Unselective Transport of Phytopathogenic Fusarium Fungi from Litter and Soil by Ground-Dwelling Arthropods Links Semi-Natural and Agricultural Habitats
Abstract
1. Introduction
2. Materials and Methods
2.1. Study Site
2.2. Sampling Design
2.3. Fungal Load on the Body Surface of Arthropods and Fungal Abundances in Soil and Litter
2.4. Statistical Analysis
3. Results
3.1. Total Fungal and Fusarium Load on the Body Surface of Arthropods and Fungal Abundances in SOIL and Litter
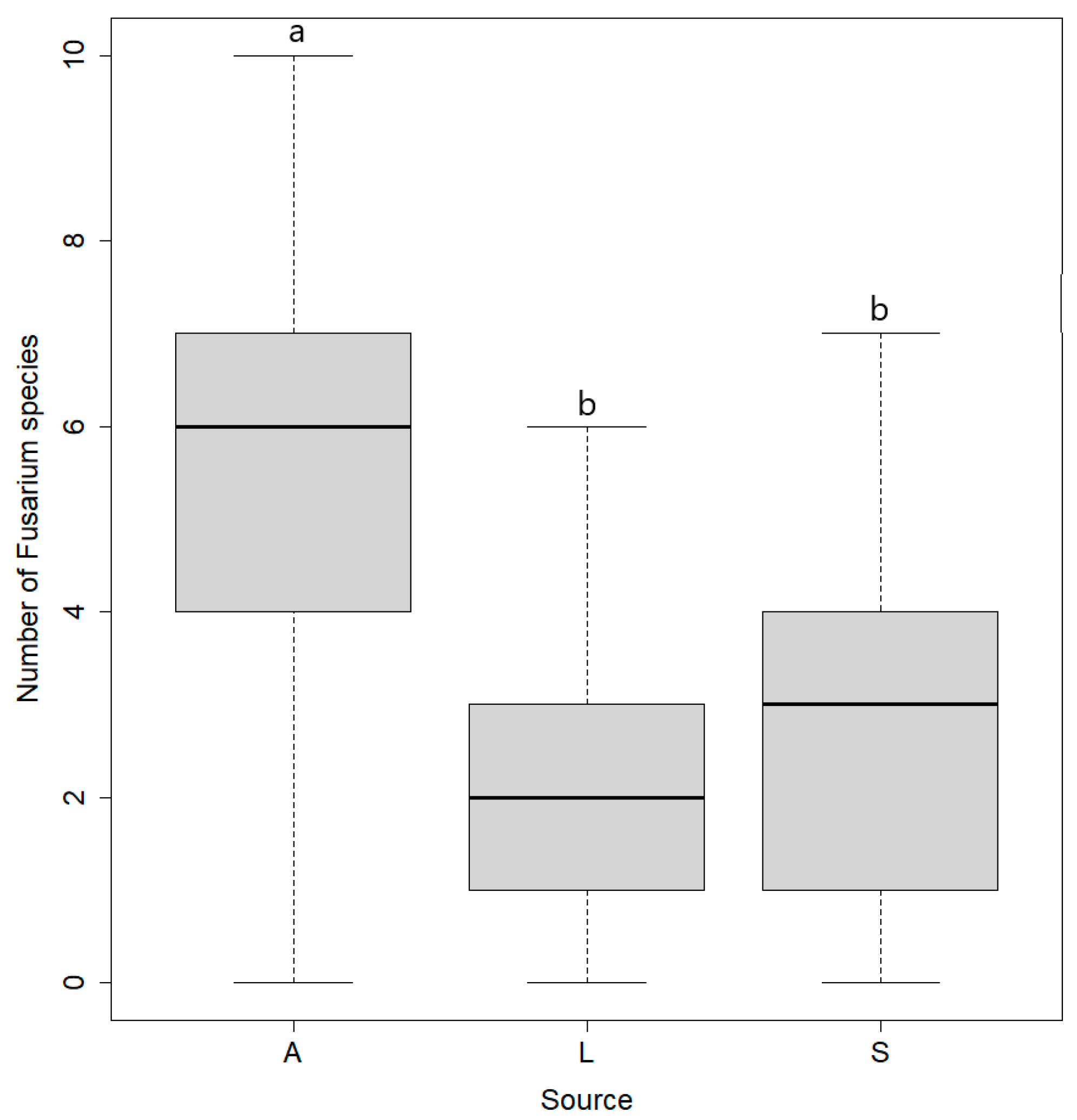
3.2. Fusarium Species Richness and Composition in Different Substrate Types
4. Discussion
5. Conclusions
Supplementary Materials
Author Contributions
Funding
Institutional Review Board Statement
Informed Consent Statement
Data Availability Statement
Acknowledgments
Conflicts of Interest
References
- Lundberg, J.; Moberg, F. Mobile link organisms and ecosystem functioning: Implications for ecosystem resilience and management. Ecosystems 2003, 6, 87–98. [Google Scholar] [CrossRef]
- Kurtz, B.; Karlovsky, P.; Vidal, S. Interaction Between Western Corn Rootworm (Coleoptera: Chrysomelidae) Larvae and Root-Infecting Fusarium verticillioides. Environ. Entomol. 2010, 39, 1532–1538. [Google Scholar] [CrossRef] [PubMed]
- Sobek, E.A.; Munkvold, G.P. European corn borer (Lepidoptera: Pyralidae) larvae as vectors of Fusarium moniliforme, causing kernel rot and symptomless infection of maize kernels. J. Econ. Entomol. 1999, 92, 503–509. [Google Scholar] [CrossRef]
- Mayfield, A.E.; Peña, J.E.; Crane, J.H.; Smith, J.A.; Branch, C.L.; Ottoson, E.D.; Hughes, M. Ability of the redbay ambrosia beetle (Coleoptera: Curculionidae: Scolytinae) to bore into young avocado (Lauraceae) plants and transmit the laurel wilt pathogen (Raffaelea sp.). Fla. Entomol. 2008, 91, 485–487. [Google Scholar] [CrossRef]
- Parry, D.W.; Jenkinson, P.; McLeod, L. Fusarium ear blight (scab) in small grain cereals-a Review. Plant Pathol. 1995, 44, 207–238. [Google Scholar] [CrossRef]
- Champeil, A.; Doré, T.; Fourbet, J. Fusarium head blight: Epidemiological origin of the effects of cultural practices on head blight attacks and the production of mycotoxins by Fusarium in wheat grains. Plant Sci. 2004, 166, 1389–1415. [Google Scholar] [CrossRef]
- Pereyra, S.A.; Dill-Macky, R. Colonization of the residues of diverse plant species by Gibberella zeae and their contribution to fusarium head blight inoculum. Plant Dis. 2008, 92, 800–807. [Google Scholar] [CrossRef]
- Landschoot, S.; Audenaert, K.; Waegeman, W.; Pycke, B.; Bekaert, B.; De Baets, B.; Haesaert, G. Connection between primary Fusarium inoculum on gramineous weeds, crop residues and soil samples and the final population on wheat ears in Flanders, Belgium. Crop Prot. 2011, 30, 1297–1305. [Google Scholar] [CrossRef]
- Postic, J.; Cosic, J.; Vrandecic, K.; Jurkovic, D.; Saleh, A.A.; Leslie, J.F. Diversity of Fusarium Species Isolated from Weeds and Plant Debris in Croatia. J. Phytopathol. 2012, 81, 76–81. [Google Scholar] [CrossRef]
- Suproniene, S.; Kadziene, G.; Irzykowski, W.; Sneideris, D.; Ivanauskas, A.; Sakalauskas, S.; Serbiak, P.; Svegzda, P.; Auskalniene, O.; Jedryczka, M. Weed species within cereal crop rotations can serve as alternative hosts for Fusarium graminearum causing Fusarium head blight of wheat. Fungal Ecol. 2019, 37, 30–37. [Google Scholar] [CrossRef]
- Dromph, K.M. Dispersal of entomopathogenic fungi by collembolans. Soil Biol. Biochem. 2001, 33, 2047–2051. [Google Scholar] [CrossRef]
- Guillen Sánchez, C.; Tixier, P.; Tapia Fernández, A.; Conejo Barboza, A.M.; Sandoval Fernández, J.A.; de Lapeyre de Bellaire, L. Can the banana weevil Cosmopolites sordidus be a vector of Fusarium oxysporum f.sp. cubense race 1? Unravelling the internal and external acquisition of effective inoculum. Pest Manag. Sci. 2021, 77, 3002–3012. [Google Scholar] [CrossRef] [PubMed]
- Mannino, M.C.; Huarte-Bonnet, C.; Davyt-Colo, B.; Pedrini, N. Is the Insect Cuticle the only Entry Gate for Fungal Infection? Insights into Alternative Modes of Action of Entomopathogenic Fungi. J. Fungi 2019, 5, 33. [Google Scholar] [CrossRef] [PubMed]
- Holland, J.M. Carabid beetles: Their ecology, survival, and use in agroecosystems. In The Agroecology of Carabid Beetles; Holland, J.M., Ed.; Intercept Limited: Andover, UK, 2002; Volume 62, pp. 1–40. [Google Scholar]
- Harding, P.T.; Sutton, S.L. Woodlice in Britain and Ireland:Distribution and Habitat; Natural Environment Research Counsil-Institute of Terrestrial Ecolog: Huntingdon, UK, 1985; ISBN 0-904282-85-6. [Google Scholar]
- Anslan, S.; Bahram, M.; Tedersoo, L. Temporal changes in fungal communities associated with guts and appendages of Collembola as based on culturing and high-throughput sequencing. Soil Biol. Biochem. 2016, 96, 152–159. [Google Scholar] [CrossRef]
- Moyo, P.; Allsopp, E.; Roets, F.; Mostert, L.; Halleen, F. Arthropods Vector Grapevine Trunk Disease Pathogens. Phytopathology 2014, 104, 1063–1069. [Google Scholar] [CrossRef]
- Heitmann, N.; Glemnitz, M.; Lentzsch, P.; Platen, R.; Müller, M.E.H. Quantifying the Role of Ground Beetles for the Dispersal of Fusarium and Alternaria Fungi in Agricultural Landscapes. J. Fungi 2021, 7, 863. [Google Scholar] [CrossRef]
- Dillard, H.R.; Cobb, A.C.; Lamboy, J.S. Transmission of Alternaria brassicicola to Cabbage by Flea Beetles (Phyllotreta cruciferae). Plant Dis. 1998, 82, 153–157. [Google Scholar] [CrossRef]
- Birkhofer, K.; Fevrier, V.; Heinrich, A.E.; Rink, K.; Smith, H.G. The contribution of CAP greening measures to conservation biological control at two spatial scales. Agric. Ecosyst. Environ. 2018, 255, 84–94. [Google Scholar] [CrossRef]
- Lozada-Gobilard, S.; Stang, S.; Pirhofer-Walzl, K.; Kalettka, T.; Heinken, T.; Schröder, B.; Eccard, J.; Joshi, J. Environmental filtering predicts plant-community trait distribution and diversity: Kettle holes as models of meta-community systems. Ecol. Evol. 2019, 9, 1898–1910. [Google Scholar] [CrossRef]
- Platen, R.; Kalettka, T.; Ulrichs, C. Kettle Holes in the Agrarian Landscape: Isolated and Ecological Unique Habitats for Carabid Beetles (Col.: Carabidae) and Spiders (Arach.: Araneae). J. Landsc. Ecol. 2016, 9, 29–60. [Google Scholar] [CrossRef]
- The Leibniz Centre for Agricultural Landscape Research (ZALF) AgroScapeLab Quillow (ASLQ). Available online: https://www.zalf.de/de/struktur/eip/Seiten/AgroScapeLab.aspx (accessed on 1 July 2021).
- Kalettka, T.; Rudat, C. Hydrogeomorphic types of glacially created kettle holes in North-East Germany. Limnologica 2006, 36, 54–64. [Google Scholar] [CrossRef]
- Stresemann, E. Exkursionsfauna von Deutschland-Band 2 Wirbellose: Insekten, 11th ed.; Spektrum Verlag: Heidelberg, Germany, 2011; pp. 45–572. [Google Scholar]
- Müller, T.; Ruppel, S.; Behrendt, U.; Lentzsch, P.; Müller, M.E.H. Antagonistic Potential of Fluorescent Pseudomonads Colonizing Wheat Heads Against Mycotoxin Producing Alternaria and Fusaria. Front. Microbiol. 2018, 9, 2124. [Google Scholar] [CrossRef] [PubMed]
- Abildgren, M.P.; Lund, F.; Thrane, U.; Elmholt, S. Czapek-Dox agar containing iprodione and dicloran as a selective medium for the isolation of Fusarium species. Lett. Appl. Microbiol. 1987, 5, 83–86. [Google Scholar] [CrossRef]
- Nierenberg, H. Untersuchungen über die morphologische und biologische Differenzierung in der Fusarium-Sektion Liseola. In Mitteilungen aus der Biologischen Bundesanstalt für Land-und Forstwirtschaft Berlin-Dahlem—169; Kommissionsverlag Paul Parey: Berlin, Germany; Hamburg, Germany, 1976; ISBN 3-489-16900-X. [Google Scholar]
- Leslie, J.F.; Summerell, B.A. The Fusarium Laboratory Manual, 1st ed.; Blackwell Publishing: Ames, IA, USA, 2006; ISBN 9780813819198. [Google Scholar]
- Yli-Mattila, T.; Hussien, T.; Gavrilova, O.; Gagkaeva, T. Morphological and molecular variation between Fusarium avenaceum, Fusarium arthrosporioides and Fusarium anguioides strains. Pathogens 2018, 7, 94. [Google Scholar] [CrossRef]
- R Core Team R: A Language and Environment for Statistical Computing. Available online: https://www.r-project.org/ (accessed on 1 July 2021).
- Anderson, M.J. A new method for non-parametric multivariate analysis of variance. Austral Ecol. 2001, 26, 32–46. [Google Scholar] [CrossRef]
- El-Hamalawi, Z.A. Acquisition, retention and dispersal of soilborne plant pathogenic fungi by fungus gnats and moth flies. Ann. Appl. Biol. 2008, 153, 195–203. [Google Scholar] [CrossRef]
- Meldrum, R.A.; Daly, A.M.; Tran-Nguyen, L.T.T.; Aitken, E.A.B. Are banana weevil borers a vector in spreading Fusarium oxysporum f. sp. cubense tropical race 4 in banana plantations? Australas. Plant Pathol. 2013, 42, 543–549. [Google Scholar] [CrossRef]
- Yun, T.; Park, S.; Yu, J.; Hwang, Y.; Hong, K. Isolation and Identification of Fungal Species from the Insect Pest Tribolium castaneum in Rice Processing Complexes in Korea. Plant Pathol. J. 2018, 34, 356–366. [Google Scholar] [CrossRef]
- Bezos, D.; Martínez-álvarez, P.; Sanz-Ros, A.V.; Martín-García, J.; Fernandez, M.M.; Diez, J.J. Fungal communities associated with bark beetles in Pinus radiata plantations in Northern Spain affected by pine pitch canker, with special focus on Fusarium species. Forests 2018, 9, 698. [Google Scholar] [CrossRef]
- Blodgett, J.T.; Swart, W.J.; Louw, S.V.M. Identification of fungi and fungal pathogens associated with Hypolixus haerens and decayed and cankered stems of Amaranthus hybridus. Plant Dis. 2004, 88, 333–337. [Google Scholar] [CrossRef][Green Version]
- Oster, M.; Smith, L.; Beck, J.J.; Howard, A.; Field, C.B. Orientation behavior of predaceous ground beetle species in response to volatile emissions identified from yellow starthistle damaged by an invasive slug. Arthropod. Plant Interact. 2014, 8, 429–437. [Google Scholar] [CrossRef]
- Ponce, M.A.; Kim, T.N.; Morrison, W.R. A systematic review of the behavioral responses by stored-product arthropods to individual or blends of microbially produced volatile cues. Insects 2021, 12, 391. [Google Scholar] [CrossRef] [PubMed]
- Nordlander, G.; Eidmann, H.H.; Jacobsson, U.; Nordenhem, H.; Sjödin, K. Orientation of the pine weevil Hylobius abietis to underground sources of host volatiles. Entomol. Exp. Appl. 1986, 41, 91–100. [Google Scholar] [CrossRef]
- Bartelt, R.J.; Wicklow, D.T. Volatiles from Fusarium verticillioides (Sacc.) Nirenb. and Their Attractiveness to Nitidulid Beetles. J. Agric. Food Chem. 1999, 47, 2447–2454. [Google Scholar] [CrossRef] [PubMed]
- Drakulic, J.; Caulfield, J.; Woodcock, C.; Jones, S.P.T.; Linforth, R.; Bruce, T.J.A.; Ray, V. Sharing a Host Plant (Wheat [Triticum aestivum]) Increases the Fitness of Fusarium graminearum and the Severity of Fusarium Head Blight but Reduces the Fitness of Grain Aphids (Sitobion avenae). Appl. Environ. Microbiol. 2015, 81, 3492–3501. [Google Scholar] [CrossRef] [PubMed]
- Schiro, G.; Verch, G.; Grimm, V.; Müller, M.E.H. Alternaria and Fusarium Fungi: Differences in Distribution and Spore Deposition in a Topographically Heterogeneous Wheat Field. J. Fungi 2018, 4, 63. [Google Scholar] [CrossRef] [PubMed]
- Belay, A.; Claassens, A.S.; Wehner, F.C.; de Beer, J.M. Influence of residual manure on selected nutrient elements and microbial composition of soil under long-term crop rotation. S. Afr. J. Plant Soil 2001, 18, 1–6. [Google Scholar] [CrossRef]
- Wenda-Piesik, A.; Sun, Z.; Grey, W.E.; Weaver, D.K.; Morrill, W.L. Mycoses of wheat stem sawfly (Hymenoptera: Cephidae) larvae by Fusarium spp. Isolates. Environ. Entomol. 2009, 38, 387–394. [Google Scholar] [CrossRef]
- Del Ponte, E.M.; Fellow, V.; Shah, D.A.; Bergstrom, G.C. Spatial Patterns of Fusarium Head Blight in New York Wheat Fields Suggest Role of Airborne Inoculum. Plant Health Prog. 2003, 4, 4. [Google Scholar] [CrossRef]
- Paul, P.A.; El-Allaf, S.M.; Lipps, P.E.; Madden, L. V Rain Splash Dispersal of Gibberella zeae Within Wheat Canopies in Ohio. Phytopathology 2004, 94, 1342–1349. [Google Scholar] [CrossRef]
- Hoffmann, A.; Funk, R.; Müller, M.E.H. Blowin’ in the Wind: Wind Dispersal Ability of Phytopathogenic Fusarium in a Wind Tunnel Experiment. Atmosphere 2021, 12, 1653. [Google Scholar] [CrossRef]
- Lozada-Gobilard, S.; Landivar Albis, C.M.; Rupik, K.B.; Pätzig, M.; Hausmann, S.; Tiedemann, R.; Joshi, J. Habitat quality and connectivity in kettle holes enhance bee diversity in agricultural landscapes. Agric. Ecosyst. Environ. 2021, 319, 107525. [Google Scholar] [CrossRef]
- Braun-Blanquet, J. Pflanzensoziologie: Grundzüge der Vegetationskunde, 2nd ed.; Springer-Verlag: Wien, Austria, 1951. [Google Scholar]






| Arthrop (Indiv−1) | Litter (g−1 DM) | Soil (g−1 DM) | ||||
|---|---|---|---|---|---|---|
| Tot | Fus | Tot | Fus | Tot | Fus | |
| Min. | 23.80 | 0.00 | 64.01 | 0.39 | 4.33 | 0.05 |
| 1st Qu. | 85.27 | 2.12 | 124.51 | 2.38 | 5.99 | 0.21 |
| Median | 107.85 | 3.44 | 257.87 | 3.83 | 7.48 | 0.35 |
| Mean | 452.47 | 9.96 | 300.09 | 7.12 | 8.23 | 0.36 |
| 3rd Qu. | 215.67 | 10.78 | 406.18 | 7.80 | 9.46 | 0.45 |
| Max. | 4447.00 | 64.00 | 755.80 | 47.67 | 14.92 | 0.93 |
| Dominance | Richness | ||||
|---|---|---|---|---|---|
| (A) Global Model | df | F | p | F | p |
| Kettle hole | 6 | 1.24 | 0.143 | 1.1 | 0.371 |
| Sampling point | 14 | 1.08 | 0.305 | 1.19 | 0.328 |
| Substrate type | 2 | 4.9 | <0.001 | 12.29 | <0.001 |
| (B) Pairwise Comparison | |||||
| A × L | 1 | 3.24 | 0.002 | 24.41 | 0.001 |
| A × S | 1 | 4.46 | 0.001 | 16.84 | 0.002 |
| S × L | 1 | 6.05 | 0.001 | 0.67 | 0.492 |
| Arthropods vs. Litter | Arthropods vs. Soil | Litter vs. Soil | |||
|---|---|---|---|---|---|
| Species | Cum. Con | Species | Cum. Con | Species | Cum. Con |
| F. sporotrichioides | 0.23 | F. culmorum | 0.24 | F. culmorum | 0.22 |
| F. culmorum | 0.42 | F. sambucinum | 0.39 | F. sporotrichioides | 0.43 |
| F. dimerum | 0.57 | F. dimerum | 0.52 | F. sambucinum | 0.56 |
Publisher’s Note: MDPI stays neutral with regard to jurisdictional claims in published maps and institutional affiliations. |
© 2022 by the authors. Licensee MDPI, Basel, Switzerland. This article is an open access article distributed under the terms and conditions of the Creative Commons Attribution (CC BY) license (https://creativecommons.org/licenses/by/4.0/).
Share and Cite
Heitmann, N.; Glemnitz, M.; Birkhofer, K.; Müller, M.E.H. Unselective Transport of Phytopathogenic Fusarium Fungi from Litter and Soil by Ground-Dwelling Arthropods Links Semi-Natural and Agricultural Habitats. Microorganisms 2022, 10, 335. https://doi.org/10.3390/microorganisms10020335
Heitmann N, Glemnitz M, Birkhofer K, Müller MEH. Unselective Transport of Phytopathogenic Fusarium Fungi from Litter and Soil by Ground-Dwelling Arthropods Links Semi-Natural and Agricultural Habitats. Microorganisms. 2022; 10(2):335. https://doi.org/10.3390/microorganisms10020335
Chicago/Turabian StyleHeitmann, Nadja, Michael Glemnitz, Klaus Birkhofer, and Marina E. H. Müller. 2022. "Unselective Transport of Phytopathogenic Fusarium Fungi from Litter and Soil by Ground-Dwelling Arthropods Links Semi-Natural and Agricultural Habitats" Microorganisms 10, no. 2: 335. https://doi.org/10.3390/microorganisms10020335
APA StyleHeitmann, N., Glemnitz, M., Birkhofer, K., & Müller, M. E. H. (2022). Unselective Transport of Phytopathogenic Fusarium Fungi from Litter and Soil by Ground-Dwelling Arthropods Links Semi-Natural and Agricultural Habitats. Microorganisms, 10(2), 335. https://doi.org/10.3390/microorganisms10020335

