A Linear Iterative Controller for Software Defined Control Systems of Aero-Engines Based on LMI
Abstract
1. Introduction
- As the performance of aircraft and aero-engines gradually improve, the functionality and complexity of central control tasks also rapidly increase, which requires high-performance, multi-core microprocessors as controllers, and it places high demands on the thermal management system of the aviation engine.
- Due to the increasing functionality and complexity of core control tasks, the amount of software code in the control system rapidly increases, reducing the software reliability of the control system.
- Control tasks are centralized on the central controller. The central controller determines the performance of the aero-engine’s control system, and its damage or failure have a significant impact on the control system.
2. Aero-Engine Model
2.1. Nonlinear Model of Turbofan Engines
- (1)
- Intake
- (2)
- Fan
- (3)
- Compressor
- (4)
- Combustion chamber
- (5)
- High-pressure turbine
- (6)
- Low-pressure turbine
- (7)
- Bypass duct
- (8)
- Mixer
- (9)
- Nozzle
2.2. Common Working Equations
- (1)
- Power balance equation of the high-pressure rotor:
- (2)
- Power balance equation of the low-pressure rotor:
- (3)
- Flow balance equation of the fan:
- (4)
- Flow balance equation of the high-pressure turbine:
- (5)
- Flow balance equation of the low-pressure turbine:
- (6)
- Flow balance equation of the nozzle:
2.3. Linearization of Nonlinear Models
3. Aero-Engines’ Linear Iterative Controller
3.1. Software Defined Control Systems of the Aero-Engines
3.2. Linear Iterative Controller Design Scheme
3.3. Control System Modeling
- Low resource consumption
- 2.
- Balanced resource consumption
- 3.
- Good software performance
- 4.
- Easy to develop
4. Controller Parameter Tuning Method Based on LMI
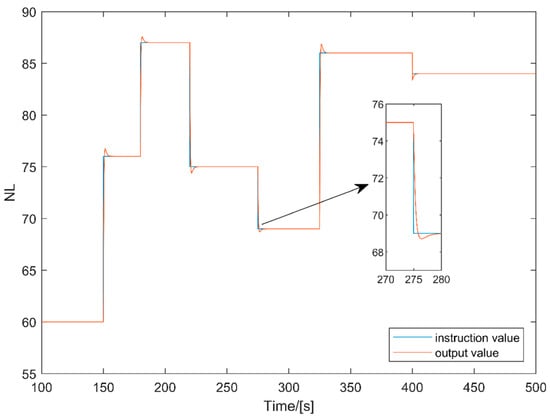
5. Simulation Analysis
6. Conclusions
Author Contributions
Funding
Data Availability Statement
Conflicts of Interest
References
- Wang, X.; Du, X.; Wang, X.; Sun, X.; Li, Y. Controller Design of Aero-engines under the Distributed Architecture with Time Delays. In Proceedings of the 2020 39th Chinese Control Conference (CCC), Shenyang, China, 27–29 July 2020. [Google Scholar]
- De Giorgi, M.G.; Strafella, L.; Ficarella, A. Neural Nonlinear Autoregressive Model with Exogenous Input (NARX) for Turboshaft Aeroengine Fuel Control Unit Model. Aerospace 2021, 8, 206. [Google Scholar] [CrossRef]
- Zhang, L.; Xie, S.; Zhang, Y.; Ren, L.; Zhou, B.; Wang, H.; Peng, J.; Wang, L.; Li, Y. Aero-Engine DCS Fault-Tolerant Control with Markov Time Delay Based on Augmented Adaptive Sliding Mode Observer. Asian J. Control. 2020, 22, 788–802. [Google Scholar] [CrossRef]
- Lv, C.; Chang, J.; Bao, W.; Yu, D. Recent Research Progress on Airbreathing Aero-Engine Control Algorithm. Propuls. Power Res. 2022, 11, 1–57. [Google Scholar] [CrossRef]
- Culley, D.; Thomas, R.; Saus, J. Concepts for Distributed Engine Control. In Proceedings of the 43rd AIAA/ASME/SAE/ASEE Joint Propulsion Conference & Exhibit, Cincinnati, OH, USA, 8–11 July 2007. [Google Scholar]
- Gianluca, A. Interconnected Dynamic Systems: An Overview on Distributed Control. IEEE Contr. Syst. Mag. 2013, 33, 76–88. [Google Scholar]
- Xu, S.; Bao, J. Distributed Control of Plantwide Chemical Processes. J. Process. Control. 2009, 19, 1671–1687. [Google Scholar] [CrossRef]
- Chen, T.; Shan, J. Distributed Tracking of Multiple Under-actuated Lagrangian Systems with Uncertain Parameters and Actuator Faults. In Proceedings of the 2019 American Control Conference (ACC), Philadelphia, PA, USA, 10–12 July 2019. [Google Scholar]
- Chen, T.; Shan, J. Distributed Adaptive Attitude Control for Multiple Underactuated Flexible Spacecraft. In Proceedings of the 2018 Annual American Control Conference (ACC), Milwaukee, WI, USA, 27–29 June 2018. [Google Scholar]
- Chen, T.; Shan, J. Distributed Tracking of a Class of Underactuated Lagrangian Systems with Uncertain Parameters and Actuator Faults. IEEE Trans. Ind. Electron. 2020, 67, 4244–4253. [Google Scholar] [CrossRef]
- Zhao, Y.; Qiu, H.; Song, H. Distributed Measurement and Control System of the Test-rig of Ram-compressed Rotor Aero-engine Based on PLC and PXI bus. In Proceedings of the 2012 IEEE International Conference on Control Applications, Dubrovnik, Croatia, 3–5 October 2012. [Google Scholar]
- Li, G.; Wang, X.; Ren, X. Multi-package Transmission Aero-engine DCS Neural Network Sliding Mode Control Based on Multi-Kernel LS-SVM Packet Dropout Online Compensation. PLoS ONE 2020, 15, e0234356. [Google Scholar]
- Zhang, S.; Zhang, D.; Zhang, Z.; Zhang, Q.; Lu, B. Dynamic Control Allocation Fault-Tolerant Method for a Class of Distributed Control Systems. In Proceedings of the 2018 37th Chinese Control Conference (CCC), Wuhan, China, 25–27 July 2018. [Google Scholar]
- Lubomir, B. Decentralized Control: An Overview. Annu. Rev. Control 2008, 32, 87–98. [Google Scholar]
- Lubomir, B. Decentralized Control: Status and Outlook. Annu. Rev. Control 2014, 38, 1367–5788. [Google Scholar]
- Maria, F.; Agostino, M.; Giovanni, P.; Walter, U. A Decentralized Control Strategy for the Coordination of AGV Systems. Control Eng. Pract. 2018, 70, 86–97. [Google Scholar]
- Yang, C.; Jaime, L.; Antonia, T.; Andreas, M. Decentralized Control of Distributed Cloud Networks with Generalized Network Flows. IEEE. Trans. Commun. 2023, 71, 256–268. [Google Scholar]
- Shojaee, M.; Azizi, M. Optimal Decentralized Control of a Wind Turbine and Diesel Generator System. Optim. Control Appl. Meth. 2023, 44, 677–698. [Google Scholar] [CrossRef]
- Pan, M.; Cao, L.; Zhou, W.; Huang, J.; Chen, Y. Robust Decentralized Control Design for Aircraft Engines: A Fractional Type. Chin. J. Aeronaut. 2019, 32, 347–360. [Google Scholar] [CrossRef]
- Ji, X.; Li, J.; Ren, J.; Wu, Y.; Wang, K. Fully Connected Clustering Based Software Defined Control System and Node Failure Analysis. J. Northwest. Polytech. Univ. 2019, 37, 1238–1247. [Google Scholar] [CrossRef]
- Stöhr, M.; Geigle, K.; Hadef, R.; Boxx, I.; Carter, C.; Grader, M.; Gerlinger, P. Time-Resolved Study of Transient Soot Formation in an Aero-engine Model Combustor at Elevated Pressure. Proc. Combust. Inst. 2019, 37, 5421–5428. [Google Scholar] [CrossRef]
- Zheng, Q.; Fang, J.; Hu, Z.; Zhang, H. Aero-Engine On-Board Model Based on Batch Normalize Deep Neural Network. IEEE Access 2019, 7, 54855–54862. [Google Scholar] [CrossRef]
- Pang, S.; Li, Q.; Feng, H. A Hybrid Onboard Adaptive Model for Aero-engine Parameter Prediction. Aerosp. Sci. Technol. 2020, 105, 105951. [Google Scholar] [CrossRef]
- Ren, L.; Ye, Z.; Zhao, Y. A Modeling Method for Aero-engine by Combining Stochastic Gradient Descent with Support Vector Regression. Aerosp. Sci. Technol. 2020, 99, 105775. [Google Scholar] [CrossRef]
- Zhao, Y.; Zhao, J.; Fu, Y.; Shi, Y.; Chen, C. Rate Bumpless Transfer Control for Switched Linear Systems with Stability and Its Application to Aero-Engine Control Design. IEEE Trans. Ind. Electron. 2020, 67, 4900–4910. [Google Scholar] [CrossRef]
- Shi, Y.; Sun, X. Bumpless Transfer Control for Switched Linear Systems and Its Application to Aero-Engines. IEEE Trans. Circuits I. 2021, 68, 2171–2182. [Google Scholar] [CrossRef]
- Morteza, M.; Ali, R.; Ali, J.; Milad, E. Design and Implementation of MPC for Turbofan Engine Control System. Aerosp. Sci. Technol. 2019, 92, 99–113. [Google Scholar]
- Morteza, M.; Ali, R. Analyzing Different Numerical Linearization Methods for the Dynamic Model of a Turbofan Engine. Mech. Ind. 2019, 20, 303. [Google Scholar]
- Gou, L.; Zeng, X.; Wang, Z.; Han, G.; Lin, C.; Cheng, X. A Linearization Model of Turbofan Engine for Intelligent Analysis Towards Industrial Internet of Things. IEEE Access. 2019, 7, 145313–145323. [Google Scholar] [CrossRef]
- Chen, Q.; Huang, J.; Pan, M.; Lu, F. A Novel Real-Time Mechanism Modeling Approach for Turbofan Engine. Energies 2019, 12, 3791. [Google Scholar] [CrossRef]
- Ling, Y.; Zhou, W.; Zhu, P.; Zeng, J. Modeling of a Large Envelope System for Turbofan Engine. J. Nanjing Univ. Aeronaut. Astronaut. 2021, 53, 529–536. [Google Scholar]
- Ji, X.; Li, J.; Ren, J.; Wu, Y. A Decentralized LQR Output Feedback Control for Aero-Engines. Actuators 2023, 12, 164. [Google Scholar] [CrossRef]
- Belapurkar, R. Stability and Performance of Proplusion Control Systems with Distributed Control Architectures and Failure. Ph.D. Thesis, The Ohio State University, Columbus, OH, USA, 2012. [Google Scholar]
- Thompson, H.; Fleming, P. Distributed Aero-Engine Control Systems Architecture Selection Using Multi-Objective Optimisation. In Proceedings of the 5th IFAC Workshop on Algorithm & Architecture for Real Time Control (AARTC’ 98), Cancun, Mexico, 15–17 April 1998. [Google Scholar]
- Skira, C.; Agnello, M. Control Systems for the Next Century’s Fighter Engines. J. Eng. Gas Turbines Power. 1992, 114, 749–754. [Google Scholar] [CrossRef]
- Ricardo, C.; Pedro, L. LMI Conditions for Robust Stability Analysis Based on Polynomially Parameter-dependent Lyapunov Functions. Syst. Control Lett. 2006, 55, 52–61. [Google Scholar]
- Bruno, M.; Joao, Y.; Eduardo, S. LMI-based Consensus of Linear Multi-agent Systems by reduced-order Dynamic Output Feedback. ISA Trans. 2020, 129, 121–129. [Google Scholar]
- Ghaoui, L.; Oustry, F.; AitRami, M. A cone complementarity linearization algorithm for static output-feedback and related problems. IEEE Trans. Automat. Contr. 1997, 42, 1171–1176. [Google Scholar] [CrossRef]








Disclaimer/Publisher’s Note: The statements, opinions and data contained in all publications are solely those of the individual author(s) and contributor(s) and not of MDPI and/or the editor(s). MDPI and/or the editor(s) disclaim responsibility for any injury to people or property resulting from any ideas, methods, instructions or products referred to in the content. |
© 2023 by the authors. Licensee MDPI, Basel, Switzerland. This article is an open access article distributed under the terms and conditions of the Creative Commons Attribution (CC BY) license (https://creativecommons.org/licenses/by/4.0/).
Share and Cite
Ji, X.; Ren, J.; Li, J.; Wu, Y. A Linear Iterative Controller for Software Defined Control Systems of Aero-Engines Based on LMI. Actuators 2023, 12, 259. https://doi.org/10.3390/act12070259
Ji X, Ren J, Li J, Wu Y. A Linear Iterative Controller for Software Defined Control Systems of Aero-Engines Based on LMI. Actuators. 2023; 12(7):259. https://doi.org/10.3390/act12070259
Chicago/Turabian StyleJi, Xiaoxiang, Jiao Ren, Jianghong Li, and Yafeng Wu. 2023. "A Linear Iterative Controller for Software Defined Control Systems of Aero-Engines Based on LMI" Actuators 12, no. 7: 259. https://doi.org/10.3390/act12070259
APA StyleJi, X., Ren, J., Li, J., & Wu, Y. (2023). A Linear Iterative Controller for Software Defined Control Systems of Aero-Engines Based on LMI. Actuators, 12(7), 259. https://doi.org/10.3390/act12070259
