Dynamics of Pathogenic Fungi in Field Hedges: Vegetation Cover Is Differentially Impacted by Weather
Abstract
1. Introduction
2. Materials and Methods
3. Results
4. Discussion
Author Contributions
Funding
Data Availability Statement
Acknowledgments
Conflicts of Interest
References
- Ristaino, J.B.; Anderson, P.K.; Bebber, D.P.; Brauman, K.A.; Cunniffe, N.J.; Fedoroff, N.V.; Finegold, C.; Garrett, K.A.; Gilligan, C.A.; Jones, C.M.; et al. The persistent threat of emerging plant disease pandemics to global food security. Proc. Natl. Acad. Sci. USA 2021, 118, e2022239118. [Google Scholar] [CrossRef] [PubMed]
- Waard, M.A.; Georgopoulos, S.G.; Hollomon, D.W.; Ishii, H.; Leroux, P.; Ragsdale, N.N.; Schwinn, F.J. Chemical Control of Plant Diseases: Problems and Prospects. Annu. Rev. Phytopathol. 1993, 31, 403–421. [Google Scholar] [CrossRef]
- Wuest, S.E.; Peter, R.; Niklaus, P.A. Ecological and evolutionary approaches to improving crop variety mixtures. Nat. Ecol. Evol. 2021, 5, 1068–1077. [Google Scholar] [CrossRef] [PubMed]
- Bankina, B.; Bimšteine, G.; Arhipova, I.; Kaņeps, J.; Stanka, T. Importance of Agronomic Practice on the Control of Wheat Leaf Diseases. Agriculture 2018, 8, 56. [Google Scholar] [CrossRef]
- Penet, L.; Barthe, E.; Alleyne, A.; Blazy, J. Disease risk perception and diversity of management strategies by farmers: The case of anthracnose caused by Colletotrichum gloeosporioides on water yams (Dioscorea alata) in Guadeloupe. Crop Prot. 2016, 88, 7–17. [Google Scholar] [CrossRef]
- Petit, S.; Muneret, L.; Carbonne, B.; Hannachi, M.; Ricci, B.; Rusch, A.; Lavigne, C. Landscape-Scale Expansion of Agroecology to Enhance Natural Pest Control: A Systematic Review. Adv. Ecol. Res. 2020, 63, 1–48. [Google Scholar]
- Veres, A.; Petit, S.; Conord, C.; Lavigne, C. Does landscape composition affect pest abundance and their control by natural enemies? A review. Agric. Ecosyst. Environ. 2013, 166, 110–117. [Google Scholar] [CrossRef]
- Skelsey, P.; Rossing, W.A.; Kessel, G.J.; van der Werf, W. Invasion of Phytophthora Infestans at the Landscape Level: How Do Spatial Scale and Weather Modulate the Consequences of Spatial Heterogeneity in Host Resistance? Phytopathology 2010, 100, 1146–1161. [Google Scholar] [CrossRef]
- Mundt, C.C.; Sackett, K.E.; Wallace, L.D. Landscape heterogeneity and disease spread: Experimental approaches with a plant pathogen. Ecol. Appl. 2011, 21, 321–328. [Google Scholar] [CrossRef]
- Bhar, R.; Fahrig, L. Local vs. Landscape Effects of Woody Field Borders as Barriers to Crop Pest Movement. Conserv. Ecol. 1998, 2, 3. [Google Scholar] [CrossRef][Green Version]
- Raymond, L.; Ortiz-Martínez, S.; Lavandero, B. Temporal variability of aphid biological control in contrasting landscape contexts. Biol. Control 2015, 90, 148–156. [Google Scholar] [CrossRef]
- Ashman, T.-L.; Penet, L. Direct and Indirect Effects of a Sex-Biased Antagonist on Male and Female Fertility: Consequences for Reproductive Trait Evolution in a Gender-Dimorphic Plant. Am. Nat. 2007, 169, 595–608. [Google Scholar] [CrossRef] [PubMed]
- Penet, L.; Collin, C.L.; Ashman, T.-L. Florivory increases selfing: An experimental study in the wild strawberry, Fragaria virginiana. Plant Biol. 2009, 11, 38–45. [Google Scholar] [CrossRef] [PubMed]
- Oerke, E.-C. Crop Losses to Pests. J. Agric. Sci. 2006, 144, 31–43. [Google Scholar] [CrossRef]
- Lambin, E.F.; Tran, A.; Vanwambeke, S.O.; Linard, C.; Soti, V. Pathogenic landscapes: Interactions between land, people, disease vectors, and their animal hosts. Int. J. Health Geogr. 2010, 9, 54. [Google Scholar] [CrossRef]
- Fitt, B.D.; McCartney, H.; West, J.S. Dispersal of Foliar Plant Pathogens: Mechanisms, Gradients and Spatial Patterns. In The Epidemiology of Plant Diseases; Springer: Berlin/Heidelberg, Germany, 2006; pp. 159–192. [Google Scholar]
- Plantegenest, M.; Le May, C.; Fabre, F. Landscape epidemiology of plant diseases. J. R. Soc. Interface 2007, 4, 963–972. [Google Scholar] [CrossRef]
- Real, L.A.; Biek, R. Spatial dynamics and genetics of infectious diseases on heterogeneous landscapes. J. R. Soc. Interface 2007, 4, 935–948. [Google Scholar] [CrossRef]
- Albrecht, M.; Kleijn, D.; Williams, N.M.; Tschumi, M.; Blaauw, B.R.; Bommarco, R.; Campbell, A.; Dainese, M.; Drummond, F.A.; Entling, M.H.; et al. The effectiveness of flower strips and hedgerows on pest control, pollination services and crop yield: A quantitative synthesis. Ecol. Lett. 2020, 23, 1488–1498. [Google Scholar] [CrossRef]
- Dively, G.P.; Leslie, A.W.; Hooks, C.R. Evaluating wildflowers for use in conservation grass buffers to augment natural enemies in neighboring cornfields. Ecol. Eng. 2020, 144, 105703. [Google Scholar] [CrossRef]
- Power, A.G.; Mitchell, C.E. Pathogen Spillover in Disease Epidemics. Am. Nat. 2004, 164, S79–S89. [Google Scholar] [CrossRef]
- Cannon, P.F.; Damm, U.; Johnston, P.R.; Weir, B.S. Colletotrichum—Current status and future directions. Stud. Mycol. 2012, 73, 181–213. [Google Scholar] [CrossRef] [PubMed]
- Xiao, C.L.; MacKenzie, S.J.; Legard, D.E. Genetic and Pathogenic Analyses of Colletotrichum gloeosporioides Isolates from Strawberry and Noncultivated Hosts. Phytopathology 2004, 94, 446–453. [Google Scholar] [CrossRef] [PubMed][Green Version]
- Alahakoon, P.W.; Brown, A.E.; Sreenivasaprasad, S. Cross-infection potential of genetic groups of Colletotrichum gloeosporioides on tropical fruits. Physiol. Mol. Plant Pathol. 1994, 44, 93–103. [Google Scholar] [CrossRef]
- Rojas, E.I.; Rehner, S.A.; Samuels, G.J.; Van Bael, S.A.; Herre, E.A.; Cannon, P.; Chen, R.; Pang, J.; Wang, R.; Zhang, Y.; et al. Colletotrichum gloeosporioides sl associated with Theobroma cacao and other plants in Panama: Multilocus phylogenies distinguish host-associated pathogens from asymptomatic endophytes. Mycologia 2010, 102, 1318–1338. [Google Scholar] [CrossRef] [PubMed]
- Lakshmi, B.K.M.; Reddy, P.N.; Prasad, R.D. Cross-infection Potential of Colletotrichum gloeosporioides Penz. Isolates Causing Anthracnose in Subtropical Fruit Crops. Trop. Agric. Res. 2011, 22, 183. [Google Scholar] [CrossRef]
- Bernstein, B.; Zehr, E.I.; Dean, R.A.; Shabi, E. Characteristics of Colletotrichum from peach, apple, pecan, and other hosts. Plant Dis. 1995, 79, 478–482. [Google Scholar] [CrossRef]
- Sweetmore, A.; Simons, S.A.; Kenward, M. Comparison of disease progress curves for yam anthracnose (Colletotrichum gloeosporioides). Plant Pathol. 1994, 43, 206–215. [Google Scholar] [CrossRef]
- Ashby, B.; Bruns, E. The evolution of juvenile susceptibility to infectious disease. Proc. R. Soc. B Boil. Sci. 2018, 285, 20180844. [Google Scholar] [CrossRef]
- Farber, D.H.; Mundt, C.C. Effect of Plant Age and Leaf Position on Susceptibility to Wheat Stripe Rust. Phytopathology 2017, 107, 412–417. [Google Scholar] [CrossRef]
- Al-Naimi, F.A.; Garrett, K.A.; Bockus, W.W. Competition, facilitation, and niche differentiation in two foliar pathogens. Oecologia 2005, 143, 449–457. [Google Scholar] [CrossRef]
- Malhado, A.C.M.; Malhi, Y.; Whittaker, R.J.; Ladle, R.J.; Ter Steege, H.; Fabré, N.N.; Phillips, O.; Laurance, W.F.; Aragão, L.E.O.C.; Pitman, N.C.A.; et al. Drip-tips are Associated with Intensity of Precipitation in the Amazon Rain Forest. Biotropica 2012, 44, 728–737. [Google Scholar] [CrossRef]
- Ivey, C.T.; DeSilva, N. A Test of the Function of Drip Tips. Biotropica 2001, 33, 188–191. [Google Scholar] [CrossRef]
- Dentika, P.; Ozier-Lafontaine, H.; Penet, L. Weeds as Pathogen Hosts and Disease Risk for Crops in the Wake of a Reduced Use of Herbicides: Evidence from Yam (Dioscorea alata) Fields and Colletotrichum Pathogens in the Tropics. J. Fungi 2021, 7, 283. [Google Scholar] [CrossRef] [PubMed]
- R Core Team. R: A Language and Environment for Statistical Computing; R Foundation for Statistical Computing: Vienna, Austria, 2021. [Google Scholar]
- Karageorgou, P.; Manetas, Y. The importance of being red when young: Anthocyanins and the protection of young leaves of Quercus coccifera from insect herbivory and excess light. Tree Physiol. 2006, 26, 613–621. [Google Scholar] [CrossRef]
- Herms, D.A.; Mattson, W.J. The Dilemma of Plants: To Grow or Defend. Q. Rev. Biol. 1992, 67, 283–335. [Google Scholar] [CrossRef]
- Wright, I.J.; Reich, P.B.; Westoby, M.; Ackerly, D.D.; Baruch, Z.; Bongers, F.; Cavender-Bares, J.; Chapin, T.; Cornelissen, J.H.C.; Diemer, M.; et al. The worldwide leaf economics spectrum. Nature 2004, 428, 821–827. [Google Scholar] [CrossRef] [PubMed]
- Harper, J.L. The Value of a Leaf. Oecologia 1989, 80, 53–58. [Google Scholar] [CrossRef]
- Roberts, M.F.; Martin, J.T.; Peries, O.S. Studies on Plant Cuticle: IV. The Leaf Cuticle in Relation to Invasion by Fungi. In Annual Report Long Ashton Agricultural Horticultural Research Station 1960; 1961; pp. 102–110. Available online: https://eurekamag.com/research/014/205/014205152.php (accessed on 10 December 2021).
- Dean, J.M.; Smith, A.P. Behavioral and Morphological Adaptations of a Tropical Plant to High Rainfall. Biotropica 1978, 10, 152. [Google Scholar] [CrossRef]
- Penet, L.; Guyader, S.; Pétro, D.; Salles, M.; Bussière, F. Direct Splash Dispersal Prevails over Indirect and Subsequent Spread during Rains in Colletotrichum gloeosporioides Infecting Yams. PLoS ONE 2014, 9, e115757. [Google Scholar] [CrossRef]



| Estimate | Std. Error | Z Value | Pr (>|z|) | |
|---|---|---|---|---|
| (Intercept) | 0.9496 | 0.2058 | 4.614 | 3.95× 10−06 *** |
| TreeB | −0.7568 | 0.1510 | −5.012 | 5.40 × 10−07 *** |
| TreeC | −1.3174 | 0.1538 | −8.568 | <2 × 10−16 *** |
| Leaf.AgeYoung | −0.2177 | 0.2138 | −1.018 | 0.30853 |
| Leaf.AreaStem | −0.1632 | 0.2161 | −0.756 | 0.44995 |
| Leaf.AreaTip | −0.1632 | 0.2161 | −0.756 | 0.44995 |
| Tree.HeightMiddle | −0.2242 | 0.1496 | −1.499 | 0.13384 |
| Tree.HeightTop | −0.4550 | 0.1509 | −3.015 | 0.00257 ** |
| Leaf.AgeYoung:Leaf.AreaStem | 0.2277 | 0.2994 | 0.760 | 0.44703 |
| Leaf.AgeYoung:Leaf.AreaTip | 0.5075 | 0.2999 | 1.692 | 0.09062 |
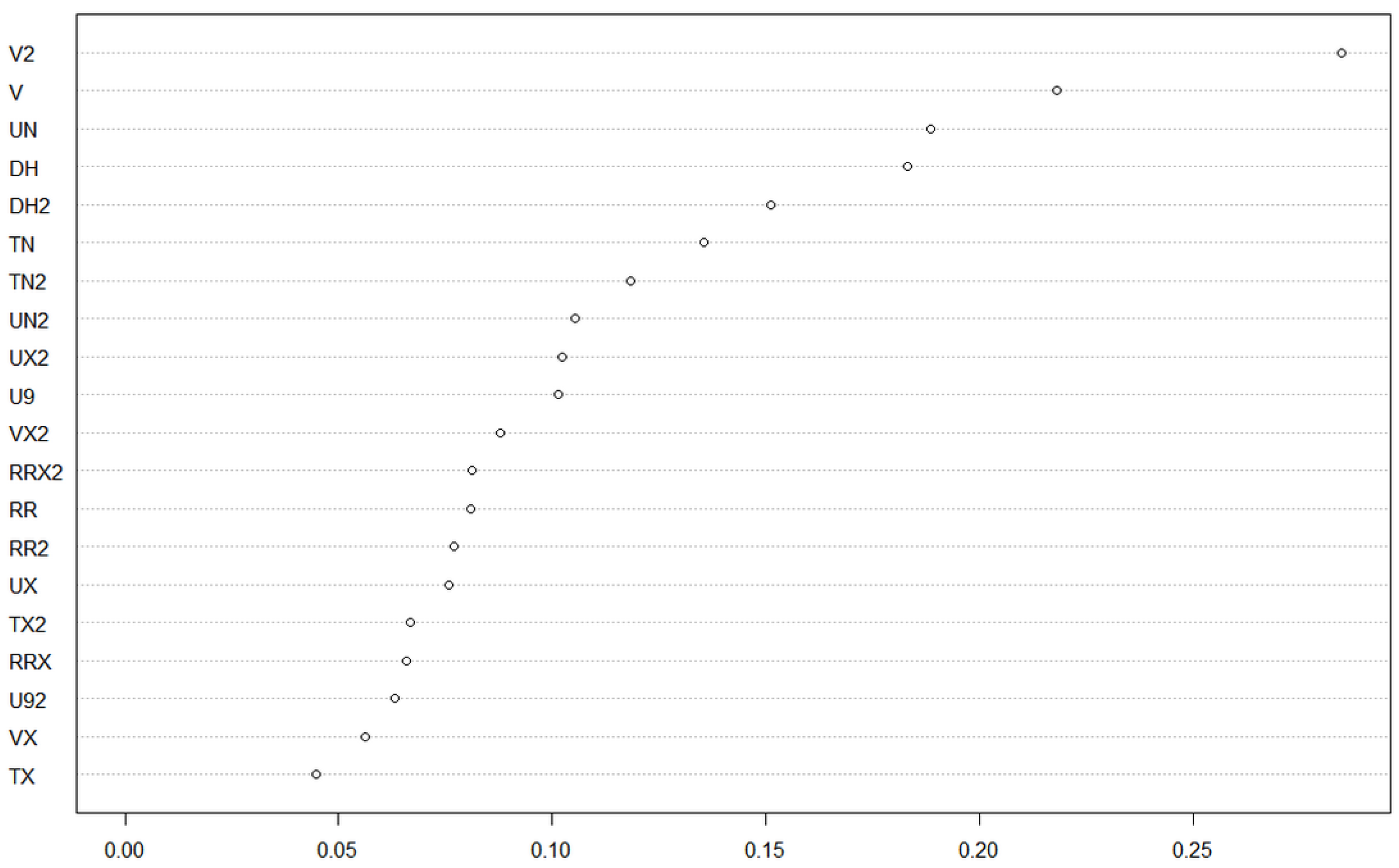
| Weather Effect | Mode | Young Leaf | Old Leaf | Leaf Tip | MidLeaf | Leaf Stem | Bottom Tree | Middle Tree | Top Tree | Tree A | Tree B | Tree C | Tree Global | |
|---|---|---|---|---|---|---|---|---|---|---|---|---|---|---|
| DH | Late | Growth | 0.306 | 0.168 | 0.240 | 0.146 | 0.328 | 0.288 | 0.255 | 0.197 | 0.373 | 0.209 | 0.126 | 0.183 |
| DH2 | Early | Growth | 0.144 | 0.338 | 0.234 | 0.132 | 0.174 | 0.295 | 0.130 | 0.165 | 0.530 | 0.258 | 0.078 | 0.151 |
| RR | Late | Dispersal | 0.072 | 0.127 | 0.088 | 0.097 | 0.075 | 0.101 | 0.077 | 0.098 | 0.099 | 0.134 | 0.090 | 0.081 |
| RR2 | Early | Dispersal | 0.087 | 0.187 | 0.187 | 0.090 | 0.061 | 0.116 | 0.137 | 0.116 | 0.170 | 0.111 | 0.126 | 0.077 |
| RRX | Late | Dispersal | 0.110 | 0.142 | 0.096 | 0.102 | 0.058 | 0.085 | 0.099 | 0.119 | 0.139 | 0.113 | 0.125 | 0.066 |
| RRX2 | Early | Dispersal | 0.114 | 0.075 | 0.152 | 0.084 | 0.035 | 0.122 | 0.104 | 0.071 | 0.264 | 0.107 | 0.087 | 0.081 |
| TN | Late | Growth | 0.173 | 0.142 | 0.146 | 0.140 | 0.124 | 0.143 | 0.169 | 0.177 | 0.346 | 0.156 | 0.129 | 0.136 |
| TN2 | Early | Growth | 0.125 | 0.127 | 0.186 | 0.102 | 0.083 | 0.108 | 0.222 | 0.147 | 0.297 | 0.118 | 0.197 | 0.118 |
| TX | Late | Growth | 0.051 | 0.096 | 0.085 | 0.058 | 0.057 | 0.051 | 0.077 | 0.090 | 0.113 | 0.101 | 0.118 | 0.045 |
| TX2 | Early | Growth | 0.064 | 0.094 | 0.092 | 0.067 | 0.068 | 0.074 | 0.078 | 0.107 | 0.141 | 0.097 | 0.163 | 0.067 |
| U9 | Late | Growth | 0.148 | 0.128 | 0.150 | 0.191 | 0.128 | 0.235 | 0.057 | 0.230 | 0.213 | 0.122 | 0.150 | 0.101 |
| U92 | Early | Growth | 0.137 | 0.097 | 0.137 | 0.125 | 0.057 | 0.099 | 0.098 | 0.065 | 0.213 | 0.074 | 0.091 | 0.063 |
| UN | Late | Growth | 0.361 | 0.143 | 0.273 | 0.241 | 0.230 | 0.307 | 0.111 | 0.238 | 0.206 | 0.356 | 0.104 | 0.189 |
| UN2 | Early | Growth | 0.185 | 0.152 | 0.181 | 0.175 | 0.167 | 0.188 | 0.141 | 0.196 | 0.175 | 0.191 | 0.143 | 0.105 |
| UX | Late | Growth | 0.090 | 0.103 | 0.114 | 0.077 | 0.106 | 0.167 | 0.084 | 0.088 | 0.137 | 0.231 | 0.072 | 0.075 |
| UX2 | Early | Growth | 0.050 | 0.180 | 0.120 | 0.058 | 0.192 | 0.142 | 0.063 | 0.131 | 0.112 | 0.226 | 0.108 | 0.102 |
| V | Late | Dispersal | 0.420 | 0.138 | 0.241 | 0.228 | 0.109 | 0.344 | 0.260 | 0.146 | 0.219 | 0.236 | 0.155 | 0.218 |
| V2 | Early | Dispersal | 0.254 | 0.428 | 0.295 | 0.270 | 0.295 | 0.391 | 0.112 | 0.438 | 0.546 | 0.184 | 0.363 | 0.285 |
| VX | Late | Dispersal | 0.103 | 0.090 | 0.117 | 0.052 | 0.078 | 0.109 | 0.131 | 0.087 | 0.084 | 0.163 | 0.087 | 0.056 |
| VX2 | Early | Dispersal | 0.114 | 0.276 | 0.134 | 0.110 | 0.089 | 0.180 | 0.058 | 0.176 | 0.060 | 0.114 | 0.437 | 0.088 |
Publisher’s Note: MDPI stays neutral with regard to jurisdictional claims in published maps and institutional affiliations. |
© 2022 by the authors. Licensee MDPI, Basel, Switzerland. This article is an open access article distributed under the terms and conditions of the Creative Commons Attribution (CC BY) license (https://creativecommons.org/licenses/by/4.0/).
Share and Cite
Dentika, P.; Ozier-Lafontaine, H.; Penet, L. Dynamics of Pathogenic Fungi in Field Hedges: Vegetation Cover Is Differentially Impacted by Weather. Microorganisms 2022, 10, 400. https://doi.org/10.3390/microorganisms10020400
Dentika P, Ozier-Lafontaine H, Penet L. Dynamics of Pathogenic Fungi in Field Hedges: Vegetation Cover Is Differentially Impacted by Weather. Microorganisms. 2022; 10(2):400. https://doi.org/10.3390/microorganisms10020400
Chicago/Turabian StyleDentika, Pauline, Harry Ozier-Lafontaine, and Laurent Penet. 2022. "Dynamics of Pathogenic Fungi in Field Hedges: Vegetation Cover Is Differentially Impacted by Weather" Microorganisms 10, no. 2: 400. https://doi.org/10.3390/microorganisms10020400
APA StyleDentika, P., Ozier-Lafontaine, H., & Penet, L. (2022). Dynamics of Pathogenic Fungi in Field Hedges: Vegetation Cover Is Differentially Impacted by Weather. Microorganisms, 10(2), 400. https://doi.org/10.3390/microorganisms10020400

