Atmospheric Carbon Dioxide Modifies the Antimicrobial Activity and Oxidative Stress Generated by Ciprofloxacin in Escherichia coli
Abstract
1. Introduction
2. Materials and Methods
3. Results
3.1. Survival Curves in Controlled Concentrations of CO2
3.2. Determination of ROS and RNS
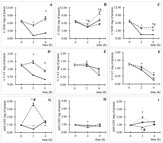
3.3. Enzymatic and Non-Enzymatic Antioxidant Activity
4. Discussion
5. Conclusions
Supplementary Materials
Author Contributions
Funding
Institutional Review Board Statement
Informed Consent Statement
Data Availability Statement
Conflicts of Interest
Abbreviations
| ACs | Atmospheric conditions |
| a.u | Arbitrary fluorescence units |
| CAT | Catalase |
| CFU | Colony-forming units |
| CIP | Ciprofloxacin |
| CO2 | Carbon dioxide |
| DNA | Deoxyribonucleic acid |
| FRAP | Ferric reducing assay potency |
| GSH | Reduced glutathione |
| HO• | Hydroxyl radical |
| H2O2 | Hydrogen peroxide |
| H2-DCFDA | 2′,7′-Dichlorodihydrofluorescein diacetate |
| LB | Luria–Bertani |
| NBT | Nitro blue tetrazolium |
| HCO3− | Bicarbonate |
| NO | Nitric oxide |
| OD | Optical density |
| PBS | Phosphate-buffered saline |
| ROS | Reactive oxygen species |
| O2•− | Superoxide anion |
| RNS | Reactive nitrogen species |
| SD | Standard deviation |
| SOD | Superoxide dismutase |
| U | Unit |
References
- World Meteorological Organization (WMO). GREENHOUSE GAS BULLETIN. The State Greenhouse in the Atmosphere Based on Global Observations Through 2016. 12 November 2018. Available online: https://library.wmo.int/doc_num.php?explnum_id=4022 (accessed on 20 May 2023).
- Butler, J.H.; Montzka, S.A. The NOAA Annual Greenhouse Gas Index (AGGI). 12 November 2018. Available online: https://www.esrl.noaa.gov/gmd/aggi/aggi.html (accessed on 3 June 2023).
- Walker, H.H. Carbon dioxide as a factor affecting lag in bacterial growth. Science 1932, 76, 602–604. [Google Scholar] [CrossRef] [PubMed]
- Ezraty, B.; Chabalier, M.; Ducret, A.; Maisonneuve, E.; Dukan, S. CO2 exacerbates oxygen toxicity. EMBO Rep. 2011, 12, 321–326. [Google Scholar] [CrossRef]
- Martínez, H.; Buhse, T.; Rivera, M.; Parmananda, P.; Ayala, G.; Sánchez, J. Endogenous CO2 may inhibit bacterial growth and induce virulence gene expression in enteropathogenic Escherichia coli. Microb. Pathog. 2012, 53, 49–55. [Google Scholar] [CrossRef] [PubMed]
- Cummins, E.P.; Selfridge, A.C.; Sporn, P.H.; Sznajder, J.I.; Taylor, C.T. Carbon dioxide-sensing in organisms and its implications for human disease. Cell. Mol. Life Sci. 2014, 71, 831–845. [Google Scholar] [CrossRef]
- Coakley, R.J.; Taggart, C.; Greene, C.; McElvaney, N.G.; O’Neill, S.J. Ambient pCO2 modulates intracellular pH, intracellular oxidant generation, and interleukin-8 secretion in human neutrophils. J. Leukoc. Biol. 2002, 71, 603–610. [Google Scholar] [CrossRef] [PubMed]
- Abolhassani, M.; Guais, A.; Chaumet-Riffaud, P.; Sasco, A.J.; Schwartz, L. Carbon dioxide inhalation causes pulmonary inflammation. Am. J. Physiol. Lung Cell. Mol. Physiol. 2009, 296, 657–665. [Google Scholar] [CrossRef]
- Karsten, V.; Murray, S.R.; Pike, J.; Troy, K.; Ittensohn, M.; Kondradzhyan, M.; Low, K.B.; Bermudes, D. msbB deletion confers acute sensitivity to CO2 in Salmonella enterica serovar Typhimurium that can be suppressed by a loss-of-function mutation in zwf. BMC Microbiol. 2009, 9, 170. [Google Scholar] [CrossRef]
- Visca, P.; Fabozzi, G.; Milani, M.; Bolognesi, M.; Ascenzi, P. Nitric oxide and Mycobacterium leprae pathogenicity. IUBMB Life 2002, 54, 95–99. [Google Scholar] [CrossRef]
- Storz, G.; Imlay, J.A. Oxidative stress. Curr. Opin. Microbiol. 1999, 2, 188–194. [Google Scholar] [CrossRef]
- Imlay, J.A. Cellular defenses against superoxide and hydrogen peroxide. Annu. Rev. Biochem. 2008, 77, 755–776. [Google Scholar] [CrossRef]
- Hochgrafe, F.; Wolf, C.; Fuchs, S.; Liebeke, M.; Lalk, M.; Engelmann, S.; Hecker, M. Nitric oxide stress induces different responses but mediates comparable protein thiol protection in Bacillus subtilis and Staphylococcus aureus. J. Bacteriol. 2008, 190, 4997–5008. [Google Scholar] [CrossRef] [PubMed]
- Overton, T.W.; Justino, M.C.; Li, Y.; Baptista, J.M.; Melo, A.M.P.; Cole, J.A.; Saraiva, L.M. Widespread distribution in pathogenic bacteria of Di-Iron proteins that repair oxidative and nitrosative damage to Iron-Sulfur centers. J. Bacteriol. 2008, 190, 2004–2013. [Google Scholar] [CrossRef]
- Storz, G.; Zheng, M. Oxidative stress. In Bacterial Stress Responses; Storz, G., Hengge-Aronis, R., Eds.; ASM Press: Washington, DC, USA, 2000; pp. 47–59. [Google Scholar]
- Albesa, I.; Becerra, M.C.; Battán, P.C.; Páez, P.L. Oxidative stress involved in the antibacterial action of different antibiotics. Biochem. Bioph Res. Commun. 2004, 317, 605–609. [Google Scholar] [CrossRef] [PubMed]
- Mustaev, A.; Malik, M.; Zhao, X.; Kurepina, N.; Luan, G.; Oppegard, L.M.; Hiasa, H.; Marks, K.R.; Kerns, R.J.; Berger, J.M.; et al. Fluoroquinolone-gyrase-DNA complexes TWO MODES OF DRUG BINDING. J. Biol. Chem. 2014, 289, 12300–12312. [Google Scholar] [CrossRef]
- Becerra, M.C.; Sarmiento, M.; Páez, P.L.; Arguello, G.; Albesa, I. Light effect and reactive oxygen species in the action of ciprofloxacin on Staphylococcus aureus. J. Photochem. Photobiol. B 2004, 76, 13–18. [Google Scholar] [CrossRef]
- Becerra, M.C.; Páez, P.L.; Larovere, L.E.; Albesa, I. Lipids and DNA oxidation in Staphylococcus aureus as a consequence of oxidative stress generated by ciprofloxacin. Mol. Cell Biochem. 2006, 285, 29–34. [Google Scholar] [CrossRef] [PubMed]
- Quinteros, M.A.; Aiassa Martínez, I.M.; Paraje, M.G.; Dalmasso, P.R.; Páez, P.L. Silver nanoparticles: Biosynthesis using an ATCC reference strain of Pseudomonas aeruginosa and activity as broad spectrum clinical antibacterial agents. Int. J. Biomater. 2016, 2016, 5971047. [Google Scholar] [CrossRef]
- Martínez, S.R.; Miana, G.E.; Albesa, I.; Mazzieri, M.R.; Becerra, M.C. Evaluation of antibacterial activity and reactive species generation of n-benzenesulfonyl derivatives of heterocycles. Chem. Pharm. Bull. 2016, 64, 135–141. [Google Scholar] [CrossRef]
- Chen, X.; Zhong, Z.; Xu, Z.; Chen, L.; Wang, Y. 2′,7′-dichlorodihydrofluorescein as a fluorescent probe for reactive oxygen species measurement: Forty years of application and controversy. Free Radic. Res. 2010, 44, 587–604. [Google Scholar] [CrossRef]
- Quinteros, M.A.; Cano Aristizábal, V.; Dalmasso, P.R.; Paraje, M.G.; Páez, P.L. Oxidative stress generation of silver nanoparticles in three bacterial genera and its relationship with the antimicrobial activity. Toxicol. Vitr. 2016, 36, 216–223. [Google Scholar] [CrossRef]
- Martínez, S.R.; Aiassa, V.; Becerra, M.C. Oxidative stress response in reference and clinical Staphylococcus aureus strains under Linezolid exposure. J. Glob. Antimicrob. Re 2020, 22, 257–262. [Google Scholar] [CrossRef] [PubMed]
- Peralta, M.A.; da Silva, M.A.; Ortega, M.G.; Cabrera, J.L.; Paraje, M.G. Usnic acid activity on oxidative and nitrosative stress of azole-resistant Candida albicans biofilm. Planta Med. 2017, 83, 326–333. [Google Scholar] [CrossRef] [PubMed]
- Páez, P.L.; Becerra, M.C.; Albesa, I. Antioxidative mechanisms protect resistant strains of Staphylococcus aureus against ciprofloxacin oxidative damage. Fundam. Clin. Pharmacol. 2009, 24, 771–776. [Google Scholar] [CrossRef] [PubMed]
- Aiassa, V.; Barnes, A.I.; Albesa, I. Resistance to ciprofloxacin by enhancement of antioxidant defenses in biofilm and planktonic Proteus mirabilis. Biochem. Biophys. Res. Commun. 2010, 393, 84–88. [Google Scholar] [CrossRef]
- Páez, P.L.; Becerra, M.C.; Albesa, I. Chloramphenicol induced oxidative stress in Human neutrophils. Basic Clin. Pharmacol. Toxicol. 2008, 103, 349–353. [Google Scholar] [CrossRef]
- Páez, P.L.; Becerra, M.C.; Albesa, I. Effect of the association of reduced glutathione and ciprofloxacin on the antimicrobial activity in Staphylococcus aureus. FEMS Microbiol. Lett. 2010, 303, 101–105. [Google Scholar] [CrossRef]
- Farha, M.A.; French, S.; Stokes, J.M.; Brown, E.D. Bicarbonate alters bacterial susceptibility to antibiotics by targeting the proton motive force. ACS Infect. Dis. 2018, 4, 382–390. [Google Scholar] [CrossRef]
- Bauernfeind, A.; Petermtiller, C. In Vitro activity of ciprofloxaein, norfloxacin and nalidixic acid. Eur. J. Clin. Microbiol. 1983, 2, 111–115. [Google Scholar] [CrossRef]
- Zeiler, H.J.; Grohe, K. The In Vitro and In Vivo activity of ciprofloxacin. In Ciprofloxacin; Neu, H.C., Reeves, D.S., Eds.; Springer Fachmedien Wiesbaden: Hesse, Germany, 1986; pp. 14–18. [Google Scholar]
- Aagaard, J.; Gasser, T.; Rhodes, E.; Madsen, E.O. MICs of Ciprofloxacin and Trimethoprim for Escherichia coli: Influence of pH, lnoculum Size and Various Body Fluids. Infection 1991, 19, S167–S169. [Google Scholar] [CrossRef]
- Borrell, J.H.; Montero, M.T. Calculating Microspecies Concentration of Zwitterion Amphoteric Compounds: Ciprofloxacin as Example. J. Chem. Educ. 1997, 74, 1311. [Google Scholar] [CrossRef]
- De Bel, E.; Dewulf, J.; De Witte, B.; Van Langenhove, H.; Janssen, C. Influence of pH on the sonolysis of ciprofloxacin: Biodegradability, ecotoxicity and antibiotic activity of its degradation products. Chemosphere 2009, 77, 291–295. [Google Scholar] [CrossRef]
- Mitscher, L.A.; Ma, Z. Structure-activity relationships of quinolones. In Fluoroquinolone Antibiotics. Milestones in Drug Therapy; Ronald, A.R., Low, D.E., Eds.; Birkhäuser: Basel, Switzerland, 2003. [Google Scholar] [CrossRef]
- Páez, P.L.; Becerra, M.C.; Albesa, I. Comparison of macromolecular oxidation by reactive oxygen species in three bacterial genera exposed to different antibiotics. Cell Biochem. Biophys. 2011, 61, 467–472. [Google Scholar] [CrossRef] [PubMed]
- Quinteros, M.A.; Cano Aristizabal, V.; Onnainty, R.; Mary, V.S.; Theumer, M.G.; Granero, G.E.; Paraje, M.G.; Páez, P.L. Biosynthesized silver nanoparticles: Decoding their mechanism of action in Staphylococcus aureus and Escherichia coli. Int. J. Biochem. Cell Biol. 2018, 104, 87–93. [Google Scholar] [CrossRef] [PubMed]
- Aiassa, V.; Barnes, A.I.; Albesa, I. Macromolecular oxidation in planktonic population and biofilms of Proteus mirabilis exposed to ciprofloxacin. Cell Biochem. Biophys. 2014, 68, 49–54. [Google Scholar] [CrossRef] [PubMed]
- Masadeh, M.; Alzoubi, K.; Al-azzam, S.; Khabour, O.; Al-buhairan, A. Ciprofloxacin induced antibacterial activity is atteneuated by pretreatment with antioxidant agents. Pathogens 2016, 5, 28–36. [Google Scholar] [CrossRef]
- Wink, D.A.; Mitchell, J.B. Chemical biology of nitric oxide: Insights into regulatory, cytotoxic, and cytoprotective mechanisms of nitric oxide. Free Radic. Biol. Med. 1998, 25, 434–456. [Google Scholar] [CrossRef]
- King, P.A.; Anderson, V.E.; Edwards, J.O.; Gustafson, G.; Plumb, R.C.; Suggs, J.W. A stable solid that generates hydroxyl radical upon dissolution in aqueous solutions: Reaction with proteins and nucleic acid. J. Am. Chem. Soc. 1992, 114, 5430–5432. [Google Scholar] [CrossRef]
- Salgo, M.G.; Stone, K.; Squadrito, G.L.; Battista, J.R.; Pryor, W.A. Peroxynitrite causes DNA nicks in plasmid pBR322. Biochem. Biophys. Res. Commun. 1995, 210, 1025–1030. [Google Scholar] [CrossRef]
- Goswami, M.; Mangoli, S.H.; Jawali, N. Involvement of reactive oxygen species in the action of ciprofloxacin against Escherichia coli. Antimicrob. Agents Chemother. 2006, 50, 949–954. [Google Scholar] [CrossRef]
- Becerra, M.C.; Albesa, I. Oxidative stress induced by ciprofloxacin in Staphylococcus aureus. Biochem. Biophys. Res. Commun. 2002, 297, 1003–1007. [Google Scholar] [CrossRef]
- Goswami, M.; Subramanian, M.; Kumar, R.; Jass, J.; Jawali, N. Involvement of antibiotic efflux machinery in Glutathione-mediated decreased ciprofloxacin activity in Escherichia coli. Antimicrob. Agents Chemother. 2016, 60, 4369–4374. [Google Scholar] [CrossRef] [PubMed]
- Dyachenko, V.; Rueckschloss, U.; Isenberg, G. Modulation of cardiac mechanosensitive ion channels involves superoxide, nitric oxide and peroxynitrite. Cell Calcium 2009, 45, 55–64. [Google Scholar] [CrossRef]
- Marcén, M.; Ruiz, V.; Serrano, M.J.; Condón, S.; Mañas, P. Oxidative stress in E. coli cells upon exposure to heat treatments. Int. J. Food Microbiol. 2017, 241, 198–205. [Google Scholar] [CrossRef]
- De Alencar, T.A.M.; Wilmart-Gonçalves, T.C.; Vidal, L.S.; Fortunato, R.S.; Leitão, A.C.; Lage, C. Bipyridine (2,2′-dipyridyl) potentiates Escherichia coli lethality induced by nitrogen mustard mechlorethamine. Mutat. Res. Fundam. Mol. Mech. Mutagen. 2014, 765, 40–47. [Google Scholar] [CrossRef] [PubMed]
- Yu, Q.; Zhang, B.; Li, J.; Zhang, B.; Wang, H.; Li, M. Endoplasmic reticulum-derived reactive oxygen species (ROS) is involved in toxicity of cell wall stress to Candida albicans. Free Radic. Biol. Med. 2016, 99, 572–583. [Google Scholar] [CrossRef]
- Keshavarz-Tohid, V.; Taheri, P.; Taghavi, S.M.; Tarighi, S. The role of nitric oxide in basal and induced resistance in relation with hydrogen peroxide and antioxidant enzymes. J. Plant Physiol. 2016, 199, 29–38. [Google Scholar] [CrossRef]
- Galera, I.L.D.; Paraje, M.G.; Páez, P.L. Relationship between oxidative and nitrosative stress induced by gentamicin and ciprofloxacin in bacteria. J. Biol. Nat. 2016, 5, 122–130. [Google Scholar]
- Augusto, O.; Bonini, M.G.; Amanso, A.M.; Linares, E.; Santos, C.C.X.; De Menezes, S.L. Nitrogen dioxide and carbonate radical anion: Two emerging radicals in biology. Free Radic. Biol. Med. 2002, 32, 841–859. [Google Scholar] [CrossRef] [PubMed]
- Goldstein, S.; Czapski, G. Formation of peroxynitrate from the reaction of peroxynitrite with CO2: Evidence for carbonate radical production. J. Am. Chem. Soc. 1998, 120, 3458–3463. [Google Scholar] [CrossRef]
- Bonini, M.G.; Radi, R.; Ferrer-Sueta, G.; Ferreira, A.M.D.C.; Augusto, O. Direct EPR detection of the carbonate radical anion produced from peroxynitrite and carbon dioxide. J. Biol. Chem. 1999, 274, 10802–10806. [Google Scholar] [CrossRef]
- Kuwahara, H.; Miyamoto, Y.; Akaike, T.; Kubota, T.; Sawa, T.; Okamoto, S.; Maeda, H. Helicobacter pylori urease suppresses bactericidal activity of peroxynitrite via carbon dioxide production. Infect. Immun. 2000, 68, 4378–4383. [Google Scholar] [CrossRef] [PubMed]



| AC | CO2 50 ppm | CO2 50,000 ppm | |
|---|---|---|---|
| Control | 75.577 ± 0.024 | 74.748 ± 0.040 | 86.377 ± 0.015 |
| CIP 0.5 µg/mL | 73.238 ± 0.003 | 84.985 ± 0.011 *# | 83.174 ± 0.010 # |
| CIP 50 µg/mL | 73.788 ± 0.003 | 81.921 ± 0.003 *# | 84.567 ± 0.012 # |
| ACs | CO2 50 ppm | CO2 50,000 ppm | |
|---|---|---|---|
| Control | 126.317 ± 0.003 | 35.936 ± 0.003 * | 86.678 ± 0.006 * |
| CIP 0.5 µg/mL | 44.711 ± 0.001 | 42.303 ± 0.003 | 39.700 ± 0.016 |
| CIP 50 µg/mL | 43.011 ± 0.007 | 43.346 ± 0.001 | 42.508 ± 0.001 |
Disclaimer/Publisher’s Note: The statements, opinions and data contained in all publications are solely those of the individual author(s) and contributor(s) and not of MDPI and/or the editor(s). MDPI and/or the editor(s) disclaim responsibility for any injury to people or property resulting from any ideas, methods, instructions or products referred to in the content. |
© 2025 by the authors. Licensee MDPI, Basel, Switzerland. This article is an open access article distributed under the terms and conditions of the Creative Commons Attribution (CC BY) license (https://creativecommons.org/licenses/by/4.0/).
Share and Cite
Cano Aristizábal, V.; Mendoza Ocampo, E.S.; Quinteros, M.d.l.Á.; Paraje, M.G.; Páez, P.L. Atmospheric Carbon Dioxide Modifies the Antimicrobial Activity and Oxidative Stress Generated by Ciprofloxacin in Escherichia coli. Pathogens 2025, 14, 689. https://doi.org/10.3390/pathogens14070689
Cano Aristizábal V, Mendoza Ocampo ES, Quinteros MdlÁ, Paraje MG, Páez PL. Atmospheric Carbon Dioxide Modifies the Antimicrobial Activity and Oxidative Stress Generated by Ciprofloxacin in Escherichia coli. Pathogens. 2025; 14(7):689. https://doi.org/10.3390/pathogens14070689
Chicago/Turabian StyleCano Aristizábal, Viviana, Elia Soledad Mendoza Ocampo, Melisa de los Ángeles Quinteros, María Gabriela Paraje, and Paulina Laura Páez. 2025. "Atmospheric Carbon Dioxide Modifies the Antimicrobial Activity and Oxidative Stress Generated by Ciprofloxacin in Escherichia coli" Pathogens 14, no. 7: 689. https://doi.org/10.3390/pathogens14070689
APA StyleCano Aristizábal, V., Mendoza Ocampo, E. S., Quinteros, M. d. l. Á., Paraje, M. G., & Páez, P. L. (2025). Atmospheric Carbon Dioxide Modifies the Antimicrobial Activity and Oxidative Stress Generated by Ciprofloxacin in Escherichia coli. Pathogens, 14(7), 689. https://doi.org/10.3390/pathogens14070689

