Active Fault-Tolerant Control Strategy for More Electric Aircraft under Actuation System Failure
Abstract
1. Introduction
2. Preliminaries and Dynamic Modeling
2.1. Dissimilar Redundant Actuation System
2.2. Nominal and Damaged Aircraft Modeling
- Scenario I: without structural damage towards lateral-directional surfaces;
- Scenario II: with structural damage towards lateral-directional surfaces.
2.2.1. Scenario I: Aircraft Model under Hydraulic Leakage/Blockage
2.2.2. Scenario II: Aircraft Model under Completely Vertical Tail Loss
2.3. Engine Thrust Dynamics
2.4. EHA Performance Analysis
3. Active Fault-Tolerant Control Strategy
3.1. The Overall Structure
3.2. The Relationship between Engine Differential Thrust and Rudder Deflection
4. Simulation Study and Results Analysis
4.1. Pre-Simulation and State Space Parameters
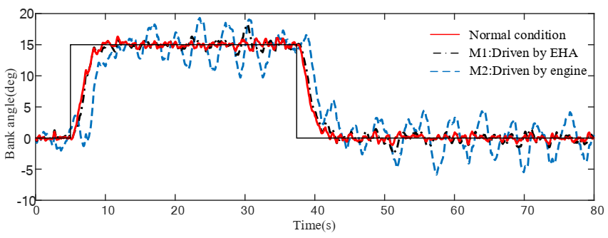
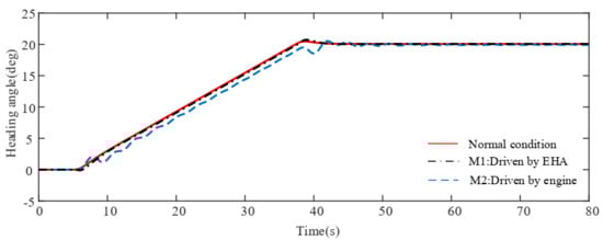
4.2. Lateral-Directional Simulation through Turning Coordination
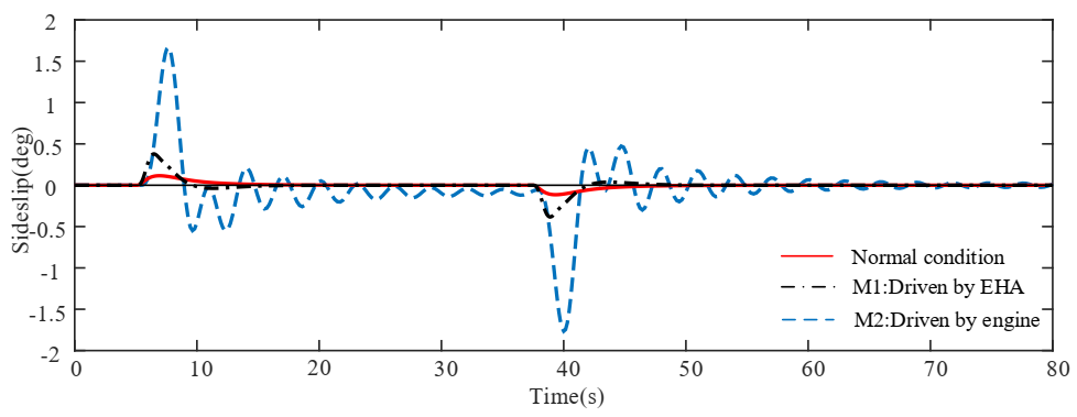
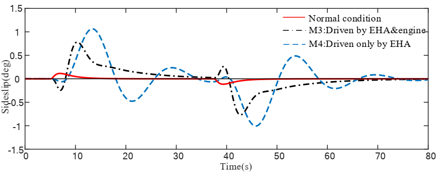
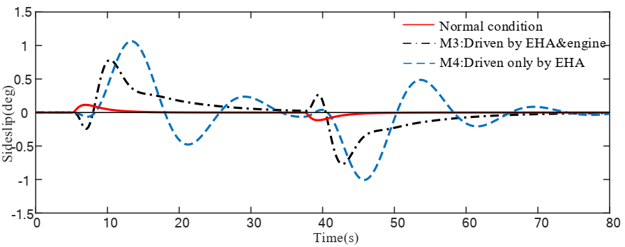
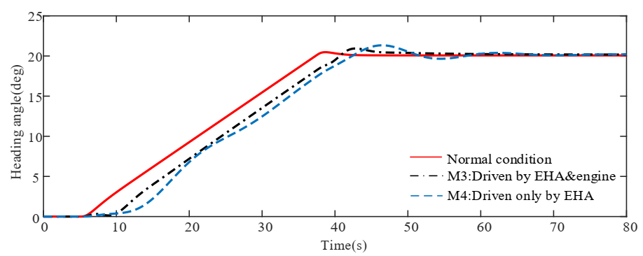
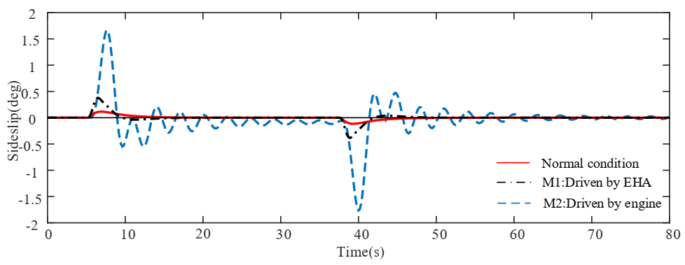
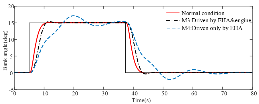
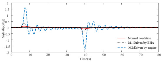
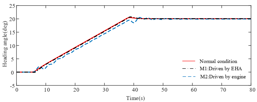
4.2.1. Damage Scenario I
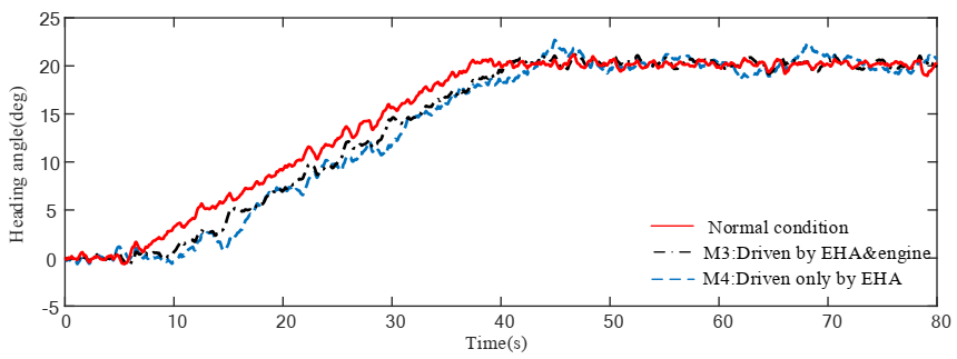
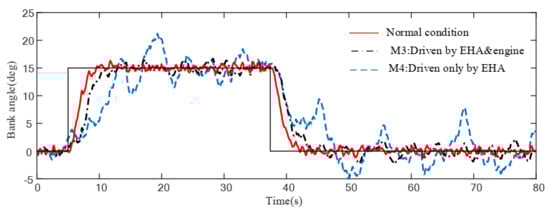
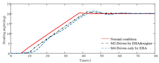
4.2.2. Damage Scenario II
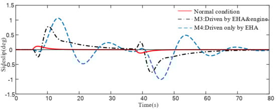
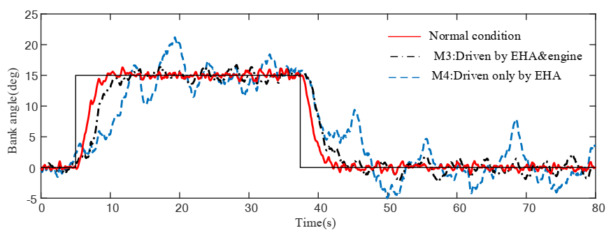
4.3. Lateral-Directional Simulation Analysis of Recovery Ability
4.3.1. Damage Scenario I
4.3.2. Damage Scenario II
4.4. Simulation with Uncertainties, Wind Turbulence and Measurement Noise
5. Conclusions
Author Contributions
Funding
Conflicts of Interest
References
- Zhang, Y.; Jiang, J. Bibliographical review on reconfigurable fault-tolerant control systems. Annu. Rev. Control. 2008, 32, 229–252. [Google Scholar] [CrossRef]
- Boeing Commercial Airplanes. Statistical summary of commercial jet airplane accidents, worldwide operations, 1959–2018. Aviat. Saf. 2019, 9, 1–25. [Google Scholar]
- Edwards, C.; Lombaerts, T.; Smaili, H. Fault Tolerant Flight Control; Springer: Berlin/Heidelberg, Germany, 2010. [Google Scholar]
- Hughes, D.; Dornheim, M. DHL/EAT crew lands A300 with no hydraulics after being hit by missile. Aviat. Week Space Technol. 2003, 8, 42. [Google Scholar]
- Van, D.; Bossche, D. The A380 flight control electrohydrostatic actuators, achievements and lessons learnt. In Proceedings of the 25th International Congress of the Aeronautical Sciences, Hamburg, Germany, 3–8 September 2006; pp. 1–8. [Google Scholar]
- Goupil, P. AIRBUS state of the art and practices on FDI and FTC in flight control system. Control Eng. Pract. 2011, 19, 524–539. [Google Scholar] [CrossRef]
- Fu, Y.; Yao, P. Design and working mode analysis of dissimilar redundant actuator system. J. Beijing Univ. Aeronaut. Astronaut. 2012, 38, 432–437. [Google Scholar]
- Shi, C.; Wang, X.; Wang, S.; Wang, J.; Tomovic, M.M. Adaptive decoupling synchronous control of dissimilar redundant actuation system for large civil aircraft. Aerosp. Sci. Technol. 2015, 47, 114–124. [Google Scholar] [CrossRef]
- Rongjie, K.; Zongxia, J.; Shaoping, W.; Lisha, C. Design and Simulation of Electro-hydrostatic Actuator with a Built-in Power Regulator. Chin. J. Aeronaut. 2009, 22, 700–706. [Google Scholar] [CrossRef]
- Naayagi, R. A review of more electric aircraft technology. In Proceedings of the International Conference on Energy Efficient Technologies for Sustainability, Miami, FL, USA, 10–12 April 2013; pp. 750–753. [Google Scholar]
- Shah, G. Aerodynamic Effects and Modeling of Damage to Transport Aircraft. In Proceedings of the AIAA Atmospheric Flight Mechanics Conference and Exhibit, Keystone, CO, USA, 21–24 August 2008; p. 6203. [Google Scholar]
- Crider, L. Control of Commercial Aircraft with Vertical Tail Loss. In Proceedings of the AIAA 4th Aviation Technology, Integration and Operations (ATIO) Forum, Chicago, IL, USA, 20–22 September 2004. [Google Scholar]
- Wang, J.; Wang, S.; Wang, X.; Shi, C.; Tomovic, M. Active fault tolerant control for vertical tail damaged aircraft with dissimilar redundant actuation system. Chin. J. Aeronaut. 2016, 29, 1313–1325. [Google Scholar] [CrossRef]
- Chen, L.; Alwi, H.; Edwards, C. Development and Application of an LPV Fault Tolerant Integral Sliding Mode Control Allocation Scheme for the RECONFIGURE Benchmark Model. IFAC Pap. 2015, 48, 994–999. [Google Scholar] [CrossRef]
- Marcos, A.; Balas, G. Development of Linear-Parameter-Varying Models for Aircraft. J. Guid. Control Dyn. 2004, 27, 218–228. [Google Scholar] [CrossRef]
- Zhang, Y.; Jiang, J. Integrated active fault-tolerant control using IMM approach. IEEE Trans. Aerosp. Electron. Syst. 2001, 37, 1221–1235. [Google Scholar] [CrossRef]
- Ye, D.; Yang, G.-H. Adaptive Fault-Tolerant Tracking Control against Actuator Faults with Application to Flight Control. IEEE Trans. Control Syst. Technol. 2006, 14, 1088–1096. [Google Scholar] [CrossRef]
- Bošković, J.D.; Mehra, R.K. Intelligent Adaptive Control of a Tailless Advanced Fighter Aircraft under Wing Damage. J. Guid. Control Dyn. 2000, 23, 876–884. [Google Scholar] [CrossRef]
- Kim, K.-S.; Lee, K.-J.; Kim, Y. Reconfigurable Flight Control System Design Using Direct Adaptive Method. J. Guid. Control Dyn. 2003, 26, 543–550. [Google Scholar] [CrossRef]
- Sun, D.; Choe, R.; Xargay, E.; Hovakimyan, N. An L1 Adaptive Backup Flight Control Law for Transport Aircraft with Vertical-Tail Damage. AIAA Guid. Navig. Control Conf. 2016, 0633. [Google Scholar] [CrossRef]
- Lombaerts, T.; Looye, G.; Chu, Q.; Mulder, J. Design and simulation of fault tolerant flight control based on a physical approach. Aerosp. Sci. Technol. 2012, 23, 151–171. [Google Scholar] [CrossRef]
- Rong, H.; Sundararajan, N.; Saratchandran, P.; Huang, G.B. Adaptive fuzzy fault-tolerant controller for aircraft autolanding under failures. IEEE Trans. Aerosp. Electron. Syst. 2007, 43, 1586–1603. [Google Scholar] [CrossRef]
- Wang, X.; Wang, S.; Yang, Z.; Zhang, C. Active fault-tolerant control strategy of large civil aircraft under elevator failures. Chin. J. Aeronaut. 2015, 28, 1658–1666. [Google Scholar] [CrossRef][Green Version]
- Liu, Y.; Tao, G.; Joshi, S. Modeling and Model Reference Adaptive Control of Aircraft with Asymmetric Damage. J. Guid. Control Dyn. 2009, 33, 1500–1517. [Google Scholar] [CrossRef]
- Pashilkar, A.; Sundararajan, N.; Saratchandran, P. A fault-tolerant neural aided controller for aircraft auto-landing. Aerosp. Sci. Technol. 2006, 10, 49–61. [Google Scholar] [CrossRef]
- Mora-Camino, F.; Zhong, L. Neural Networks Based Aircraft Fault Tolerant Control. In Proceedings of the AIAA Aviation Technology, Integration and Operations, Indianapolis, IN, USA, 17–19 September 2013; p. 5683. [Google Scholar]
- Napolitano, M.R.; An, Y.; Seanor, B.A. A fault tolerant flight control system for sensor and actuator failures using neural networks. Aircr. Des. 2000, 3, 103–128. [Google Scholar] [CrossRef]
- Bavili, R.; Khosrowjerdi, M.; Vatankhah, R. Active Fault Tolerant Controller Design using Model Predictive Control. Control Eng. Appl. Inform. 2015, 17, 68–76. [Google Scholar]
- Hitachi, Y. Damage-tolerant Control System Design for Propulsion-Controlled Aircraft. Master’s Dissertation, University of Toronto, Toronto, ON, Canada, 2009. [Google Scholar]
- Urnes, J.; Nielsen, Z. Use of Propulsion Commands to Control Directional Stability of a Damaged Transport Aircraft. In Proceedings of the AIAA Infotech Aerospace Conference, Atlanta, GA, USA, 20–22 April 2010. [Google Scholar]
- Lu, L.K.; Turkoglu, K. H ∞ Loop-Shaping Robust Differential Thrust Control Methodology for Lateral/Directional Stability of an Aircraft with a Damaged Vertical Stabilizer. In Proceedings of the AIAA Guidance, Navigation, and Control Conference 2016, San Diego, CA, USA, 4–8 January 2016. [Google Scholar]
- Borello, L.; Villero, G.; Vedova, M.D.L.D. New asymmetry monitoring techniques: Effects on attitude control. Aerosp. Sci. Technol. 2009, 13, 475–487. [Google Scholar] [CrossRef]
- Borello, L.; Villero, G.; Vedova, M.D.D. Flap failure and aircraft controllability: Developments in asymmetry monitoring techniques. J. Mech. Sci. Technol. 2014, 28, 4593–4603. [Google Scholar] [CrossRef]
- De Martin, A.; Autin, S.N.; Socheleau, J.; Dellacasa, A.; Vachtsevanos, G. Feasibility study of a PHM system for electro-hydraulic servoactuators for primary flight controls. In Proceedings of the Annual Conference of the Prognostics and Health Management Society, PHM Society, Philadelphia, PA, USA, 24–27 September 2018. [Google Scholar]
- Gentile, R.; Bruno, D.; Jacazio, G.; Sorli, M.; Marino, F. Electro-hydraulic servoactuators failure identification: Health features extraction through a high-fidelity physical model. Int. J. Mech. Control 2020, 21, 91–100. [Google Scholar]
- Zhou, Z.; Wang, S.; Wang, X. Fault tolerant control strategy based on actuation switch mechanism for more-electric aircraft with vertical tail damage. In Proceedings of the 2017 IEEE International Conference on Mechatronics and Automation, IEEE, Kagawa, Japan, 6–9 August 2017. [Google Scholar]
- Zhou, Z.; Wang, S.; Wang, X.; Wang, J. LQR-MRC Active Fault Tolerant Control for More-Electric Aircraft without Hydraulic Power. In Proceedings of the 2016 IEEE Chinese Guidance, Navigation and Control Conferences (IEEE), Nanjing, China, 12–14 August 2016. [Google Scholar]
- Etkin, B.; Teichmann, T. Dynamics of Flight: Stability and Control; Wiley: New York, NY, USA, 1996; Volume 3. [Google Scholar]



















| More Electric Aircraft Model in Scenario I | |
|---|---|
| Aircraft systems | ![]() |
| HA system failure | |
| EHA system adopted | |
| Engine differential thrust control not adopted | |
| Mass properties | |
| No change | |
| Aerodynamics | |
| Outboard aileron and upper rudder unavailable | |
| More Electric Aircraft Model in Scenario II | |
|---|---|
| Aircraft systems | ![]() |
| HA systems failure | |
| EHA system adopted | |
| Engine thrust control adopted | |
| Mass Properties | |
| weight of vertical stabilizer loss | |
| Aerodynamics | |
| Outboard aileron and whole vertical tail unavailable | |
| Reduction in primary axis inertias | |
| Aircraft Condition | |||
|---|---|---|---|
| Parameter | Value | Parameter | Value |
| Altitude () | |||
| Air density () | |||
| Speed () | |||
| Wing area () | |||
| Wing span () | |||
| Wing mean chord () | |||
| Weight () | |||
| m () | |||
| () | |||
| () | |||
| () | |||
| () | |||
| Air velocity () | |||
| Thrust () | |||
| Pressure ratio | |||
| Parameter | Value |
|---|---|
| m () | |
| Weight () | |
| () | |
| () | |
| () | |
| () |
Publisher’s Note: MDPI stays neutral with regard to jurisdictional claims in published maps and institutional affiliations. |
© 2020 by the authors. Licensee MDPI, Basel, Switzerland. This article is an open access article distributed under the terms and conditions of the Creative Commons Attribution (CC BY) license (http://creativecommons.org/licenses/by/4.0/).
Share and Cite
Sun, X.; Wang, X.; Zhou, Z.; Zhou, Z. Active Fault-Tolerant Control Strategy for More Electric Aircraft under Actuation System Failure. Actuators 2020, 9, 122. https://doi.org/10.3390/act9040122
Sun X, Wang X, Zhou Z, Zhou Z. Active Fault-Tolerant Control Strategy for More Electric Aircraft under Actuation System Failure. Actuators. 2020; 9(4):122. https://doi.org/10.3390/act9040122
Chicago/Turabian StyleSun, Xiaozhe, Xingjian Wang, Zhiyuan Zhou, and Zhihan Zhou. 2020. "Active Fault-Tolerant Control Strategy for More Electric Aircraft under Actuation System Failure" Actuators 9, no. 4: 122. https://doi.org/10.3390/act9040122
APA StyleSun, X., Wang, X., Zhou, Z., & Zhou, Z. (2020). Active Fault-Tolerant Control Strategy for More Electric Aircraft under Actuation System Failure. Actuators, 9(4), 122. https://doi.org/10.3390/act9040122



