7.2 Hz, J = 6.5 Hz, 6H, H-16′/H-17′) | 21.5 (C-16′/C-17′) | 21.5 (C-16′/C-17′), 23.4 (C-15′), 40.9 (C-14′), (51.4 (C-8′)) | 1.74 (H-15′) |
| 0.77 (d, J = 6.2 Hz, H-12′/H-13′) | 21.3 (C-12′/C-13′) | 23.6 (C-10′), 24.3 (C-12′/C-13′), 39.3 (C-11′) | 1.33 (H-11′) |
| Number of Fractions of Culture Supernatant | Inhibition Zone Radius (mm) | |
|---|---|---|
| Concentration C1 | Concentration C2 | |
| #1 | 0 (±0) | 0 (±0) |
| #2 | 0 (±0) | 0 (±0) |
| #3 | 0 (±0) | 0 (±0) |
| #4 | 0 (±0) | 0 (±0) |
| #5 | 4.5 (±0.2) | 6.2 (±0.9) |
| #6 | 0 (±0) | 0 (±0) |
| #7 | 0 (±0) | 0 (±0) |
| #8 | 0 (±0) | 0 (±0) |
Publisher’s Note: MDPI stays neutral with regard to jurisdictional claims in published maps and institutional affiliations. |
© 2022 by the authors. Licensee MDPI, Basel, Switzerland. This article is an open access article distributed under the terms and conditions of the Creative Commons Attribution (CC BY) license (https://creativecommons.org/licenses/by/4.0/).
Share and Cite
Meene, A.; Herzer, C.; Schlüter, R.; Zayadan, B.; Pukall, R.; Schumann, P.; Schauer, F.; Urich, T.; Mikolasch, A. A Novel Antimicrobial Metabolite Produced by Paenibacillus apiarius Isolated from Brackish Water of Lake Balkhash in Kazakhstan. Microorganisms 2022, 10, 1519. https://doi.org/10.3390/microorganisms10081519
Meene A, Herzer C, Schlüter R, Zayadan B, Pukall R, Schumann P, Schauer F, Urich T, Mikolasch A. A Novel Antimicrobial Metabolite Produced by Paenibacillus apiarius Isolated from Brackish Water of Lake Balkhash in Kazakhstan. Microorganisms. 2022; 10(8):1519. https://doi.org/10.3390/microorganisms10081519
Chicago/Turabian StyleMeene, Alexander, Christiane Herzer, Rabea Schlüter, Bolatkhan Zayadan, Ruediger Pukall, Peter Schumann, Frieder Schauer, Tim Urich, and Annett Mikolasch. 2022. "A Novel Antimicrobial Metabolite Produced by Paenibacillus apiarius Isolated from Brackish Water of Lake Balkhash in Kazakhstan" Microorganisms 10, no. 8: 1519. https://doi.org/10.3390/microorganisms10081519
APA StyleMeene, A., Herzer, C., Schlüter, R., Zayadan, B., Pukall, R., Schumann, P., Schauer, F., Urich, T., & Mikolasch, A. (2022). A Novel Antimicrobial Metabolite Produced by Paenibacillus apiarius Isolated from Brackish Water of Lake Balkhash in Kazakhstan. Microorganisms, 10(8), 1519. https://doi.org/10.3390/microorganisms10081519

