Water Relations, Gas Exchange, Chlorophyll Fluorescence and Electrolyte Leakage of Ectomycorrhizal Pinus halepensis Seedlings in Response to Multi-Heavy Metal Stresses (Pb, Zn, Cd)
Abstract
1. Introduction
2. Materials and Methods
2.1. Soils, Plant Material, Experimental Design and Growth Conditions
2.2. Gas Exchange, Water-Use Efficiency and Chlorophyll Fluorescence Measurements
2.3. Water Relations Parameters
2.4. Electrolyte Leakage
2.5. Statistical Analyses
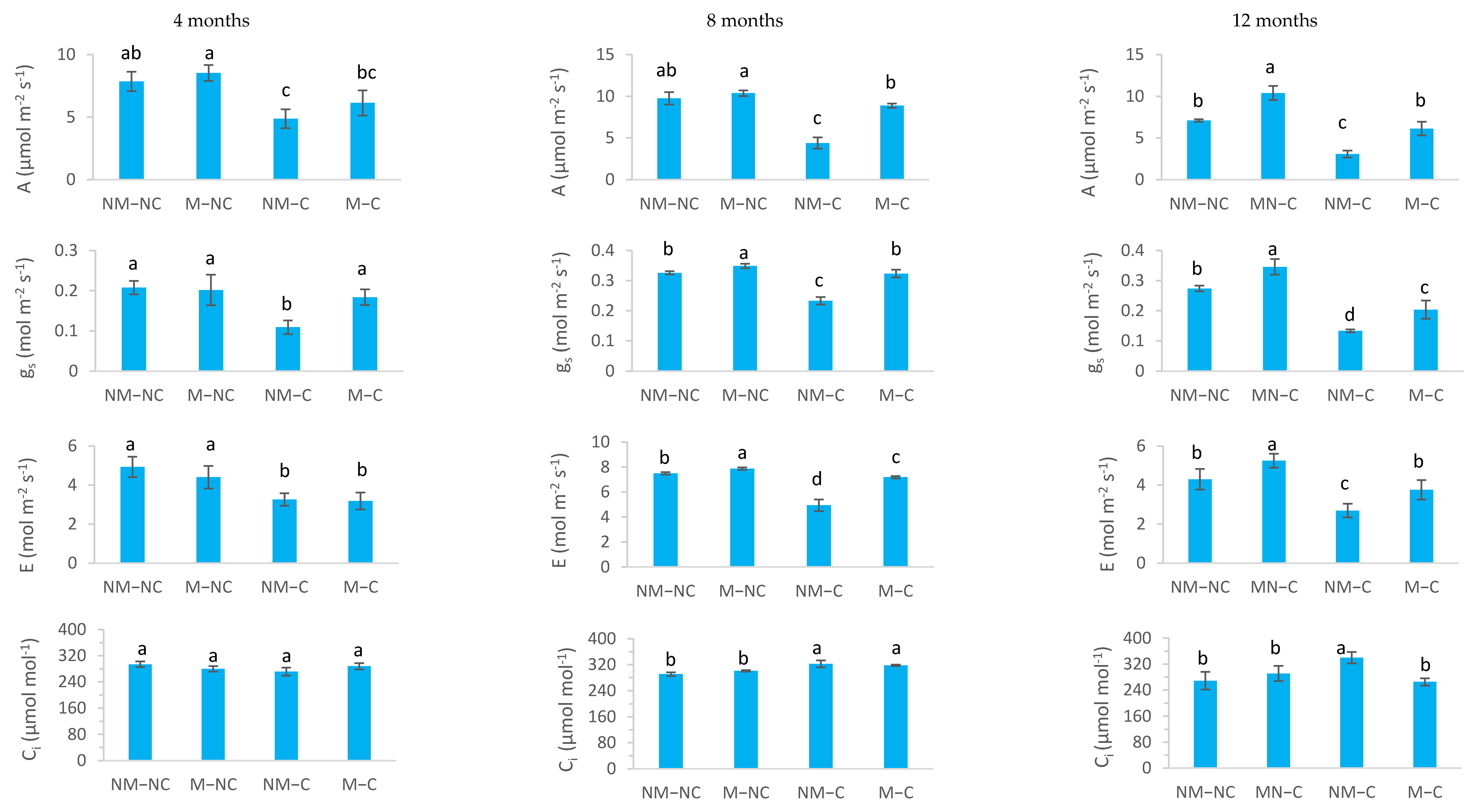
3. Results
3.1. Gas Exchange, Water-Use Efficiency and Chlorophyll Fluorescence
3.2. Water Relation Variables
3.3. Electrolyte Leakage
4. Discussion
5. Conclusion and Research Needs
Author Contributions
Funding
Institutional Review Board Statement
Informed Consent Statement
Data Availability Statement
Acknowledgments
Conflicts of Interest
References
- FAO; ITPS. Status of the World’s Soil Resources (SWSR)—Main Report; Food and Agriculture Organization of the United Nations and Intergovernmental Technical Panel on Soils: Rome, Italy, 2015; p. 650. [Google Scholar]
- FAO. Soil Pollution a Hidden Reality; Food and Agriculture Organization of the United Nations: Rome, Italy, 2018; p. 142. [Google Scholar]
- Wang, Q.; Shaheen, S.M.; Jiang, Y.; Li, R.; Slaný, M.; Abdelrahman, H.; Kwon, E.; Bolan, N.; Rinklebe, J.; Zhang, Z. Fe/Mn-and P-modified drinking water treatment residuals reduced Cu and Pb phytoavailability and uptake in a mining soil. J. Hazard. Mater. 2021, 403, 123–628. [Google Scholar] [CrossRef]
- Allen, C.D.; Macalady, A.K.; Chenchouni, H.; Bachelet, D.; McDowell, N.; Vennetier, M.; Kitzberger, T.; Rigling, A.; Breshears, D.D.; Hogg, E.H.; et al. A global overview of drought and heat-induced tree mortality reveals emerging climate change risks for forests. For. Ecol. Manag. 2010, 259, 660–684. [Google Scholar] [CrossRef]
- Taabni, M.; Jihad, M.D.E. Eau et changement climatique au Maghreb: Quelles stratégies d’adaptation? Les Cahiers d’Outre-Mer. Rev. Géogr. Bordx. 2012, 65, 493–518. [Google Scholar]
- Trenberth, K.E.; Dai, A.; Van Der Schrier, G.; Jones, P.D.; Barichivich, J.; Briffa, K.R.; Sheffield, J. Global warming and changes in drought. Nat. Clim. Chang. 2014, 4, 17–22. [Google Scholar] [CrossRef]
- Schilling, J.; Hertig, E.; Tramblay, Y.; Scheffran, J. Climate change vulnerability, water resources and social implications in North Africa. Reg. Environ. Chang. 2020, 20, 15. [Google Scholar] [CrossRef]
- Lamhamedi, M.S.; Ammari, Y.; Fecteau, B.; Fortin, J.A.; Margolis, H. Problématique des pépinières forestières en Afrique du Nord et stratégies de développement. Cah. Agric. 2000, 9, 369–380. [Google Scholar]
- Lamhamedi, M.S.; Abourouh, M.; Fortin, J.A. Technological transfer: The use of ectomycorrhizal fungi in conventional and modern forest tree nurseries in northern Africa. In Advances in Mycorrhizal Science and Technology; Khasa, D., Piché, Y., Coughlan, A.P., Eds.; NRC Research Press: Ottawa, ON, Canada, 2009; pp. 139–152. [Google Scholar]
- Gaba-Chahboub, H.; Lamhamedi, M.S.; Abrous-Belbachir, O. Effet de l’inoculation ectomycorhizienne en pépinière sur la croissance et la nutrition des plants du cèdre de l’Atlas en Algérie. Bois For. Trop. 2016, 330, 57–67. [Google Scholar] [CrossRef]
- Marx, D.H.; Marrs, L.F.; Cordell, C.E. Practical use of the mycorrhizal fungal technology in forestry, reclamation, arboriculture, agriculture, and horticulture. Dendrobiology 2002, 47, 27–40. [Google Scholar]
- Otero-Blanca, A.; Folch-Mallol, J.L.; Lira-Ruan, V.; del Rayo Sánchez Carbente, M.; Batista-García, R.A. Phytoremediation and fungi: An underexplored binomial. In Approaches in Bioremediation: The New Era of Environmental Microbiology and Nanobiotechnology; Prasad, R., Aranda, E., Eds.; Springer: Cham, Switzerland, 2018; pp. 79–95. [Google Scholar]
- Assad, R.; Reshi, Z.A.; Rashid, I.; Mir, S.H. Restoration of heavy metal-contaminated environs through ectomycorrhizal symbiosis. In Bioremediation and Biotechnology; Bhat, R.A., Hakeem, K.R., Eds.; Springer Nature: Cham, Switzerland, 2020; pp. 313–330. [Google Scholar] [CrossRef]
- Lamhamedi, M.S.; Fortin, J.A.; Bernier, P.Y. La génétique de Pisolithus sp.: Une approche de biotechnologie forestière pour une meilleure survie des plants en conditions de sécheresse. Sécheresse 1991, 2, 251–258. [Google Scholar]
- Smith, S.E.; Read, D.J. Mycorrhizal Symbiosis; Academic Press: Cambridge, MA, USA, 2008; p. 815. [Google Scholar]
- Tang, M.; Sheng, M.; Chen, H.; Zhang, F.F. In vitro salinity resistance of three ectomycorrhizal fungi. Soil Biol. Biochem. 2009, 41, 948–953. [Google Scholar] [CrossRef]
- Guerrero-Galán, C.; Calvo-Polanco, M.; Zimmermann, S.D. Ectomycorrhizal symbiosis helps plants to challenge salt stress conditions. Mycorrhiza 2019, 29, 291–301. [Google Scholar] [CrossRef] [PubMed]
- Barcelo, J.; Poschenrieder, C. Plant water relations as affected by heavy metal stress: A review. J. Plant. Nut. 1990, 13, 1–37. [Google Scholar] [CrossRef]
- Rucińska-Sobkowiak, R. Water relations in plants subjected to heavy metal stresses. Acta Physiol. Plant. 2016, 38, 257. [Google Scholar] [CrossRef]
- Handa, N.; Kohli, S.K.; Sharma, A.; Thukral, A.K.; Bhardwaj, R.; Alyemeni, M.N.; Wijaya, L.; Ahmad, P. Selenium ameliorates chromium toxicity through modifications in pigment system, antioxidative capacity, osmotic system, and metal chelators in Brassica juncea seedlings. S. Afr. J. Bot. 2018, 119, 1–10. [Google Scholar] [CrossRef]
- Shahzad, B.; Tanveer, M.; Che, Z.; Rehman, A.; Cheema, S.A.; Sharma, A.; ur Rehman, S.; Song, H.; Zhaorong, D. Role of 24-epibrassinolide (EBL) in mediating heavy metal and pesticide induced oxidative stress in plants: A review. Ecotoxicol. Environ. Saf. 2018, 147, 935–944. [Google Scholar] [CrossRef] [PubMed]
- Kohli, S.K.; Handa, N.; Bali, S.; Khanna, K.; Arora, S.; Sharma, A.; Bhardwaj, R. Current scenario of Pb toxicity in plants: Unraveling plethora of physiological responses. Rev. Environ. Contamin. Toxicol. 2019, 249, 153–197. [Google Scholar] [CrossRef]
- Dhalaria, R.; Kumar, D.; Kumar, H.; Nepovimova, E.; Kuča, K.; Torequl Islam, M.; Verma, R. Arbuscular mycorrhizal fungi as potential agents in ameliorating heavy metal stress in plants. Agronomy 2020, 10, 815. [Google Scholar] [CrossRef]
- Haider, F.U.; Liqun, C.; Coulter, J.A.; Cheema, S.A.; Wu, J.; Zhang, R.; Wenjun, M.; Farooq, M. Cadmium toxicity in plants: Impacts and remediation strategies. Ecotoxicol. Environ. Saf. 2021, 211, 111–887. [Google Scholar] [CrossRef]
- Rai, R.; Agrawal, M.; Agrawal, S.B. Impact of heavy metals on physiological processes of plants: With special reference to photosynthetic system. In Plant Responses to Xenobiotics; Singh, A., Prasad, S.M., Singh, R.P., Eds.; Springer Nature: Singapore, 2016; pp. 127–140. [Google Scholar] [CrossRef]
- Farooq, M.; Wahid, A.; Kobayashi, N.S.M.A.; Fujita, D.B.S.M.A.; Basra, S.M.A. Plant drought stress: Effects, mechanisms and management. In Sustainable Agriculture; Lichtfouse, E., Navarrete, M., Debaeke, P., Véronique, S., Alberola, C., Eds.; Springer: Dordrecht, The Netherlands, 2009; pp. 153–188. [Google Scholar]
- Parkash, V.; Singh, S. A review on potential plant-based water stress indicators for vegetable crops. Sustainability 2020, 12, 3945. [Google Scholar] [CrossRef]
- Chmielowska-Bąk, J.; Deckert, J. Plant Recovery after Metal Stress—A Review. Plants 2021, 10, 450. [Google Scholar] [CrossRef]
- Nagajyoti, P.C.; Lee, K.D.; Sreekanth, T.V.M. Heavy metals, occurrence and toxicity for plants: A review. Environ. Chem. Lett. 2010, 8, 199–216. [Google Scholar] [CrossRef]
- Yadav, S.K. Heavy metals toxicity in plants: An overview on the role of glutathione and phytochelatins in heavy metal stress tolerance of plants. S. Afr. J. Bot. 2010, 76, 167–179. [Google Scholar] [CrossRef]
- Przedpelska-Wasowicz, E.M.; Wierzbicka, M. Gating of aquaporins by heavy metals in Allium cepa L. epidermal cells. Protoplasma 2011, 248, 663–671. [Google Scholar] [CrossRef]
- Petrovic, D.; Krivokapic, S. The effect of Cu, Zn, Cd, and Pb accumulation on biochemical parameters (proline, chlorophyll) in the water caltrop (Trapa natans L.), Lake Skadar, Montenegro. Plant 2020, 9, 1287. [Google Scholar] [CrossRef] [PubMed]
- Yang, Y.; Zhang, L.; Huang, X.; Zhou, Y.; Quan, Q.; Li, Y.; Zhu, X. Response of photosynthesis to different concentrations of heavy metals in Davidia involucrata. PLoS ONE 2020, 15, e0228563. [Google Scholar] [CrossRef] [PubMed]
- Pandey, V.; Shukla, A. Acclimation and tolerance strategies of rice under drought stress. Rice Sci. 2015, 22, 147–161. [Google Scholar] [CrossRef]
- Muhammad, I.; Shalmani, A.; Ali, M.; Yang, Q.H.; Ahmad, H.; Li, F.B. Mechanisms regulating the dynamics of photosynthesis under abiotic stresses. Front. Plant Sci. 2021, 11, 2310. [Google Scholar] [CrossRef]
- Haase, D.L.; Bouzza, K.; Emerton, L.; Friday, J.B.; Lieberg, B.; Aldrete, A.; Davis, A.S. The high cost of the low-cost polybag system: A review of nursery seedling production systems. Land 2021, 10, 826. [Google Scholar] [CrossRef]
- Duddridge, J.A.; Malbari, A.; Read, D.J. Structure and function of ectomycorrhizal rhizomorphs with especial reference to their role in water transport. Nature 1980, 287, 834–836. [Google Scholar] [CrossRef]
- Read, D.J.; Boyd, R. Water relations of mycorrhizal fungi and their host plants. In Water, Fungi and Plants; Ayres, P.G., Body, L., Eds.; Cambridge University Press: Cambridge, MA, USA, 1986; pp. 287–304. [Google Scholar]
- Lamhamedi, M.S.; Bernier, P.Y.; Fortin, J.A. Hydraulic conductance and soil water potential at the soil–root interface of Pinus pinaster seedlings inoculated with different dikaryons of Pisolithus sp. Tree Physiol. 1992, 10, 231–244. [Google Scholar] [CrossRef]
- Lamhamedi, M.S.; Bernier, P.Y.; Fortin, J.A. Growth, nutrition and response to water stress of Pinus pinaster inoculated with ten dikaryotic strains of Pisolithus sp. Tree Physiol. 1992, 10, 153–167. [Google Scholar] [CrossRef]
- Marx, D.H. Forest Application of the Ectomycorrhizal Fungus Pisolithus tinctorius; The Marcus Walenberg Prize: Stockholm, Sweden, 1991. [Google Scholar]
- Han, S.H.; Kim, D.H.; Lee, J.C. Effects of the ectomycorrhizal fungus Pisolithus tinctorius and Cd on physiological properties and Cd uptake by hybrid poplar Populus alba× glandulosa. J. Ecol. Field Biol. 2011, 34, 393–400. [Google Scholar] [CrossRef][Green Version]
- Poschenrieder, C.H.; Barceló, J. Water relations in heavy metal stressed plants. In Heavy Metal Stress in Plants; Springer: Berlin/Heidelberg, Germany, 1999; pp. 207–229. [Google Scholar]
- Tyree, M.T.; Hamel, H.T. The measurements of the turgor pressure and the water relations of plants by the pressure bomb technique. J. Exp. Bot. 1972, 23, 267–282. [Google Scholar] [CrossRef]
- Schulte, P.J.; Hinckley, T.M. A comparison of pressure-volume curve data analysis techniques. J. Exp. Bot. 1985, 36, 1590–1602. [Google Scholar] [CrossRef]
- Zine El Abidine, A.; Bernier-Cardou, M.; Bernier, P.Y.; Plamondon, A.P. Control of pressure-chamber and rehydration-time effects on pressure–volume determination of water-relation parameters. Can. J. Bot. 1993, 71, 1009–1015. [Google Scholar] [CrossRef]
- Hachani, C.; Lamhamedi, M.S.; Cameselle, C.; Gouveia, S.; Zine El Abidine, A.; Khasa, D.P.; Béjaoui, Z. Effects of ectomycorrhizal fungi and heavy metals (Pb, Zn, and Cd) on growth and mineral nutrition of Pinus halepensis seedlings in North Africa. Microorganisms 2020, 8, 2033. [Google Scholar] [CrossRef] [PubMed]
- Lamhamedi, M.S.; Renaud, M.; Auger, I.; Fortin, J.A. Granular calcite stimulates natural mycorrhization and growth of white spruce seedlings in peat-based substrates in forest nursery. Microorganisms 2020, 8, 1088. [Google Scholar] [CrossRef]
- Lamhamedi, M.S.; Lambany, G.; Margolis, H.A.; Renaud, M.; Veilleux, L.; Bernier, P.Y. Growth, physiology and leachate losses in Picea glauca seedlings (1 + 0) grown in air-slit containers under different irrigation regimes. Can. J. For. Res. 2001, 31, 1968–1980. [Google Scholar] [CrossRef]
- Lamhamedi, M.S.; Labbé, L.; Margolis, H.A.; Stowe, D.C.; Blais, L.; Renaud, M. Spatial variability of substrate water content and growth of white spruce seedlings. Soil Sci. Soc. Am. J. 2006, 70, 108–120. [Google Scholar] [CrossRef]
- Béjaoui, Z. Tolérance de Divers Clones de Peuplier À l’hydromorphie: Aspects Morphologiques, Écophysiologiques et Métaboliques. Ph.D. Thesis, University of Carthage, Tunis, Tunisia, 2006. [Google Scholar]
- Zine El Abidine, A.; Stewart, J.D.; Plamondon, A.P.; Bernier, P.Y. Diurnal and seasonal variations in gas exchange and water relations of lowland and upland black spruce ecotypes. Can. J. Bot. 1995, 73, 716–722. [Google Scholar] [CrossRef]
- Krause, G.H.; Weis, E. Chlorophyll fluorescence and photosynthesis: The basics. Ann. Rev. Plant Physiol. Plant Mol. Biol. 1991, 42, 313–349. [Google Scholar] [CrossRef]
- Ritchie, G.A. Assessing seedling quality. In Forest Nursery Manual: Production of Bareroot Seedlings; Duryea, M.L., Landis, T.D., Eds.; Martinus Nijhoff/Dr. Junk W. Publishers: Dordrecht, The Netherlands, 1984; pp. 243–259. [Google Scholar]
- Zine El Abidine, A.; Bernier, P.Y.; Plamondon, A.P. Water relations parameters of lowland and upland black spruce: Seasonal variations and ecotypic differences. Can. J. For. Res. 1994, 24, 587–593. [Google Scholar] [CrossRef]
- Jones, M.M.; Turner, N.C. Osmotic adjustment in expanding and fully expanded leaves of sunflower in response to water deficits. Funct. Plant Biol. 1980, 7, 181–192. [Google Scholar] [CrossRef]
- Nabil, M.; Coudret, A. Effects of sodium chloride on growth, tissue elasticity and solute adjustment in two Acacia nilotica subspecies. Physiol. Plant. 1995, 93, 217–224. [Google Scholar] [CrossRef]
- Albouchi, A.; Béjaoui, Z.; Lamhamedi, M.S.; Abassi, M.; El Aouni, M.H. Relations hydriques chez trois clones de peuplier euraméricain soumis à un gradient d’hydromorphie. Geo-Eco-Trop 2016, 40, 385–400. [Google Scholar]
- Blum, A.; Ebercon, A. Cell membrane stability as a measure of drought and heat tolerance in wheat. Crop Sci. 1981, 21, 43–47. [Google Scholar] [CrossRef]
- Steel, G.D.; Torrie, J.H.; Dickey, D.A. Principles and Procedures of Statistics: A Biometrical Approach, 3rd ed.; The McGraw-Hill Companies Inc.: New York, NY, USA, 1997. [Google Scholar]
- Zhang, Y.; Hu, J.; Bai, J.; Wang, J.; Yin, R.; Wang, J.; Lin, X. Arbuscular mycorrhizal fungi alleviate the heavy metal toxicity on sunflower (Helianthus annuus L.) plants cultivated on a heavily contaminated field soil at a WEEE-recycling site. Sci. Total Environ. 2018, 628, 282–290. [Google Scholar] [CrossRef]
- Sims, D.A.; Gamon, J.A. Relationships between leaf pigment content and spectral reflectance across a wide range of species, leaf structures and developmental stages. Remote Sens. Environ. 2002, 81, 337–354. [Google Scholar] [CrossRef]
- El Rasafi, T.; Pereira, R.; Pinto, G.; Gonçalves, F.G.M.; Haddioui, A.; Ksibi, M.; Römbke, J.; Sousa, J.P.; Marques, C.R. Potential of Eucalyptus globulus for the phytoremediation of metals in a Moroccan iron mine soil—A case study. Environ. Sci. Pollut. Res. 2021, 28, 15782–15793. [Google Scholar] [CrossRef]
- Gururani, M.A.; Venkatesh, J.; Tran, L.S.P. Regulation of photosynthesis during abiotic stress-induced photoinhibition. Mol. Plant 2015, 8, 1304–1320. [Google Scholar] [CrossRef] [PubMed]
- Guidi, L.; Lo Piccolo, E.; Landi, M. Chlorophyll fluorescence, photoinhibition and abiotic stress: Does it make any difference the fact to be a C3 or C4 species? Front. Plant Sci. 2019, 10, 174. [Google Scholar] [CrossRef]
- Sengupta, U.K.; Sharma, A. Carbon dioxide enrichment effects on photosynthesis and plant growth. In Photosynthesis: Photoreactions to Plant Productivity; Abrol, Y.P., Mohanty, P., Govindjee, Eds.; Springer Science + Business Media: Dordrecht, The Netherlands, 1993. [Google Scholar]
- Tang, Y.; Bao, Q.; Tian, G.; Fu, K.; Cheng, H.; Chen, S.; Zhou, S. Heavy metal cadmium tolerance on the growth characteristics of industrial hemp (Cannabis sativa L.) in China. In Series Advances in Engineering Research, Proceedings of the international Conference on Advances in Energy, Environment and Chemical Engineering, Changsha, China, 26–27 September 2015; Atlantis Press: Amsterdam, The Netherlands, 2015. [Google Scholar]
- Pezeshki, S.R. Differences in patterns of photosynthetic responses to hypoxia in flood tolerant and food sensitive tree species. Photosynthetica 1993, 28, 223–430. [Google Scholar]
- Augé, R.M. Arbuscular mycorrhizae and soil/plant water relations. Can. J. Soil Sci. 2004, 84, 373–381. [Google Scholar] [CrossRef]
- García-Sánchez, I.E.; Barradas, V.L.; de León Hill, C.A.P.; Esperón-Rodríguez, M.; Pérez, I.R.; Ballinas, M. Effect of heavy metals and environmental variables on the assimilation of CO2 and stomatal conductance of Ligustrum lucidum, an urban tree from Mexico City. Urban For. Urban Green. 2019, 42, 72–81. [Google Scholar] [CrossRef]
- Kozlowski, T.T. Carbohydrate sources and sinks in woody plants. Bot. Rev. 1992, 58, 107–222. [Google Scholar] [CrossRef]
- Pellicer, V.; Guehl, J.M.; Daudet, F.A.; Cazet, M.; Riviere, L.M.; Maillard, P. Carbon and nitrogen mobilization in Larix × eurolepis leafy stem cuttings assessed by dual 13C and 15N labeling: Relationships with rooting. Tree Physiol. 2000, 20, 807–814. [Google Scholar] [CrossRef][Green Version]
- Garbaye, J.; Guehl, J.M. Le Rôle des ectomycorhizes dans l’utilisation de l’eau par les arbres forestiers. Rev. For. Fr. 1997, 49, 110–120. [Google Scholar] [CrossRef]
- Brownlee, C.; Duddridge, J.A.; Malibari, A.; Read, D.J. The structure and function of mycelial system of ectomycorrhizal roots with special reference to their role in forming inter-plant connection and providing pathways for assimilate and water transport. Plant Soil 1983, 71, 433–443. [Google Scholar] [CrossRef]
- Read, D.J. The mycorrhizal mycelium. In Mycorrhizal Functioning: An Integrative Plant-Fungal Process; Allen, M., Ed.; Chapman and Hell: New York, NY, USA, 1992; pp. 102–133. [Google Scholar]
- Lehto, T.; Zwiazek, J.J. Ectomycorrhizas and water relations of trees: A review. Mycorrhiza 2011, 21, 71–90. [Google Scholar] [CrossRef] [PubMed]
- Rillig, M.C.; Mummey, D.L. Mycorrhizas and soil structure. New Phytol. 2006, 171, 41–53. [Google Scholar] [CrossRef]
- Allen, F.A. Mycorrhizal fungi: Highways for water and nutrients in arid soils. Vadose Zone J. 2007, 6, 291–297. [Google Scholar] [CrossRef]
- Guehl, J.M.; Mousain, D.; Falconnet, G.; Gruez, J. Growth, carbon dioxide assimilation capacity and water use efficiency of Pinus pinea L. seedlings inoculated with different ectomycorrhizal fungi. Ann. Sci. For. 1990, 47, 91–100. [Google Scholar] [CrossRef]
- Pirasteh-Anosheh, H.; Saed-Moucheshi, A.; Pakniyat, H.; Pessarakli, M. Stomatal responses to drought stress. In Water Stress and Crop Plants: A Sustainable Approach, 1st ed.; Parvaiz, A., Ed.; John Wiley & Sons Ltd.: Hoboken, NJ, USA, 2016. [Google Scholar]
- Turner, N.C. Turgor maintenance by osmotic adjustment: 40 years of progress. J. Exp. Bot. 2018, 69, 3223–3233. [Google Scholar] [CrossRef] [PubMed]
- Muhsin, T.M.; Zwiazek, J.J. Ectomycorrhizas increase apoplastic water transport and root hydraulic conductivity in Ulmus americana seedlings. New Phytol. 2002, 153, 153–158. [Google Scholar] [CrossRef]
- Plassard, C.; Chalot, M.; Botton, B.; Martin, F. Le rôle des ectomycorhizes dans la nutrition azotée des arbres forestiers. Rev. For. Française 1997, 49, 82–98. [Google Scholar] [CrossRef]
- Gadd, G.M.; Bahri-Esfahani, J.; Li, Q.; Rhee, Y.J.; Wei, Z.; Fomina, M.; Liang, X. Oxalate production by fungi: Significance in geomycology, biodeterioration and bioremediation. Fungal Biol. Rev. 2014, 28, 36–55. [Google Scholar] [CrossRef]
- Guehl, J.M.; Garbaye, J. The effects of ectomycorrhizal status on carbon dioxide assimilation capacity, water-use efficiency and response to transplanting in seedlings of Pseudotsuga menziesii (Mirb) Franco. Ann. Sci. For. 1990, 47, 551–563. [Google Scholar] [CrossRef]
- Desilva, D.L.R.; Hetherington, A.M.; Mansfield, T.A. Synergism between calcium ions and abscisic acid in preventing stomatal opening. New Phytol. 1985, 100, 473–482. [Google Scholar]
- White, P.J.; Broadley, M.R. Calcium in plants. Ann. Bot. 2003, 92, 487–511. [Google Scholar] [CrossRef]
- Hochmal, A.K.; Shulze, S.; Trompelt, K.; Hippler, M. Calcium-dependent regulation of photosynthesis. Biochim. Biophys. Acta 2015, 1847, 993–1003. [Google Scholar] [CrossRef]
- Chaves, M.M.; Oliveira, M.M. Mechanisms underlying plant resilience to water deficits: Prospects for water-saving agriculture. J. Exp. Bot. 2004, 55, 2365–2384. [Google Scholar] [CrossRef]
- Saroy, K.; Garg, N. Relative effectiveness of arbuscular mycorrhiza and polyamines in modulating ROS generation and ascorbate-glutathione cycle in Cajanus cajan under nickel stress. Environ. Sci. Pollut. Res. 2021, 28, 48872–48889. [Google Scholar] [CrossRef] [PubMed]
- Clifford, S.C.; Arndt, S.K.; Corlett, J.E.; Joshi, S.; Sankhla, N.; Popp, M.; Jones, H.G. The role of solute accumulation, osmotic adjustment and changes in cell wall elasticity in drought tolerance in Ziziphus mauritiana (Lamk.). J. Exp. Bot. 1998, 49, 967–977. [Google Scholar] [CrossRef]
- Sebastiana, M.; da Silva, A.B.; Matos, A.R.; Alcântara, A.; Silvestre, S.; Malhó, R. Ectomycorrhizal inoculation with Pisolithus tinctorius reduces stress induced by drought in cork oak. Mycorrhiza 2018, 28, 247–258. [Google Scholar] [CrossRef] [PubMed]







| Significance | |||
|---|---|---|---|
| Variable | Treatment (T) | Date (D) | T × D |
| A (µmol m−2 s−1) | 0.0001 | 0.0001 | 0.007 |
| gs (mol m−2 s−1) | 0.0001 | 0.0001 | 0.0001 |
| E (mol m−2 s−1) | 0.0001 | 0.0001 | 0.001 |
| Ci (µmol mol−1) | 0.0001 | 0.001 | 0.0001 |
| WUE (µmol mol−1) | 0.0001 | 0.0001 | 0.179 * |
| Fv/Fm | 0.0001 | 0.0001 | 0.0001 |
| F0 | 0.0001 | 0.0001 | 0.608 * |
| Electrolyte leakage (%) | 0.0001 | 0.141 * | 0.0001 |
| Ψπ100 (MPa) | 0.0001 | - | - |
| Ψπ0 (MPa) | 0.0001 | - | - |
| SWC (%) | 0.002 | - | - |
| RWC0 (%) | 0.002 | - | - |
| εmax | 0.327 * | - | - |
| OA | 0.0001 | - | - |
Publisher’s Note: MDPI stays neutral with regard to jurisdictional claims in published maps and institutional affiliations. |
© 2021 by the authors. Licensee MDPI, Basel, Switzerland. This article is an open access article distributed under the terms and conditions of the Creative Commons Attribution (CC BY) license (https://creativecommons.org/licenses/by/4.0/).
Share and Cite
Hachani, C.; Lamhamedi, M.S.; Zine El Abidine, A.; Abassi, M.; Khasa, D.P.; Béjaoui, Z. Water Relations, Gas Exchange, Chlorophyll Fluorescence and Electrolyte Leakage of Ectomycorrhizal Pinus halepensis Seedlings in Response to Multi-Heavy Metal Stresses (Pb, Zn, Cd). Microorganisms 2022, 10, 57. https://doi.org/10.3390/microorganisms10010057
Hachani C, Lamhamedi MS, Zine El Abidine A, Abassi M, Khasa DP, Béjaoui Z. Water Relations, Gas Exchange, Chlorophyll Fluorescence and Electrolyte Leakage of Ectomycorrhizal Pinus halepensis Seedlings in Response to Multi-Heavy Metal Stresses (Pb, Zn, Cd). Microorganisms. 2022; 10(1):57. https://doi.org/10.3390/microorganisms10010057
Chicago/Turabian StyleHachani, Chadlia, Mohammed S. Lamhamedi, Abdenbi Zine El Abidine, Mejda Abassi, Damase P. Khasa, and Zoubeir Béjaoui. 2022. "Water Relations, Gas Exchange, Chlorophyll Fluorescence and Electrolyte Leakage of Ectomycorrhizal Pinus halepensis Seedlings in Response to Multi-Heavy Metal Stresses (Pb, Zn, Cd)" Microorganisms 10, no. 1: 57. https://doi.org/10.3390/microorganisms10010057
APA StyleHachani, C., Lamhamedi, M. S., Zine El Abidine, A., Abassi, M., Khasa, D. P., & Béjaoui, Z. (2022). Water Relations, Gas Exchange, Chlorophyll Fluorescence and Electrolyte Leakage of Ectomycorrhizal Pinus halepensis Seedlings in Response to Multi-Heavy Metal Stresses (Pb, Zn, Cd). Microorganisms, 10(1), 57. https://doi.org/10.3390/microorganisms10010057

