Abstract
This study focuses on the decentralized stabilization issue of high-order large-scale nonlinear systems with unknown disturbances. A novel decentralized semi-global finite-time control approach is suggested by constructing a Lyapunov function with both quadratic and higher-order components and employing the method of homogeneous domination. Based on the designed Lyapunov function, a state-feedback controller is constructed for the nominal system. Subsequently, the scaling gain is flexibly introduced to enable semi-globally finite-time stabilization of the nonlinear system. Besides, the approach is extended to the problem of decentralized tracking control of high-order large-scale nonlinear systems. Finally, numerical and practical examples validate the effectiveness of the presented control strategy.
1. Introduction
With the development of technology and the increase of various control demands, the number and complexity of large-scale nonlinear systems are increasing, causing unprecedented challenges in system control. They are widely emerged in practical engineering such as transportation systems, communication systems, power systems, and robotics. Large-scale systems have multiple inputs and outputs, and each subsystem exhibits coupled nonlinear behavior [1,2,3]. One of the main challenges in analyzing and controlling such kinds of nonlinear systems are the complexity brought by their nonlinearity, making it difficult to achieve desired control effects with a single controller. Thus, decentralized control, which typically designs an independent controller for each subsystem, becomes inevitable. Decentralized control is simpler and requires less computation than centralized control structures. In recent decades, decentralized control has become the dominant control approach for large-scale systems, and many excellent results have been achieved [4,5,6,7]. However, with the increase of new large-scale nonlinear system models, there are still many challenging decentralized control problems, especially for some systems with complicated coupled nonlinear functions.
Due to the complexities of nonlinearity and interconnectivity of system components, it requires advanced strategies and tools for effective control. Large-scale nonlinear systems present more challenges to control theory and practice. Recently, researchers have been focusing on developing control strategies for large-scale nonlinear systems, see [8,9,10,11,12,13,14]. Particularly, by introducing a decentralized adaptive control technique, the authors of [8] considered the control issue of large-scale nonlinear systems affected by model uncertainties and mismatched time delays in control inputs. In [9], the authors developed a novel sampled-data observer and proposed a distinctive fuzzy adaptive neural network regulation strategy in scenarios where system states remain unknown. Based on policy iteration theory, the authors of [10] implemented decentralized control for large-scale nonlinear systems with unknown mismatched interconnections. By employing the backstepping method, the authors of [11] achieved globally asymptotically stable for strict feedback large-scale nonlinear systems with strong interconnections. A local dynamic event-triggered controller was constructed to render the considered system asymptotically stable in [12]. With the help of fuzzy theory, the authors of [13] introduced a decentralized output feedback control methodology initially aimed at fractional-order large-scale nonlinear systems.
In practical applications, since finite-time control has the advantage of response time, it has many applications and satisfies the engineering requirements. Recently, with the emergence of finite-time control theory, the investigation of finite-time stabilization of nonlinear systems has attracted a large number of scholars and has yielded fruitful results [15,16,17,18,19,20]. However, finite-time theory still poses limitations and challenges in large-scale system control, and fewer results have been achieved [21,22,23,24]. By homogeneous domination approach, the authors of [21] studied semi-global finite-time output feedback stabilization issue. By presenting the sliding mode control method, the authors of [22] achieved finite-time control for MIMO systems. In [23], an adaptive control method was achieved for large-scale systems with time-varying output constraints by utilizing neural network techniques. In [24], the finite-time stabilization of large-scale nonlinear systems with dead-zone input is discussed.
In addition, tracking control of nonlinear systems is an important control problem. In particular, large-scale nonlinear systems often need to track several different reference signals. To solve the problem, the authors of [25] constructed a decentralized tracking controller by state feedback. They proposed a finite-time adaptive fuzzy decentralized tracking control algorithm, solving the problem of unmeasurable states [26], and further improving the tracking performance under the full-state prespecified performance structure [27]. When the system experiences unmeasurable disturbances, the authors of [28] considered a decentralized adaptive finite-time tracking control strategy for a class of non-strict feedback large-scale systems. Different from the aforementioned systems, the nonlinear systems we studied not only contain complex coupling relationships and disturbance but also include nonlinear terms with high-order power. A natural question arises:
For high-order large-scale systems with unknown disturbances, is it feasible to design a finite-time decentralized controller to achieve stabilization/tracking?
This paper will endeavor to explore this question. The contributions of the article are mainly reflected in the following aspects: (i) The investigated system is more general. In contrast to the previously reported studies [8,9,10,11,12,21,22,23,24], the system considered in this article exhibits a more comprehensive nature. Distinctively, the current work takes into account the significant influence of complex interconnections on the states of individual subsystems, which has been neglected in prior research such as [15,16,17,18,19,20]. Additionally, the nonlinear components within the system incorporate high-order nonlinear terms and external disturbances, rendering the analysis and control of the system more challenging yet significant. (ii) A new approach for finite-time stabilization and tracking is proposed in this study. In contrast to previous works [21,22,23,24,25,26,27,28], we construct a new Lyapunov function that incorporates both quadratic and higher-order components. In addition, leveraging the techniques of homogeneous domination, scaling gain, and the tool of inequality, a recursive design methodology is developed to achieve semi-globally practical finite-time stability (SGPFS).
2. Problem Formulation and Preliminaries
We investigate the following high-order large-scale system:
where , . , are subsystem states and input, respectively. are odd integers, and is denoted to the power of the system. , are unknown continuous nonlinear functions, representing the nonlinear relationships of the i-th subsystem and the connections between the other subsystems. An assumption is proposed:
Assumption 1.
For each , , the following nonlinear condition holds for System (1):
where is a nonnegative constant, and is a bounded disturbance.
Remark 1.
In the considered system, the nonlinearities have the characteristics as follows. (1) The system has nonlinearities with high-order power, which adds more challenges for the control design and stability analysis. (2) The system nonlinearities are coupled with multiple variables coming from different subsystems, which cannot be simply canceled out using the conventional control methods. (3) The system is impacted by time-varying unknown disturbances, which originate from instabilities in the external environment, fluctuations in the internal parameters of the system or other unmodelled dynamics.
Remark 2.
If the nonlinear term only depends on , System (1) can be transformed into N lower triangle nonlinear systems, which have rich research results, see [15,16,17,18]. When the nonlinear term includes interconnection items and , it becomes a large-scale system as in [9]. It also covers the condition in [29,30,31,32]. When , , and only output interconnections are included, it becomes , which is the condition in [29]. When and , it becomes , which is discussed in [30]. When and , it becomes the condition , which is considered in [31]. When , , and , it reduces to the linear growing condition in [32]. Contrasting with previous works such as [9,15,16,17,18,29,30,31,32], the high-order power, unknown disturbances, nonlinearities and complex interconnections in the systems introduce significant challenges for the construction of the controller.
Before designing the controller u, we give a definition and some lemmas as follows.
Definition 1
([20]). The equilibrium of system is called SGPFS, if holds for all , , where the system initial is bounded, is a constant, and is a time constant.
Lemma 1
([5]). Suppose that are real numbers, and are positive functions. For any , there holds
Lemma 2
([23]). For the system , if satisfies the inequality
then the large-scale system is SGPFS.
Lemma 3
([33]). For , and , the following inequality holds:
Moreover, if is an odd integer or a ratio of two odd integers, then
Lemma 4.
Consider the following system:
where is a state vector, denotes the input, and ρ is a positive constant. There are some coordinate transformations:
where , are positive constants to be specified later. There is a Lyapunov function and continuous controllers
such that
where is defined as
Proof.
By using the method of backstepping, we give a detailed proof.
Step 1: Select the function , and calculate its derivative
By choosing , , we can obtain . Substituting it into (8), we have
Step k : Assume that there is a Lyapunov candidate function and a series of virtual controllers , which guarantee that
Defining , the derivative of satisfies
By Lemmas 1 and 3 and Transformation (4), one can verify the following inequality
where . By the transformations of (4), it follows that
where is a constant. Using Lemma 1, the following holds:
where is a constant. Substituting (12) and (14) into (11), it can be deduced that
where . To achieve the control target, the virtual controller , , which implies that
This completes the proof of step k. When , we choose controller , where is a constant. By utilizing the same design procedure design, the derivative of satisfies (6). □
Remark 3.
Different from existing studies [8,9,10,23,28], in this section, we first design state feedback controllers for the nominal system (3). Later on, we will consider the original system and find suitable bounds for the nonlinear terms encountered in the controller design step. To ensure the stability of the system, we introduce scaling gain to regulate the response of the system by adjusting the proportionality between the output of the controller and the state of the system. A proper scaling gain ensures the stability of the system and improves the performance of the system.
3. Main Results
Now, we choose the value of constants p and . When , let ; when , let . For the convenience of stability analysis, we choose , . For System (1), we introduce the following coordinate transformations
where is a scaling gain to be determined later. Using (17), System (1) is transformed into
where , . Similar to (4), we will apply the following coordinate transformations
where , is defined in Lemma 4.
Theorem 1.
If Assumption 1 holds, then there are decentralized controllers , such that the large-scale nonlinear system (1) is SGPFS.
Proof of Theorem 1.
We define the continuously differentiable function as
, Firstly, by selecting and employing Lemma 4, the following controller can be inferred:
which renders the following:
Upon contemplation of the nonlinear function. Based on Assumption 1 and Lemma 1, it is deduced that
where , , and are suitable constants. By the definition of , we have , which means that is an increase of j. The power of the scaling gain L is computed as
It follows that
where . The definition of yields that , , where is a constant. Using (25) and Lemma 1, it follows that
where are constants. Substituting (26) into (22), it is deduced that
where is a constant. Now, we choose the scaling constant such that . Due to , , the following holds: and . Thereby, we have
which further leads to
where . Substituting (29) into (27) results in
where and are constants. There is a compact set . If , we see that the derivative of the Lyapunov function satisfies , which implies that the state will eventually converge to S. It is not difficult to obtain that any is bounded. Based on the analysis, it shows that all of the conditions outlined in Lemma 2 are satisfied. Therefore, it can be concluded that System (1) is SGPFS. □
Remark 4.
We need to emphasize that the scaling gain L brings additional degrees of freedom to the control design, allowing the control parameters of the system to be adjusted more flexibly. Combined with the idea of homogeneous domination, it is able to effectively counter interconnection problems that emerge in large-scale systems.
Remark 5.
The advantages of this paper are reflected in two aspects: (1) This article explores a decentralized control issue for a class of high-order large-scale systems. The system studied in the article contains high-order powers, disturbances, and strong interconnections that raise many challenges for controller design. (2) A new semi-global finite-time method is proposed. A new Lyapunov function with two components is constructed for controller design. Additionally, a scaling constant and homogeneous domination method is proposed. Finally, we designed a decentralized controller to enable the closed-loop system (1) SGPFS.
4. Robust Tracking Control Design
Further, we investigate the following systems
where is system out, satisfies Assumption 1, and the other symbols are the same as in System (1). In this section, we extend the Section 3 approach to the tracking control problem for System (31). The following assumption is required:
Assumption 2.
For , the reference signal is known and satisfies , where is constant.
We introduce the following transformations:
where L is to be defined later. Using (32), System (31) can be written as
where . In addition, the following coordinate transformations are required to simplify the calculations
where , is defined in Lemma 4. Next, we summarize the extended results.
Theorem 2.
Under Assumptions 1 and 2, there are decentralized tracking controllers such that all of the signals are bounded and the large-scale nonlinear system (31) is SGPFS. In addition, the system output can track the reference signal .
Proof of Theorem 2.
We define the Lyapunov function as , where , . By Lemma 4, the following controller can be inferred:
such that
Similar to (23)–(24), we have
where , , and are constants. It is further implied that
where , , and are constants. Similar to the proof of (19), it is not difficult to derive the following inequality:
where and are constant. By (36) and (39), the derivative of satisfies
where is a positive constant. To enable the inequality to satisfy , the scaling constant is selected as . Similar to (27) and (28), it can deduce that
where , (defined in Section 3), and are positive constants. By defining a compact set , we see that is bounded in . For any outside the set , by (41), it follows that satisfies , which indicates that will converge to the set . Hence, will be still bounded. We note that , and . We see that are also bounded. This completes the proof. □
5. Simulation Examples
In this section, the simulations of numerical and mechanical examples are presented through Simulink in Matlab 7.11.0 R2010b to verify the feasibility of the proposed method. (Some main configuration parameters are selected as follows: The solver is set as ode45 (Dormand-Prince); the relative tolerance is chosen as le-3.)
Example 1.
Consider the following system:
where , and are system states, and represent the inputs of the two subsystems, respectively. In System (42), the power is denoted as , and the nonlinear functions can be estimated as
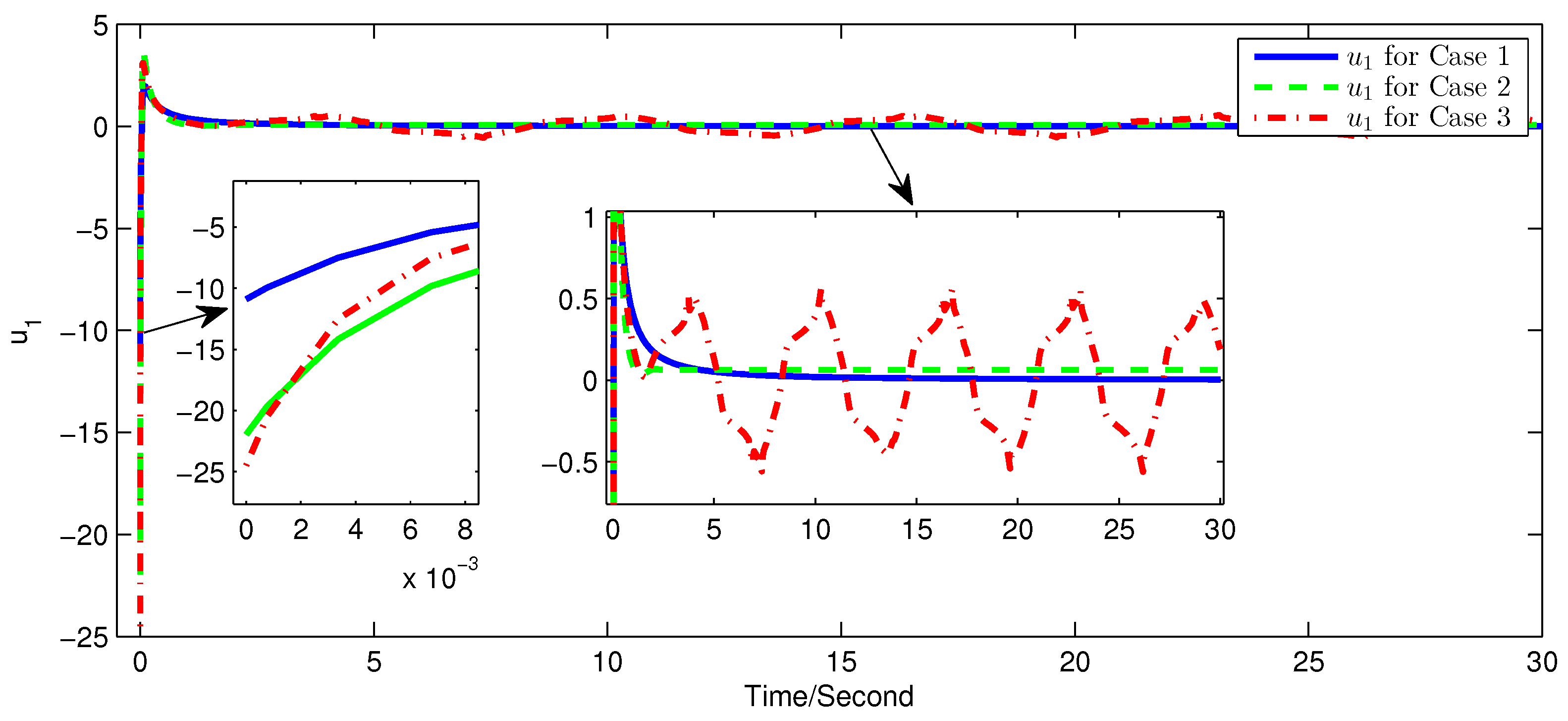
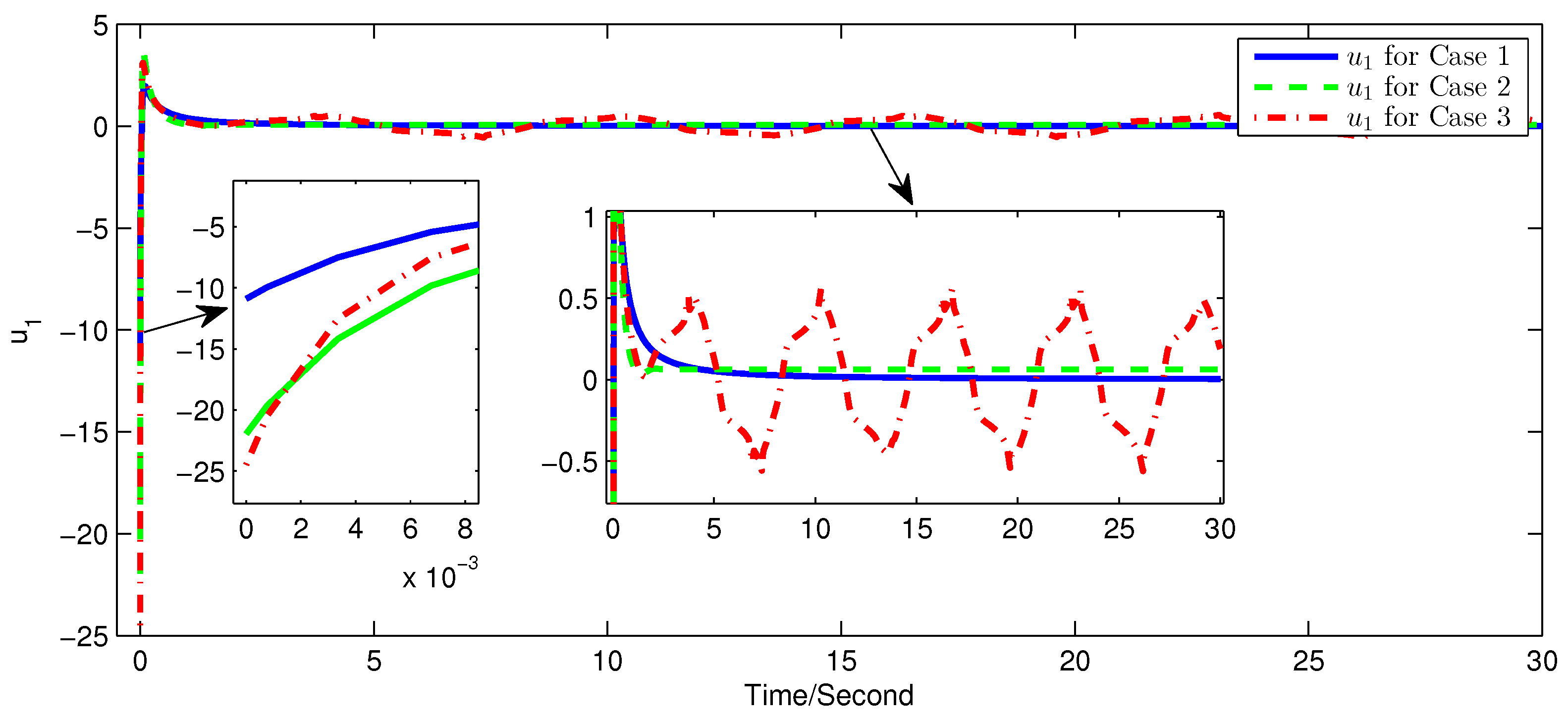
This shows that Assumption 1 holds. To verify the robustness of the solution, we present a comparison of a series of disturbances. Case 1: . Case 2: , . Case 3: , . Choosing yields that , and . We introduce , , . Following the design procedure of Section 3 to (42), the controllers are designed as
In this example, the parameters are chosen as , and . The initial conditions are , , , and . Figure 1, Figure 2, Figure 3, Figure 4, Figure 5 and Figure 6 present simulation results for different cases of disturbances. Figure 1, Figure 2, Figure 3 and Figure 4 show all states , , , and are bounded and converge in finite time. The boundedness of the inputs and can be observed in Figure 5 and Figure 6. When the systems have no disturbance (i.e., Case 1), the signals will converge to a small neighborhood of the origin; when the systems have constant disturbances (i.e., Case 2), the system signals will converge to a constant; when the systems have periodic disturbances (i.e., Case 3), the system signals response will be periodic. Thus, this simulation provides a validation of the robustness of the solution.
Figure 1.
The trajectories of state .
Figure 2.
The trajectories of state .
Figure 3.
The trajectories of state .
Figure 4.
The trajectories of state .
Figure 5.
The trajectories of input .
Figure 6.
The trajectories of input .
Example 2.
Consider the coupled inverted pendulums system [34], see Figure 7.
Figure 7.
Coupled inverted pendulums.
The dynamic model can be described by
where and denote the angles of the two pendulums (in radians), and represent the torques applied to the respective pendulums, and are the mass of the pendulums, l is the length of each pendulum, and k is the spring constant. In this simulation, the parameters are set as , , and . Defining , , , and , (45) can be written as
The nonlinear functions can be estimated as
Thus, we see the nonlinear function satisfies Assumption 1. Next, we achieve stabilization control and tracking control for System (45), respectively.
Stabilization control. Using Method 1 provided in Theorem 1, we construct the decentralized stabilization controller:
where , , .
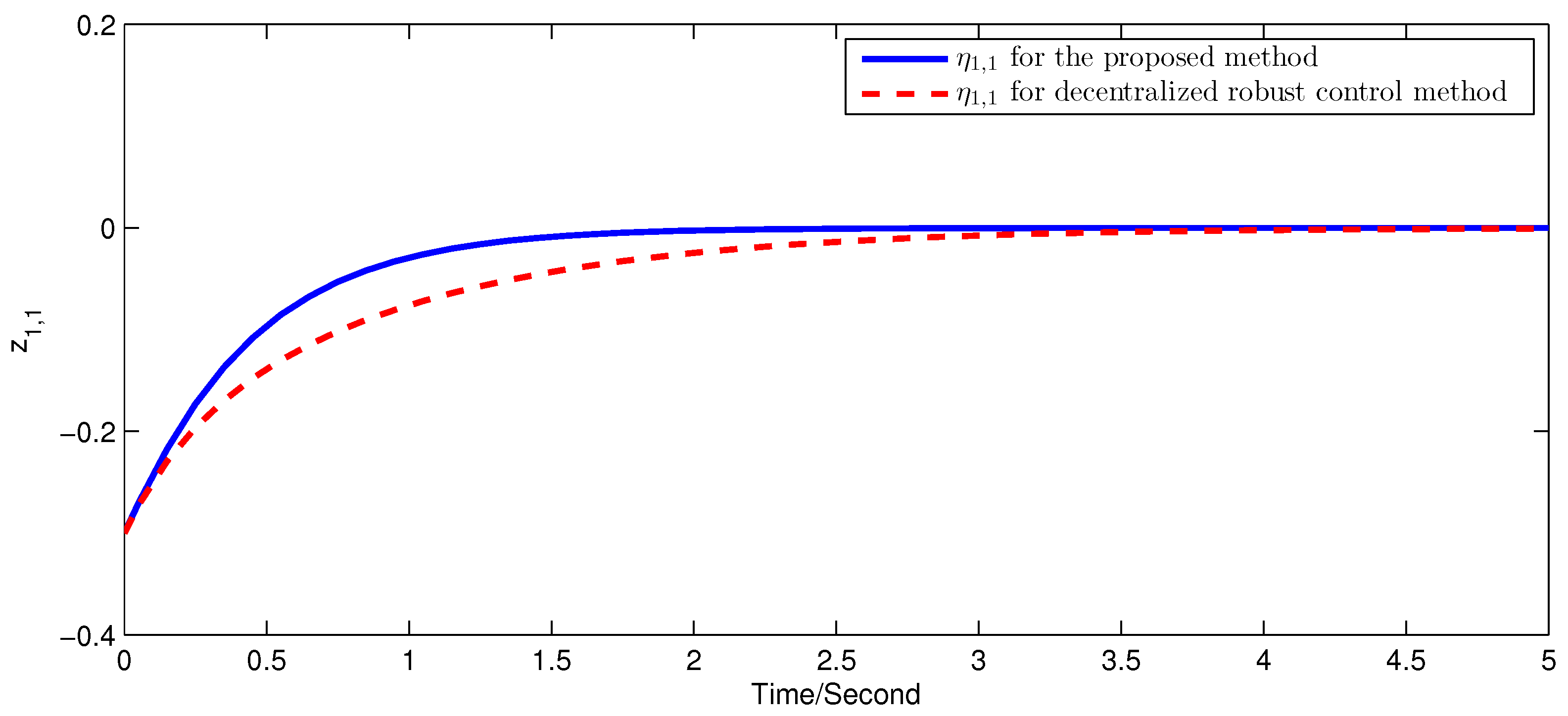
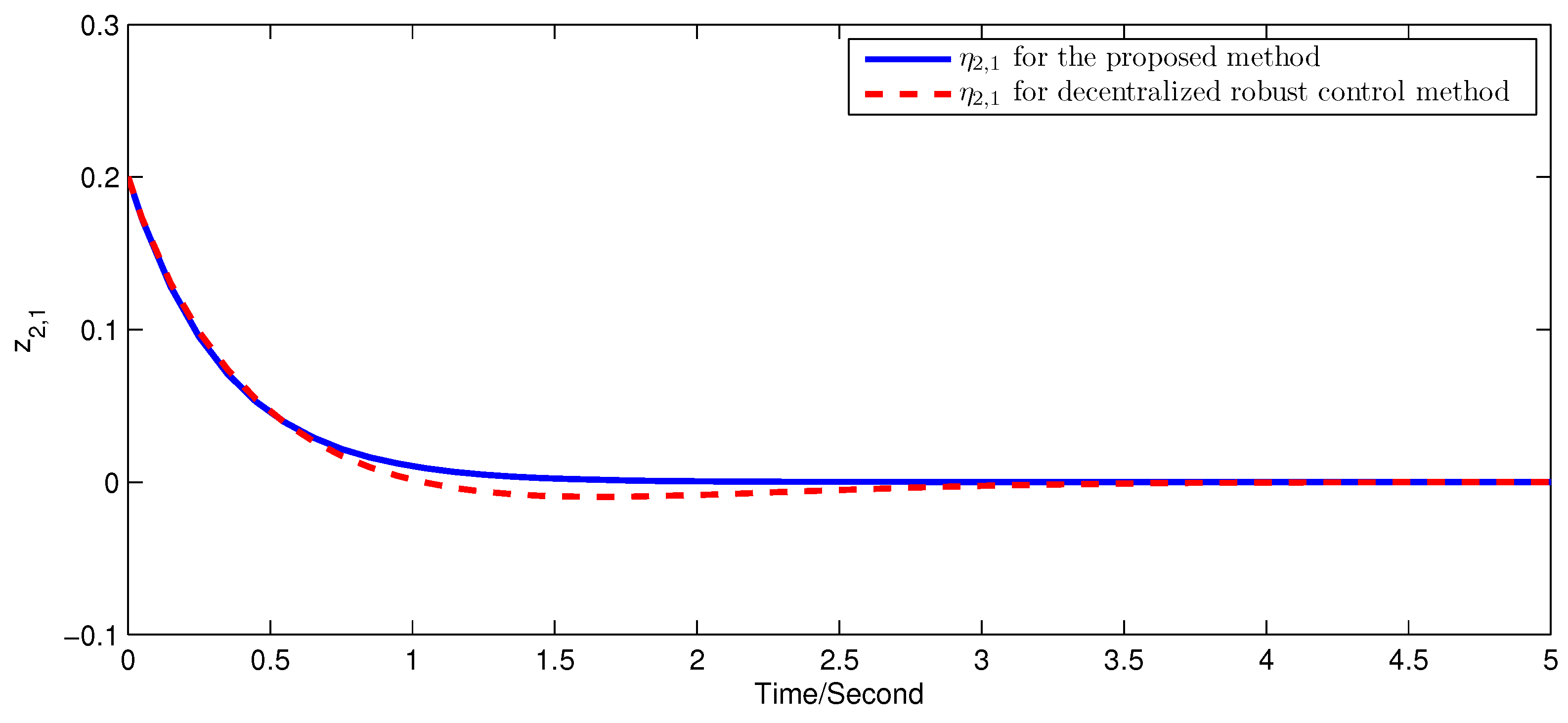
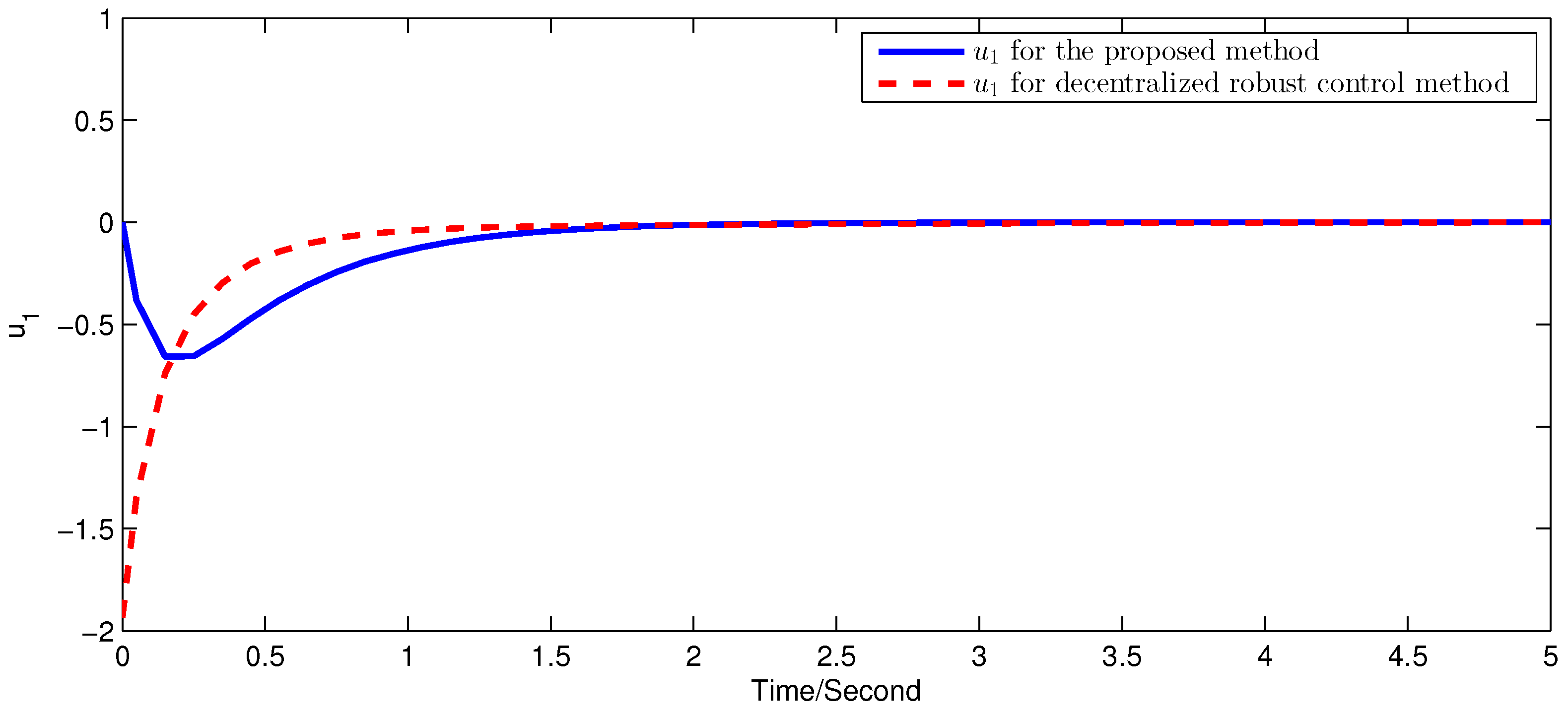
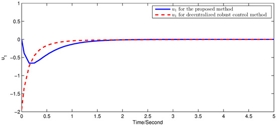
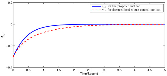
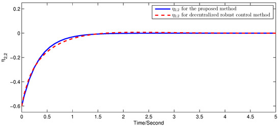
To give a comparison, we perform the simulation using the proposed method and the method of decentralized robust control (see [34]). The system responses are shown in Figure 8, Figure 9, Figure 10, Figure 11, Figure 12 and Figure 13. In this simulation, the design parameters are , , , , , and . Initial conditions are , , , and . From Figure 8, Figure 9, Figure 10 and Figure 11, we see that the method of this paper can regulate the system states faster (for the state , the method of this paper needs about s, and the decentralized robust control method needs about s; for the state , the method of this paper needs about s, and the decentralized robust control method needs about s; for the state , the method of this paper needs about s, and the decentralized robust control method about s; for the state , the method of this paper needs about s, and the decentralized robust control method needs about s). In addition, the control input amplitude using Method 1 is smaller than the method of decentralized robust control. Figure 12 and Figure 13 also show that all system signals are bounded. Therefore, the proposed control method is effective.
Figure 8.
The trajectories of .
Figure 9.
The trajectories of .
Figure 10.
The trajectories of .
Figure 11.
The trajectories of .
Figure 12.
The trajectories of input .
Figure 13.
The trajectories of input .
Tracking control. By using Theorem 2 in this paper, we design the decentralized tracking controller
where , , . In this simulation, the parameters are selected as , , , and the reference signals are set as , . Since the power of (30), we choose , which can verify , . The initial conditions are , , and . Figure 14 and Figure 15 illustrate that the system outputs and are bounded. Additionally, they can track the given signals and , respectively. The trajectories of tracing errors and are shown in Figure 16. Figure 17, Figure 18 and Figure 19 demonstrate that the states and and the inputs and are bounded. Therefore, the proposed algorithm is effective.
Figure 14.
The trajectories of and .
Figure 15.
The trajectories of and .
Figure 16.
The trajectories of tracking errors and .
Figure 17.
The trajectories of states and .
Figure 18.
The trajectory of input .
Figure 19.
The trajectory of input .
6. Conclusions
In this work, the semi-global practical finite-time regulate problem is investigated for a class of high-order large-scale nonlinear systems. The system contains strong interconnections and bounded disturbances. A decentralized control algorithm has been successfully developed by combining the finite-time stability theory with the homogeneous domination method. By introducing the scaling gain technique into the controller design, we enhance effectiveness, stability, and adaptability to a broader range of control requirements. Certain significant questions still need to be addressed. For example, can we use the approach to enable semi-global practical finite-time stabilization of the system when the system (1) has unknown control coefficients and time delay?
Author Contributions
Conceptualization, H.Z.; methodology, H.Z. and Z.J.; software, Z.J.; validation, Z.J., H.Z. and L.X.; formal analysis, H.Z.; resources, Z.J.; data curation, Z.J.; writing—original draft preparation, Z.J.; writing—review and editing, H.Z. and L.X.; supervision, H.Z. All authors have read and agreed to the published version of the manuscript.
Funding
This research was funded by the Fundamental Research Program of Shanxi Province under grant numbers 202303021221185 and 202203021222003.
Data Availability Statement
Data sharing is not applicable to this article, as no datasets were generated or analyzed during the current study.
Acknowledgments
The authors sincerely appreciate the editors’ and reviewers’ kind attention and valuable comments dedicated to this paper.
Conflicts of Interest
The authors declare no conflicts of interest.
References
- Siljak, D.D. Decentralized Control of Complex Systems; Courier Corporation: Washington, DC, USA, 2011. [Google Scholar]
- Yousfi, M.; Ben Njima, C.; Garna, T. Decentralized robust control of nonlinear uncertain multivariable systems. Arab. J. Sci. Eng. 2021, 46, 9899–9924. [Google Scholar] [CrossRef]
- Davison, E.J.; Aghdam, A.G.; Miller, D.E. Decentralized Control of Large-Scale Systems; Springer: Berlin/Heidelberg, Germany, 2020. [Google Scholar]
- Zhang, X.; Zhang, C.; Wang, Y. Decentralized output feedback stabilization for a class of large-scale feedforward nonlinear time-delay systems. Int. J. Robust Nonlinear Control. 2014, 24, 2628–2639. [Google Scholar] [CrossRef]
- Zhai, J.Y. Decentralised output-feedback control for a class of stochastic non-linear systems using homo-geneous domination approach. IET Control. Appl. 2013, 7, 1098–1109. [Google Scholar] [CrossRef]
- Chen, W.; Li, J. Decentralized output-feedback neural control for systems with unknown interconnections. IEEE Trans. Syst. Man Cybern. Part B (Cybern.) 2008, 38, 258–266. [Google Scholar] [CrossRef] [PubMed]
- Jiang, Z. Decentralized disturbance attenuating output-feedback trackers for large-scale nonlinear systems. Automatica 2002, 38, 1407–1415. [Google Scholar] [CrossRef]
- Yoo, S.J.; Park, J.B. Neural-network-based decentralized adaptive control for a class of large-scale non-linear systems with unknown time-varying delays. IEEE Trans. Syst. Man Cybern. Part B (Cybern.) 2009, 39, 1316–1323. [Google Scholar]
- Li, Y.; Yu, K. Adaptive fuzzy decentralized sampled-data control for large-scale nonlinear systems. IEEE Trans. Fuzzy Syst. 2021, 30, 1809–1822. [Google Scholar] [CrossRef]
- Zhao, B.; Wang, D.; Shi, G.; Liu, D.; Li, Y. Decentralized control for large-scale nonlinear systems with unknown mismatched interconnections via policy iteration. IEEE Trans. Syst. Man Cybern. Syst. 2017, 48, 1725–1735. [Google Scholar] [CrossRef]
- Zhang, X.; Lin, Y. Nonlinear decentralized control of large-scale systems with strong interconnections. Automatica 2014, 50, 2419–2423. [Google Scholar] [CrossRef]
- Shi, L.; Wang, X.; Huang, L.; Cheng, Y. Dynamic event-triggered decentralized control of interconnected systems. Int. J. Robust Nonlinear Control. 2022, 32, 8628–8645. [Google Scholar] [CrossRef]
- Zhan, Y.; Tong, S. Adaptive fuzzy output-feedback decentralized control for fractional-order nonlinear large-scale systems. IEEE Trans. Cybern. 2021, 52, 12795–12804. [Google Scholar] [CrossRef] [PubMed]
- Shao, X.; Tong, S. Adaptive prescribed performance decentralized control for stochastic nonlinear large-scale systems. Int. J. Adapt. Signal Process. 2018, 32, 1782–1800. [Google Scholar] [CrossRef]
- Wang, F.; Chen, B.; Sun, Y.; Gao, Y.; Lin, C. Finite-time fuzzy control of stochastic nonlinear systems. IEEE Trans. Cybern. 2019, 50, 2617–2626. [Google Scholar] [CrossRef]
- Sun, Z.Y.; Shao, Y.; Chen, C.C. Fast finite-time stability and its application in adaptive control of high-order nonlinear system. Automatica 2019, 106, 339–348. [Google Scholar] [CrossRef]
- Wang, L.; Liu, P.X.; Wang, H. Fast finite-time control for nonaffine stochastic nonlinear systems against multiple actuator constraints via output feedback. IEEE Trans. Cybern. 2022, 53, 3253–3262. [Google Scholar] [CrossRef] [PubMed]
- Cui, R.H.; Xie, X.J. Finite-time stabilization of output-constrained stochastic high-order nonlinear systems with high-order and low-order nonlinearities. Automatica 2022, 136, 110085. [Google Scholar] [CrossRef]
- Xi, Q.; Liu, X.; Li, X. Practical Finite-Time Stability of Nonlinear Systems With Delayed Impulsive Control. IEEE Trans. Syst. Man Cybern. Syst. 2023, 53, 7317–7325. [Google Scholar] [CrossRef]
- Xue, L.; Liu, Z.G.; Zhang, W. A new finite time control method to nonlinear systems with uncertain dy-namics and time-varying powers. Int. J. Robust Nonlinear Control. 2023, 33, 8087–8102. [Google Scholar] [CrossRef]
- Zhai, J.; Zha, W.; Fei, S. Semi-global finite-time output feedback stabilization for a class of large-scale uncertain nonlinear systems. Commun. Nonlinear Sci. Numer. Simul. 2013, 18, 3181–3189. [Google Scholar] [CrossRef]
- Liu, X.; Han, Y. Finite time control for MIMO nonlinear system based on higher-order sliding mode. ISA Trans. 2014, 53, 1838–1846. [Google Scholar] [CrossRef]
- Du, P.; Liang, H.; Zhao, S.; Ahn, C.K. Neural-based decentralized adaptive finite-time control for nonline-ar large-scale systems with time-varying output constraints. IEEE Trans. Syst. Man Cybern. Syst. 2019, 51, 3136–3147. [Google Scholar] [CrossRef]
- Hua, C.; Li, Y.; Guan, X. Finite/fixed-time stabilization for nonlinear interconnected systems with dead-zone input. IEEE Trans. Autom. Control. 2016, 62, 2554–2560. [Google Scholar] [CrossRef]
- Xue, L.; Liu, Z.; Zhang, W. Decentralized tracking control for a class of stochastic high-order time-delay nonlinear systems under arbitrary switchings. J. Frankl. Inst. 2020, 357, 887–905. [Google Scholar] [CrossRef]
- Sui, S.; Tong, S.; Chen, C.L.P. Finite-time filter decentralized control for nonstrict-feedback nonlinear large-scale systems. IEEE Trans. Fuzzy Syst. 2018, 26, 3289–3300. [Google Scholar] [CrossRef]
- Sui, S.; Xu, H.; Tong, S.; Chen, C.L.P. Prescribed performance fuzzy adaptive output feedback control for nonlinear MIMO systems in a finite time. IEEE Trans. Fuzzy Syst. 2021, 30, 3633–3644. [Google Scholar] [CrossRef]
- Liu, J.D.; Niu, B.; Kao, Y.G.; Zhao, P.; Yang, D. Decentralized adaptive command filtered neural tracking control of large-scale nonlinear systems: An almost fast finite-time framework. IEEE Trans. Neural Netw. Learn. Syst. 2020, 32, 3621–3632. [Google Scholar] [CrossRef]
- Guo, H.Y.; Zhang, X.G. Sampled observer-based adaptive decentralized control for strict-feedback inter-connected nonlinear systems. J. Frankl. Inst. 2021, 358, 5845–5861. [Google Scholar] [CrossRef]
- Shao, Y.; Jia, X.; Zhang, J.; Shi, X. Adaptive output feedback control of large-scale nonlinear time-delay systems with uncertain output equations. J. Frankl. Inst. 2022, 359, 1795–1820. [Google Scholar] [CrossRef]
- Choi, H.L.; Lim, J.T. Stabilization of a class of nonlinear systems by adaptive output feedback. Automatica 2005, 41, 1091–1097. [Google Scholar] [CrossRef]
- Liu, Z.G.; Wu, Y.Q. A decoupled adaptive control algorithm for global state feedback stabilization of a class of nonlinear systems. Int. J. Adapt. Control. Signal Process. 2015, 29, 1165–1188. [Google Scholar] [CrossRef]
- Zha, W.; Zhai, J.; Fei, S. Output feedback control for a class of stochastic high-order nonlinear systems with time-varying delays. Int. J. Robust Nonlinear Control. 2014, 24, 2243–2260. [Google Scholar] [CrossRef]
- Gong, Z.; Wen, C.; Mital, D.P. Decentralized robust controller design for a class of interconnected uncer-tain systems: With unknown bound of uncertainty. IEEE Trans. Autom. Control. 1996, 41, 850–854. [Google Scholar] [CrossRef]
Disclaimer/Publisher’s Note: The statements, opinions and data contained in all publications are solely those of the individual author(s) and contributor(s) and not of MDPI and/or the editor(s). MDPI and/or the editor(s) disclaim responsibility for any injury to people or property resulting from any ideas, methods, instructions or products referred to in the content. |
© 2024 by the authors. Licensee MDPI, Basel, Switzerland. This article is an open access article distributed under the terms and conditions of the Creative Commons Attribution (CC BY) license (https://creativecommons.org/licenses/by/4.0/).


















