Practical Prescribed-Time Trajectory Tracking Consensus for Nonlinear Heterogeneous Multi-Agent Systems via an Event-Triggered Mechanism
Abstract
1. Introduction
2. Problem Formulation and Preliminary
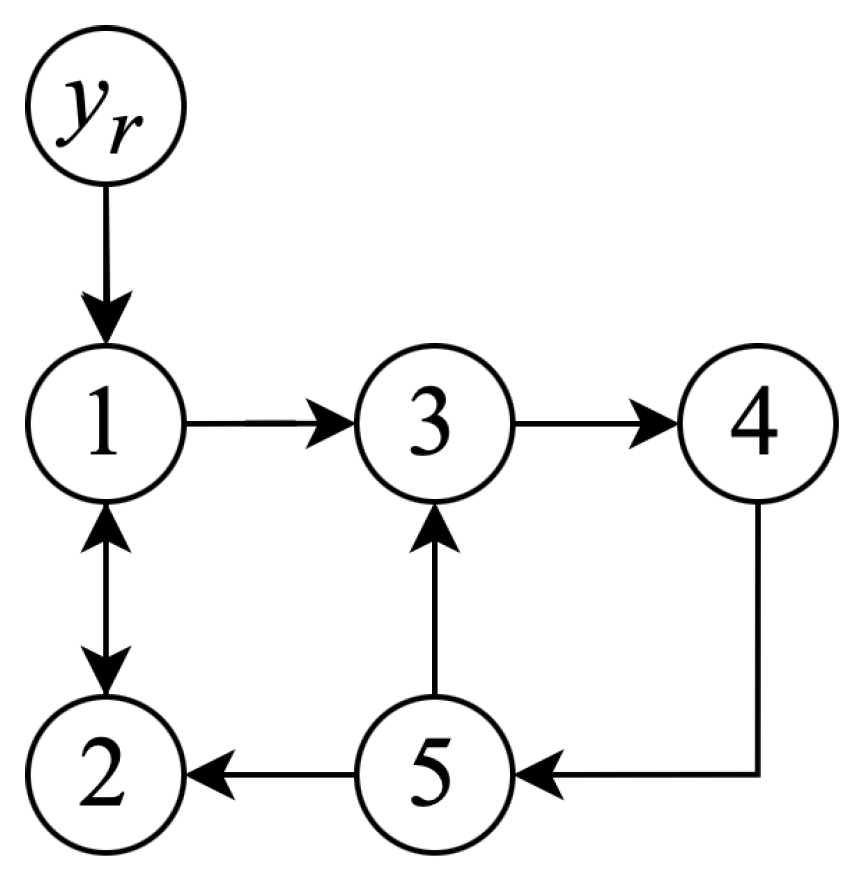
2.1. Signed Graph Theory
2.2. Problem Formulation
2.3. The Preliminary
3. Controller Design and Stability Analysis
3.1. Event-Triggered Controller Design
| Algorithm 1: Control algorithm of the agent i |
|
3.2. Theoretical Analysis
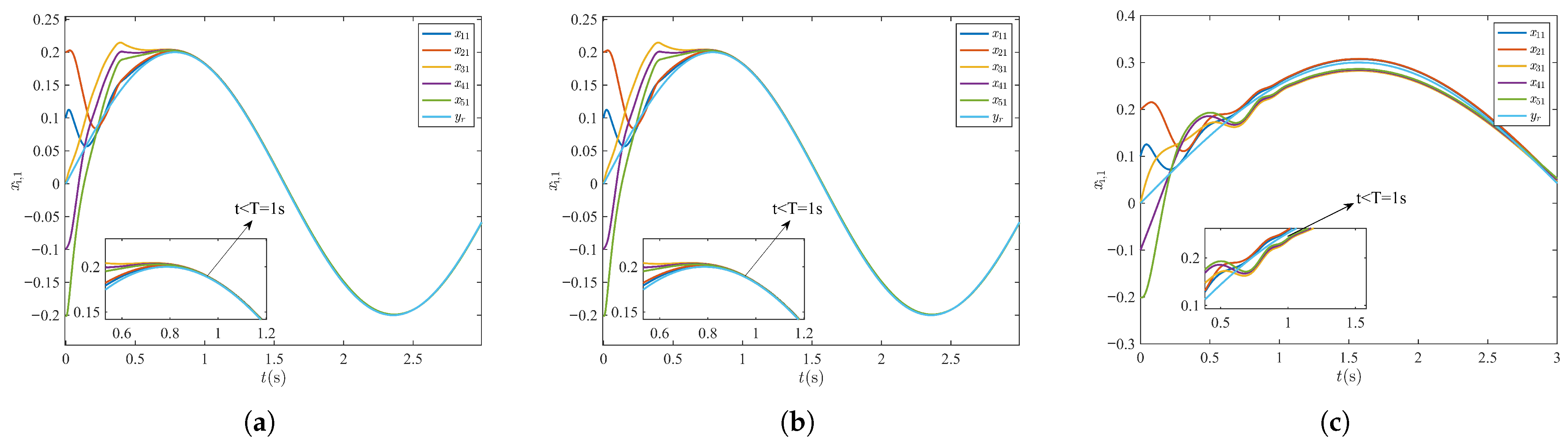
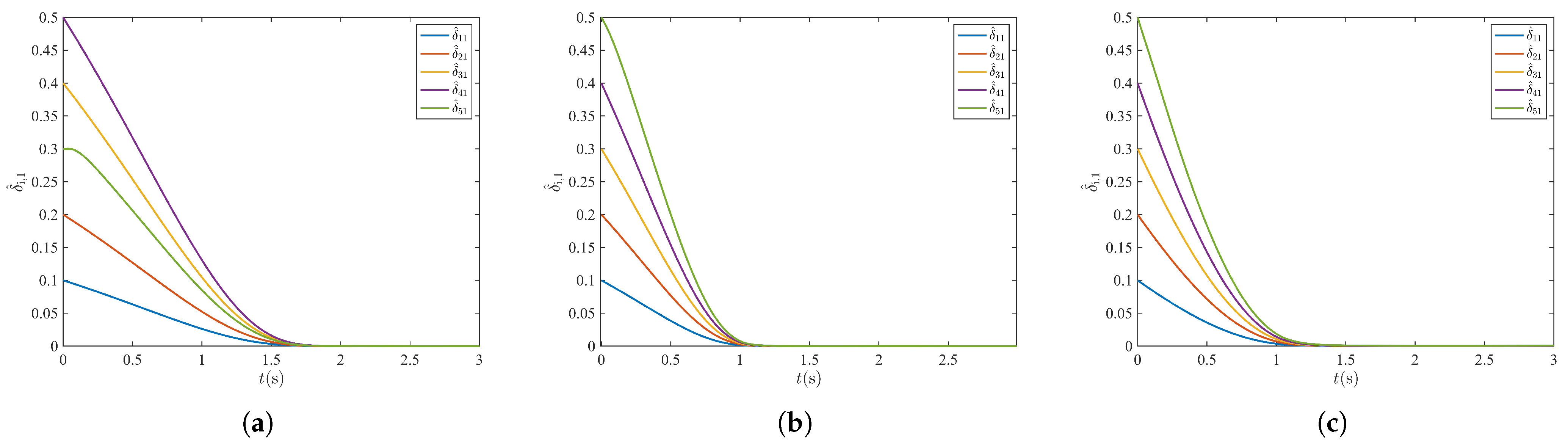
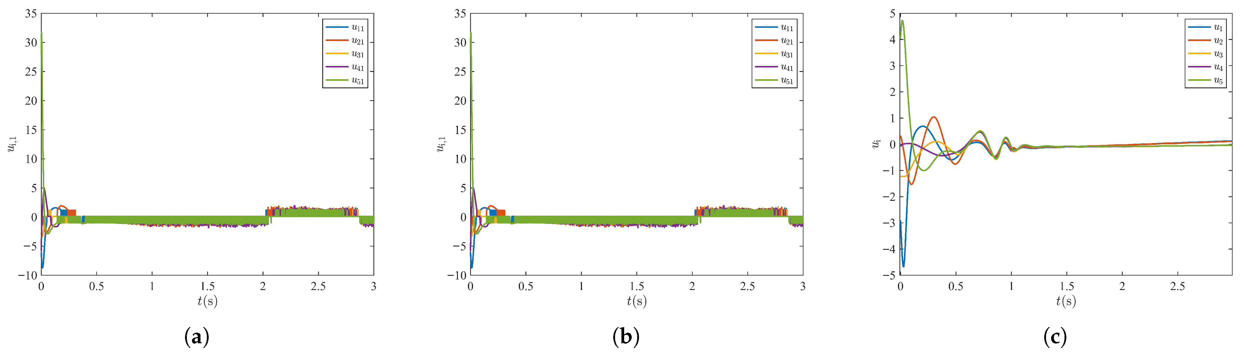
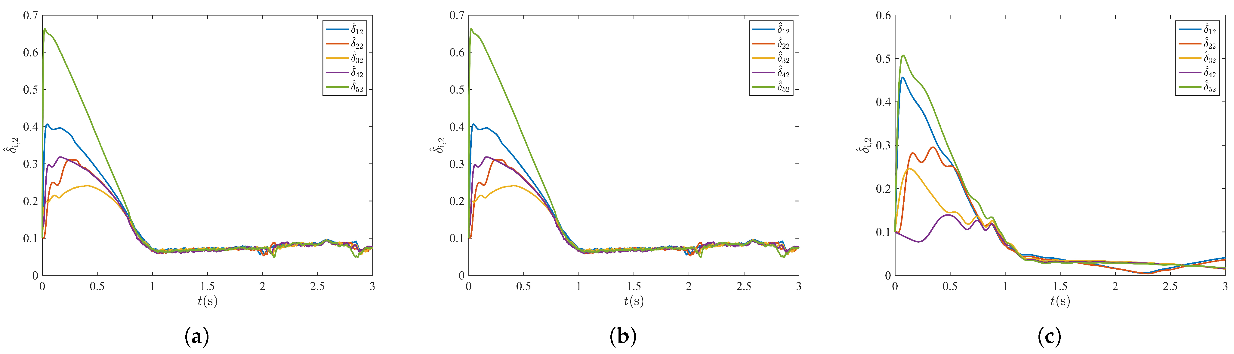
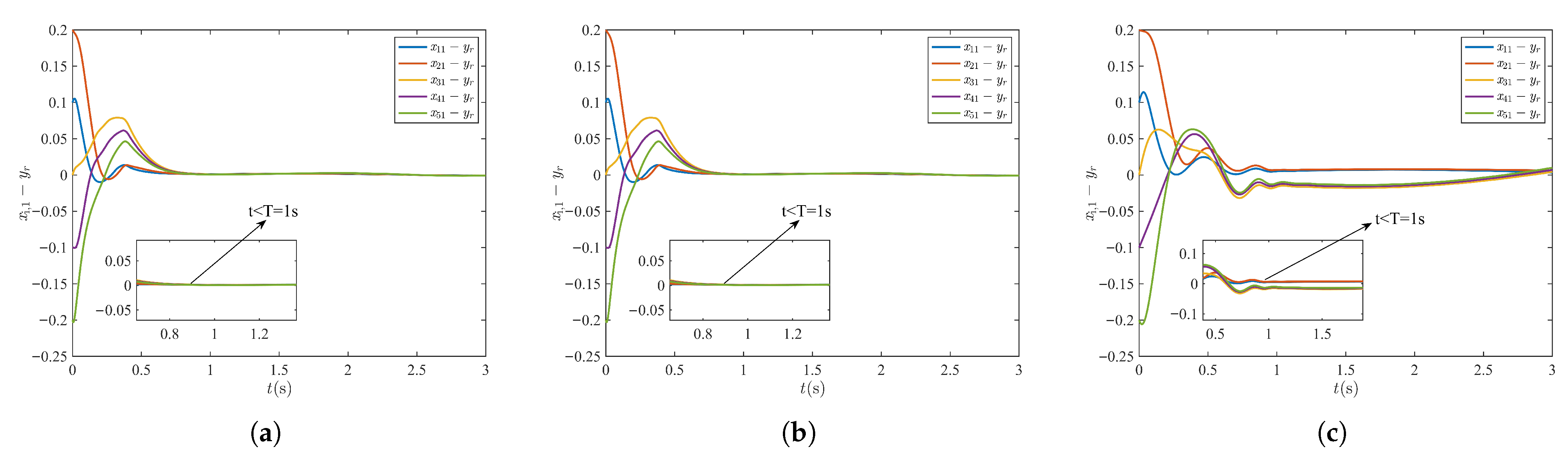
4. Illustrative Results
5. Conclusions
Author Contributions
Funding
Data Availability Statement
Conflicts of Interest
Abbreviations
| MASs | Multi-agent systems |
References
- Bai, X.; Yan, W.; Ge, S.S. Efficient task assignment for multiple vehicles with partially unreachable target locations. IEEE Internet Things J. 2020, 8, 3730–3742. [Google Scholar] [CrossRef]
- Bai, X.; Cao, M.; Yan, W.; Ge, S.S.; Zhang, X. Efficient heuristic algorithms for single-vehicle task planning with precedence constraints. IEEE Trans. Cybern. 2020, 51, 6274–6283. [Google Scholar] [CrossRef] [PubMed]
- Wang, W.; Wen, C.; Huang, J. Distributed adaptive asymptotically consensus tracking control of nonlinear multi-agent systems with unknown parameters and uncertain disturbances. Automatica 2017, 77, 133–142. [Google Scholar] [CrossRef]
- Wang, X.; Li, S.; Yu, X.; Yang, J. Distributed active anti-disturbance consensus for leader-follower higher-order multi-agent systems with mismatched disturbances. IEEE Trans. Autom. Control 2016, 62, 5795–5801. [Google Scholar] [CrossRef]
- Cai, Y.; Zhang, H.; Liu, Y.; He, Q. Distributed bipartite finite-time event-triggered output consensus for heterogeneous linear multi-agent systems under directed signed communication topology. Appl. Math. Comput. 2020, 378, 125162. [Google Scholar] [CrossRef]
- Du, H.; Wen, G.; Wu, D.; Cheng, Y.; Lü, J. Distributed fixed-time consensus for nonlinear heterogeneous multi-agent systems. Automatica 2020, 113, 108797. [Google Scholar] [CrossRef]
- Liu, Y.; Chi, R.; Li, H.; Wang, L.; Lin, N. HiTL-based adaptive fuzzy tracking control of MASs: A distributed fixed-time strategy. Sci. China Technol. Sci. 2023, 66, 2907–2916. [Google Scholar] [CrossRef]
- Gao, Y.; Zhou, W.; Niu, B.; Kao, Y.; Wang, H.; Sun, N. Distributed prescribed-time consensus tracking for heterogeneous nonlinear multi-agent systems under deception attacks and actuator faults. IEEE Trans. Autom. Sci. Eng. 2023, 21, 6920–6929. [Google Scholar] [CrossRef]
- Ke, J.; Zeng, J.; Duan, Z. Observer-based prescribed-time consensus control for heterogeneous multi-agent systems under directed graphs. Int. J. Robust Nonlinear Control 2023, 33, 872–898. [Google Scholar] [CrossRef]
- Ning, B.; Han, Q.-L.; Zuo, Z.; Ding, L.; Lu, Q.; Ge, X. Fixed-time and prescribed-time consensus control of multiagent systems and its applications: A survey of recent trends and methodologies. IEEE Trans. Ind. Inform. 2022, 19, 1121–1135. [Google Scholar] [CrossRef]
- Yong, C.; Guangming, X.; Huiyang, L. Reaching consensus at a preset time: Single-integrator dynamics case. In Proceedings of the 31st Chinese Control Conference, Hefei, China, 25–27 July 2012; pp. 6220–6225. [Google Scholar]
- Pal, A.K.; Kamal, S.; Yu, X.; Nagar, S.K.; Xiong, X. Free-will arbitrary time consensus for multiagent systems. IEEE Trans. Cybern. 2020, 52, 4636–4646. [Google Scholar] [CrossRef] [PubMed]
- Ning, B.; Han, Q.-L.; Zuo, Z. Practical fixed-time consensus for integrator-type multi-agent systems: A time base generator approach. Automatica 2019, 105, 406–414. [Google Scholar] [CrossRef]
- Li, Y.; Cai, H.; Zhu, L.; Huang, Y.; Zhang, Z.; Guo, Y. Practical Prescribed-Time Consensus Tracking Control for Nonlinear Heterogeneous MASs with Bounded Time-Varying Gain under Mismatching and Non-Vanishing Uncertainties. IEEE Access 2025, 13, 28557–28573. [Google Scholar] [CrossRef]
- Dimarogonas, D.V.; Frazzoli, E.; Johansson, K.H. Distributed event-triggered control for multi-agent systems. IEEE Trans. Autom. Control 2011, 57, 1291–1297. [Google Scholar] [CrossRef]
- Ji, L.; Lv, D.; Yang, S.; Guo, X.; Li, H. Finite time consensus control for nonlinear heterogeneous multi-agent systems with disturbances. Nonlinear Dyn. 2022, 108, 2323–2336. [Google Scholar] [CrossRef]
- Zhou, H.; Sui, S.; Tong, S. Fuzzy adaptive finite-time consensus control for high-order nonlinear multiagent systems based on event-triggered. IEEE Trans. Fuzzy Syst. 2022, 30, 4891–4904. [Google Scholar] [CrossRef]
- Yao, Y.; Luo, Y.; Cao, J. Finite-time guarantee-cost H∞ consensus control of second-order multi-agent systems based on sampled-data event-triggered mechanisms. Neural Netw. 2024, 174, 106261. [Google Scholar] [CrossRef]
- Ni, J.; Duan, F.; Shi, P. Fixed-time consensus tracking of multiagent system under DOS attack with event-triggered mechanism. IEEE Trans. Circuits Syst. I Regul. Pap. 2022, 69, 5286–5299. [Google Scholar] [CrossRef]
- Liu, J.; Zhang, Y.; Sun, C.; Yu, Y. Fixed-time consensus of multi-agent systems with input delay and uncertain disturbances via event-triggered control. Inf. Sci. 2019, 480, 261–272. [Google Scholar] [CrossRef]
- Ni, J.; Shi, P.; Zhao, Y.; Pan, Q.; Wang, S. Fixed-time event-triggered output consensus tracking of high-order multiagent systems under directed interaction graphs. IEEE Trans. Cybern. 2020, 52, 6391–6405. [Google Scholar] [CrossRef]
- Zheng, X.; Ma, H.; Zhou, Q.; Li, H. Neural-based prescribed-time consensus control for multiagent systems via dynamic memory event-triggered mechanism. Sci. China Technol. Sci. 2025, 68, 1320402. [Google Scholar] [CrossRef]
- Wang, S.; Wang, Y. Prescribed-time leader-following control of second-order multi-agent systems under event-triggered mechanism. In Proceedings of the 2021 China Automation Congress (CAC), Beijing, China, 22–24 October 2021; pp. 4205–4210. [Google Scholar]
- Li, H.; Jia, X.; Chi, X.; Li, B. Fully Distributed Prescribed-Time Leader-Following Output Consensus of Heterogeneous Multi-Agent Systems With Dynamic Event-Triggered Mechanism. IEEE Trans. Autom. Sci. Eng. 2024, 22, 8341–8350. [Google Scholar] [CrossRef]
- Zhang, H.; Lewis, F.L. Adaptive cooperative tracking control of higher-order nonlinear systems with unknown dynamics. Automatica 2012, 48, 1432–1439. [Google Scholar] [CrossRef]
- Wang, J.; Chen, W.; Ma, K.; Liu, Z.; Philip Chen, C.L. Adaptive neural event-triggered control for nonlinear uncertain system with input constraint based on auxiliary system. Int. J. Robust Nonlinear Control 2021, 31, 7528–7545. [Google Scholar] [CrossRef]
- Luo, D.; Wang, Y.; Song, Y. Practical prescribed time tracking control with bounded time-varying gain under non-vanishing uncertainties. IEEE/CAA J. Autom. Sin. 2024, 11, 219–230. [Google Scholar] [CrossRef]
- Dong, G.; Li, H.; Ma, H.; Lu, R. Finite-time consensus tracking neural network FTC of multi-agent systems. IEEE Trans. Neural Netw. Learn. Syst. 2020, 32, 653–662. [Google Scholar] [CrossRef]
- Yuan, X.; Chen, B.; Lin, C. Prescribed finite-time adaptive neural tracking control for nonlinear state-constrained systems: Barrier function approach. IEEE Trans. Neural Netw. Learn. Syst. 2021, 33, 7513–7522. [Google Scholar] [CrossRef]
- Bai, X.; Cao, M.; Yan, W. Event-and time-triggered dynamic task assignments for multiple vehicles. Auton. Robot. 2020, 44, 877–888. [Google Scholar] [CrossRef]
- Naeem, H.M.Y.; Bhatti, A.I.; Butt, Y.A.; Ahmed, Q.; Bai, X. Energy efficient solution for connected electric vehicle and battery health management using eco-driving under uncertain environmental conditions. IEEE Trans. Intell. Veh. 2024, 9, 4621–4631. [Google Scholar] [CrossRef]







Disclaimer/Publisher’s Note: The statements, opinions and data contained in all publications are solely those of the individual author(s) and contributor(s) and not of MDPI and/or the editor(s). MDPI and/or the editor(s) disclaim responsibility for any injury to people or property resulting from any ideas, methods, instructions or products referred to in the content. |
© 2025 by the authors. Licensee MDPI, Basel, Switzerland. This article is an open access article distributed under the terms and conditions of the Creative Commons Attribution (CC BY) license (https://creativecommons.org/licenses/by/4.0/).
Share and Cite
Cai, H.; Li, Y.; Yang, D.; Huang, Y.; Guo, Y. Practical Prescribed-Time Trajectory Tracking Consensus for Nonlinear Heterogeneous Multi-Agent Systems via an Event-Triggered Mechanism. Actuators 2025, 14, 574. https://doi.org/10.3390/act14120574
Cai H, Li Y, Yang D, Huang Y, Guo Y. Practical Prescribed-Time Trajectory Tracking Consensus for Nonlinear Heterogeneous Multi-Agent Systems via an Event-Triggered Mechanism. Actuators. 2025; 14(12):574. https://doi.org/10.3390/act14120574
Chicago/Turabian StyleCai, Hui, Yandong Li, Dan Yang, Yuyi Huang, and Yuan Guo. 2025. "Practical Prescribed-Time Trajectory Tracking Consensus for Nonlinear Heterogeneous Multi-Agent Systems via an Event-Triggered Mechanism" Actuators 14, no. 12: 574. https://doi.org/10.3390/act14120574
APA StyleCai, H., Li, Y., Yang, D., Huang, Y., & Guo, Y. (2025). Practical Prescribed-Time Trajectory Tracking Consensus for Nonlinear Heterogeneous Multi-Agent Systems via an Event-Triggered Mechanism. Actuators, 14(12), 574. https://doi.org/10.3390/act14120574

