Improving Low-Frequency Vibration Energy Harvesting of a Piezoelectric Cantilever with Quasi-Zero Stiffness Structure: Theory and Experiment
Abstract
1. Introduction
2. Dynamic Modeling
2.1. Model Description
2.2. Coupled Electromechanical Equation via Hamilton’s Principle
2.3. Galerkin Method
2.4. The Influence of Installation Error
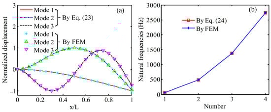
3. Validation
4. Parametric Case Study
4.1. Influence of QZS Structure on Natural Frequency
4.2. Influence of QZS Structure on Energy Harvesting
5. Experimental Validation Study
6. Conclusions
Author Contributions
Funding
Data Availability Statement
Acknowledgments
Conflicts of Interest
References
- Sadaf, A.L.; Ahmed, R.; Ahmed, H. Cantilever configurations in vibration-based piezoelectric energy harvesting: A comprehensive review on beam shapes and multi-beam formations. Smart Mater. Struct. 2024, 33, 123001. [Google Scholar] [CrossRef]
- He, L.; He, T.; Gu, B.; Li, Y. Analysis of vibration energy harvesting performance of thermo-electro-elastic microscale devices based on generalized thermoelasticity. Actuators 2024, 13, 533. [Google Scholar] [CrossRef]
- Zou, D.; Liu, G.; Rao, Z.; Tan, T.; Zhang, W.; Liao, W.H. Design of a multi-stable piezoelectric energy harvester with programmable equilibrium point configurations. Appl. Energy 2021, 302, 117585. [Google Scholar] [CrossRef]
- Zou, D.; Liu, G.; Rao, Z.; Tan, T.; Zhang, W.; Liao, W.H. A device capable of customizing nonlinear forces for vibration energy harvesting, vibration isolation, and nonlinear energy sink. Mech. Syst. Signal Process. 2021, 147, 107101. [Google Scholar] [CrossRef]
- Halim, M.A.; Park, J.Y. Theoretical modeling and analysis of mechanical impact driven and frequency up-converted piezoelectric energy harvester for low-frequency and wide-bandwidth operation. Sens. Actuators A Phys. 2014, 208, 56–65. [Google Scholar] [CrossRef]
- Li, H.; Tian, C.; Deng, Z.D. Energy harvesting from low frequency applications using piezoelectric materials. Appl. Phys. Rev. 2014, 1, 041301. [Google Scholar] [CrossRef]
- Alamiana, R.; Shafaghata, R.; Hosseinia, S.S.; Zainali, A. Wave energy potential along the southern coast of the caspian sea. Int. J. Mar. Energy 2017, 19, 221–234. [Google Scholar] [CrossRef]
- Kaur, N.; Mahesh, D.; Singamsetty, S. An experimental study on piezoelectric energy harvesting from wind and ambient structural vibrations for wireless structural health monitoring. Adv. Struct. Eng. 2020, 23, 1010–1023. [Google Scholar] [CrossRef]
- Brennan, M.J.; Gatti, G. Harvesting energy from time-limited harmonic vibrations: Mechanical considerations. J. Vib. Acoust. 2017, 139, 051019. [Google Scholar] [CrossRef]
- Liu, T.; Zhao, C.Y.; Yang, Y.W.; Yuan, W.F. Nonlinear vibration of a loaded string in energy harvesting. Smart Mater. Struct. 2024, 33, 105027. [Google Scholar] [CrossRef]
- Wang, Z.X.; Kang, S.W.; Du, H.Z.; Feng, P.J.; Wang, W. A high-performance dual-mode energy harvesting with nonlinear pendulum and speed-amplified mechanisms for low-frequency applications. Energy 2024, 306, 132553. [Google Scholar] [CrossRef]
- Smilek, J.; Hadas, Z.; Vetiska, J.; Beeby, S. Rolling mass energy harvester for very low frequency of input vibrations. Mech. Syst. Signal Process. 2019, 125, 215–228. [Google Scholar] [CrossRef]
- Qian, Y.H.; Chen, Y.N. Research on multi-valued response and bursting oscillation of series multi-stable piezoelectric energy harvester. Eur. Phys. J. Plus 2022, 137, 588. [Google Scholar] [CrossRef]
- Fu, H.; Yeatman, E.M. Rotational energy harvesting using bi-stability and frequency up-conversion for low-power sensing applications: Theoretical modelling and experimental validation. Mech. Syst. Signal Process. 2019, 125, 229–244. [Google Scholar] [CrossRef]
- Dhakar, L.; Liu, H.; Tay, F.E.H.; Lee, C. A new energy harvester design for high power output at low frequencies. Sens. Actuators A Phys. 2013, 199, 344–352. [Google Scholar] [CrossRef]
- Peng, X.Z.; Tang, H.; Li, Z.J.; Liang, J.R.; Yu, L.D.; Hu, G.B. A Frequency Up-Conversion Piezoelectric Energy Harvester Shunted to a Synchronous Electric Charge Extraction Circuit. Micromachines 2024, 15, 842. [Google Scholar] [CrossRef]
- Fu, X.; Liao, W.H. Modeling and analysis of piezoelectric energy harvesting with dynamic plucking mechanism. J. Vib. Acoust. 2019, 141, 031002. [Google Scholar] [CrossRef]
- Fang, S.; Fu, X.; Liao, W.H. Asymmetric plucking bistable energy harvester: Modeling and experimental validation. J. Sound. Vib. 2019, 459, 114852. [Google Scholar] [CrossRef]
- Lee, D.; Carman, G.P.; Murphy, D.; Schulenburg, C. Novel micro vibration energy harvesting device using frequency up conversion. In Proceedings of the 14th International Conference on Solid-State Sensors, Actuators and Microsystems, Lyon, France, 10–14 June 2007. [Google Scholar]
- Renaud, M.; Fiorini, P.; van Schaijk, R.; van Hoof, C. Harvesting energy from the motion of human limbs: The design and analysis of an impact-based piezoelectric generator. Smart Mater. Struct. 2009, 18, 035001. [Google Scholar] [CrossRef]
- Gu, L.; Livermore, C. Impact-driven, frequency up-converting coupled vibration energy harvesting device for low frequency operation. Smart Mater. Struct. 2011, 20, 045004. [Google Scholar] [CrossRef]
- Zhang, J.; Qin, L. A tunable frequency up-conversion wideband piezoelectric vibration energy harvester for low-frequency variable environment using a novel impact- and rope-driven hybrid mechanism. Appl. Energy 2019, 240, 26–34. [Google Scholar] [CrossRef]
- Carrella, A.; Brennan, M.J.; Waters, T.P. Static analysis of a passive vibration isolator with quasi-zero-stiffness characteristic. J. Sound. Vib. 2007, 301, 678–689. [Google Scholar] [CrossRef]
- Sun, M.; Song, G.; Li, Y.; Huang, Z. Effect of negative stiffness mechanism in a vibration isolator with asymmetric and high-static-low-dynamic stiffness. Mech. Syst. Signal Process. 2019, 124, 388–407. [Google Scholar] [CrossRef]
- Liu, T.; Li, A.Q. Theoretical Design and Dynamic Analysis of a Quasi-Zero Stiffness Device Using Precompressed Springs as Negative Stiffness Component. J. Eng. Mech. 2024, 150, 04023116. [Google Scholar] [CrossRef]
- Trinh, V.C.; Vo, N.Y.P.; Luu, T.T.; Le, T.D. Development of an innovative quasi-zero stiffness oscillation model using pneumatic artificial muscle. Commun. Nonlinear Sci. Numer. Simul. 2024, 128, 107610. [Google Scholar] [CrossRef]
- Gatti, G. A nonlinear quasi-zero stiffness vibration isolator with quintic restoring force characteristic: A fundamental analytical insight. J. Vib. Control 2024, 30, 4185–4198. [Google Scholar] [CrossRef]
- Fulcher, B.A.; Shahan, D.W.; Haberman, M.R.; Seepersad, C.C.; Wilson, P.S. Analytical and Experimental Investigation of Buckled Beams as Negative Stiffness Elements for Passive Vibration and Shock Isolation Systems. J. Vib. Acoust. 2014, 136, 031009. [Google Scholar] [CrossRef]
- Guo, S.; Liu, S.T.; Gao, R.J. A bidirectional quasi-zero stiffness metamaterial for impact attenuation. Int. J. Mech. Sci. 2024, 268, 108998. [Google Scholar] [CrossRef]
- Sun, X.; Wang, F.; Xu, J. Nonlinear piezoelectric structure for ultralow-frequency band vibration energy harvesting with magnetic interaction. Int. J. Precis. Eng. Manuf. Green Technol. 2019, 6, 671–679. [Google Scholar] [CrossRef]
- Abdelkareem, M.A.A.; Jing, X.J.; Eldaly, A.B.M.; Choy, Y. 3-DOF X-structured piezoelectric harvesters for multidirectional low-frequency vibration energy harvesting. Mech. Syst. Signal Process. 2023, 200, 110616. [Google Scholar] [CrossRef]
- Zhang, Y.; Wang, X.; Du, Q.Z.; Wang, T.; Fu, G.Q.; Lu, C.J. Design of a lightweight quasi-zero stiffness electromagnetic energy harvester for low-frequency vibration. J. Vib. Eng. Technol. 2024, 12, 1979–1989. [Google Scholar] [CrossRef]
- Xu, L.; Xiang, Z.H. Compliant quasi-zero stiffness device for vibration energy harvesting and isolation. Sens. Actuators A Phys. 2022, 347, 113964. [Google Scholar] [CrossRef]
- Wang, K.; Zhou, J.X.; Ouyang, H.J.; Chang, Y.P.; Xu, D.L. A dual quasi-zero-stiffness sliding-mode triboelectric nanogenerator for harvesting ultralow-low frequency vibration energy. Mech. Syst. Signal Process. 2021, 151, 107368. [Google Scholar] [CrossRef]
- Margielewicz, J.; Gąska, D.; Litak, G.; Wolszczak, P.; Yurchenko, D. Nonlinear dynamics of a new energy harvesting system with quasi-zero stiffness. Appl. Energy 2022, 307, 118159. [Google Scholar] [CrossRef]
- Liu, C.; Zhao, R.; Yu, K.; Lee, H.P.; Liao, B. Simultaneous energy harvesting and vibration isolation via quasi-zero-stiffness support and radially distributed piezoelectric cantilever beams. Appl. Math. Model. 2021, 100, 152–169. [Google Scholar] [CrossRef]
- Zou, D.; Rao, Z.; Ta, N. Coupled longitudinal-transverse dynamics of a marine propulsion shafting under superharmonic resonances. J. Sound. Vib. 2015, 346, 248–264. [Google Scholar] [CrossRef]
- Erturk, A.; Inman, D.J. An experimentally validated bimorph cantilever model for piezoelectric energy harvesting from base excitations. Smart Mater. Struct. 2009, 18, 025009. [Google Scholar] [CrossRef]
- Erturk, A.; Inman, D.J. Piezoelectric Energy Harvesting; John Wiley & Sons: Chichester, UK, 2011. [Google Scholar]
- Priya, S.; Inman, D.J. Energy Harvesting Technologies; Springer: Boston, MA, USA, 2009. [Google Scholar]
- Ewins, D.J. Modal Testing: Theory and Practice; Research Studies Press: London, UK, 1984. [Google Scholar]













| Property | Value | |
|---|---|---|
| Piezoceramic | Substructure | |
| Length, (mm) | 56 | 56 |
| Width, (mm) | 32 | 32 |
| (mm) | 0.21 (each) | 0.2 |
| (GPa) | 56 | 112 |
| (kg/m3) | 7500 | 8780 |
| (pm/V) | −186 | —— |
| (F/m) | —— | |
| Property | Value |
|---|---|
| Radius of the cylinder cam, (mm) | 5 |
| Radius of the rolling bearing, (mm) | 2 |
| Pre-compression amount, (mm) | 7 |
| Mass of the cylinder cam, (g) | 0.75 |
| Stiffness of horizontal spring, (N/m) | 0~280 |
| k = 0 | k = 0.45 | Relative Change | |
|---|---|---|---|
| Resonance frequency (Hz) | 76.9 | 31.6 | Decrease by 45.3 Hz |
| Peak voltage output (V/g) | 7.63 | 30.67 | Increase by 301% |
| Peak power output (mW/g2) | 1.167 | 18.80 | Increase by 1511% |
| Without QZS | With QZS | Relative Change | |
|---|---|---|---|
| Resonance frequency (Hz) | 76.4 | 54.1 | Decrease by 22.3 Hz |
| Peak voltage output (V/g) | 8.47 | 9.87 | Increase by 16.5% |
| Peak power output (mW/g2) | 1.43 | 1.95 | Increase by 36.4% |
Disclaimer/Publisher’s Note: The statements, opinions and data contained in all publications are solely those of the individual author(s) and contributor(s) and not of MDPI and/or the editor(s). MDPI and/or the editor(s) disclaim responsibility for any injury to people or property resulting from any ideas, methods, instructions or products referred to in the content. |
© 2025 by the authors. Licensee MDPI, Basel, Switzerland. This article is an open access article distributed under the terms and conditions of the Creative Commons Attribution (CC BY) license (https://creativecommons.org/licenses/by/4.0/).
Share and Cite
Hua, C.; Zou, D.; Cao, G. Improving Low-Frequency Vibration Energy Harvesting of a Piezoelectric Cantilever with Quasi-Zero Stiffness Structure: Theory and Experiment. Actuators 2025, 14, 93. https://doi.org/10.3390/act14020093
Hua C, Zou D, Cao G. Improving Low-Frequency Vibration Energy Harvesting of a Piezoelectric Cantilever with Quasi-Zero Stiffness Structure: Theory and Experiment. Actuators. 2025; 14(2):93. https://doi.org/10.3390/act14020093
Chicago/Turabian StyleHua, Chunli, Donglin Zou, and Guohua Cao. 2025. "Improving Low-Frequency Vibration Energy Harvesting of a Piezoelectric Cantilever with Quasi-Zero Stiffness Structure: Theory and Experiment" Actuators 14, no. 2: 93. https://doi.org/10.3390/act14020093
APA StyleHua, C., Zou, D., & Cao, G. (2025). Improving Low-Frequency Vibration Energy Harvesting of a Piezoelectric Cantilever with Quasi-Zero Stiffness Structure: Theory and Experiment. Actuators, 14(2), 93. https://doi.org/10.3390/act14020093

