Dynamics Study of Multi-Supports Rotor Systems with Bearing Clearance Considering Angular Deflections
Abstract
1. Introduction
2. Model of Support Structure with Bearing Clearance Considering Angular Deflections
2.1. Simplification of Support Structure
2.2. Interaction Forces Between Bearing and Support
2.3. Verification of Model Accuracy
3. Mechanical Model of Multi-Supports Rotor System with Bearing Clearance
3.1. Simplification of Rotor-Support Structure
3.2. The Influence of Misalignment
3.3. Governing Equations of Rotor System
4. Numerical Method for Dynamic Response of Rotor Systems with Constraint Equations
- Couple the motion differential equations with the constraint equations, and introduce the Lagrange multiplier to form an extended system, of which the extended equations are given by Equation (64).
- Based on the initial motion state of the rotor system, specify the initial values for numerical computation.
- Begin the numerical computation. For the step :
- Firstly, use Equation (66) to obtain the preliminary values of displacement and velocity ;
- Then, set the precision level and the maximum number of iterations , and use the discrete Newton method to solve the nonlinear equations (Equation (69)) in order to obtain the acceleration ;
- Based on the results from the previous step, use Equation (74) to correct the pre-liminary values obtained in 3.a., yielding the displacement and velocity for this step;
- If , return to 3.a. to continue the computation; otherwise, stop the computation.
- Complete the computation.
5. Numerical Study on the Dynamic Response
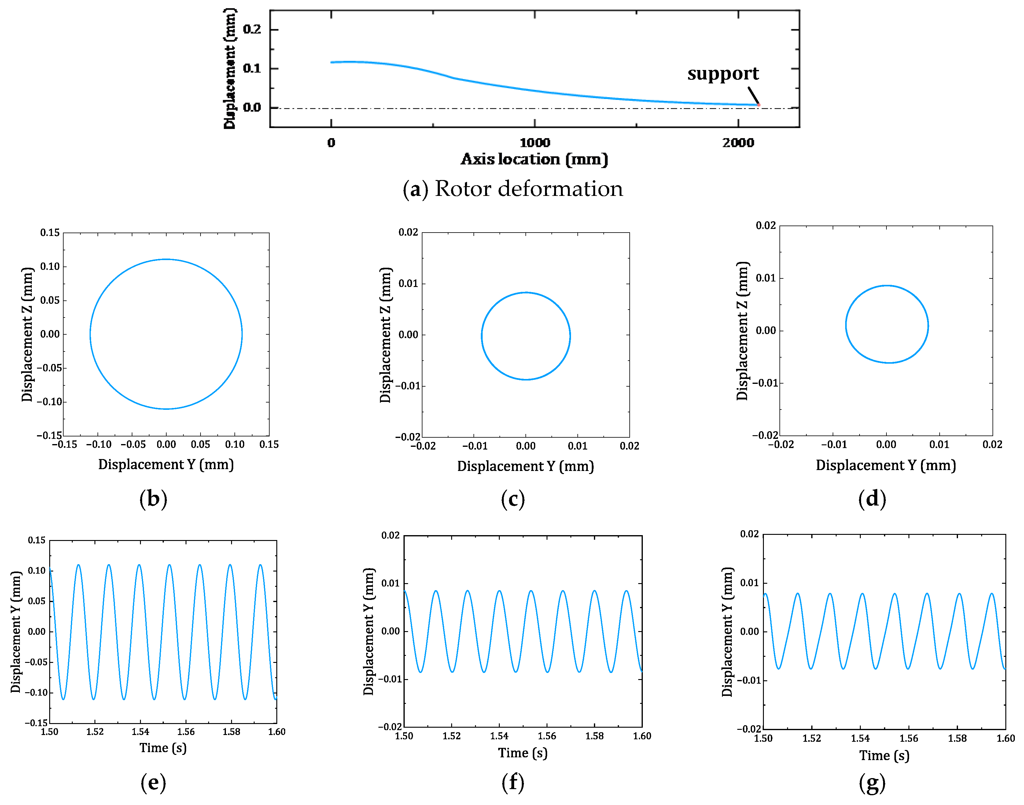
5.1. Dynamic Response at Different Rotational Speeds
5.2. The Influence of Angular Deflections
5.3. The Influence of Key Parameters
5.3.1. Bearing Clearance
- (1)
- In the low speed range (0~9000 rpm), the change of the clearance has minimal impact on the amplitudes of these frequency components because there is no relative displacement between the bearing and support and no loose support force generated by it.
- (2)
- When the rotational speed is high (9000~18,000 rpm), the amplitudes of the harmonic frequencies decrease as the clearance increases, which is attributed to the reduced influence of collision between the bearing and support on the dynamic response as the clearance increases, and the transmitted vibrational energy between the rotor and support also decreases consequently.
5.3.2. Misalignment
6. Experimental Verification
6.1. Experimental Plan
6.2. Analysis of Experimental Data
6.2.1. Dynamic Response at Different Rotational Speeds
6.2.2. The Influence of Key Parameters
7. Conclusions
- (1)
- In the model of support structure with bearing clearance, the loose support force between the bearing and support includes the radial contact force and the tangential friction force caused by relative movement, and the moments due to the relative angular deflections between the bearing and support because of the bending deformation of the rotor, and the accuracy of the model is validated by comparing it with the other models and the FEM results.
- (2)
- The dynamic response of the multi-supports rotor system with bearing clearance contains not only the rotational frequency caused by the unbalance of the rotor and the harmonic frequency due to the misalignment, but also the harmonic frequencies induced by the relative movement and collision between the bearing and support. Moreover, the harmonic frequency components in the dynamic response are more pronounced near the support with bearing clearance, and relative angular motion between the bearing and support is the critical factor contributing to the amplitudes of the harmonic frequencies.
- (3)
- Reducing the bearing clearance or increasing the misalignment both leads to a notable increase in the amplitudes of the harmonic frequency components in the dynamic response.
Author Contributions
Funding
Data Availability Statement
Conflicts of Interest
References
- Dai, Q.; Sun, B.; Chen, X.; Ma, Y. Collision Mechanism and Dynamic Response of Rotor System with Pedestal Looseness. In Proceedings of the Turbo Expo: Power for Land, Sea, and Air, Boston, MA, USA, 26–30 June 2023; American Society of Mechanical Engineers: New York, NY, USA, 2023; Volume 87066. [Google Scholar]
- Wang, N.; Jiang, D. Vibration response characteristics of a dual-rotor with unbalance-misalignment coupling faults: Theoretical analysis and experimental study. Mech. Mach. Theory 2018, 125, 207–219. [Google Scholar] [CrossRef]
- Liu, P.; Wang, L.; Ma, F.; Zheng, D.; Wu, J.; Li, Z. Influence of assembly clearance on vibration characteristics of angular contact ball bearings in the thermal environment. Tribol. Int. 2023, 181, 108317. [Google Scholar] [CrossRef]
- Jiang, M.; Wu, J.; Peng, X.; Li, X. Nonlinearity measure based assessment method for pedestal looseness of bearing-rotor systems. J. Sound Vib. 2017, 411, 232–246. [Google Scholar] [CrossRef]
- Yang, Y.; Ouyang, H.; Yang, Y.; Cao, D.; Wang, K. Vibration analysis of a dual-rotor-bearing-double casing system with pedestal looseness and multi-stage turbine blade-casing rub. Mech. Syst. Signal Process. 2020, 143, 106845. [Google Scholar] [CrossRef]
- Yang, Z.; Hong, J.; Wang, D.; Cheng, R.; Ma, Y. Vibration analysis of rotor systems with bearing clearance using a novel conformal contact model. Nonlinear Dyn. 2024, 112, 7951–7976. [Google Scholar] [CrossRef]
- Jiang, W.; Liu, K.; Yuan, X.; Cao, H.; Shi, J.; Qin, Q. Nonlinear dynamics of rotor-support-casing system with support looseness fault. Int. J. Mech. Sci. 2025, 300, 110482. [Google Scholar] [CrossRef]
- Den Hartog, J. Forced vibrations with combined Coulomb and viscous damping. J Trans. ASME 1931, 53, 107–115. [Google Scholar]
- Li, G.X.; Paidoussis, M.P. Impact phenomena of rotor-casing dynamical systems. Nonlinear Dyn. 1994, 5, 53–70. [Google Scholar] [CrossRef]
- Ishida, Y.; Inagaki, M.; Ejima, R.; Hayashi, A. Nonlinear resonances and self-excited oscillations of a rotor caused by radial clearance and collision. Nonlinear Dyn. 2009, 57, 593–605. [Google Scholar] [CrossRef]
- Hong, J.; Dai, Q.; Yang, Z.; Tian, J.; Sun, B.; Wang, Y.; Song, Z.; Ma, Y. Combination resonance of dual rotor systems with pedestal looseness using a modified model. Int. J. Non-Linear Mech. 2025, 175, 105101. [Google Scholar] [CrossRef]
- Flores, P.; Ambrósio, J.; Claro, J.C.P. Kinematics and Dynamics of Multibody Systems with Imperfect Joints: Models and Case Studies; Springer Science & Business Media: Berlin/Heidelberg, Germany, 2008. [Google Scholar]
- Lankarani, H.M.; Nikravesh, P.E. A contact force model with hysteresis damping for impact analysis of multibody systems. In Proceedings of the International Design Engineering Technical Conferences and Computers and Information in Engineering Conference, Montreal, QC, Canada, 17–21 September 1989; American Society of Mechanical Engineers: New York, NY, USA, 1989; Volume 3691, pp. 45–51. [Google Scholar]
- Tian, Q.; Flores, P.; Lankarani, H.M. A comprehensive survey of the analytical, numerical and experimental methodologies for dynamics of multibody mechanical systems with clearance or imperfect joints. Mech. Mach. Theory 2018, 122, 1–57. [Google Scholar] [CrossRef]
- Mao, Y.; Wang, L.; Zhang, C. Influence of ring deformation on the dynamic characteristics of a roller bearing in clearance fit with housing. Int. J. Mech. Sci. 2018, 138, 122–130. [Google Scholar] [CrossRef]
- Zhou, W.; Zhao, Y.; Yuan, H.; Liu, J.; Wang, X. Research on the contact pressure calculation method for the misaligned elastomeric journal bearing. J. Mar. Sci. Eng. 2022, 10, 141. [Google Scholar] [CrossRef]
- Isaac, F.; Marques, F.; Dourado, N.; Flores, P. Recent developments on cylindrical contact force models with realistic properties. In New Trends in Mechanism and Machine Science: Theory and Industrial Applications; Springer: Berlin/Heidelberg, Germany, 2017; pp. 211–219. [Google Scholar]
- Xu, H.; Ma, H.; Wen, B.; Yang, Y.; Li, X.; Luo, Z.; Han, Q.; Wen, B. Dynamic characteristics of spindle-bearing with tilted pedestal and clearance fit. Int. J. Mech. Sci. 2024, 261, 108683. [Google Scholar] [CrossRef]
- Ouyang, W.; Liu, Q.; Cheng, Q.; Wan, G.; Jin, Y. Identification of distributed dynamic characteristics of journal bearing with large aspect ratio under shaft bending. J. Mar. Sci. Eng. 2022, 10, 658. [Google Scholar] [CrossRef]
- Li, M. Nonlinear vibration of a multirotor system connected by a flexible coupling subjected to the holonomic constraint of dynamic angular misalignment. Math. Probl. Eng. 2012, 2012, 243758. [Google Scholar] [CrossRef]
- Vulovic, M.; Prvulovic, S.; Tolmac, J. Dynamic Balancing and Vibration Analysis of Rotor Turbines: Methodologies and Applications in Predictive Maintenance. Symmetry 2025, 17, 743. [Google Scholar] [CrossRef]
- Anderson, J.R.; Ferri, A.A. Behavior of a single-degree-of-freedom system with a generalized friction law. J. Sound Vib. 1990, 140, 287–304. [Google Scholar] [CrossRef]
- Armstrong-Helouvry, B. Control of Machines with Friction; Springer Science & Business Media: Berlin/Heidelberg, Germany, 1991. [Google Scholar]
- De Wit, C.C.; Tsiotras, P. Dynamic tire friction models for vehicle traction control. In Proceedings of the 38th IEEE Conference on Decision and Control (Cat. no. 99CH36304), Phoenix, AZ, USA, 7–10 December 1999; IEEE: New York, NY, USA, 1999; Volume 4, pp. 3746–3751. [Google Scholar]
- De Jalon, J.G.; Bayo, E. Kinematic and Dynamic Simulation of Multibody Systems: The Real-Time Challenge; Springer Science & Business Media: Berlin/Heidelberg, Germany, 2012. [Google Scholar]
- Won, H.I.; Chung, J. Numerical analysis for the stick-slip vibration of a transversely moving beam in contact with a frictional wall. J. Sound Vib. 2018, 419, 42–62. [Google Scholar] [CrossRef]
- Awrejcewicz, J.; Supeł, B.; Lamarque, C.H. Numerical and experimental study of regular and chaotic motion of triple physical pendulum. Int. J. Bifurc. Chaos 2008, 18, 2883–2915. [Google Scholar] [CrossRef]
- Ciavarella, M.; Decuzzi, P. The state of stress induced by the plane frictionless cylindrical contact. I. The case of elastic similarity. Int. J. Solids Struct. 2001, 38, 4507–4523. [Google Scholar] [CrossRef]
- Ciavarella, M.; Decuzzi, P. The state of stress induced by the plane frictionless cylindrical contact. II. The general case (elastic dissimilarity). Int. J. Solids Struct. 2001, 38, 4525–4533. [Google Scholar] [CrossRef]
- Johnson, K.L. Contact Mechanics; Cambridge University Press: Cambridge, UK, 1987. [Google Scholar]
- Pereira, C.; Ramalho, A.; Ambrosio, J. An enhanced cylindrical contact force model. Multibody Syst. Dyn. 2015, 35, 277–298. [Google Scholar] [CrossRef]
- Wang, C.; Ma, Y.; Zhang, D.; Hong, J. Interval analysis on aero-engine rotor system with misalignment. In Proceedings of the Turbo Expo: Power for Land, Sea, and Air, Montreal, QC, Canada, 15–19 June 2015; American Society of Mechanical Engineers: New York, NY, USA, 2015; Volume 56765. [Google Scholar]
- Li, J.H.; Ma, Y.H.; Hong, J. Dynamic design method of spline joint structure for rotor system. Aeroengine 2009, 35, 36–39. (In Chinese) [Google Scholar]
- Liu, Y.Z.; Chen, L.Q. Nonlinear Vibration; Higher Education Press: Beijing, China, 2001. (In Chinese) [Google Scholar]
- Liu, Y.; Xiao, S.; Hong, J.; Ma, Y.H. Excitation characteristic and dynamic response of misalignment of flexible rotor system with three supportings. Acta Aeronaut. Astronaut. Sin. 2017, 38, 220470. (In Chinese) [Google Scholar]
- Song, Z.; Hong, J.; Yang, Z.; Cao, Y.; Ma, Y. Dynamical analysis of propeller rotors whirl flutter considering complex blade geometries and induced velocities. Mech. Syst. Signal Process. 2025, 230, 112621. [Google Scholar] [CrossRef]
- Cavallaro, S.P.; Venturini, S.; Bonisoli, E. Nonlinear dynamics of a horizontal rotor with asymmetric magnetic supports. Int. J. Non-Linear Mech. 2024, 165, 104764. [Google Scholar] [CrossRef]
- Pasi, D.K.; Tiwari, A.; Chouksey, M. Rotor dynamics: Modelling and analysis—A review. J. Inst. Eng. India Ser. C 2025, 106, 463–476. [Google Scholar] [CrossRef]
- Zhang, B.; Chen, X.; Xiang, F.; Ren, G.; Gan, X. Dynamic Characteristics and Periodic Stability Analysis of Rotor System with Squeeze Film Damper Under Base Motions. Appl. Sci. 2025, 15, 1186. [Google Scholar] [CrossRef]
- Herisanu, N.; Marinca, V. An efficient analytical approach to investigate the dynamics of a misaligned multirotor system. Mathematics 2020, 8, 1083. [Google Scholar] [CrossRef]
- Marinca, V.; Herisanu, N. Approximate Analytical Solutions to Nonlinear Oscillations of Horizontally Supported Jeffcott Rotor. Energies 2022, 15, 1122. [Google Scholar] [CrossRef]
































| Description | Value | Description | Value |
|---|---|---|---|
| radius of the bearing (mm) | 100 | radius of the support (mm) | 110 |
| thickness of the bearing (mm) | 10 | thickness of the support (mm) | 10 |
| (GPa) | 204 | (GPa) | 204 |
| 0.3 | 0.3 | ||
| (mm) | 30 | (mm) | 0.05 |
| 0.01 mm | 0.02 mm | 0.03 mm | 0.04 mm | 0.05 mm | |
|---|---|---|---|---|---|
| Model proposed in this paper | 12.01% | 0.79% | 4.37% | 5.59% | 5.69% |
| Johnson model | 28.70% | 1.18% | - | - | - |
| Pereira model | 30.60% | 29.74% | 27.59% | 25.59% | 23.72% |
| 0.01 mm | 0.02 mm | 0.03 mm | 0.04 mm | 0.05 mm | |
|---|---|---|---|---|---|
| 0.5′ | 10.96% | 4.11% | 0.60% | 1.14% | 1.76% |
| 1′ | 2.34% | 2.87% | 2.02% | 1.37% | 10.51% |
| 2′ | 9.26% | 2.94% | 0.70% | 2.71% | 4.92% |
| Description | Value | Description | Value |
|---|---|---|---|
| mass of disk (kg) | 150,120 | unbalance of disk (g × mm) | 2000,2000 |
| spindle moment of inertia of disk (kg × m2) | 10,5.5 | diameter moment of inertia of disk (kg × m2) | 8,3 |
| length of shaft (mm) | 300,300, 1400,100 | density of shaft material (kg/m3) | 4680,4680, 8240,8240 |
| outer diameter of shaft (mm) | 120,140,120,140 | elastic modulus of shaft material (GPa) | 112,112, 204,204 |
| inner diameter of shaft (mm) | 80,60,100,100 | Poisson ratio of shaft material | 0.3,0.3,0.3,0.3 |
| stiffness of 1#, 2#, and 3# bearings (×107 N/m) | 1.5,3,1.5 | damping of 1#, 2#, and 3# bearings (×103 N/(m/s)) | 1.5,2,1.5 |
| mass of 3# bearing (kg) | 10 | mass of 3# support (kg) | 100 |
| elastic moduli of the 3# bearing (GPa) | 204 | Poisson’s ratio of the 3# bearing | 0.3 |
| elastic moduli of the 3# support (GPa) | 204 | Poisson’s ratio of the 3# support | 0.3 |
| width of the bearing outer ring (mm) | 30 | collision factor (s/N) | 100 |
| bearing clearance (mm) | 0.05 | coefficient of friction | 0.3 |
| pretension force of 3# bearing (N) | 5000 | misalignment of 3# bearing (mm) | 1.0 |
| Description | Value | Description | Value |
|---|---|---|---|
| (kg) | 9,8 | (g × mm) | 500,500 |
| spindle moment of inertia of disk (kg × m2) | 0.055,0.036 | diameter moment of inertia of disk (kg × m2) | 0.028,0.019 |
| distance between bearings (mm) | 200,850 | support stiffness of 1#,2#,3# bearings (×106 N/m) | 4,4,2 |
| mass of 3# bearing (kg) | 0.5 | mass of 3# frame (kg) | 15 |
| width of the bearing outer ring (mm) | 30 | bearing clearance (mm) | 0.05 |
| pretension force of 3# bearing (N) | 10,000 | misalignment of 3# bearing (mm) | 2 |
Disclaimer/Publisher’s Note: The statements, opinions and data contained in all publications are solely those of the individual author(s) and contributor(s) and not of MDPI and/or the editor(s). MDPI and/or the editor(s) disclaim responsibility for any injury to people or property resulting from any ideas, methods, instructions or products referred to in the content. |
© 2025 by the authors. Licensee MDPI, Basel, Switzerland. This article is an open access article distributed under the terms and conditions of the Creative Commons Attribution (CC BY) license (https://creativecommons.org/licenses/by/4.0/).
Share and Cite
Dai, Q.; Yang, Z.; Wang, C.; Ma, Y.; Wang, Y.; Song, Z.; Hong, J. Dynamics Study of Multi-Supports Rotor Systems with Bearing Clearance Considering Angular Deflections. Actuators 2025, 14, 422. https://doi.org/10.3390/act14090422
Dai Q, Yang Z, Wang C, Ma Y, Wang Y, Song Z, Hong J. Dynamics Study of Multi-Supports Rotor Systems with Bearing Clearance Considering Angular Deflections. Actuators. 2025; 14(9):422. https://doi.org/10.3390/act14090422
Chicago/Turabian StyleDai, Qiyao, Zhefu Yang, Cun Wang, Yanhong Ma, Yongfeng Wang, Zhihong Song, and Jie Hong. 2025. "Dynamics Study of Multi-Supports Rotor Systems with Bearing Clearance Considering Angular Deflections" Actuators 14, no. 9: 422. https://doi.org/10.3390/act14090422
APA StyleDai, Q., Yang, Z., Wang, C., Ma, Y., Wang, Y., Song, Z., & Hong, J. (2025). Dynamics Study of Multi-Supports Rotor Systems with Bearing Clearance Considering Angular Deflections. Actuators, 14(9), 422. https://doi.org/10.3390/act14090422

