Active Damping, Vibration Isolation, and Shape Control of Space Structures: A Tutorial
Abstract
:1. Introduction
2. Active Damping of a Truss Structure
2.1. Open Loop
2.2. Closed-Loop: IFF
3. Guyed Trusses, Cable Structures
3.1. NASA–JPL Interferometer Testbed
3.2. Free-Floating Truss Experiment
4. Payload Vibration Isolation
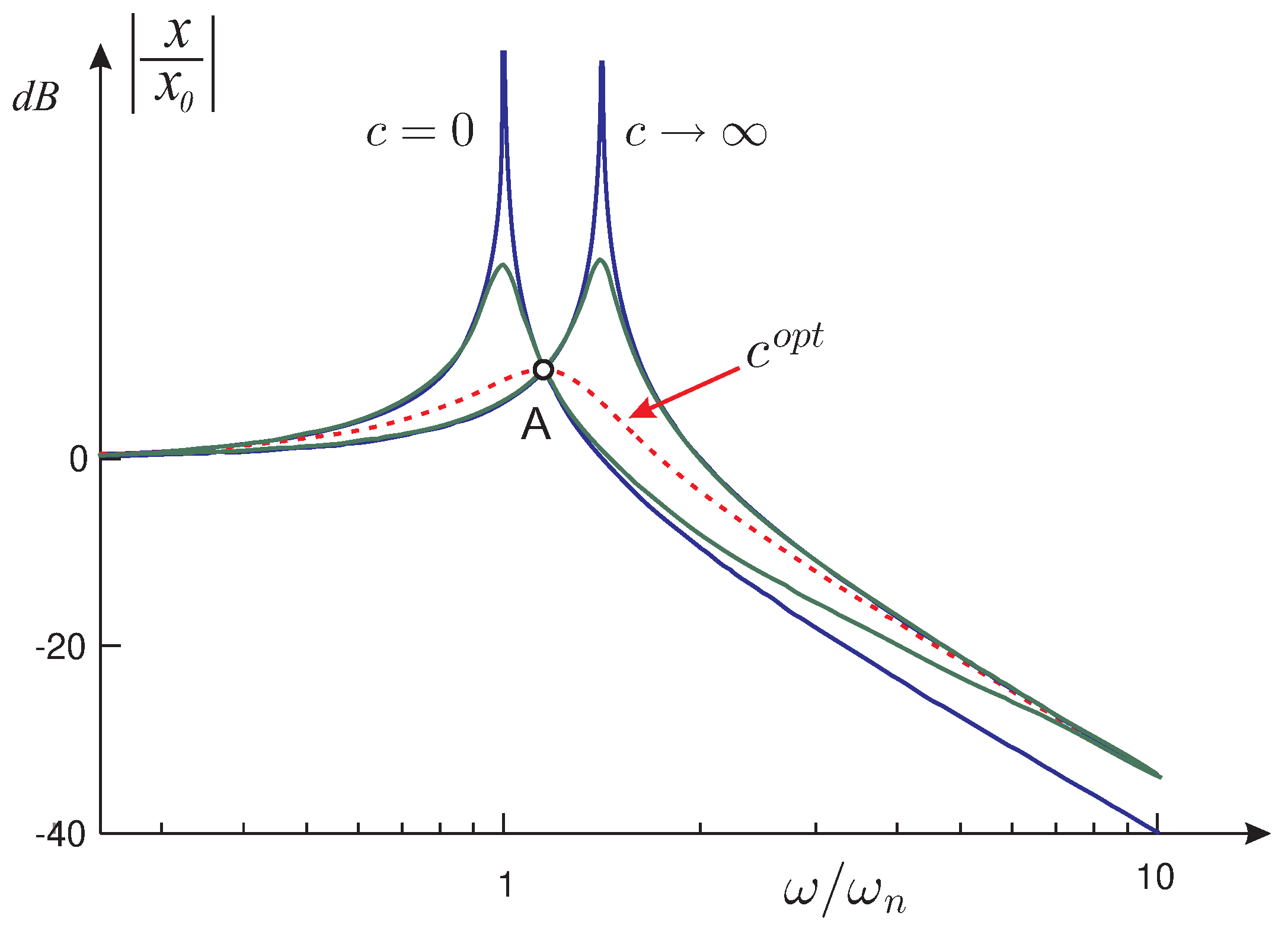
5. Single-Axis Skyhook Damper
Integral Force Feedback
6. Gough–Stewart Platform
7. Relaxation Isolator
8. Shape Control of Precision Structures
9. Adaptive Optics
Piezoelectric Unimorph Mirror
10. Adaptive Spherical Shell
10.1. Adaptive Plate vs. Spherical Shell
10.2. Electrostrictive Polymer
10.3. Influence Functions, Jacobian
10.4. Thermal Response
Funding
Data Availability Statement
Acknowledgments
Conflicts of Interest
Abbreviations
| AO | adaptive optics |
| CFRP | carbon fiber reinforced polymer |
| FRF | frequency response function |
| IFF | integral force feedback |
| GSTP | general support technology program |
| JPL | jet propulsion laboratory |
| JWST | James Webb Space Telescope |
| LEO | low earth orbit |
| LiDAR | light detection and ranging |
| MATS | multilayer adaptive thin shell reflectors |
| MPI | micro-precision interferometer |
| PVDF-TrFE | piezoelectric polymer |
| PZT | piezoelectric ceramic |
| RMS | root mean square |
| SVD | singular value decomposition |
| ULB | Université Libre de Bruxelles |
References
- Hedgepeth, J.M. Accuracy Potentials for Large Space Antenna Reflectors with Passive Structure. J. Spacecr. 1982, 19, 211–217. [Google Scholar] [CrossRef]
- Bekey, I. Advanced Space System Concepts and Technologies: 2010–2030+; American Institute of Aeronautics and Astronautics: Reston, VA, USA, 2003. [Google Scholar]
- Balas, M.J. Active control of flexible systems. J. Optim. Theory Appl. 1978, 25, 415–436. [Google Scholar] [CrossRef]
- Aubrun, J.N. Theory of the control of structures by low-authority controllers. J. Guid. Control. 1980, 3, 444–451. [Google Scholar] [CrossRef]
- Preumont, A.; Dufour, J.P.; Malekian, C. Active damping by a local force feedback with piezoelectric actuators. J. Guid. Control Dyn. 1992, 15, 390–395. [Google Scholar] [CrossRef]
- Preumont, A. Vibration Control of Active Structures, An Introduction, 4th ed.; Springer: Berlin/Heidelberg, Germany, 2018. [Google Scholar]
- de Marneffe, B. Active and Passive Vibration Isolation and Damping via Shunted Transducers. Ph.D. Thesis, Active Structures Laboratory, Université Libre de Bruxelles, Bruxelles, Belgium, 2007. [Google Scholar]
- Achkire, Y. Active Tendon Control of Cable-Stayed Bridges. Ph.D. Thesis, Active Structures Laboratory, Université Libre de Bruxelles, Bruxelles, Belgium, 1997. [Google Scholar]
- Achkire, Y.; Preumont, A. Active tendon control of cable-stayed bridges. Earthq. Eng. Struct. 1996, 25, 585–597. [Google Scholar] [CrossRef]
- Preumont, A.; Achkire, Y. Active Damping of Structures with Guy Cables. J. Guid. Control Dyn. 1997, 20, 320–326. [Google Scholar] [CrossRef]
- Preumont, A.; Achkire, Y.; Bossens, F. Active Tendon Control of Large Trusses. AIAA J. 2000, 38, 493–498. [Google Scholar] [CrossRef]
- Preumont, A.; Voltan, M.; Sangiovanni, A.; Bastaits, R.; Mokrani, B.; Alaluf, D. An investigation of the active damping of suspension bridges. Math. Mech. Complex Syst. 2015, 3, 385–406. [Google Scholar] [CrossRef]
- Laskin, R.A.; Sirlin, S.W. Future payload isolation and pointing system technology. J. Guid. Control Dyn. 1986, 9, 469–477. [Google Scholar] [CrossRef]
- Bossens, F. Contrôle Actif des Structures Câblées: De la Théorie à l’Implémentation. Ph.D. Thesis, Active Structures Laboratory, Université Libre de Bruxelles, Bruxelles, Belgium, 2001. [Google Scholar]
- Bronowicki, A.J. Vibration Isolator for Large Space Telescopes. J. Spacecr. Rocket. 2006, 43, 45–53. [Google Scholar] [CrossRef]
- de Marneffe, B.; Avraam, M.; Deraemaeker, A.; Horodinca, M.; Preumont, A. Vibration Isolation of Precision Payloads: A Six-axis Electromagnetic Relaxation Isolator. J. Guid. Control Dyn. 2009, 32, 395–401. [Google Scholar] [CrossRef]
- Karnopp, D.C.; Trikha, A.K. Comparative study of optimization techniques for shock and vibration isolation. Trans. ASME J. Eng. Ind. Ser. B 1969, 91, 1128–1132. [Google Scholar] [CrossRef]
- Preumont, A.; Francois, A.; Bossens, F.; ABU-HANIEH, A. Force feedback versus acceleration feedback in active vibration isolation. J. Sound Vib. 2002, 257, 605–613. [Google Scholar] [CrossRef]
- ABU-HANIEH, A. Active Isolation and Damping of Vibrations via Stewart Platform. Ph.D. Thesis, Active Structures Laboratory, Université Libre de Bruxelles, Bruxelles, Belgium, 2003. [Google Scholar]
- Spanos, J.; Rahman, Z.; Blackwood, G. A soft 6-axis active vibration isolator. Proceedings of 1995 American Control Conference-ACC’95, Seattle, WA, USA, 21–23 June 1995; pp. 412–416. [Google Scholar]
- Geng, Z.; Haynes, L. Six degree of freedom active vibration isolation system using the Stewart platforms. IEEE Trans. Control Syst. Technol. 1994, 2, 45–53. [Google Scholar] [CrossRef]
- Rodrigues, G. Adaptive Optics with Segmented Deformable Bimorph Mirrors. Ph.D. Thesis, Active Structures Laboratory, Université Libre de Bruxelles, Bruxelles, Belgium, 2010. [Google Scholar]
- Alaluf, D. Piezoelectric Mirrors for Adaptive Optics in Space Telescopes. Ph.D. Thesis, Active Structures Laboratory, Université Libre de Bruxelles, Bruxelles, Belgium, 2016. [Google Scholar]
- Alaluf, D.; Bastaits, R.; Wang, K.; Horodinca, M.; Martic, G.; Mokrani, B.; Preumont, A. Unimorph mirror for adaptive optics in space telescopes. Appl. Opt. 2018, 57, 3629–3638. [Google Scholar] [CrossRef] [PubMed]
- Peral, E.; Imken, T.; Sauder, J.; Statham, S.; Tanelli, S.; Price, D.; Chahat, N.; Williams, A. Raincube, a Ka-band Precipitation Radar in a 6U CubeSat. In Proceedings of the 31st Annual AIAA/USU Conference on Small Satellites, Logan, UT, USA, 12 September 2017. [Google Scholar]
- Wang, K.; Godfroid, T.; Robert, D.; Preumont, A. Electrostrictive PVDF-TrFE thin film actuators for the control of adaptive thin shell reflectors. Actuators 2020, 9, 53. [Google Scholar] [CrossRef]
- Wang, K.; Godfroid, T.; Robert, D.; Preumont, A. Adaptive shell spherical reflector actuated with PVDF-TrFE thin film strain actuators. Actuators 2021, 10, 7. [Google Scholar] [CrossRef]
- Nielsen, C.; Tian, D.; Wang, K.; Preumont, A. Adaptive Deployable Thin Spherical Shell Reflectors. Actuators 2022, 11, 198. [Google Scholar] [CrossRef]




































| 7 | 51.4 | 74.6 | 0.23 |
| 8 | 76.4 | 101 | 0.16 |
| 9 | 83.3 | 106.4 | 0.14 |
| i | ||
|---|---|---|
| 1 | 119.4 | 146.1 |
| 2 | 157.1 | 173.6 |
| 3 | 165.7 | 205.8 |
| 4 | 208.1 | 220.7 |
| Property | PET | PVDF-TrFE | Al |
|---|---|---|---|
| Young Mod. Y [GPa] | 5.6 | 2.5 | 70 |
| Poisson [/] | 0.38 | 0.34 | 0.32 |
| Dielectric const. [/] | - | 10 | - |
| Piezo const. [pC/N] | - | 15 | - |
| CTE [K] | 30 | 140 | 23 |
Disclaimer/Publisher’s Note: The statements, opinions and data contained in all publications are solely those of the individual author(s) and contributor(s) and not of MDPI and/or the editor(s). MDPI and/or the editor(s) disclaim responsibility for any injury to people or property resulting from any ideas, methods, instructions or products referred to in the content. |
© 2023 by the author. Licensee MDPI, Basel, Switzerland. This article is an open access article distributed under the terms and conditions of the Creative Commons Attribution (CC BY) license (https://creativecommons.org/licenses/by/4.0/).
Share and Cite
Preumont, A. Active Damping, Vibration Isolation, and Shape Control of Space Structures: A Tutorial. Actuators 2023, 12, 122. https://doi.org/10.3390/act12030122
Preumont A. Active Damping, Vibration Isolation, and Shape Control of Space Structures: A Tutorial. Actuators. 2023; 12(3):122. https://doi.org/10.3390/act12030122
Chicago/Turabian StylePreumont, André. 2023. "Active Damping, Vibration Isolation, and Shape Control of Space Structures: A Tutorial" Actuators 12, no. 3: 122. https://doi.org/10.3390/act12030122
APA StylePreumont, A. (2023). Active Damping, Vibration Isolation, and Shape Control of Space Structures: A Tutorial. Actuators, 12(3), 122. https://doi.org/10.3390/act12030122