Adaptive Multi-Parameter Estimation of Inertial Stabilization Platform with Unknown Load
Abstract
1. Introduction
- (1)
- In order to reduce the parameters to be identified, many studies simplified the dynamic model to a first-order model, which reduces the accuracy of the model and leads to the low accuracy of parameter identification.
- (2)
- For the dual-inertia dynamic model with backlash and a nonlinear friction torque of motor and load, the explicit expression for online identification of parameters has not been seen.
- (1)
- An adaptive estimation method of the dual-inertia model considering the backlash and nonlinear friction torque of motor and load is proposed.
- (2)
- The explicit solutions of all model parameters in the online estimation process are obtained.
- (3)
- The multi-parameter online identification method proposed in this manuscript can achieve simultaneous online identification of nine key dynamic parameters, including load MOI, transmission stiffness, motor viscous damping coefficient, load viscous damping coefficient, Coulomb friction torque of motor forward and reverse, Coulomb friction torque of load forward and reverse, and transmission backlash.
2. Problem Statement
3. Multi-Parameter Online Identification Method
4. Simulation and Experimental Verification
4.1. Simulation Analysis
4.2. Experimental Results
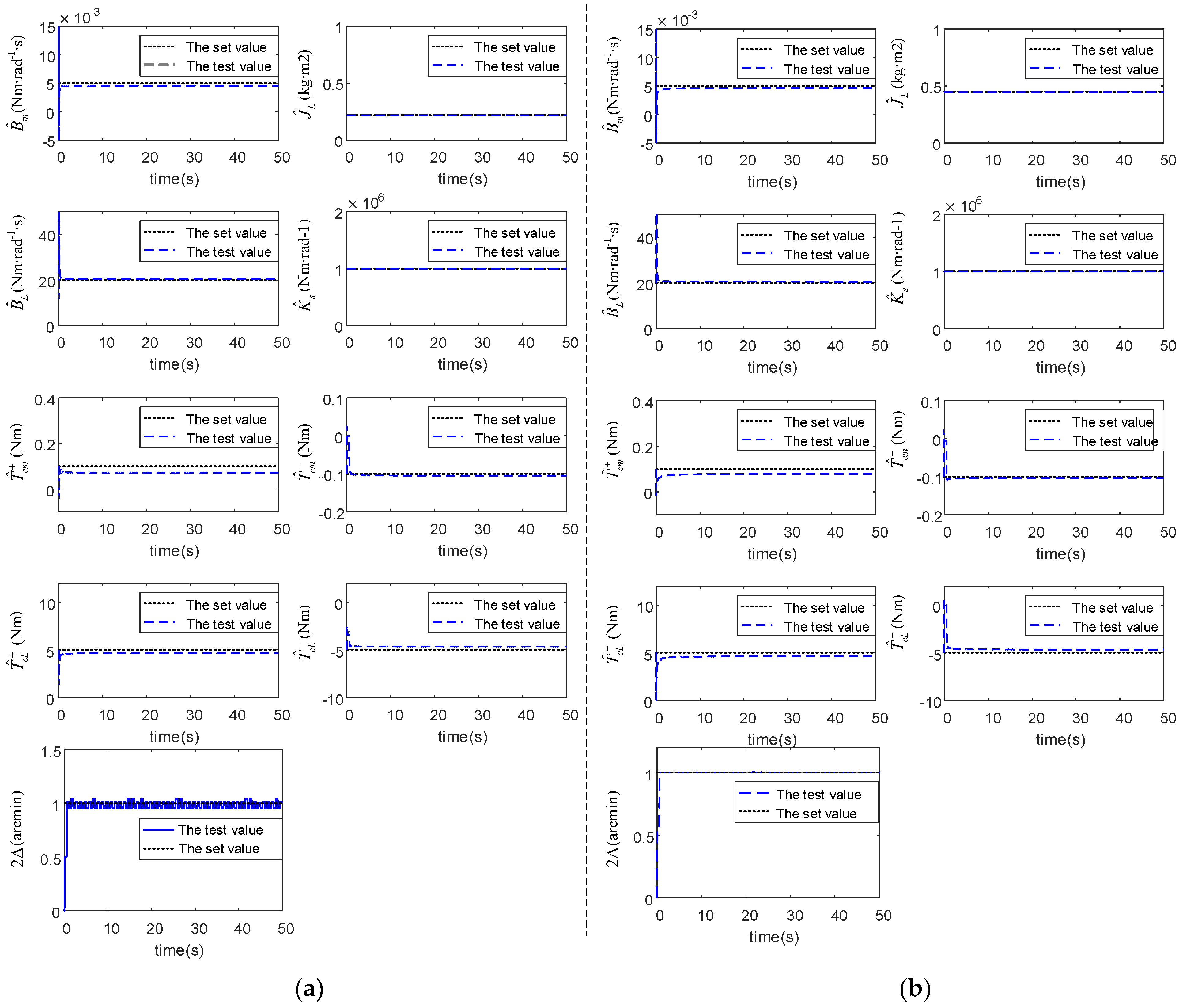
4.2.1. Multi-Parameter Online Identification Results
4.2.2. Dynamic Model Validation Results
5. Conclusions
- (1)
- Simulation and experimental results show that when the load changes, the multi-parameter estimation method can simultaneously identify the changes of , , , , , , , , and at one time, and the steady-state error is less than 10%, which is more comprehensive than previous studies;
- (2)
- Compared with the traditional linear dual-inertia model neglecting the backlash and nonlinear friction torque, the RMSE between the proposed model and the actual system can be reduced from 6.83 to 2.37, which is improved by 65.3% at most.
Author Contributions
Funding
Institutional Review Board Statement
Informed Consent Statement
Data Availability Statement
Conflicts of Interest
References
- Jiang, X.; Fan, D.; Fan, S.; Xie, X.; Chen, N. High-precision gyro-stabilized control of a gear-driven platform with a floating gear tension device. Front. Mech. Eng. 2021, 16, 487–503. [Google Scholar] [CrossRef]
- Weng, J.; Liu, J.; Jiao, M.; Kou, K. Analysis and on-line compensation of gravity disturbance in a high-precision inertial navigation system. GPS Solut. 2020, 24, 83. [Google Scholar] [CrossRef]
- Ren, W.; Luo, Y.; He, Q.; Zhou, X.; Deng, C.; Mao, Y.; Ren, G. Stabilization Control of Electro-Optical Tracking System with Fiber-Optic Gyroscope Based on Modified Smith Predictor Control Scheme. IEEE Sens. J. 2018, 18, 8172–8178. [Google Scholar] [CrossRef]
- Yang, Y.; Lin, Z.; Liu, F. Stable Imaging and Accuracy Issues of Low-Altitude Unmanned Aerial Vehicle Photogrammetry Systems. Remote Sens. 2016, 8, 316. [Google Scholar] [CrossRef]
- Zhou, X.; Shi, Y.; Li, L.; Yu, R.; Zhao, L. A High Precision Compound Control Scheme Based on Non-singular Terminal Sliding Mode and Extended State Observer for an Aerial Inertially Stabilized Platform. Int. J. Control Autom. Syst. 2020, 18, 1498–1509. [Google Scholar] [CrossRef]
- Yan, L.; Dai, J.; Zhao, Y.; Chen, C. Real-Time 3D Mapping in Complex Environments Using a Spinning Actuated LiDAR System. Remote Sens. 2023, 15, 963. [Google Scholar] [CrossRef]
- Wang, S.; Zhu, R. Nonlinear dynamic analysis of GTF gearbox under friction excitation with vibration characteristics recognition and control in frequency domain. Mech. Syst. Signal Process. 2021, 151, 107373. [Google Scholar] [CrossRef]
- Cao, Z.; Chen, Z.; Jiang, H. Nonlinear dynamics of a spur gear pair with force-dependent mesh stiffness. Nonlinear Dyn. 2020, 99, 1227–1241. [Google Scholar] [CrossRef]
- Siyu, C.; Jinyuan, T.; Caiwang, L.; Qibo, W. Nonlinear dynamic characteristics of geared rotor bearing systems with dynamic backlash and friction. Mech. Mach. Theory 2011, 46, 466–478. [Google Scholar] [CrossRef]
- Harandi, M.R.J.; Khalilpour, S.A.; Taghirad, H.D.; Romero, J.G. Adaptive control of parallel robots with uncertain kinematics and dynamics. Mech. Syst. Signal Process. 2021, 157, 107693. [Google Scholar] [CrossRef]
- Li, S.; Liu, Z. Adaptive Speed Control for Permanent-Magnet Synchronous Motor System with Variations of Load Inertia. IEEE Trans. Ind. Electron. 2009, 56, 3050–3059. [Google Scholar] [CrossRef]
- Ding, J.; Zhang, W. Finite-time adaptive control for nonlinear systems with uncertain parameters based on the command filters. Int. J. Adapt. Control Signal Process. 2021, 35, 1754–1767. [Google Scholar] [CrossRef]
- Wang, S.; Na, J. Parameter Estimation and Adaptive Control for Servo Mechanisms with Friction Compensation. IEEE Trans. Ind. Inform. 2020, 16, 6816–6825. [Google Scholar] [CrossRef]
- Zhou, J.; Wen, C.; Wang, W. Adaptive control of uncertain nonlinear systems with quantized input signal. Automatica 2018, 95, 152–162. [Google Scholar] [CrossRef]
- She, J.; Wu, L.; Zhang, C.-K.; Liu, Z.-T.; Xiong, Y. Identification of Moment of Inertia for PMSM Using Improved Modelreference Adaptive System. Int. J. Control Autom. Syst. 2022, 20, 13–23. [Google Scholar] [CrossRef]
- Liu, F.; Kang, E.; Cui, N. Single-loop model prediction control of PMSM with moment of inertia identification. IEEJ Trans. Elec. Electron. Eng. 2020, 15, 577–583. [Google Scholar] [CrossRef]
- Kim, S. Moment of Inertia and Friction Torque Coefficient Identification in a Servo Drive System. IEEE Trans. Ind. Electron. 2019, 66, 60–70. [Google Scholar] [CrossRef]
- Lian, C.; Xiao, F.; Gao, S.; Liu, J. Load Torque and Moment of Inertia Identification for Permanent Magnet Synchronous Motor Drives Based on Sliding Mode Observer. IEEE Trans. Power Electron. 2019, 34, 5675–5683. [Google Scholar] [CrossRef]
- Yang, M.; Liu, Z.; Long, J.; Qu, W.; Xu, D. An Algorithm for Online Inertia Identification and Load Torque Observation via Adaptive Kalman Observer-Recursive Least Squares. Energies 2018, 11, 778. [Google Scholar] [CrossRef]
- Nevaranta, N.; Derammelaere, S.; Parkkinen, J.; Vervisch, B.; Lindh, T.; Stockman, K.; Niemela, M.; Pyrhonen, O.; Pyrhonen, J. Online Identification of a Mechanical System in Frequency Domain Using Sliding DFT. IEEE Trans. Ind. Electron. 2016, 63, 5712–5723. [Google Scholar] [CrossRef]
- Amini, F.; Aghabarari, E. Online parameter estimation and adaptive control with limited information in structures. J. Vib. Control 2022, 28, 2717–2731. [Google Scholar] [CrossRef]
- Alvaro-Mendoza, E.; De León-Morales, J.; Salas-Peña, O. State and parameter estimation for a class of Nonlinear Systems based on Sliding Mode Approach. ISA Trans. 2021, 112, 99–107. [Google Scholar] [CrossRef] [PubMed]
- Xu, Z.; Du, L.; Wang, H.; Deng, Z. Particle swarm optimization-based algorithm of a symplectic method for robotic dynamics and control. Appl. Math. Mech.-Engl. Ed. 2019, 40, 111–126. [Google Scholar] [CrossRef]
- Wang, X.; Liu, B.; Mei, X.; Yun, X.; Li, X.; Li, Q.; Wang, X. Genetic algorithm for dynamic parameters estimation of the machine tool worktable using the residual vibration signal. J. Vib. Control 2022, 28, 1433–1440. [Google Scholar] [CrossRef]
- Zhang, Q.; Fan, Y. The Online Parameter Identification Method of Permanent Magnet Synchronous Machine under Low-Speed Region Considering the Inverter Nonlinearity. Energies 2022, 15, 4314. [Google Scholar] [CrossRef]
- Erkorkmaz, K.; Altintas, Y. High speed CNC system design. Part III: High speed tracking and contouring control of feed drives. Int. J. Mach. Tools Manuf. 2001, 41, 1637–1658. [Google Scholar] [CrossRef]








| Without Load | With Load | |||||
|---|---|---|---|---|---|---|
| Parameters | The Set Value | The Estimated Value | Error (%) | The Set Value | The Estimated Value | Error (%) |
| (Nm∙rad−1∙s) | 0.005 | 0.0045 | 10 | 0.005 | 0.00467 | 6.6 |
| (kg∙m2) | 0.22 | 0.22 | 0 | 0.45 | 0.406 | 9.78 |
| (Nm∙rad−1∙s) | 20 | 20.51 | 2.55 | 20 | 20.54 | 2.7 |
| (Nm∙rad−1) | 1 × 106 | 1 × 106 | 0 | 1 × 106 | 1 × 106 | 0 |
| (Nm) | 0.1 | 0.092 | 8 | 0.1 | 0.0904 | 9.6 |
| (Nm) | −0.1 | −0.1046 | 0.46 | −0.1 | −0.1034 | 0.34 |
| (Nm) | 5 | 4.643 | 7.14 | 5 | 4.612 | 7.76 |
| (Nm) | −5 | −4.683 | 6.34 | −5 | −4.68 | 6.4 |
| (arcmin) | 1 | 0.9~1.1 | 10 | 1 | 1~1.1 | 10 |
| Parameters | Without Load | With Load |
|---|---|---|
| (Nm∙rad−1∙s) | 2.4 × 10−3 | 2.4 × 10−3 |
| (kg∙m2) | 0.246 | 0.453 |
| (Nm∙rad−1∙s) | 23.17 | 25.23 |
| (Nm∙rad−1) | 9.7 × 105 | 8.9 × 105 |
| (Nm) | 0.1 | 0.11 |
| (Nm) | −0.095 | −0.12 |
| (Nm) | 1.9 | 2.89 |
| (Nm) | −1.86 | −2.01 |
| (arcmin) | 0.82 | 1.74 |
| Experiments | Without Load | With Load |
|---|---|---|
| Linear model (fixed values) | 5.23 | 6.83 |
| Linear model (online identification values) | 5.16 | 4.36 |
| Proposed model(fixed values) | 2.12 | 3.52 |
| Proposed model (online identification values) | 2.11 | 2.37 |
Disclaimer/Publisher’s Note: The statements, opinions and data contained in all publications are solely those of the individual author(s) and contributor(s) and not of MDPI and/or the editor(s). MDPI and/or the editor(s) disclaim responsibility for any injury to people or property resulting from any ideas, methods, instructions or products referred to in the content. |
© 2023 by the authors. Licensee MDPI, Basel, Switzerland. This article is an open access article distributed under the terms and conditions of the Creative Commons Attribution (CC BY) license (https://creativecommons.org/licenses/by/4.0/).
Share and Cite
Zheng, J.; Xie, X.; Li, B.; Wan, Z.; Chen, N.; Fan, D. Adaptive Multi-Parameter Estimation of Inertial Stabilization Platform with Unknown Load. Actuators 2023, 12, 176. https://doi.org/10.3390/act12040176
Zheng J, Xie X, Li B, Wan Z, Chen N, Fan D. Adaptive Multi-Parameter Estimation of Inertial Stabilization Platform with Unknown Load. Actuators. 2023; 12(4):176. https://doi.org/10.3390/act12040176
Chicago/Turabian StyleZheng, Jieji, Xin Xie, Baoyu Li, Ziping Wan, Ning Chen, and Dapeng Fan. 2023. "Adaptive Multi-Parameter Estimation of Inertial Stabilization Platform with Unknown Load" Actuators 12, no. 4: 176. https://doi.org/10.3390/act12040176
APA StyleZheng, J., Xie, X., Li, B., Wan, Z., Chen, N., & Fan, D. (2023). Adaptive Multi-Parameter Estimation of Inertial Stabilization Platform with Unknown Load. Actuators, 12(4), 176. https://doi.org/10.3390/act12040176

