Next Article in Journal
A Bilevel Optimization Framework for Adversarial Control of Gas Pipeline Operations
Previous Article in Journal
Optimal Design of Actuators for Small Electric Vessels
 
 
Font Type:
Arial Georgia Verdana
Font Size:
Aa Aa Aa
Line Spacing:
Column Width:
Background:
Article

Model Order Reduction for Rigid–Flexible–Thermal Coupled Viscoelastic Multibody System via the Modal Truncation with Complex Global Modes

1
College of Mechanical and Electrical Engineering, Hohai University, Changzhou 213200, China
2
College of Mechanics and Engineering Science, Hohai University, Nanjing 211100, China
3
School of Control Engineering, Northeastern University at Qinhuangdao, Qinhuangdao 066004, China
*
Author to whom correspondence should be addressed.
Actuators 2025, 14(10), 479; https://doi.org/10.3390/act14100479
Submission received: 1 September 2025 / Revised: 22 September 2025 / Accepted: 29 September 2025 / Published: 30 September 2025
(This article belongs to the Section Aerospace Actuators)

Abstract

A spacecraft is a typical rigid–flexible–thermal coupled multibody system, and the study of such rigid–flexible–thermal coupled systems has important engineering significance. The dissipation effect of material damping has a significant impact on the response of multibody system dynamics. Owing to the increasing multitude of computational dimensions, computational efficiency has remained a significant bottleneck hindering their practical applications in engineering. However, due to the fact that the stiffness matrix is a highly nonlinear function of generalized coordinates, traditional methods of modal truncation are difficult to apply directly. In this study, the absolute nodal coordinate formulation (ANCF) is used to uniformly describe the modeling of rigid–flexible–thermal coupled multibody systems with large-scale motion and deformation. The constant tangent stiffness matrix and damping matrix can be obtained by locally linearizing the dynamic equation and heat transfer equations, which are based on the Taylor expansion. The dynamic and heat transfer equations obtained by reducing the order of complex modes are transformed into a unified first-order equation, which is solved simultaneously. The orthogonal complement matrix of the constraint equation is proposed to eliminate the nonlinear constraints. A strategy based on energy preservation was proposed to update the reduced-order basis vectors, which improved the calculation accuracy and efficiency. Finally, a systematic method for rigid–flexible–thermal coupled viscoelastic multibody systems via modal truncation with complex global modes is developed.

1. Introduction

As spacecraft structural designs become increasingly complex, the application of flexible components in spacecraft is increasing, and the nonlinear phenomenon of rigid–flexible coupling is becoming more and more significant. Also, the spacecraft in space is often accompanied by the solar heat flux. When large flexible spacecraft perform orbital maneuvers in space, causing changes in the incidence angle of solar heat flux, the temperature change of the spacecraft produces thermal strain, resulting in bidirectional coupling between the displacement field and temperature field. This phenomenon can lead to thermal vibrations [1,2,3], posing a risk of catastrophic mission failure. Hence, the modeling of rigid–flexible–thermal coupled viscoelastic multibody systems is crucial.
The concept of thermally induced vibration was first proposed by Boley [1]. Afterwards, some scholars simplified the actual structure into simple plate or beam elements for the study of thermally induced vibration [2,3]. Then, the thermal flexible coupling modeling method based on Floating Frame of Reference Formulation (FFRF) has been extensively studied by many scholars [4,5,6], but the FFRF is only applicable to large rotation and small deformation. Over recent decades, the ANCF has evolved into one of the prominent methods for investigating large rotations and deformations in flexible multibody systems [7]. Wu et al. [8] analyzed space structure deployment using linear temperature distributions in beam sections. Čepon et al. [9] examined thermally induced deformations in bimetallic strips but neglected heat conduction effects. Thereafter, the phenomenon of thermal-flexible coupling in thin-walled structures and composite plates was examined by Shen et al. [10,11]. The displacement field is described using ANCF, and the temperature field is discretized using the linear finite element method (FEM). Cui et al. [12,13] first used the temperature gradient as a generalized coordinate and developed a systematic method to combine the two physical fields via ANCF. Based on Cui’s study, Zhou et al. [14] presents a composite laminated shell element based on the ANCF for modeling the rigid–flexible–thermal coupled dynamics of a solar panel system. Li et al. [15] proposed a deployable thin plate element and established a thermo-elastic dynamics model to simulate the morphing process of a telescopic wing system. Sun et al. [16] developed a fully parameterized ANCF plate element for thermo-flexible coupling and formulated a temperature gradient feedback control law using thermal actuators mounted on the structure’s surface.
While such unified methods improve accuracy in capturing thermo-mechanical dynamics, computational efficiency remains a critical challenge for practical implementation. Therefore, studying model reduction methods has significant value. The reduction methods can be roughly divided into two categories: physically based model reduction [17] and data-driven reduction [18].
The most prevalent approach for data-driven reduction is the proper orthogonal decomposition (POD) method. Luo et al. [19] proposed a reduced-order study on multibody and multibody systems based on the POD method, which improved the computational efficiency of ANCF modeling for multibody systems. Hou et al. [20] presented a component-level POD method, and the Greedy-POD algorithm is utilized to derive a robust set of reduced-order bases capable of handling parametric variations in simulations. Marshall [21] clarified the conditions for POM convergence to the linear vibration mode of linear, undamped, and unstressed mechanical systems, stating that simply increasing the sample size is not enough and that increasing the sampling rate and duration is necessary. Peng et al. [22] proposed a symplectic model order reduction method combining POD and Galerkin projection. Then, Song et al. [23] proposed an innovative hybrid model reduction approach based on POD, which can reduce the computational expense associated with the contact of flexible multibody systems. For high-dimensional nonlinear model reduction, some scholars have also conducted detailed research. Carlberg et al. [24] presented a Petrov–Galerkin projection method. The right reduced-order basis is constructed by POD, and the left reduced basis is selected to minimize the two-norm of the residual arising at each Newton iteration. It can significantly reduce the computational cost associated with high-dimensional nonlinear models. Then, they further proposed the Gauss–Newton with approximate tensors (GNATs) method and applied it to the solution of a benchmark turbulent viscous flow problem [25]. The proposed method reduces the required computing resources by more than two orders of magnitude. Amallem et al. [26] presented a new nonlinear reduction method based on the concept of local reduced-order bases. The results indicate that the proposed nonlinear MOR has higher accuracy and computational efficiency. Bui et al. [27] combined POD and in situ adaptive tabulation (ISAT) methods for solving coupled fluid–thermal problems. However, the POD method necessitates a full order model calculation in advance or experimental results to construct a reduced-order model. In addition, the reduced-order basis vectors of the POD method have no practical physical significance.
Based on physically based model reduction, the reduced-order basis vectors generally have practical physical significance. Many scholars have studied the order reduction of dynamical systems based on physically based model reduction methods, such as the component mode synthesis (CMS) method [17,28,29,30,31], modal derivatives (MDs) [32,33,34], spectral submanifolds (SSMs) [35,36,37], and so on. For undamped systems, the CMS method can perform model reduction on the system. For undamped systems, the CMS method can simplify the system model, which can be referred to in reference [17] and will not be repeated here. When there is damping in the system, the mechanical energy of the system is no longer conserved, and then the system becomes a non-conservative system from a conservative system. Tang et al. [31] extended the C-B CMS method to substructuring of viscoelastic damped flexible multibody systems described by ANCF elements. However, this approach neglected the non-diagonal elements of the damping matrix during the decoupling process, potentially resulting in loss of computational accuracy in dynamic response predictions [38]. Zhao and Zhang et al. [39] developed an exact solution formulation for time-domain dynamic responses of symmetric systems with generalized linear viscous damping. Sun et al. [40] developed a novel complex modal superposition approach grounded in a hysteretic damping model for modal static correction, enhancing dynamic response analysis. Then, they further proposed a complex modal superposition method applicable to non-classically damped systems, incorporating frequency-dependent loss factors to provide refined and accurate descriptions of system behaviors across frequencies [41]. Currently, research on complex modal reduction methods for viscoelastic multibody systems coupled with large deformations and rotations remains limited.
When the temperature field and displacement field are coupled in both directions, it is necessary to solve the dynamic equation and heat transfer equation simultaneously, resulting in lower computational efficiency. Therefore, it is necessary to simultaneously achieve the reduction of the order in both dynamic and thermal equations. Nachtergaele et al. [42] pioneered an enhanced Craig–Bampton methodology by introducing a weakly coupled projection framework that implicitly incorporates temperature field dynamics into the reduction basis. Tian et al. [43] proposed the F-TANCF method based on free-interface component mode synthesis, enabling efficient simulation of large-deformation thermos-flexible coupled multibody systems. By decomposing the system into substructures and applying synchronized modal truncation to coupled dynamic and heat transfer equations, this approach achieves computational efficiency while preserving accuracy. Then they established a coupled thermal-dynamic reduced-order model based on the Linearization-Proper Orthogonal Decomposition (L-POD) method [44], without the influence of damping, significantly improving the simulation efficiency while ensuring high accuracy. Consequently, the reduced-order methods for modeling thermally flexible coupled systems with ANCF containing material damping characteristics are not sufficient. Yu et al. [45] proposed a model reduction method for viscoelastic flexible multibody systems described by ANCF, but this method is not applicable to equations with nonlinear constraints. In addition, the influence of temperature on the dynamic equation was not considered. In this study, the model order reduction for a rigid–flexible–thermal coupled viscoelastic multibody system based on the modal truncation with complex global modes is given.
This study develops a model order reduction strategy for rigid–flexible–thermal coupled viscoelastic multibody systems and validates its effectiveness. The rest of the paper is structured as follows: Section 2 briefly describes rigid–flexible–thermal coupled system modeling based on ANCF’s unified description. Section 3 proposes the orthogonal complement matrix of constraint equations to eliminate nonlinear constraints and presents the order reduction methodology. Section 4 presents a unified algorithm to solve reduced dynamic and heat transfer equations. Section 5 validates the approach via numerical cases. Section 6 concludes the work.

2. Brief Description of Rigid–Flexible–Thermal Coupled System Modeling via ANCF

Within the ANCF framework, the generalized coordinates are defined by the position and gradient vectors, which are suitable for describing flexible multibody systems coupled with large rotations and deformations. Considering the constraints between different components, the dynamic equation can be written as follows:
M f e ¨ f + C e f e f T λ f + Q f e + Q f d = Q f ext C e f = 0
where M f is the mass matrix of the flexible body. e ¨ f is the generalized coordinates acceleration vector of the flexible body. Q f e is the elastic force of the flexible body. Q f d is the damping force of the flexible body. The Kelvin–Voigt damping model [46] is used in this study because of its simple expression and clear physical meaning. Q f ext represents the generalized external forces of the flexible body. C e f represents the constraint equations of the dynamic equation. λ f represents the Lagrange multipliers of the dynamic equations of the displacement field.
The reference nodes [47] are adopted to describe rigid body dynamics. The generalized coordinates vector of the reference nodes is e r = r T r x T r y T r z T , where r is the global position vector, and r x , r y , and r z are the slope vectors. The following six rigidity constraint equations should be imposed:
r x = 1 ,   r y = 1 ,   r z = 1 r x T r y = 0 ,   r x T r z = 0 ,   r y T r z = 0
The dynamic equation of a rigid–flexible coupling viscoelastic multibody system can be written as follows:
M e ¨ + C e e T λ + Q e + Q d = Q ext C e = 0
where M = M f 0 0 M r represents the mass matrix of the system. M r is the mass matrix of the rigid body. e ¨ = e ¨ f e ¨ r represents the generalized acceleration vector of the system. Q e = Q f e 0 represents the elastic force of the system. Q d = Q f d 0 represents the damping force of the system. Q ext = Q f ext Q r ext represents the generalized external forces of the system. Q r ext represents the generalized external forces of the rigid body. C e represents the equations of constraints for the system. λ represents the Lagrange multipliers of the system.
The displacement field is described by ANCF, and the temperature field is discretized by a unified element mesh based on the ANCF, which can be seen in Figure 1. Considering thermal boundary constraints, the expression for the heat transfer equations is as follows:
C e ˙ T + K c e T + C T e T T λ T R q R r = 0 C T = 0
where C is the heat capacity matrix. e T is the generalized temperature coordinate vector. K c is the heat conduction matrix. R q is the vector of surface radiation input. R r is the vector of inner heat. C T represents the equations for heat transfer with constraints. C T / e T represents the Jacobian matrix of the constraint equation with respect to the generalized temperature coordinate. λ T is the heat constraint’s Lagrange multiplier. The derivation process and integral form can be found in the literature [12].
The rigid–flexible–thermal coupled viscoelastic multibody system modeled using the unified method based on ANCF is as follows:
C e ˙ T + K c e T + C T e T T λ T R q R r = 0 C T = 0 M e ¨ + C e e T λ + Q e + Q d + Q H = Q ext C e = 0
where Q H represents the generalized force resulting from thermal strain.

3. Modal Order Reduction Based on the Complex Modal Order Reduction Method

In flexible multibody dynamics, the elastic and damping forces are highly nonlinear with respect to the generalized coordinates based on ANCF, rendering conventional modal truncation methods ineffective. In a previous study [43], the system motion was divided into phases: dynamic and thermal equations were updated using a displacement threshold δ and temperature threshold δ T , respectively. Nonlinear terms were approximated via Taylor expansion to form a constant tangential stiffness matrix, and free-interface component mode synthesis was applied for model reduction. However, this method was limited to undamped systems. With damping, the system becomes non-conservative due to energy dissipation. This study introduces a complex modal synthesis approach for model order reduction in rigid–flexible–thermal coupled viscoelastic multibody systems. In this study, the whole motion process of the system was also divided into several intervals. In each subdomain, the orthogonal complement matrix U, the Jacobian of elastic forces, the Jacobian of damping forces, etc., are treated as constant matrices. The overall motion displacement increment is chosen as an indicator; it is small enough to ensure numerical calculation accuracy, and it can be found in ref. [43]. When it reaches a preset criterion, the orthogonal complement matrix U, the Jacobian of elastic forces, the Jacobian of damping forces, etc., will be updated.

3.1. Elimination of Nonlinear Constraints

As shown in Equation (5), the constraints usually exist in the dynamic and heat transfer equations of viscoelastic rigid–flexible thermally coupled multibody systems. In this section, the orthogonal complement matrix is proposed to eliminate nonlinear constraints.
In Equation (5), the constraint equation in the dynamic equation is C e , and the Jacobian of the constraint equation for generalized coordinates is C e / e . The transformation matrix is defined as follows:
E = C e e T C e e
where the matrix E obtained from Equation (6) is a real symmetric matrix. Since the Jacobian matrix of the constraint equation C e / e is a matrix of k × n ( k < n ), k is the number of constraint equations, n is the number of degrees of freedom in the dynamic equations, and the rank of the matrix C e / e is less than or equal to m . By the rank-nullity theorem, the nullity of E is at least n k , implying that E has at least n k zero eigenvalues. The eigenvectors y r corresponding to these zero eigenvalues are calculated and used to construct the orthogonal complement matrix U , which is a matrix of n × n k . The column vectors of U are orthogonal to the row vectors of C e / e , which can be expressed as follows:
C e e U = 0
By solving Equation (7), the orthogonal complement matrix U can be obtained. Then, left multiplication matrix U T of the third equation in Equation (5) can be expressed as follows:
U T M e ¨ + U T C e e T λ + U T Q H + U T Q e + U T Q d = U T Q ext
where U T C e e T λ = 0 . Then, let e = U q , substituting the e ¨ = U q ¨ into Equation (8):
M ˜ q ¨ + Q ˜ H + Q ˜ e + Q ˜ d = Q ˜ ext
where
M ˜ = U T M U   Q ˜ H = U T Q H ,   Q ˜ e = U T Q e ,   Q ˜ d = U T Q d ,   Q ˜ ext = U T Q ext
Combining Equations (6)–(8), the nonlinear constraints of the dynamic system can be eliminated. Applying the orthogonal complement matrix U T to the first equation in Equation (5), and let e T = U T q T , calculated as follows:
C ˜ q ˙ T + K ˜ c q T = R ˜ q + R ˜ r
where
C ˜ = ( U T ) T C U T K ˜ c = ( U T ) T K c U T R ˜ q = ( U T ) T R q ,   R ˜ r = ( U T ) T R r
Furthermore, the orthogonal complement matrix U T is a matrix of n T × ( n T k T ) , where n T denotes the number of system temperature coordinates and k T represents the number of thermal constraint equations.

3.2. Local Linearization Applied to Dynamic and Heat Transfer Equations

In this section, the entire motion process of the system may be split into several intervals, and the Taylor expansion is employed to linearize the dynamic and heat transfer equations, thereby obtaining the constant tangential stiffness matrix. The terms of the dynamic equations of Equation (9) are linearized as follows:
Q ˜ H ( q , q T ( t ) ) Q ˜ H ( q m , q T m ) + J Q H Δ q Q ˜ e ( q ) Q ˜ e ( q m ) + J Q e Δ q Q ˜ d ( q , q ˙ ) Q ˜ d ( q m , q ˙ m ) + J Q d Δ q + Q ˜ d ( q m , q ˙ m ) q ˙ Δ q ˙ Q ˜ d ( q m , q ˙ m ) q ˙ q ˙ m Q ˜ ext ( q , t ) Q ˜ ext ( q m , t m ) + J Q ext Δ q + Q ˜ ext ( q m , t m ) t Δ t
where (   ) m represent the linearization at the m-th initial configuration, J Q H = Q ˜ H ( q m , q T m ) / q , J Q e = Q ˜ e ( q m ) / q , J Q d = Q ˜ d ( q m , q ˙ m ) / q , and J Q ext = Q ˜ ext ( q m , t m ) / q .
The linearized dynamic equations is written as follows:
M ˜ q ¨ + C ˜ m Δ q ˙ + K ˜ m Δ q = Q ˜ m J Q d Δ q
where
C ˜ m = Q ˜ d ( q m , q ˙ m ) q ˙ K ˜ m = J Q H + J Q e J Q ext Q ˜ m = Q ˜ H ( q m , q T m ) Q ˜ e ( q m ) Q ˜ d ( q m , q ˙ m ) + Q ˜ d ( q m , q ˙ m ) q ˙ q ˙ m + Q ˜ ext ( q m , t m ) + Q ˜ ext ( q m , t m ) t Δ t
The damping force’s Jacobian matrix J Q d can be a non-symmetric matrix. The terms of the heat transfer equations Equation (11) can be expressed as follows:
R ˜ q t = R ˜ q t m + R ˜ q t m t Δ t R ˜ r q , t = R ˜ r q m , t m + R ˜ r q m , t m q Δ q + R ˜ r q m , t m t Δ t
The linearized heat transfer equations are as follows:
C ˜ Δ q ˙ T + K ˜ c Δ q T = Q ˜ T m
where Q ˜ T m = R ˜ q t m + R ˜ q t m t Δ t + R ˜ r q m , t m + R ˜ r q m , t m q Δ q + R ˜ r q m , t m t Δ t .

3.3. Modal Order Reduction of Dynamic and Heat Transfer Equations

After linearized dynamic equations and heat conduction equations in Section 3.2, the modal truncation method can be applied to the system. Convert Equation (14) to a state-space formulation, written as follows:
A x ˙ + B x = F W x
where A = C ˜ m M ˜ M ˜ 0 , B = K ˜ m 0 0 M ˜ , F = Q ˜ m 0 , W = J Q d 0 , x = Δ q Δ q ˙ .
According to Equation (18), the second-order dynamic equations have been transformed into first-order equations. The homogeneous dynamic equations can be written as A x ˙ + B x = 0 . Then the eigenvalue analysis is performed.
B ϕ i = s i A ϕ i ,   ϕ i Φ ,   i = 1 , 2 , , 2 ( n k )
where s i represents the generalized eigenvalue of A and B , ϕ i is the generalized eigenvector corresponding to s i . Φ is the modal matrix. It should be mentioned that the eigenvalues and eigenvectors of a system with damping are complex numbers, when the damping matrix is not diagonalizable. The damping vibration system still has modal frequencies, and the free vibration of the system is the superposition of various modal vibrations. Modal vibrations are no longer harmonic vibrations but attenuated vibrations. The physical generalized coordinates can be written as follows:
x = Φ p = Φ k Φ r p k p r
where p is the modal coordinates. Φ k is the reserved modes. Φ r is the residual modes. p k is the reserved modal coordinates. p r is the residual modal coordinates. Let x = Φ p Φ k p k and the following reduced-order dynamic equation is written as follows:
A ^ p ˙ k + B ^ p k = F ^ W ^ p k
where A ^ = Φ k T A Φ k , B ^ = Φ k T B Φ k , F ^ = Φ k T F , W ^ = Φ k T W Φ k .
Similarly, the homogeneous heat transfer equations is C ˜ Δ q ˙ T + K ˜ c Δ q T = 0 , and the heat normal modes matrix Ψ can then be obtained from the eigenvalue analysis, written as follows:
K ˜ c diag ω i C ˜ Ψ = 0 ,   i = 1 , 2 , , n T k T
where ω i is the i-th heat modal frequency. The physical temperature generalized coordinates can be written as follows:
q T = Ψ p T = Ψ k Ψ r p T k p T r
where p T the temperature modal coordinates. p T k is the vector of the reserved temperature modal coordinate. Ψ k represents the reserved heat normal modes. p T r is the vector of residual temperature modal coordinate. Ψ r represents the residual heat normal modes. Let q T = Ψ p T Ψ k p T k and the reduced-order heat transfer equation is written as follows:
C ^ p ˙ T k + K ^ c p T k = Q ^ T m
where C ^ = Ψ k T C ˜ Ψ k , K ^ c = Ψ k T K ˜ c Ψ k , Q ^ T m = Ψ k T Q ˜ T m . The reduced dynamic equations, Equation (21), and heat transfer Equation (24) can effectively improve computational efficiency. The comparison between the method proposed in this study and other methods is shown in Table 1.

4. Solution Strategy

The first-order differential equations governing the displacement field and the temperature field can be assembled into a unified system as follows:
A ^ 0 0 C ^ p ˙ k p ˙ T k + B ^ + W ^ 0 0 K ^ c p k p T k = F ^ Q ^ T m
The combined computational formulation is expressed as follows:
T g ˙ + S g = R
where
T = A ^ 0 0 C ^ ,   S = B ^ + W ^ 0 0 K ^ c R = F ^ Q ^ T m ,   g = p k p T k
Equation (26) can be treated as a first-order differential equation to simultaneously solve the unknowns of the displacement and temperature fields. After solving this first-order differential equation, the unknowns in Equation (26) are separated according to the displacement and temperature fields to reconstruct their respective responses. The specific calculation process can be referred to in Figure 2.

5. Numerical Example

To validate the rationale and the effectiveness of the methodology proposed, two different numerical examples are designed in this section.

5.1. Benchmark Numerical Example: Thermal Induced Vibration of Beam

Boley [1] firstly proposed a thermally induced vibration beam model, which is given in Figure 3. There is a constant heat flux incident on the upper surface, which is 1.6353 × 106 W/m2. The lower surface is an adiabatic boundary. The initial temperature is 0 K. The simply supported beam is discretized into eight flexible and thermally coupled ANCF 3D beam elements, which can be found in reference [13]. The other structural parameters can be seen in the literature [48]. The test point is the geometric center point of the simply supported beam.
The dimensionless y-direction displacement is shown in Figure 4. The horizontal axis represents dimensionless time, and the vertical axis represents dimensionless displacement, both of which are given in ref. [1]. The results show that the simulation results of the thermal flexible coupling element in this paper have good consistency with Boley’s benchmark numerical analytical solution, thus verifying the accuracy of the method proposed in this paper.

5.2. Flexible Beam Pendulum

The first one is a flexible beam subjected to thermal loading and gravitational swinging. As presented in Figure 5. The left endpoint of the flexible beam is constrained by a spherical joint and continuously exposed to an external heat flux perpendicular to the horizontal plane while swinging downward under gravity. Detailed parameters are provided in Figure 5.
The flexible beam is discretized into 16 elements, resulting in a total of 102 degrees of freedom for the displacement field and 51 degrees of freedom for the temperature field. A total of 25 degrees of freedom is reserved for the temperature field. The number of retained modes for the displacement field was set to 35, 30, and 25, respectively. The computational time step was configured as 1 × 10−4 s. The specified linearization thresholds were 0.002 m for the displacement field and 0.02 K for the temperature field.
The x- and y-directional displacements of the free-end node of the swinging beam are illustrated in Figure 6 and Figure 7, respectively. It is observed that when the number of retained modes is set to 25, the results remain consistent with the ANCF full-parameter solution. Root mean square error (RMS error) is adopted as the accuracy metric, as shown in Figure 8. The analysis demonstrates that with 25 retained modes (approximately 24.51% of the total displacement field degrees of freedom), the RMS error consistently remains below 0.035 m, indicating retained high precision.

5.3. Dumbbell-Shaped Satellite Rigid–Flexible–Thermal Coupled System

The second one is a dumbbell-shaped satellite model design. The schematic of its initial configuration is presented in Figure 9.
The satellite structure consists of two rigid satellite bases on the left and right sides, simplified as a truncated cone-shaped rigid body and a cubic rigid body, respectively. These two rigid bodies are connected by annular cross-section beams, with four shorter annular cross-section beams reinforcing the two long connecting beams. The system is subjected to external vertical heat flux incident from above, inducing thermal deformation. A clockwise torque of 5000 N·m is applied to each rigid body about their central axes. Two flexible solar panels are attached to both sides of the cubic rigid body. Detailed dimensional specifications are provided in Figure 9. The initial temperature is set to 0 K, and additional model parameters are listed in Table 2.
The cubic rigid body has a mass of 4400 kg, and the truncated cone-shaped rigid body has a mass of 1600 kg. The connecting beams between them are each divided into 28 elements with a length of 1 m per element. The solar panels on the cubic rigid body are discretized into a 4 × 2 mesh of elements. The dynamic response of the system is observed at nodes 1, 2, 3, 4, and 5 in Figure 9. Figure 10 illustrates the temperature and displacement configurations of the model at different time instants. The displacement and temperature fields have 702 and 226 degrees of freedom, respectively. The simulation time step is set to 1 × 10−4 s. The linearization thresholds are configured as 0.001 m for the displacement field and 0.02 K for the temperature field.
Figure 11 compares the z-direction displacements of four observation nodes on the connecting beams at different time instants. Due to the different masses of the rigid bodies on both sides, applying identical torques results in different rotational speeds. Consequently, the displacements of the four nodes vary differently depending on their positions, and the displacement changes become more pronounced the farther the nodes are from the lower-mass rigid body.
Figure 12 and Figure 13 present the displacement curves in the y- and z-directions at observation points 4 and 5, comparing results from the full-order ANCF computation and the complex modal reduction method with different numbers of retained modes. It can be observed that, over a simulation time of 10 s, the proposed reduction method maintains good accuracy in capturing displacement variations of both the beams and panels. Figure 14 shows the temperature curves at observation points 1 and 5 over 10 s. During this period, the beam temperature rises by approximately 2.2 K, while the solar panel temperature increases by about 17 K, demonstrating that the proposed method also ensures reasonable accuracy in the temperature field. Using the RMS error as the precision metric for this example, Figure 15 reveals the RMS error of both the displacement field and the temperature field. The displacement error remains below 0.03 m throughout the 10 s simulation. Relative to the model size exceeding 10 m, this corresponds to a relative error of less than 0.3%, which meets engineering accuracy requirements. Meanwhile, the temperature RMS error remains within 1 × 10−3 K, further demonstrating the high precision of the method in thermal field computations.
Figure 16 compares the computational time between the full-order ANCF computation and the reduced-order method proposed in this chapter. It can be observed that when the number of retained modes for the displacement field is set to 282, the computational time is reduced by 82.03%. The method proposed in this chapter greatly improves computational efficiency while ensuring accuracy. It should be pointed out that a full degree of freedom eigenvalue analysis and modal selection are required to update the initial modal vectors and modal coordinates at the beginning of each linearization interval. Therefore, as the degrees of freedom decrease, the calculation time does not decrease linearly.

6. Conclusions

This paper proposes a reduction method for the rigid–flexible–thermal coupled viscoelastic multibody systems. By employing Taylor series expansion, nonlinear terms in both the heat transfer and dynamic equations are linearized. The linearized terms in the dynamic equations are reconstructed as generalized stiffness matrices, damping matrices, and virtual external force terms. An orthogonal complement matrix is introduced to address constraints that hinder complex modal reduction. Leveraging the shared first-order differential structure of the state-space dynamic equations and heat transfer equation, a modified generalized-α solver is developed for a synchronous solution to enhance computational efficiency.
The simply supported thermally induced vibration beam is a benchmark numerical. The results show that the simulation results of the thermal flexible coupling element in this paper have good consistency with Boley’s analytical solution. In the flexible beam pendulum case, retaining 24.51% of displacement degrees of freedom achieves RMS displacement errors below 0.03 m, confirming computational accuracy. For the dumbbell-shaped satellite rigid–flexible–thermal coupled system, retaining fewer than half of the total degrees of freedom reduces computation time to 17.97% of full-order simulations, demonstrating adaptability to heterogeneous coupled systems. Results indicate significant computational scale reduction while maintaining precision, particularly suitable for complex engineering scenarios.
Although the method proposed in this study can effectively improve computational efficiency while ensuring high accuracy, it still retains a large number of degrees of freedom and cannot meet the requirements of real-time control. Therefore, in future research, nonlinear model dimensionality reduction schemes such as invariant manifolds can be used to achieve lower dimensionality reduction.

Author Contributions

Conceptualization, Z.L. and Q.T.; methodology, C.P. and X.C.; software, Z.L. and Q.T.; validation, Q.T.; formal analysis, Q.T. and C.P.; investigation, C.P.; resources, Q.T.; data curation, Q.T.; writing—original draft preparation, Q.T.; writing—review and editing, Q.T. and C.P.; visualization, Q.T. and X.C.; supervision, Q.T. and X.C.; project administration, Q.T. and X.C.; funding acquisition, Q.T. All authors have read and agreed to the published version of the manuscript.

Funding

This research was funded by the National Natural Science Foundation of China, grant numbers 12302047 and 62304034; the Jiangsu Province Young Scientific and Technological Talents Promotion Plan in 2024, grant number JSTJ-2024-481; and the China Postdoctoral Science Foundation, grant number 2025M771855.

Data Availability Statement

The original contributions presented in this study are included in the article. Further inquiries can be directed to the corresponding author.

Conflicts of Interest

The authors declare no conflicts of interest.

References

  1. Boley, B.A. Thermally induced vibrations of beams. J. Aeronaut. Sci. 1956, 23, 179–181. [Google Scholar] [CrossRef]
  2. Thornton, E.A.; Kim, Y.A. Thermally induced bending vibrations of a flexible rolled-up solar array. J. Spacecr. Rocket. 1993, 30, 438–448. [Google Scholar] [CrossRef]
  3. Boley, B.A. Approximate Analyses of Thermally Induced Vibrations of Beams and Plates. J. Appl. Mech. 1972, 39, 787–796. [Google Scholar] [CrossRef]
  4. Shabana, A. Thermal analysis of viscoelastic multibody systems. Mech. Mach. Theory 1986, 21, 231–242. [Google Scholar] [CrossRef]
  5. Fan, W.; Liu, J.Y. Geometric nonlinear formulation for thermal-rigid-flexible coupling system. Acta Mech. Sin. 2013, 29, 728–737. [Google Scholar] [CrossRef]
  6. Liu, J.; Pan, K. Rigid-flexible-thermal coupling dynamic formulation for satellite and plate multibody system. Aerosp. Sci. Technol. 2016, 52, 102–114. [Google Scholar] [CrossRef]
  7. Otsuka, K.; Makihara, K.; Sugiyama, H. Recent advances in the absolute nodal coordinate formulation: Literature review from 2012 to 2020. J. Comput. Nonlinear Dyn. 2022, 17, 080803. [Google Scholar] [CrossRef]
  8. Wu, J.; Zhao, Z.H.; Ren, G.X. Dynamic Analysis of Space Structure Deployment with Transient Thermal Load. Adv. Mater. Res. 2012, 479–481, 803–807. [Google Scholar] [CrossRef]
  9. Čepon, G.; Starc, B.; Zupančič, B.; Boltežar, M. Coupled thermo-structural analysis of a bimetallic strip using the absolute nodal coordinate formulation. Multibody Syst. Dyn. 2017, 41, 391–402. [Google Scholar] [CrossRef]
  10. Shen, Z.; Hu, G. Thermally induced vibrations of solar panel and their coupling with satellite. Int. J. Appl. Mech. 2013, 05, 1350031. [Google Scholar] [CrossRef]
  11. Shen, Z.; Tian, Q.; Liu, X.; Hu, G. Thermally induced vibrations of flexible beams using Absolute Nodal Coordinate Formulation. Aerosp. Sci. Technol. 2013, 29, 386–393. [Google Scholar] [CrossRef]
  12. Cui, Y.; Lan, P.; Zhou, H.; Yu, Z. The Rigid-Flexible-Thermal Coupled Analysis for Spacecraft Carrying Large-Aperture Paraboloid Antenna. J. Comput. Nonlinear Dyn. 2020, 15, 031003. [Google Scholar] [CrossRef]
  13. Cui, Y.-Q.; Yu, Z.-Q.; Lan, P. A novel method of thermo-mechanical coupled analysis based on the unified description. Mech. Mach. Theory 2019, 134, 376–392. [Google Scholar] [CrossRef]
  14. Zhou, Z.; Xu, Y.; Cao, C.; Sheng, X. Dynamics for rigid-flexible-thermal coupled solar panel multibody system composed of composite laminated shells. Mech. Based Des. Struct. Mach. 2025, 1–26. [Google Scholar] [CrossRef]
  15. Li, C.; Tao, J.; Xiao, H.; Zhao, R.; Xing, S.; Guo, H.; Jiang, Y.; Xu, J.; Zhu, G.; Yang, G. Thermoelastic dynamic model for a telescopic wing system based on an absolute nodal coordinate formulation deployable thin plate element. Thin-Walled Struct. 2025, 214, 113372. [Google Scholar] [CrossRef]
  16. Sun, X.; Jin, J.; Chen, Z. Thermo-flexible coupled modeling and active control of thermally induced vibrations for a flexible plate. Thin-Walled Struct. 2025, 211, 113092. [Google Scholar] [CrossRef]
  17. Bui, T.A.; Park, J.; Kim, J.-S. A review of combining component mode synthesis and model order reductions for geometrically nonlinear analysis. J. Mech. Sci. Technol. 2025, 38, 4699–4711. [Google Scholar] [CrossRef]
  18. Lu, K.; Jin, Y.; Chen, Y.; Yang, Y.; Hou, L.; Zhang, Z.; Li, Z.; Fu, C. Review for order reduction based on proper orthogonal decomposition and outlooks of applications in mechanical systems. Mech. Syst. Signal Process. 2019, 123, 264–297. [Google Scholar] [CrossRef]
  19. Luo, K.; Hu, H.; Liu, C.; Tian, Q. Model order reduction for dynamic simulation of a flexible multibody system via absolute nodal coordinate formulation. Comput. Methods Appl. Mech. Eng. 2017, 324, 573–594. [Google Scholar] [CrossRef]
  20. Hou, Y.; Liu, C.; Hu, H. Component-level proper orthogonal decomposition for flexible multibody systems. Comput. Methods Appl. Mech. Eng. 2020, 361, 112690. [Google Scholar] [CrossRef]
  21. Marshall, M.A. Conditions for the convergence of proper orthogonal modes to linear vibration modes. J. Sound Vib. 2023, 553, 117634. [Google Scholar] [CrossRef]
  22. Peng, H.; Song, N.; Kan, Z. Data-driven Model Order Reduction with Proper Symplectic Decomposition for Flexible Multibody System. Nonlinear Dyn. 2022, 107, 173–203. [Google Scholar] [CrossRef]
  23. Song, N.; Peng, H.; Kan, Z. A Hybrid Data-driven Model Order Reduction Strategy for Flexible Mechanical System Considering Impact and Friction. Mech. Mach. Theory 2022, 169, 104649. [Google Scholar] [CrossRef]
  24. Carlberg, K.; Bou-Mosleh, C.; Farhat, C. Efficient Non-Linear Model Reduction via a Least-Squares Petrov-Galerkin Projection and Compressive Tensor Approximations. Int. J. Numer. Methods Eng. 2011, 86, 155–181. [Google Scholar] [CrossRef]
  25. Carlberg, K.; Farhat, C.; Cortial, J.; Amsallem, D. The GNAT Method for Nonlinear Model Reduction: Effective Implementation and Application to Computational Fluid Dynamics and Turbulent Flows. J. Comput. Phys. 2013, 242, 623–647. [Google Scholar] [CrossRef]
  26. Amsallem, D.; Zahr, M.J.; Farhat, C. Nonlinear Model Order Reduction Based on Local Reduced-Order Bases. Int. J. Numer. Methods Eng. 2012, 92, 891–916. [Google Scholar] [CrossRef]
  27. Bui, D.; Hamdaoui, M.; De Vuyst, F. POD-ISAT: An efficient POD-based surrogate approach with adaptive tabulation and fidelity regions for parametrized steady-state PDE discrete solutions. Int. J. Numer. Methods Eng. 2013, 94, 648–671. [Google Scholar] [CrossRef]
  28. Kobayashi, N.; Wago, T.; Sugawara, Y. Reduction of system matrices of planar beam in ANCF by component mode synthesis method. Multibody Syst. Dyn. 2011, 26, 265–281. [Google Scholar] [CrossRef]
  29. Sun, D.; Chen, G.; Shi, Y.; Wang, T.; Sun, R. Model reduction of a flexible multibody system with clearance. Mech. Mach. Theory 2015, 85, 106–115. [Google Scholar] [CrossRef]
  30. Tang, Y.; Hu, H.; Tian, Q. Model order reduction based on successively local linearizations for flexible multibody dynamics. Int. J. Numer. Methods Eng. 2019, 118, 159–180. [Google Scholar] [CrossRef]
  31. Tang, Y.; Hu, H.; Tian, Q. A condensed algorithm for adaptive component mode synthesis of viscoelastic flexible multibody dynamics. Int. J. Numer. Methods Eng. 2020, 122, 609–637. [Google Scholar] [CrossRef]
  32. Wu, L.; Tiso, P. Nonlinear model order reduction for flexible multibody dynamics: A modal derivatives approach. Multibody Syst. Dyn. 2016, 36, 405–425. [Google Scholar] [CrossRef]
  33. Wu, L.; Tiso, P.; Tatsis, K.; Chatzi, E.; van Keulen, F. A modal derivatives enhanced Rubin substructuring method for geometrically nonlinear multibody systems. Multibody Syst. Dyn. 2019, 45, 57–85. [Google Scholar] [CrossRef]
  34. Yuan, T.; Fan, W.; Ren, H. A general nonlinear order-reduction method based on the referenced nodal coordinate formulation for a flexible multibody system. Mech. Mach. Theory 2023, 185, 105290. [Google Scholar] [CrossRef]
  35. Li, M. Explicit sensitivity analysis of spectral submanifolds of mechanical systems. Nonlinear Dyn. 2024, 112, 16733–16770. [Google Scholar] [CrossRef]
  36. Li, M.; Thurnher, T.; Xu, Z.; Jain, S. Data-free non-intrusive model reduction for nonlinear finite element models via spectral submanifolds. Comput. Meth. Appl. Mech. Eng. 2025, 434, 117590. [Google Scholar] [CrossRef]
  37. Han, X.; Peng, H.; Song, N.; Li, M. Model Reduction of Multibody Systems with Large Deformations via Spectral Submanifolds. Int. J. Mech. Sci. 2025, 287, 109924. [Google Scholar] [CrossRef]
  38. de Lima, A.; Lambert, S.; Rade, D.; Pagnacco, E.; Khalij, L. Fatigue reliability analysis of viscoelastic structures subjected to random loads. Mech. Syst. Sig. Process. 2014, 43, 305–318. [Google Scholar] [CrossRef]
  39. Zhao, Y.; Zhang, Y. Improved complex mode theory and truncation and acceleration of complex mode superposition. Adv. Mech. Eng. 2016, 8. [Google Scholar] [CrossRef]
  40. Sun, P.; Zhang, S.; Yan, Y.; Wang, D. A complex mode superposition method based on Hysteretic damping model for mode static correction. Int. J. Appl. Mech. 2023, 15, 2350083. [Google Scholar] [CrossRef]
  41. Sun, P.; Yan, Y.; Yang, H. Complex mode superposition method of non-classically damped systems based on hysteretic damping model with frequency-dependent loss factors. J. Sound Vib. 2024, 571, 118122. [Google Scholar] [CrossRef]
  42. Nachtergaele, P.; Rixen, D.; Steenhoek, A. Efficient weakly coupled projection basis for the reduction of thermo-mechanical models. J. Comput. Appl. Math. 2010, 234, 2272–2278. [Google Scholar] [CrossRef]
  43. Tian, Q.; Yu, Z.; Lan, P.; Cui, Y.; Lu, N. Model order reduction of thermo-mechanical coupling flexible multibody dynamics via free-interface component mode synthesis method. Mech. Mach. Theory 2022, 172, 104786. [Google Scholar] [CrossRef]
  44. Tian, Q.; Sun, H.; Yu, Z. Model order reduction of thermal-dynamic coupled flexible multibody system with multiple varying parameters. Appl. Math. Model. 2024, 136, 115634. [Google Scholar] [CrossRef]
  45. Yu, Z.; Liu, Z.; Wang, Y.; Tian, Q. Complex Modal Synthesis Method for Viscoelastic Flexible Multibody System Described by ANCF. J. Comput. Nonlinear Dyn. 2025, 20, 031004. [Google Scholar] [CrossRef]
  46. Mohamed, A.-N.A.; Shabana, A.A. A nonlinear visco-elastic constitutive model for large rotation finite element formulations. Multibody Syst. Dyn. 2011, 26, 57–79. [Google Scholar] [CrossRef]
  47. Shabana, A.A. ANCF reference node for multibody system analysis, Proceedings of the Institution of Mechanical Engineers. Part K J. Multi-Body Dyn. 2015, 229, 109–112. [Google Scholar] [CrossRef]
  48. Manolis, G.D.; Beskos, D.E. Thermally induced vibrations of beam structures. Comput. Methods Appl. Mech. Eng. 1980, 21, 337–355. [Google Scholar] [CrossRef]
Figure 1. Schematic of the unified description of the displacement field and the temperature field.
Figure 1. Schematic of the unified description of the displacement field and the temperature field.
Actuators 14 00479 g001
Figure 2. Calculation process.
Figure 2. Calculation process.
Actuators 14 00479 g002
Figure 3. The simply supported thermally induced vibration beam model.
Figure 3. The simply supported thermally induced vibration beam model.
Actuators 14 00479 g003
Figure 4. The dimensionless y-direction displacement of test points.
Figure 4. The dimensionless y-direction displacement of test points.
Actuators 14 00479 g004
Figure 5. Schematic diagram of the initial configuration of the beam pendulum.
Figure 5. Schematic diagram of the initial configuration of the beam pendulum.
Actuators 14 00479 g005
Figure 6. x-direction displacement of the end node.
Figure 6. x-direction displacement of the end node.
Actuators 14 00479 g006
Figure 7. y-direction displacement of the end node.
Figure 7. y-direction displacement of the end node.
Actuators 14 00479 g007
Figure 8. RMS error.
Figure 8. RMS error.
Actuators 14 00479 g008
Figure 9. Schematic diagram of the initial configuration of the rigid–flexible–thermal coupling model.
Figure 9. Schematic diagram of the initial configuration of the rigid–flexible–thermal coupling model.
Actuators 14 00479 g009
Figure 10. Model different moment configurations.
Figure 10. Model different moment configurations.
Actuators 14 00479 g010
Figure 11. Displacement of the 1, 2, 3, and 4 observation points in the z-direction.
Figure 11. Displacement of the 1, 2, 3, and 4 observation points in the z-direction.
Actuators 14 00479 g011
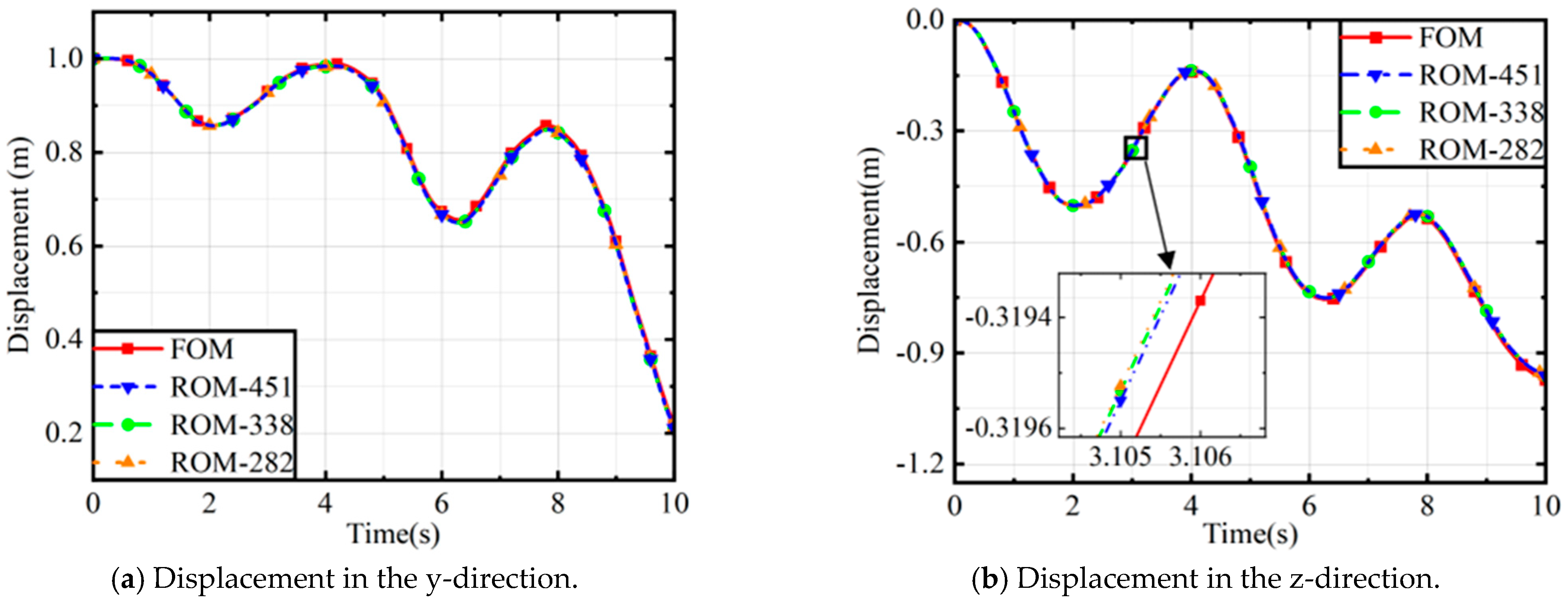
Figure 12. The displacement of observation point 4: (a) in the y-direction; (b) in the z-direction.
Figure 12. The displacement of observation point 4: (a) in the y-direction; (b) in the z-direction.
Actuators 14 00479 g012
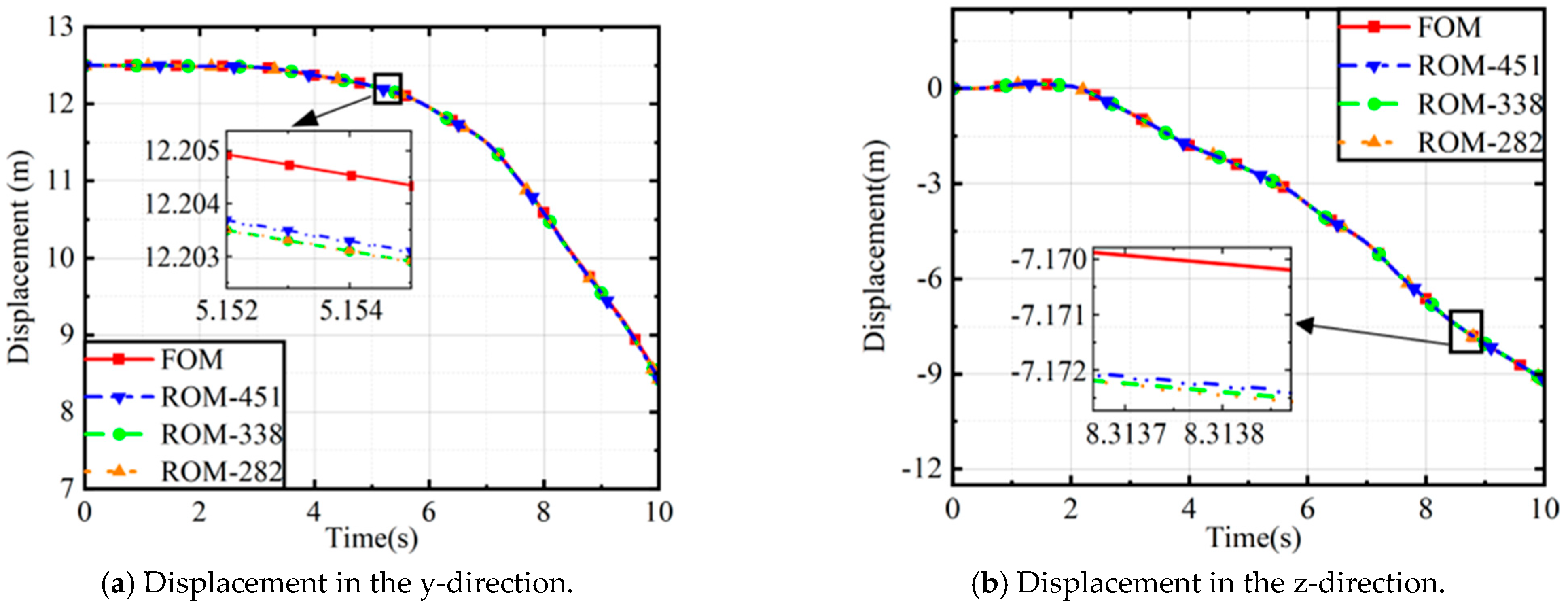
Figure 13. The displacement of observation point 5: (a) in the y-direction; (b) in the z-direction.
Figure 13. The displacement of observation point 5: (a) in the y-direction; (b) in the z-direction.
Actuators 14 00479 g013
Figure 14. Temperature change at observation: (a) point 4; (b) point 5.
Figure 14. Temperature change at observation: (a) point 4; (b) point 5.
Actuators 14 00479 g014
Figure 15. RMS error: (a) displacement field; (b) temperature field.
Figure 15. RMS error: (a) displacement field; (b) temperature field.
Actuators 14 00479 g015
Figure 16. Comparison of calculation times.
Figure 16. Comparison of calculation times.
Actuators 14 00479 g016
Table 1. The comparison between the different methods.
Table 1. The comparison between the different methods.
ItemRef. [31]Ref. [43]Ref. [45]The Proposed Method
dampingYNYY
non-proportional dampingNNYY
nonlinear constraintsYYNY
thermal effectNYNY
Y is yes, this situation can be considered; N is no, this situation cannot be considered.
Table 2. Model parameter settings.
Table 2. Model parameter settings.
NameValue
Connection beam inner/outer diameter0.01 m/0.1 m
Thickness of solar panel0.03 m
Solar panel density2700 kg/m3
Young’s modulus of solar panel5 GPa
Thermal conductivity of solar panel45 W/(m·K)
Coefficient of thermal expansion of solar panel1.5 × 10−6
Heat capacity of a solar panel30 J/(kg·K)
Beam density7850 kg/m3
Young’s modulus of beam1 GPa
Thermal conductivity of beam45 W/(m·K)
Coefficient of thermal expansion of beam1.5 × 10−6
Heat capacity of beam30 J/(kg·K)
Beam/panel positive strain damping factor4.5 × 10−3
Beam/panel Shear Strain Damping Factor4.4 × 10−4
Solar thermal density5000 W/m2
Disclaimer/Publisher’s Note: The statements, opinions and data contained in all publications are solely those of the individual author(s) and contributor(s) and not of MDPI and/or the editor(s). MDPI and/or the editor(s) disclaim responsibility for any injury to people or property resulting from any ideas, methods, instructions or products referred to in the content.

Share and Cite

MDPI and ACS Style

Tian, Q.; Pan, C.; Liu, Z.; Chen, X. Model Order Reduction for Rigid–Flexible–Thermal Coupled Viscoelastic Multibody System via the Modal Truncation with Complex Global Modes. Actuators 2025, 14, 479. https://doi.org/10.3390/act14100479

AMA Style

Tian Q, Pan C, Liu Z, Chen X. Model Order Reduction for Rigid–Flexible–Thermal Coupled Viscoelastic Multibody System via the Modal Truncation with Complex Global Modes. Actuators. 2025; 14(10):479. https://doi.org/10.3390/act14100479

Chicago/Turabian Style

Tian, Qinglong, Chengyu Pan, Zhuo Liu, and Xiaoming Chen. 2025. "Model Order Reduction for Rigid–Flexible–Thermal Coupled Viscoelastic Multibody System via the Modal Truncation with Complex Global Modes" Actuators 14, no. 10: 479. https://doi.org/10.3390/act14100479

APA Style

Tian, Q., Pan, C., Liu, Z., & Chen, X. (2025). Model Order Reduction for Rigid–Flexible–Thermal Coupled Viscoelastic Multibody System via the Modal Truncation with Complex Global Modes. Actuators, 14(10), 479. https://doi.org/10.3390/act14100479

Note that from the first issue of 2016, this journal uses article numbers instead of page numbers. See further details here.

Article Metrics

Back to TopTop