Fixed-Time Congestion Control for a Class of Uncertain Multi-Bottleneck TCP/AWM Networks
Abstract
1. Introduction
- (1)
- We studied the multi-bottleneck TCP/AWM network, regarded it as a whole, considered the influence of unknown factors such as the mutual influence between the network nodes and the unmodeled uncertainties, and established a multi-bottleneck TCP/AWM model which is closer to the real network.
- (2)
- We applied fixed-time stability to multi-bottleneck TCP/AWM network congestion control for the first time. The stability duration of the system is solely determined by the design parameters, divorcing it from any reliance on the initial value state of the network system, which is more suitable for practical applications. In the design of the congestion controller, a new parameter adaptive rate and inequality is designed, which is crucial for analyzing the fixed-time stability of the closed-loop system.
2. Model and Preliminaries
- (1)
- The system (4) is globally finite-time stable.
- (2)
- There is a global upper bound stability time function , and for all , the following inequality holds:
3. Adaptive Controller Design and Stability Analysis

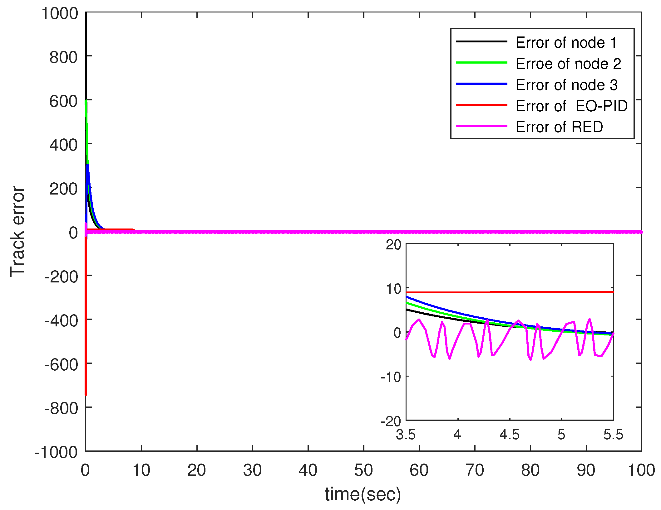
4. Simulation Result
5. Conclusions
Author Contributions
Funding
Data Availability Statement
Conflicts of Interest
References
- Braden, B.; Clark, D.; Crowcroft, J.; Davie, B.; Deering, S.; Estrin, D. Recommendations on queue management and congestion avoidance in the internet. RFC 2309 Inform. 1998, 10, 142–149. [Google Scholar]
- Adams, R. Active queue management: A survey. IEEE Commun. Surv. Tutorials 2013, 15, 1425–1476. [Google Scholar] [CrossRef]
- Floyd, S.; Jacobson, V. Random early detection gateways for congestion avoidance. IEEE/ACM Trans. Netw. 1993, 1, 397–413. [Google Scholar] [CrossRef]
- Ott, T.J.; Lakshman, T.V.; Wong, L.H. SRED: Stabilized RED. In Proceedings of the 18th International Conference on Computer Communications, New York, NY, USA, 21–25 March 1999; pp. 1346–1355. [Google Scholar]
- Feng, W.C.; Shin, K.G.; Kandlur, D.D.; Saha, D. The BLUE active queue management algorithms. IEEE/ACM Trans. Netw. 2002, 10, 513–528. [Google Scholar] [CrossRef]
- Liu, S.; Basar, T.; Srikant, R. Exponential-RED: A stabilizing AQM scheme for low- and high-speed TCP protocols. IEEE/ACM Trans. Netw. 2005, 13, 1068–1081. [Google Scholar]
- Misra, V.; Gong, W.B.; Towsley, D.F. Fluid-based analysis of a network of AQM routers supporting TCP flows with an application to RED. In Proceedings of the 19th IEEE Internationl Conference on SIGCOMM, Stockholm, Sweden, 28 August–1 September 2000; Volume 30, pp. 151–160. [Google Scholar]
- Unal, H.U.; Melchoraguilar, D.; Ustebay, D.; Niculescu, S.; Ozbay, H. Comparison of PI controllers designed for the delay model of TCP/AQM networks. Comput. Commun. 2013, 36, 1225–1234. [Google Scholar] [CrossRef]
- Zou, M.; Zeng, Q.; Zhang, X. Weakly-supervised Action Learning in Procedural Task Videos via Process Knowledge Decomposition. IEEE Trans. Circuits Syst. Video Technol. 2024, 20, 116–132. [Google Scholar] [CrossRef]
- Li, Z.H.; Liu, Y.; Jing, Y.W. Active queue management algorithm for TCP networks with integral backstepping and minimax. Int. J. Control Autom. Syst. 2019, 17, 1059–1066. [Google Scholar] [CrossRef]
- Zheng, W.M.; Li, Y.X.; Jing, X.W.; Liu, S.K. Adaptive finite-time congestion control for uncertain TCP/AQM network with unknown hysteresis. Complexity 2020, 2020, 4138390. [Google Scholar] [CrossRef]
- Chen, J.Q.; Jing, Y.W. Multiple bottleneck topology TCP/AQM switching network congestion control with input saturation and prescribed performance. ISA Trans. 2023, 135, 369–379. [Google Scholar] [CrossRef]
- Li, Y.X.; Liu, S.K.; Li, J.; Zheng, W.M. Congestion tracking control of multi-bottleneck TCP networks with input-saturation and dead-zone. Aims Math. 2024, 9, 10935–10954. [Google Scholar] [CrossRef]
- Barbera, M.; Lombardo, A.; Panarello, C.; Schembra, G. Active window management: An efficient gateway mechanism for TCP traffic control. In Proceedings of the 2007 IEEE International Conference on Communications, Glasgow, UK, 24–28 June 2007; pp. 6141–6148. [Google Scholar]
- Barbera, M.; Lombardo, A.; Panarello, C.; Schembra, G. Active window management: Performance assessment through an extensive comparison with XCP. In Proceedings of the International Conference on Research in Networking, Singapore, 5–9 May 2008; Springer: Berlin/Heidelberg, Germany, 2008; p. 4982. [Google Scholar]
- Bruschi, R.; Lombardo, A.; Panarello, C.; Podda, E.; Santagati, E.; Schembra, G. Active window management: Reducing energy consumption of TCP congestion control. In Proceedings of the IEEE International Conference on Communications, Budapest, Hungary, 9–13 June 2013; pp. 4154–4158. [Google Scholar]
- Yuan, X.D.; Jing, Y.W.; Jiang, N. Research of control scheme of AWM based on PID. In Proceedings of the 28th IEEE Chinese Control and Decision Conference, Yinchuan, China, 28–30 May 2016; pp. 1512–1516. [Google Scholar]
- Xie, H.X.; Jing, Y.W. Event-triggered preset performance congestion control for TCP/AWM network systems. Control. Theory Appl. 2023, 40, 450. [Google Scholar]
- Bhat, S.P.; Bernstein, D.S. Finite-time stability of continuous autonomous systems. SIAM J. Optim. 2000, 38, 751–766. [Google Scholar] [CrossRef]
- Liang, Y.J.; Ma, R.; Wang, M.; Fu, J. Global finite-time stabilisation of a class of switched nonlinear systems. Int. J. Syst. Sci. 2015, 46, 2897–2904. [Google Scholar] [CrossRef]
- Li, H.Y.; Zhao, S.Y.; He, W. Adaptive finite-time tracking control of full state constrained nonlinear systems with dead-zone. Automatica 2019, 100, 99–107. [Google Scholar] [CrossRef]
- Guo, R.N.; Xu, S.Y. Observer-based sliding mode synchronization control of complex-valued neural net-works with inertial term and mixed time-varying delays. Appl. Math. Comput. 2023, 442, 127761. [Google Scholar]
- Polyakov, A. Nonlinear feedback design for fixed-time stabilization of linear control systems. IEEE Trans. Automat. Control 2012, 57, 2106–2110. [Google Scholar] [CrossRef]
- Wang, F.; Lai, G.Y. Fixed-time control design for nonlinear uncertain systems via adaptive method. Syst. Control Lett. 2020, 140, 104704. [Google Scholar] [CrossRef]
- Lu, K.; Liu, Z.; Wang, Y.; Chen, C.L.P. Fixed-Time Adaptive Fuzzy Control for Uncertain Nonlinear Systems. IEEE Trans. Fuzzy Syst. 2021, 29, 3769–3781. [Google Scholar] [CrossRef]
- Meng, Q.; Ma, Q.; Shi, Y. AAdaptive Fixed-Time Stabilization for a Class of Uncertain Nonlinear Systems. IEEE Trans. Autom. Control 2023, 68, 6929–6936. [Google Scholar] [CrossRef]
- Shen, J.D.; Jing, Y.W.; Dimirovski, G.M. Fixed-time Congestion Tracking Control for a Class of Uncertain TCP/AQM Computer and Communication Networks. Int. J. Control Autom. Syst. 2022, 20, 758–768. [Google Scholar] [CrossRef]
- Ba, D.S.; Li, Y.X.; Tong, S.T. Fixed-time adaptive neural tracking control for a class of uncertain nonstrict nonlinear systems. Neurocomputing 2019, 363, 273–280. [Google Scholar] [CrossRef]
- Sun, Z.Y.; Chen, B.; Lin, C.; Wang, H. Finite-time adaptive control for a class of nonlinear systems with nonstrict feedback structure. IEEE Trans. Cybern. 2018, 48, 2774–2782. [Google Scholar] [CrossRef]
- Wang, H.; Liu, S.; Bai, W. Adaptive neural tracking control for non-affine nonlinear systems with finite-time output constraint. Neurocomputing 2020, 397, 60–69. [Google Scholar] [CrossRef]
- Micev, M.; Ćalasan, M.; Oliva, D. Design and robustness analysis of an Automatic Voltage Regulator system controller by using Equilibrium Optimizer algorithm. Comput. Electr. Eng. 2021, 89, 106930. [Google Scholar] [CrossRef]
- Tan, L.; Zhang, W.; Peng, G.; Chen, G. Stability of TCP/RED systems in AQM routers. IEEE Trans. Autom. Control. 2006, 51, 1393–1398. [Google Scholar] [CrossRef]
- Faramarzi, A.; Heidarinejad, M.; Stephens, B. Equilibrium optimizer: A novel optimization algorithm. Knowl.-Based Syst. 2020, 191, 105190. [Google Scholar] [CrossRef]





Disclaimer/Publisher’s Note: The statements, opinions and data contained in all publications are solely those of the individual author(s) and contributor(s) and not of MDPI and/or the editor(s). MDPI and/or the editor(s) disclaim responsibility for any injury to people or property resulting from any ideas, methods, instructions or products referred to in the content. |
© 2024 by the authors. Licensee MDPI, Basel, Switzerland. This article is an open access article distributed under the terms and conditions of the Creative Commons Attribution (CC BY) license (https://creativecommons.org/licenses/by/4.0/).
Share and Cite
Li, Y.; Chen, J.; Liu, S.; Zheng, W.; Guo, R. Fixed-Time Congestion Control for a Class of Uncertain Multi-Bottleneck TCP/AWM Networks. Actuators 2024, 13, 388. https://doi.org/10.3390/act13100388
Li Y, Chen J, Liu S, Zheng W, Guo R. Fixed-Time Congestion Control for a Class of Uncertain Multi-Bottleneck TCP/AWM Networks. Actuators. 2024; 13(10):388. https://doi.org/10.3390/act13100388
Chicago/Turabian StyleLi, Yanxin, Jiqing Chen, Shangkun Liu, Weimin Zheng, and Runan Guo. 2024. "Fixed-Time Congestion Control for a Class of Uncertain Multi-Bottleneck TCP/AWM Networks" Actuators 13, no. 10: 388. https://doi.org/10.3390/act13100388
APA StyleLi, Y., Chen, J., Liu, S., Zheng, W., & Guo, R. (2024). Fixed-Time Congestion Control for a Class of Uncertain Multi-Bottleneck TCP/AWM Networks. Actuators, 13(10), 388. https://doi.org/10.3390/act13100388

